The Levels, Speciation, and Influencing Factors of Mercury in MSWI Fly Ashes of a High Geological Background Area
Abstract
1. Introduction
2. Materials and Methods
2.1. Sample Collection
2.2. Total Hg Analysis
2.3. Determination of Mercury Speciation in Incineration Fly Ash
2.4. Determination of Other Parameters
2.5. Data Processing and Statistical Analysis
3. Results and Discussion
3.1. THg in Incineration Fly Ash
3.1.1. THg Among Different Incinerators
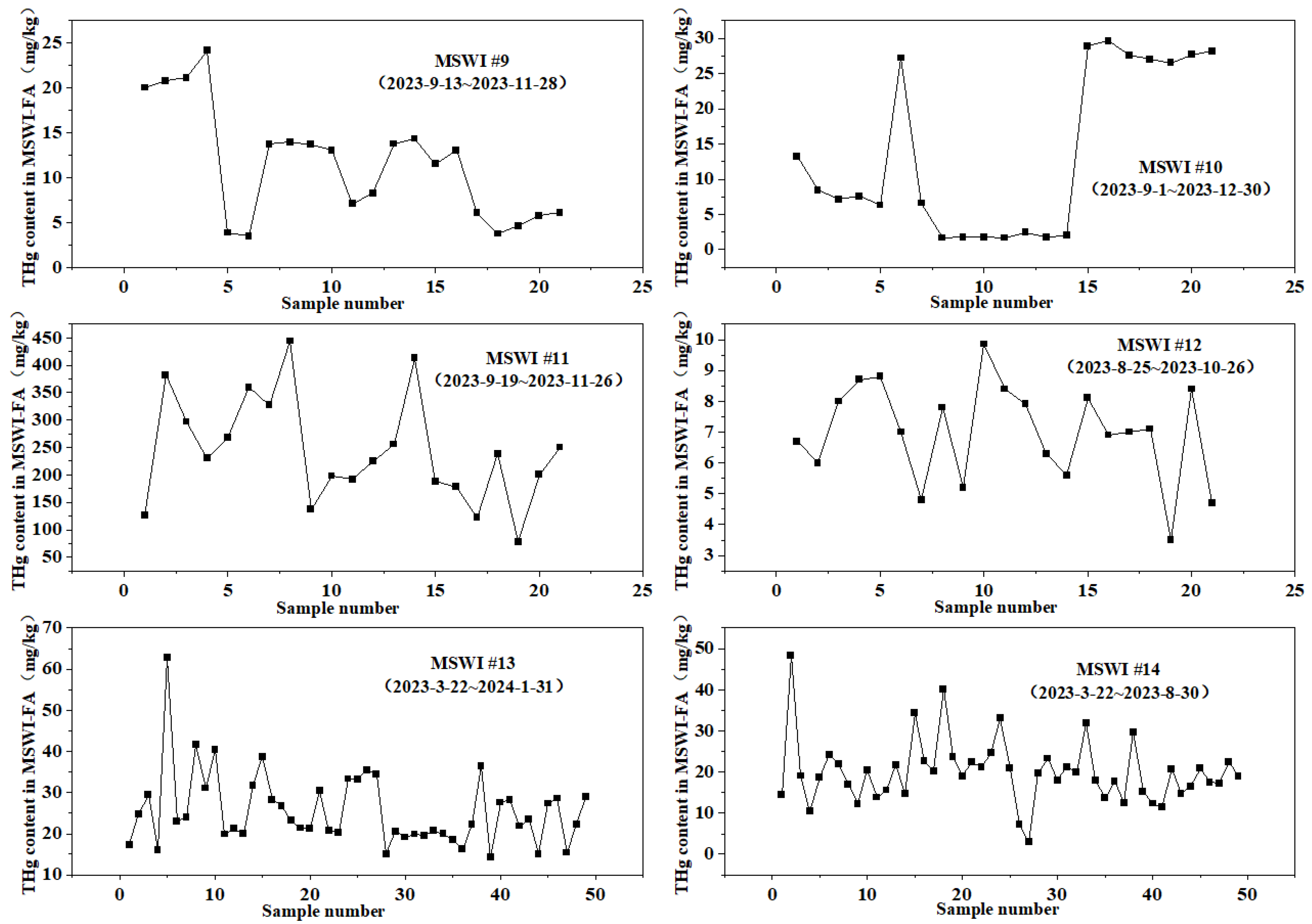
3.1.2. Temporal Variation in Total Hg in MSWI-FA
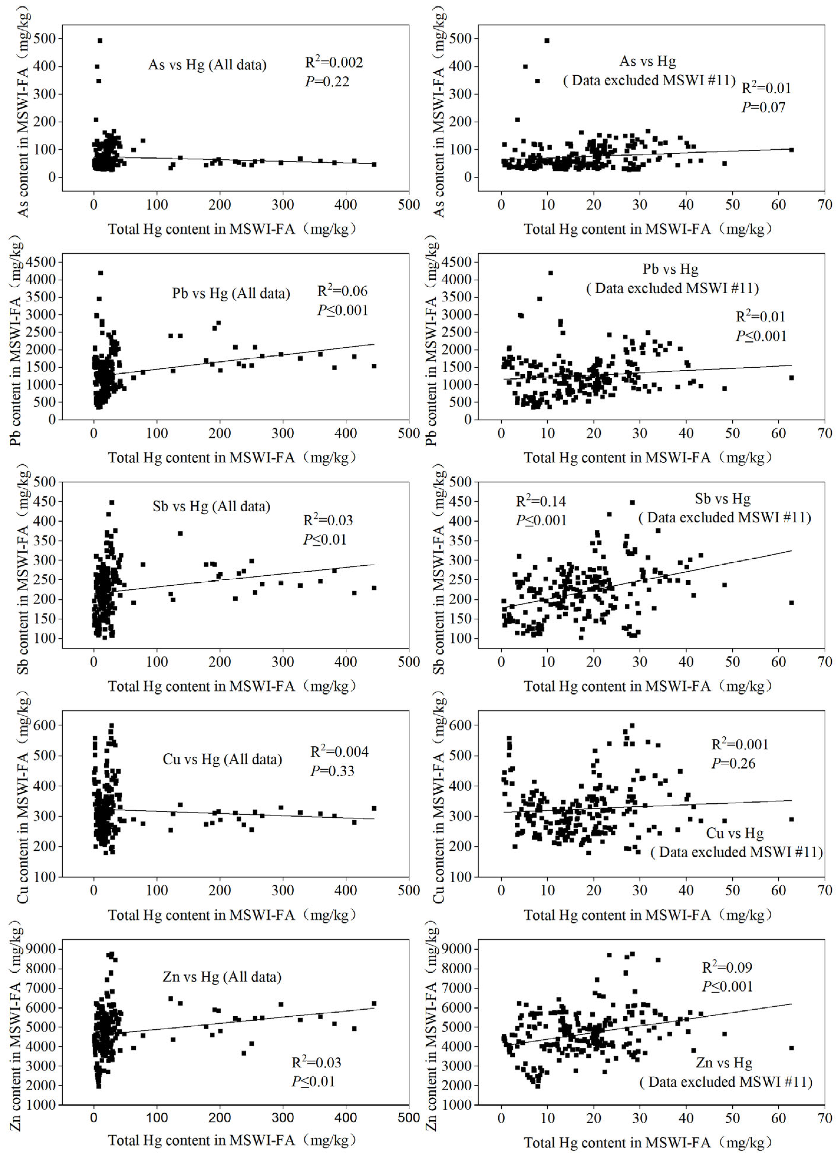
3.1.3. Factors Influencing Total Hg in MSW-FA
3.2. Speciation of Mercury in MSW-FA
4. Conclusions
Author Contributions
Funding
Institutional Review Board Statement
Informed Consent Statement
Data Availability Statement
Conflicts of Interest
Appendix A. Methods for Determining Other Components and Parameters in Fly Ash
Appendix A.1. Determination of Arsenic (As), Antimony (Sb), and Selenium (Se)
Appendix A.2. Determination of Chlorine
Appendix A.3. Determination of Other Metal Elements
Appendix A.4. pH Determination of Incineration Fly Ash
| Step | Extractant | Experimental Conditions | Extracted Mercury Species | Possible Mercury Compounds |
|---|---|---|---|---|
| 1 | Deionized water | Room temperature, 24 h | F1, water-soluble fraction | HgCl2, HgSO4 |
| 2 | 0.5 M NH4Cl | Room temperature, 20 h | F2, ion-exchangeable fraction | Adsorbed Hg2+ |
| 3 | 0.5 M HCl | Room temperature, 12 h | F3, acid-soluble fraction | HgO, HgSO4 |
| 4 | 50% (v/v) HNO3 | Room temperature, 20 h | F4, elemental fraction | Hg0, Hg2Cl2 |
| 5 | Aqua regia | 60 °C, 12 h | F5, sulfide-bound fraction | HgS, m·HgS |
| Sample ID | F1 mg/kg | F2 mg/kg | F3 mg/kg | F4 mg/kg | F5 mg/kg | ΣF1–F5 mg/kg | Total Hg mg/kg | ΣF1–F5/Total Hg (%) |
|---|---|---|---|---|---|---|---|---|
| #2 * | 0.08 | 4.23 | 0.00 | 10.29 | 0.02 | 14.62 | 20.43 | 71.56 |
| #3 | 0.00 | 0.00 | 0.09 | 10.07 | 0.44 | 10.60 | 12.67 | 83.69 |
| #4a | 0.00 | 0.00 | 0.55 | 3.05 | 0.02 | 3.62 | 4.39 | 82.50 |
| #4b | 0.01 | 0.01 | 1.11 | 8.57 | 0.96 | 10.66 | 13.32 | 80.04 |
| #5 | 0.73 | 2.38 | 0.08 | 18.08 | 1.35 | 22.62 | 28.75 | 78.67 |
| #6a | 0.00 | 0.00 | 0.00 | 5.70 | 0.55 | 6.26 | 9.59 | 65.27 |
| #6b | 0.04 | 0.09 | 0.09 | 26.38 | 2.35 | 28.95 | 38.36 | 75.48 |
| #9a | 0.01 | 0.00 | 0.00 | 2.72 | 0.39 | 3.11 | 4.59 | 67.75 |
| #9b | 0.00 | 0.00 | 0.02 | 12.49 | 0.74 | 13.25 | 13.82 | 95.89 |
| #10a | 0.00 | 0.00 | 0.07 | 1.82 | 0.18 | 2.07 | 1.84 | 112.86 |
| #10b | 0.00 | 0.00 | 0.08 | 22.47 | 1.14 | 23.69 | 28.61 | 82.81 |
| #11 | 113.87 | 85.04 | 0.03 | 228.31 | 5.86 | 433.11 | 441.19 | 98.17 |
| #12 | 0.03 | 0.00 | 0.05 | 7.58 | 0.37 | 8.04 | 8.93 | 90.07 |
| #13 | 0.33 | 0.79 | 0.07 | 28.42 | 0.01 | 29.62 | 40.93 | 72.37 |
| #14a | 0.00 | 0.00 | 0.03 | 2.32 | 0.19 | 2.55 | 3.00 | 84.72 |
| #14b | 0.00 | 0.01 | 0.18 | 18.11 | 0.80 | 19.10 | 23.54 | 81.13 |
| Sample ID | F1 | F2 | F3 | F4 | F5 |
|---|---|---|---|---|---|
| #2 * | 0.55 | 28.93 | 0.00 | 70.38 | 0.14 |
