Study on Ammonia Nitrogen Adsorption Performance and Mechanism of Modified Clinoptilolite
Abstract
1. Introduction
2. Materials and Methods
2.1. Materials
2.1.1. Categories of Adsorbents
2.1.2. Experimental Water
2.2. Experimental Section
2.3. Sample Analysis
2.4. Characteristic Analysis
3. Results
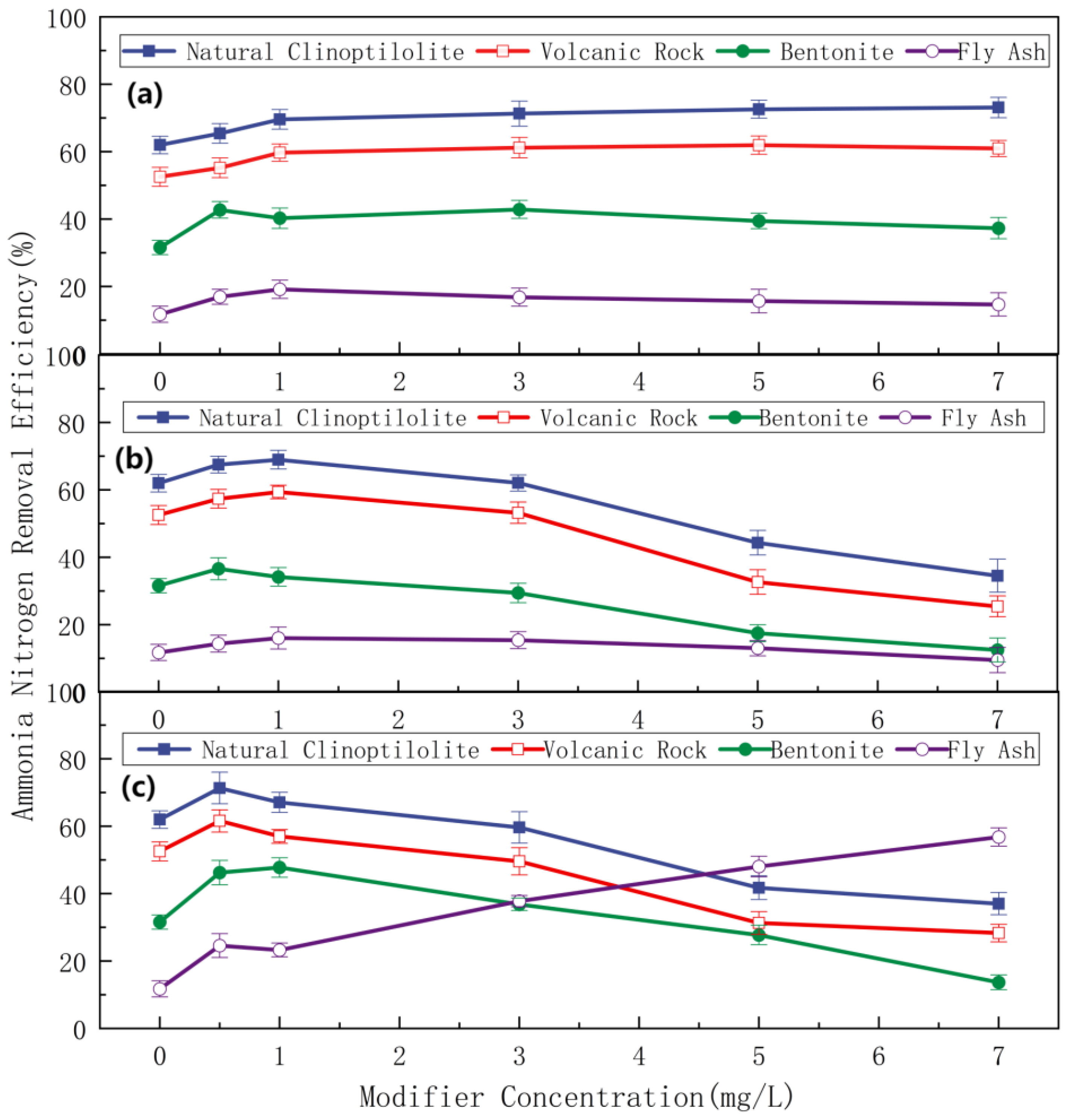
3.1. Comparative Study of Modified Adsorbents
3.2. Analysis of Modified Substance Content via X-Ray Fluorescence (XRF) Spectroscopy
3.3. Analysis of Adsorption and Desorption Properties
3.4. Surface Main Element and Morphology Analysis
3.5. Analysis of Crystal Structure and Functional Groups
3.6. Influence of Interfering Ions
3.7. Orthogonal Experimental Analysis of Preparation Conditions for Cerium Chloride-Modified Clinoptilolite
3.8. Adsorption Isotherm Fitting
3.9. Adsorption Kinetics Fitting
3.10. Adsorption Thermodynamic Fitting
4. Conclusions
Author Contributions
Funding
Institutional Review Board Statement
Informed Consent Statement
Data Availability Statement
Acknowledgments
Conflicts of Interest
References
- Xiang, S.; Liu, Y.; Zhang, G.; Ruan, R.; Wang, Y.; Wu, X.; Zheng, H.; Zhang, Q.; Cao, L. New progress of ammonia recovery during ammonia nitrogen removal from various wastewaters. World J. Microbiol. Biotechnol. 2020, 36, 144. [Google Scholar] [CrossRef] [PubMed]
- Frumin, G.T.; Gildeeva, I.M. Eutrophication of water bodies—A global environmental problem. Russ. J. Gen. Chem. 2014, 84, 2483–2488. [Google Scholar] [CrossRef]
- Lin, X.; Li, S.; Sun, D.; Zhou, W.; Wei, J.; Fang, H.; Zhu, L.; Lu, Z.; Xu, J. Assessment and comprehensive evaluation of large-scale reclaimed water reuse for urban river restoration and water resource management: A case study in China. Water 2023, 15, 3909. [Google Scholar] [CrossRef]
- Qiang, L.I.; Jingshen, Z.H.; Ruiheng, L.I.; Shilong, W.A.; Jingqing, G.A.; Bozhen, S.O.; Zhenzhen, H.U.; Junhui, C.H. Novel Ceramsite Substrate of Constructed Wetland: Preparation and Study on Phosphorus Removal. Environ. Sci. Technol. 2021, 44, 13. [Google Scholar]
- Ji, X.; Zhang, W.; Jiang, M.; He, J.; Zheng, Z. Black-odor water analysis and heavy metal distribution of Yitong River in Northeast China. Water Sci. Technol. 2017, 76, 2051–2064. [Google Scholar] [CrossRef]
- Pérez-Botella, E.; Valencia, S.; Rey, F. Zeolites in adsorption processes: State of the art and future prospects. Chem. Rev. 2022, 122, 17647–17695. [Google Scholar] [CrossRef]
- Yu, C.; Li, Z.; Xu, Z.; Yang, Z. Lake recovery from eutrophication: Quantitative response of trophic states to anthropogenic influences. Ecol. Eng. 2020, 143, 105697. [Google Scholar] [CrossRef]
- Xiao, C.; Chai, Z.; Chen, D.; Luo, Z.; Li, Y.; Ou, Q.; Zhang, Y. Research on the Influence of River Morphological Changes on Water Self-Purification Capacity: A Case Study of the Shiwuli River in Chaohu Basin. Water 2025, 17, 1694. [Google Scholar] [CrossRef]