| #3 | 0.00 | 0.00 | 0.85 | 95.00 | 4.15 |
| #4a | 0.00 | 0.00 | 15.19 | 84.25 | 0.55 |
| #4b | 0.09 | 0.09 | 10.41 | 80.39 | 9.01 |
| #5 | 3.23 | 10.52 | 0.35 | 79.93 | 5.97 |
| #6a | 0.03 | 0.03 | 0.06 | 91.18 | 8.71 |
| #6b | 0.14 | 0.31 | 0.31 | 91.12 | 8.12 |
| #9a | 0.16 | 0.00 | 0.05 | 87.40 | 12.38 |
| #9b | 0.00 | 0.03 | 0.16 | 94.26 | 5.55 |
| #10a | 0.00 | 0.00 | 3.30 | 88.03 | 8.67 |
| #10b | 0.00 | 0.00 | 0.34 | 94.85 | 4.81 |
| #11 | 26.29 | 19.63 | 0.01 | 52.71 | 1.35 |
| #12 | 0.38 | 0.05 | 0.66 | 94.32 | 4.60 |
| #13 | 1.11 | 2.67 | 0.24 | 95.95 | 0.03 |
| #14a | 0.00 | 0.07 | 1.36 | 91.10 | 7.47 |
| #14b | 0.00 | 0.05 | 0.94 | 94.82 | 4.19 |
| Minimum | 0.00 | 0.00 | 0.00 | 52.71 | 0.03 |
| Maximum | 26.29 | 28.93 | 15.19 | 95.95 | 12.38 |
| Arithmetic mean | 2.00 | 3.90 | 2.14 | 86.61 | 5.36 |
| Standard deviation | 6.32 | 8.28 | 4.19 | 11.11 | 3.50 |


References
- United Nations Environment Programme. Global Waste Management Outlook 2024: Beyond an Age of Waste–Turning Rubbish into a Resource; United Nations Environment Programme: Nairobi, Kenya, 2024. [Google Scholar]
- Zhao, X.-Y.; Yang, J.-Y.; Ning, N.; Yang, Z.-S. Chemical stabilization of heavy metals in municipal solid waste incineration fly ash: A review. Environ. Sci. Pollut. Res. 2022, 29, 40384–40402. [Google Scholar] [CrossRef] [PubMed]
- Wang, P.; Hu, Y.; Cheng, H. Municipal solid waste (MSW) incineration fly ash as an important source of heavy metal pollution in China. Environ. Pollut. 2019, 252, 461–475. [Google Scholar] [CrossRef] [PubMed]
- Wang, Z.; Zhang, Y.; Wang, L.; Li, X.; Zhou, X.; Li, X.; Yan, M.; Lu, Q.; Tang, Z.; Zhang, G. Characteristics and Risk Assessments of Mercury Pollution Levels at Domestic Garbage Collection Points Distributed within the Main Urban Areas of Changchun City. Toxics 2021, 9, 309. [Google Scholar] [CrossRef] [PubMed]
- National Bureau of Statistics of China. China Statistical Yearbook 2025; China Statistics Press: Beijing, China, 2025. (In Chinese) [Google Scholar]
- Hu, Y.; Cheng, H.; Tao, S. The growing importance of waste-to-energy (WTE) incineration in China’s anthropogenic mercury emissions: Emission inventories and reduction strategies. Renew. Sustain. Energy Rev. 2018, 97, 119–137. [Google Scholar] [CrossRef]
- Zhou, L.; Yang, G.; Ren, Q.; Guo, S.; Lyu, Q. Fluidization-melting characteristics of fly ash from municipal solid waste incineration. Waste Manag. 2024, 174, 509–517. [Google Scholar] [CrossRef]
- China Environmental Publishing Group. National Catalogue of Hazardous Wastes, 2025 ed.; China Environmental Publishing Group: Beijing, China, 2025. (In Chinese) [Google Scholar]
- Coulter, M.A. Minamata convention on mercury. Int. Leg. Mater. 2016, 55, 582–616. [Google Scholar] [CrossRef]
- Shaub, W.M. Mercury emissions from MSW incinerators: An assessment of the current situation in the United States and forecast of future emissions. Resour. Conserv. Recycl. 1993, 9, 31–59. [Google Scholar] [CrossRef]
- Van Velzen, D.; Langenkamp, H.; Herb, G. Mercury in waste incineration. Waste Manag. Res. 2002, 20, 556–568. [Google Scholar] [CrossRef]