- Wang, Y.N.; Guo, X.C.; Lu, S.Y.; Liu, X.H.; Wang, X.H. Review of nitrogen removal in low-polluted water by constructed wetlands: Performance, mechanism, and influencing. J. Agric. Resour. Environ. 2021, 38, 722–734. [Google Scholar]
- Xu, G.; Li, Y.; Hou, W.; Wang, S.; Kong, F. Effects of substrate type on enhancing pollutant removal performance and reducing greenhouse gas emission in vertical subsurface flow constructed wetland. J. Environ. Manag. 2021, 280, 111674. [Google Scholar] [CrossRef]
- Atkins, P.F.; Scherger, D.A. A Review of Physical-Chemical Methods For Nitrogen Removal From Wastewaters; Pergamon: Oxford, UK, 2013; pp. 713–719. [Google Scholar]
- Fan, J.; Wu, H.; Liu, R.; Meng, L.; Fang, Z.; Liu, F.; Xu, Y. Non-thermal plasma combined with zeolites to remove ammonia nitrogen from wastewater. J. Hazard. Mater. 2021, 401, 123627. [Google Scholar] [CrossRef]
- Mugwili, M.E.; Waanders, F.B.; Masindi, V.; Fosso-Kankeu, E. An update on sustainabilities and challenges on the removal of ammonia from aqueous solutions: A state-of-the-art review. J. Environ. Manag. 2023, 347, 119172. [Google Scholar] [CrossRef] [PubMed]
- Sobhi, M.; Guo, J.; Gaballah, M.S.; Li, B.; Zheng, J.; Cui, X.; Sun, H.; Dong, R. Selecting the optimal nutrients recovery application for a biogas slurry based on its characteristics and the local environmental conditions: A critical review. Sci. Total Environ. 2022, 814, 152700. [Google Scholar] [CrossRef] [PubMed]
- An, S.; Jin, Q. Significant removal of ammonia nitrogen in low concentration from aqueous solution at low pH by advanced air stripping. Environ. Sci. Pollut. Res. 2021, 28, 35113–35125. [Google Scholar] [CrossRef] [PubMed]
- Adam, M.R.; Othman, M.H.; Samah, R.A.; Puteh, M.H.; Ismail, A.F.; Mustafa, A.; Rahman, M.A.; Jaafar, J. Current trends and future prospects of ammonia removal in wastewater: A comprehensive review on adsorptive membrane development. Sep. Purif. Technol. 2019, 213, 114–132. [Google Scholar] [CrossRef]
- Capodaglio, A.G.; Hlavínek, P.; Raboni, M. Physico-chemical technologies for nitrogen removal from wastewaters: A review. Rev. Ambiente Água 2015, 10, 481–498. [Google Scholar]
- Mugwili, M.E.; Waanders, F.B.; Masindi, V.; Fosso-Kankeu, E. Effective removal of ammonia from aqueous solution through struvite synthesis and breakpoint chlorination: Insights into the synergistic effects of the hybrid system. J. Environ. Manag. 2023, 334, 117506. [Google Scholar] [CrossRef]
- Kuleyin, A.; Yeni, O.; Sisman, Y. Ammonia and COD removal from landfill leachate using MAP precipitation method. Glob. NEST J. 2020, 22, 315–319. [Google Scholar]
- Yang, D.; Chen, Q.; Liu, R.; Song, L.; Zhang, Y.; Dai, X. Ammonia recovery from anaerobic digestate: State of the art, challenges and prospects. Bioresour. Technol. 2022, 363, 127957. [Google Scholar] [CrossRef]
- Qiu, B.; Fan, S.; Tang, X.; Qi, B.; Deng, L.; Wang, W.; Liu, J.; Wang, Y.; Xiao, Z. Simultaneous recovery of phosphorus and nitrogen from liquid digestate by vacuum membrane distillation with permeate fractional condensation. Chin. J. Chem. Eng. 2020, 28, 1558–1565. [Google Scholar] [CrossRef]
- Qin, L.; Gao, M.; Zhang, M.; Feng, L.; Liu, Q.; Zhang, G. Application of encapsulated algae into MBR for high-ammonia nitrogen wastewater treatment and biofouling control. Water Res. 2020, 187, 116430. [Google Scholar] [CrossRef] [PubMed]
- Tang, K.; Xie, J.; Pan, Y.; Zou, X.; Sun, F.; Yu, Y.; Xu, R.; Jiang, W.; Chen, C. The optimization and regulation of energy consumption for MBR process: A critical review. J. Environ. Chem. Eng. 2022, 10, 108406. [Google Scholar] [CrossRef]
- Lastimado, A.E., Jr.; Pahunang, R.R.; Rabongue, A.; Buonerba, A. Acid-salt-modified natural zeolite as a highly efficient adsorbent for pharmaceuticals from contaminated water. J. Water Process Eng. 2025, 79, 109065. [Google Scholar] [CrossRef]
- Ding, Y.; Li, X.; Cheng, Y.; Li, P.; Liang, S.; Guo, H.; Yan, B.; Chen, D.; Zhao, W. Converting copper slag and secondary aluminum dross into zeolite 13X, γ-/α-Fe2O3, iron-modified zeolite materials for chromium-containing wastewater treatment. J. Water Process Eng. 2025, 79, 109019. [Google Scholar] [CrossRef]
- Chen, Z.; Liu, Q.; Liu, Z.; Xiao, P.; Wen, B.; Qin, X.; Peng, H.; Wang, X.; Gong, Y. Largely enhanced acidic structure of HZSM-5 zeolite by hydrothermally modifying with urea and TiO2 boosting performance of cracking hexane. Fuel 2026, 406, 136890. [Google Scholar] [CrossRef]
- Lv, Y.; Cheng, K.; Gao, J.; Sun, W.; Luo, Q.; Li, Y.; Deng, Z.; Lai, R.; Wu, W.; Dai, Z.; et al. Corrosion resistance of Nb and NbTi alloy predicted by hydrogen evolution reaction models modified with Langmuir isotherm adsorption theory. Mater. Chem. Phys. 2024, 319, 129386. [Google Scholar] [CrossRef]
- Guo, X.; Wang, J. Comparison of linearization methods for modeling the Langmuir adsorption isotherm. J. Mol. Liq. 2019, 296, 111850. [Google Scholar] [CrossRef]
- Marković, V.L.; Stamenković, S.N. Freundlich adsorption isotherm for description of gas–surface interaction. Vacuum 2025, 234, 114092. [Google Scholar] [CrossRef]
- Zhou, X.; Zhang, Y.; Murzin, D.Y. Correcting misconceptions on thermodynamic calculations using the Freundlich model. J. Environ. Chem. Eng. 2025, 13, 116993. [Google Scholar] [CrossRef]
- Darweesh, R.F.; Zaki, R.M.; Mahdy, A.; Ahmed, A.S. Enhanced adsorption of methylene blue (MB) dye by the MoS2/ZIF-8 composite: Isotherm and kinetics studies. Mater. Adv. 2026, 7, 338–350. [Google Scholar] [CrossRef]
- Guerra-Que, Z.; López-Margalli, K.S.; Urrieta-Saltijeral, J.M.; Silahua-Pavón, A.A.; Martínez-García, H.; García-Alamilla, P.; Córdova-Pérez, G.E.; Arévalo-Pérez, J.C.; Torres-Torres, J.G. Activated carbon synthesised from lignocellulosic cocoa pod husk via alkaline and acid treatment for methylene blue adsorption: Optimisation by response surface methodology, kinetics, and isotherm modelling. RSC Adv. 2025, 15, 47231–47254. [Google Scholar] [CrossRef]