- Zhang, L.; Wang, S.; Wu, Q. Mercury flows in China′s municipal solid waste: A life cycle perspective. Environ. Sci. Technol. 2022, 56, 8567–8576. [Google Scholar]
- Cheng, H.; Hu, Y. Mercury in municipal solid waste in China and its control: A review. Environ. Sci. Technol. 2012, 46, 593–605. [Google Scholar] [CrossRef]
- Zhang, J.; Chen, S.; Kim, J.; Cheng, S. Mercury flow analysis and reduction pathways for fluorescent lamps in mainland China. J. Clean. Prod. 2016, 133, 451–458. [Google Scholar] [CrossRef]
- Vogg, H.; Braun, H.; Metzger, M.; Schneider, J. The specific role of cadmium and mercury in municipal solid waste incineration. Waste Manag. Res. 1988, 4, 65–74. [Google Scholar] [CrossRef]
- Carpi, A. Mercury from combustion sources: A review of the chemical species emitted and their transport in the atmosphere. Water Air Soil Pollut. 1997, 98, 241–254. [Google Scholar]
- Stolle, R.; Koeser, H.; Gutberlet, H. Oxidation and reduction of mercury by SCR DeNOx catalysts under flue gas conditions in coal fired power plants. Appl. Catal. B Environ. 2014, 144, 486–497. [Google Scholar] [CrossRef]
- Lindqvist, O. Fluxes of mercury in the Swedish environment: Contributions from waste incineration. Waste Manag. Res. 1988, 4, 35–44. [Google Scholar] [CrossRef]
- Zhang, H.; He, P.-J.; Shao, L.-M. Fate of heavy metals during municipal solid waste incineration in Shanghai. J. Hazard. Mater. 2008, 156, 365–373. [Google Scholar] [CrossRef]
- Chen, L.; Liu, M.; Fan, R.; Ma, S.; Xu, Z.; Ren, M.; He, Q. Mercury speciation and emission from municipal solid waste incinerators in the Pearl River Delta, South China. Sci. Total Environ. 2013, 447, 396–402. [Google Scholar] [CrossRef]
- Duan, Z.-Y.; Su, H.-T.; Wang, F.-Y.; Li, Z.-J.; Li, S.-P.; Wang, S.-X. Mercury Emission Characteristics and Mercury Concentrations of Municipal Solid Waste in Waste Incineration Plants. Environ. Sci. 2016, 37, 3766–3773, (In Chinese with English Abstract). [Google Scholar]
- De Souza, J.P.R.; Garnier, J.; Quintarelli, J.M.; De Sousa Tonhá, M.; Roig, H.L.; Seyler, P.; De Souza, J.R. Adapted sequential extraction protocol to study mercury speciation in gold mining tailings: Implications for environmental contamination in the Amazon. Toxics 2024, 12, 326. [Google Scholar] [CrossRef]
- Li, R.; Yan, J.; Wang, C.; Yang, S.; Zhang, L.; Peng, T.; Zhu, W.; Li, P.; Zhang, L.; Feng, X. Mercury sources, transport, and transformation in rainfall-runoff processes: Mercury isotope approach. Water Res. 2024, 261, 122044. [Google Scholar] [CrossRef]
- Niu, L. Study on the Sensitivity of Mercury in Soil Under Acid Rain Condition in Chengdu Area; Chengdu University of Technology: Chengdu, China, 2009; (In Chinese with English Abstract). [Google Scholar]
- Wu, Q.; Wang, B.; Hu, H.; Bravo, A.G.; Bishop, K.; Bertilsson, S.; Meng, B.; Zhang, H.; Feng, X. Sulfate-reduction and methanogenesis are coupled to Hg (II) and MeHg reduction in rice paddies. J. Hazard. Mater. 2023, 460, 132486. [Google Scholar] [CrossRef] [PubMed]
- Feng, X.; Qiu, G. Mercury pollution in Guizhou, Southwestern China—An overview. Sci. Total Environ. 2008, 400, 227–237. [Google Scholar] [CrossRef] [PubMed]
- Li, L.; Ma, L.; Zhou, L.; Song, B. Redistribution of heavy metal background in soil in Guizhou Province. Environ. Chem. 2024, 43, 1842–1856, (In Chinese with English Abstract). [Google Scholar]
- Jing, L.; Du, J.; Jin, J.; Hu, L.; Ma, W.; Wang, B. Evaluation on the distribution and pollution status of heavy metals in soil for cultivating genuine traditional Chinese medicinal materials in Dingxi City. Mod. Agric. Sci. Technol. 2025, 6, 107–111. (In Chinese) [Google Scholar]
- Huang, X.; Wu, X.; Tang, X.; Zhang, Z.; Ma, J.; Zhang, J.; Liu, H. Distribution characteristics and risk of heavy metals and microbial community composition around the Wanshan mercury mine in Southwest China. Ecotoxicol. Environ. Saf. 2021, 227, 112897. [Google Scholar] [CrossRef]
- Chen, M.; Kong, Y.; Zheng, W.; Liu, J.; Wang, Y.; Wang, Y. Accumulation and risk assessment of mercury in soil as influenced by mercury mining/smelting in Tongren, Southwest China. Environ. Geochem. Health 2024, 46, 83. [Google Scholar] [CrossRef]
- Li, Z.; Feng, X.; Tang, S.; Wang, S.; Li, P.; Fu, X. Distribution characteristics of mercury in the waste, soil and plant at municipal solid waste landfills. Earth Environ. 2006, 34, 11–18, (In Chinese with English Abstract). [Google Scholar]
- Yan, Y.; Dai, Q.; Yuan, Y.; Peng, X.; Zhao, L.; Yang, J. Effects of rainfall intensity on runoff and sediment yields on bare slopes in a karst area, SW China. Geoderma 2018, 330, 30–40. [Google Scholar] [CrossRef]
- Jiang, Z.; Lian, Y.; Qin, X. Rocky desertification in Southwest China: Impacts, causes, and restoration. Earth-Sci. Rev. 2014, 132, 1–12. [Google Scholar] [CrossRef]
- Chuai, X.; Yang, Q.; Zhang, T.; Zhao, Y.; Wang, J.; Zhao, G.; Cui, X.; Zhang, Y.; Zhang, T.; Xiong, Z. Speciation and leaching characteristics of heavy metals from municipal solid waste incineration fly ash. Fuel 2022, 328, 125338. [Google Scholar] [CrossRef]
- Li, G.; Wu, Q.; Wang, S.; Duan, Z.; Su, H.; Zhang, L.; Li, Z.; Tang, Y.; Zhao, M.; Chen, L. Improving flue gas mercury removal in waste incinerators by optimization of carbon injection rate. Environ. Sci. Technol. 2018, 52, 1940–1945. [Google Scholar] [CrossRef] [PubMed]
- Wang, C.; Shao, N.; Xu, J.; Zhang, Z.; Cai, Z. Pollution emission characteristics, distribution of heavy metals, and particle morphologies in a hazardous waste incinerator processing phenolic waste. J. Hazard. Mater. 2020, 388, 121751. [Google Scholar] [CrossRef] [PubMed]
- Long, L.; Jiang, X.; Lv, G.; Chen, Q.; Liu, X.; Chi, Y.; Yan, J.; Zhao, X.; Kong, L. Characteristics of fly ash from waste-to-energy plants adopting grate-type or circulating fluidized bed incinerators: A comparative study. Energy Sources Part A Recovery Util. Environ. Eff. 2024, 46, 12038–12054. [Google Scholar] [CrossRef]
- Qiu, G.; Feng, X.; Wang, S.; Shang, L. Mercury and methylmercury in riparian soil, sediments, mine-waste calcines, and moss from abandoned Hg mines in east Guizhou province, southwestern China. Appl. Geochem. 2005, 20, 627–638. [Google Scholar] [CrossRef]
- Zhang, Y.; Wang, L.; Chen, L.; Ma, B.; Zhang, Y.; Ni, W.; Tsang, D.C. Treatment of municipal solid waste incineration fly ash: State-of-the-art technologies and future perspectives. J. Hazard. Mater. 2021, 411, 125132. [Google Scholar] [CrossRef]
- Diao, X.; Yuan, C.-G.; Wu, J.; Gui, B.; Zhang, K.; Zhang, C. Mercury release and fraction transformation during desulfurization gypsum aging process (UV irradiation). Fuel 2018, 217, 522–528. [Google Scholar] [CrossRef]
- Zhou, J.; Wu, S.; Pan, Y.; Su, Y.; Yang, L.; Zhao, J.; Lu, Y.; Xu, Y.; Oh, K.; Qian, G. Mercury in municipal solids waste incineration (MSWI) fly ash in China: Chemical speciation and risk assessment. Fuel 2015, 158, 619–624. [Google Scholar] [CrossRef]
- Chai, X.; Wang, D.; Takahashi, F.; Takayuki, S. Physicochemical characteristics of typical fly ashes of solid waste incineration plants in China. Tongji Daxue Xuebao/J. Tongji Univ. 2012, 40, 1857–1862, (In Chinese with English Abstract). [Google Scholar]
- Kim, J.-H.; Park, J.-M.; Lee, S.-B.; Pudasainee, D.; Seo, Y.-C. Anthropogenic mercury emission inventory with emission factors and total emission in Korea. Atmos. Environ. 2010, 44, 2714–2721. [Google Scholar] [CrossRef]
- Park, K.; Seo, Y.-C.; Lee, S.; Lee, J. Emission and speciation of mercury from various combustion sources. Powder Technol. 2008, 180, 151–156. [Google Scholar] [CrossRef]
- Tang, G.; Liu, M.; Yuan, T. Research on the Distribution and Migration Rule of Heavy Metals in Waste Incineration in Guizhou City. Ecol. Environ. Sci. 2016, 25, 686–691, (In Chinese with English Abstract). [Google Scholar]
- Zhang, R. Research on Heavy Metal Distribution from Municipal Solid Waste Incineration; Zhejiang University: Hangzhou, China, 2002; (In Chinese with English Abstract). [Google Scholar]
- Yang, L. Research on Distribution Characteristics of Dioxins and Mercury in Fly Ash from Municipal Solid Waste Incinerators. Master’s Thesis, Shanghai University, Shanghai, China, 2013. (In Chinese with English Abstract). [Google Scholar]
- Liu, M.; Chen, L.; Xu, Z.; Fan, R.; Su, Y.; Ren, M.; Han, J. The emission characteristics of mercury from municipal solid waste incineration plants in the Pearl River Delta region. Acta Sci. Circumstantiae 2013, 33, 2953–2958, (In Chinese with English Abstract). [Google Scholar]
- Jung, C.; Matsuto, T.; Tanaka, N.; Okada, T. Metal distribution in incineration residues of municipal solid waste (MSW) in Japan. Waste Manag. 2004, 24, 381–391. [Google Scholar] [CrossRef] [PubMed]
- Huber, F.; Blasenbauer, D.; Mallow, O.; Lederer, J.; Winter, F.; Fellner, J. Thermal co-treatment of combustible hazardous waste and waste incineration fly ash in a rotary kiln. Waste Manag. 2016, 58, 181–190. [Google Scholar] [CrossRef] [PubMed]
- Belevi, H.; Moench, H. Factors determining the element behavior in municipal solid waste incinerators. 1. Field studies. Environ. Sci. Technol. 2000, 34, 2501–2506. [Google Scholar] [CrossRef]
- Aucott, M.; Namboodiripad, A.; Caldarelli, A.; Frank, K.; Gross, H. Estimated quantities and trends of cadmium, lead, and mercury in US municipal solid waste based on analysis of incinerator ash. Water Air Soil Pollut. 2010, 206, 349–355. [Google Scholar] [CrossRef]
- Gao, F.; Shen, H.; Zhang, J.; Liu, S.; Wang, Y.; Li, J. Distribution, Leaching Behavior, and Mobility of Heavy Metals in Fly Ash from Grate-Fired and Fluidized Bed Municipal Solid Waste Incinerators. ChemistrySelect 2025, 10, e01218. [Google Scholar] [CrossRef]
- Zheng, Y.; Li, J.; Zhang, Y.; Zhao, M.; Zhang, N.; Zhou, A.; Yu, W.; Tan, H.; Wang, X. Heavy metal leaching toxicity of typical grate furnace/fluidized bed furnace waste incineration fly ash and their chelated products. Chem. Ind. Eng. Prog. 2024, 43, 1630. [Google Scholar]
- Sun, G.; Feng, X.; Yang, C.; Zhang, L.; Yin, R.; Li, Z.; Bi, X.; Wu, Y. Levels, sources, isotope signatures, and health risks of mercury in street dust across China. J. Hazard. Mater. 2020, 392, 122276. [Google Scholar] [CrossRef]
- Wu, T.; Bi, X.; Li, Z.; Sun, G.; Feng, X.; Shang, L.; Zhang, H.; He, T.; Chen, J. Contaminations, sources, and health risks of trace metal (loid) s in street dust of a small city impacted by artisanal Zn smelting activities. Int. J. Environ. Res. Public Health 2017, 14, 961. [Google Scholar] [CrossRef]
- Yang, Q.; Chen, H.; Li, B. Source identification and health risk assessment of metals in indoor dust in the vicinity of phosphorus mining, Guizhou Province, China. Arch. Environ. Contam. Toxicol. 2015, 68, 20–30. [Google Scholar] [CrossRef] [PubMed]
- Yan, J.; Wang, C.; Wang, Z.; Yang, S.; Li, P. Mercury concentration and speciation in mine wastes in Tongren mercury mining area, southwest China and environmental effects. Appl. Geochem. 2019, 106, 112–119. [Google Scholar] [CrossRef]
- Duan, Z.; Su, H.; Wang, F.; Zhang, L.; Wang, S.; Yu, B. Study on the distribution characteristics of mercury and atmospheric mercury emission factors in Chongqing garbage incineration plants. Environ. Sci. 2016, 37, 459–465, (In Chinese with English Abstract). [Google Scholar]
- Liu, S.; Zhu, W.; Xiong, Y.; Wang, H.; Duan, X.; Yuan, C.; Deng, S. Migration and transformation characteristics of mercury in the tail-end flue gas of typical municipal solid waste incineration power plants. J. Environ. Eng. Technol. 2025, 15, 1665–1672, (In Chinese with English Abstract). [Google Scholar]
- Song, G.-J.; Kim, K.-H.; Seo, Y.-C.; Kim, S.-C. Characteristics of ashes from different locations at the MSW incinerator equipped with various air pollution control devices. Waste Manag. 2004, 24, 99–106. [Google Scholar] [CrossRef]
- Xiao, R.; Yang, J.; Zhang, Y.; Xiong, Z.; Zhang, J.; Zhao, Y. Efficient and selective immobilization and direct conversion of mercury into optical material-HgSe via highly active trigonal phase selenium (t-Se). Adv. Funct. Mater. 2025, 35, 2500134. [Google Scholar] [CrossRef]
- Cai, D.; Li, L.; Ren, M.; Jiang, G. Study on the background value of soil Se content in Guizhou province. Earth Environ. 2021, 49, 504–509, (In Chinese with English Abstract). [Google Scholar]
- Chang, C.; Chen, C.; Yin, R.; Shen, Y.; Mao, K.; Yang, Z.; Feng, X.; Zhang, H. Bioaccumulation of Hg in rice leaf facilitates selenium bioaccumulation in rice (Oryza sativa L.) leaf in the Wanshan mercury mine. Environ. Sci. Technol. 2020, 54, 3228–3236. [Google Scholar] [CrossRef]
- GB 3838-2002; National Environmental Protection Agency of China and General Administration of Quality Supervision, Inspection and Quarantine of the People’s Republic of China. Environmental Quality Standards for Surface Water. Beijing, China, 2002.
- GB 8978-1996; National Environmental Protection Agency of China. Integrated Wastewater Discharge Standard. Beijing, China, 1996.
- Lin, H.-L.; Zhu, R.-L.; Yu, L.; Cheng, Y.-X.; Zhu, R.-R.; Liu, P.; Ren, Z.-H. Determination of arsenic, mercury, selenium, antimony and bismuth in soil and sediments by water bath digestion-atomic fluorescence spectrometry. Spectrosc. Spectr. Anal. 2020, 40, 1528–1533. [Google Scholar]
- Michalski, R. Applications of ion chromatography in environmental analysis. In Ion-Exchange Chromatography and Related Techniques; Michalski, R., Ed.; Elsevier: Amsterdam, The Netherlands, 2024; pp. 333–349. [Google Scholar]
- Qi, L. Determination of trace elements in twenty six Chinese geochemistry reference materials by inductively coupled plasma-mass spectrometry. Geostand. Newsl. 2000, 24, 51–63. [Google Scholar]





| ID of Incineration Plant | Location in Guizhou and Urban Level | Installed Capacity (t/d) |
|---|---|---|
| MSWI #1 | Northwestern, county level | 600 |
| MSWI #2 | Southeastern, county level | 700 |
| MSWI #3 | Northern, city level | 1500 |
| MSWI #4 | Northern, county level | 400 |
| MSWI #5 | Central, provincial capital | 2250 |
| MSWI #6 | Central, provincial capita | 2400 |
| MSWI #7 | Southern, county level | 600 |
| MSWI #8 | Southern, city level | 600 |
| MSWI #9 | Northern, county level | 1200 |
| MSWI #10 | Northeastern, county level | 500 |
| MSWI #11 | Northeastern, city level | 600 |
| MSWI #12 | Central-west, city level | 1100 |
| MSWI #13 | Southwestern, county level | 600 |
| MSWI #14 | Southwestern, county level | 1200 |
| MSWI #15 | Western, county level | 500 |
| MSWI #16 | Western, city level | 1200 |
| MSWI #17 | Northwestern, county level | 800 |
| MSWI #18 | Northwestern, city level | 1000 |
| ID of Incinerators | Number of Samples | Minimum | Maximum | Geometric Mean | Standard Deviation |
|---|---|---|---|---|---|
| MSWI #1 | 5 | 0.52 | 2.33 | 0.98 | 0.8 |
| MSWI #2 | 6 | 20.43 | 30.7 | 25.35 | 4.75 |
| MSWI #3 | 7 | 11.63 | 16.73 | 13.72 | 1.92 |
| MSWI #4 | 7 | 4.07 | 13.29 | 8.59 | 3.97 |
| MSWI #5 | 7 | 20.29 | 33.93 | 25.44 | 4.79 |
| MSWI #6 | 8 | 9.59 | 43.17 | 22.43 | 13.74 |
| MSWI #7 | 8 | 4.32 | 27.86 | 11.66 | 7.25 |
| MSWI #8 | 10 | 8.74 | 19.13 | 13.92 | 3.59 |
| MSWI #9 | 21 | 3.47 | 24.16 | 9.77 | 6.32 |
| MSWI #10 | 21 | 1.65 | 29.64 | 7.88 | 11.83 |
| MSWI #11 | 21 | 77.77 | 444.38 | 223.33 | 98.58 |
| MSWI #12 | 21 | 3.53 | 9.85 | 6.8 | 1.6 |
| MSWI #13 | 49 | 14.26 | 62.79 | 24.32 | 8.85 |
| MSWI #14 | 49 | 2.97 | 48.29 | 18.43 | 7.85 |
| MSWI #15 | 1 | 3.43 | 3.43 | 3.43 | -- |
| MSWI #16 | 1 | 16.96 | 16.96 | 16.96 | -- |
| MSWI #17 | 1 | 9.25 | 9.25 | 9.25 | -- |
| MSWI #18 | 2 | 0.69 | 1.05 | 0.85 | 0.26 |
| Total | 245 | 0.52 | 444.38 | 17.16 | 69.88 |
| Regions | Range of Hg in MSW-FA (mg/kg) | Average Hg in MSW-FA (mg/kg) | Hg in MSW (mg/kg) | References |
|---|---|---|---|---|
| 18 MSWIs in Guizhou, China | 0.52–444.38 | 22.14 a | -- | This study |
| 15 MSWIs in China | 1–24 | 10 | -- | [41] |
| 76 data in China | 0.03–84.6 | 6.14 b | -- | [3] |
| Beijing, China | -- | 20.8 ± 0.7 | -- | [42] |
| Chengdu, China | -- | 2.8 ± 0.2 | -- | [42] |
| Fujian, China | -- | 5.5 ± 0.2 | -- | [42] |
| 2 MSWIs in Shanghai, China | 3.8–44.8 | 13.8; 15.8 | -- | [47] |
| 2 MSWIs in Shanghai, China | 20–160 | 80 | 0–2.5 | [19] |
| Shenzhen, China | -- | 18.6 ± 0.6 | -- | [42] |
| Zunyi, China | 2.06–3.17 | 2.46 | -- | [45] |
| Hangzhou, China | -- | 8.43 | -- | [46] |
| Chongqing, China | -- | 5.28 | 0.37 | [21] |
| 7 MSWIs in Guangdong, China | 0.89–13.71 | 6.67 | 0.066–0.636 | [48] |
| South Korea | -- | 20.34 | 0.42 | [43,44] |
| 19 MSWIs in Japan | 0.03–41 | 8 | -- | [49] |
| Sweden | -- | 94 | 2 | [18] |
| Austria | -- | 12 ± 3 | -- | [50] |
| Switzerland | 90–130 | -- | 2.9–4.2 | [51] |
| Two counties in United States | -- | -- | 0.9–2.6 | [52] |
Disclaimer/Publisher’s Note: The statements, opinions and data contained in all publications are solely those of the individual author(s) and contributor(s) and not of MDPI and/or the editor(s). MDPI and/or the editor(s) disclaim responsibility for any injury to people or property resulting from any ideas, methods, instructions or products referred to in the content. |
© 2026 by the authors. Licensee MDPI, Basel, Switzerland. This article is an open access article distributed under the terms and conditions of the Creative Commons Attribution (CC BY) license.
Share and Cite
Yang, L.; Tang, L.; Wang, Q.; Sun, G.; Liu, P.; He, T.; Li, Z. The Levels, Speciation, and Influencing Factors of Mercury in MSWI Fly Ashes of a High Geological Background Area. Toxics 2026, 14, 226. https://doi.org/10.3390/toxics14030226
Yang L, Tang L, Wang Q, Sun G, Liu P, He T, Li Z. The Levels, Speciation, and Influencing Factors of Mercury in MSWI Fly Ashes of a High Geological Background Area. Toxics. 2026; 14(3):226. https://doi.org/10.3390/toxics14030226
Chicago/Turabian StyleYang, Liangliang, Li Tang, Qingfeng Wang, Guangyi Sun, Peng Liu, Tianrong He, and Zhonggen Li. 2026. "The Levels, Speciation, and Influencing Factors of Mercury in MSWI Fly Ashes of a High Geological Background Area" Toxics 14, no. 3: 226. https://doi.org/10.3390/toxics14030226
APA StyleYang, L., Tang, L., Wang, Q., Sun, G., Liu, P., He, T., & Li, Z. (2026). The Levels, Speciation, and Influencing Factors of Mercury in MSWI Fly Ashes of a High Geological Background Area. Toxics, 14(3), 226. https://doi.org/10.3390/toxics14030226