- Jiang, C.; Zhang, S.; Wang, L.; Wu, J.; Chen, L.; Wang, M.; Xiao, Z.; Guo, F.; Wu, J.; Zhang, Y. Tetracycline adsorption on nitrogen-doped furfural residue biochar: Kinetics, thermodynamics and mechanism analysis. Colloids Surf. A Physicochem. Eng. Asp. 2025, 727, 138197. [Google Scholar] [CrossRef]
- Basuki, R.; Apriliyanto, Y.B.; Stiawan, E.; Pradipta, A.R.; Rusdiarso, B.; Putra, B.R. Magnetic hybrid chitin-horse manure humic acid for optimized Cd (II) and Pb (II) adsorption from aquatic environment. Case Stud. Chem. Environ. Eng. 2025, 11, 101138. [Google Scholar] [CrossRef]
- Najid, N.; Gourich, B.; Kouzbour, S.; Ncibi, M.C.; El Midaoui, A. Impact of saline water matrix on the removal of boron using electrocoagulation process: Unveiling performance, removal mechanism, and cost-energy evaluation. Chem. Eng. Process. Process Intensif. 2025, 207, 110069. [Google Scholar] [CrossRef]
- Adebule, A.P.; Sanusi, I.A.; Kana, G.E.B. Adsorption kinetics and thermodynamics of Fe3O4-nanoparticle-based detoxification of process inhibitors in pretreated waste potato peel hydrolysate. Bioresour. Technol. Rep. 2025, 31, 102185. [Google Scholar] [CrossRef]
- Li, Q.; Zhu, S.; Yin, R.; Ma, X.; Li, G.; Yi, Y.; Dong, F. Crosslinking polymer based on amino chitosan for the adsorption of phenoxycarboxylic acids: Kinetics, isotherm, and thermodynamics. Int. J. Biol. Macromol. 2025, 323, 147040. [Google Scholar] [CrossRef]











| Reagent Name | Chemical Formula | Purity Grade | Manufacturer |
|---|---|---|---|
| Ammonium Chloride | NH4Cl | Analytical Grade | Sinopharm Chemical Reagent Co., Ltd., Shanghai, China |
| Hydrochloric Acid | HCl | Analytical Grade | Aladdin Industrial Corporation, Shanghai, China |
| Sodium Hydroxide | NaOH | Analytical Grade | Aladdin Industrial Corporation, Shanghai, China |
| Sodium Chloride | NaCl | Analytical Grade | Sinopharm Chemical Reagent Co., Ltd., Shanghai, China |
| Lanthanum Chloride | LaCl3·7H2O | Analytical Grade | Aladdin Industrial Corporation, Shanghai, China |
| Cerium Chloride | CeCl3·7H2O | Analytical Grade | Aladdin Industrial Corporation, Shanghai, China |
| Potassium Sodium Tartrate | C4H4O6KNa·4H2O | Analytical Grade | Sinopharm Chemical Reagent Co., Ltd., Shanghai, China |
| Bentonite | — | Analytical Grade | Tianjin Guangfu Technology Development Co., Ltd., Tianjin, China |
| Nessler’s Reagent | Nessler | Analytical Grade | BkmamlabIndustrial Corporation, Changsha, China |
| Adsorbent Material | Pre-Calcination Mass (g) | Post-Calcination Mass (g) | Mass Loss (g) | Loss Rate (%) |
|---|---|---|---|---|
| Clinoptilolite | 30.6582 | 29.9824 | 0.6758 | 2.20 |
| Volcanic Rock | 27.4143 | 27.296 | 0.1183 | 0.43 |
| Fly Ash | 16.4716 | 16.4272 | 0.0444 | 0.27 |
| Bentonite | 17.1475 | 16.4646 | 0.6829 | 3.98 |
| Number | SiO2 | Al2O3 | K2O | CaO | Fe2O3 | MgO | Na2O | La2O3 | CeO2 | Other | SiO2/Al2O3 |
|---|---|---|---|---|---|---|---|---|---|---|---|
| 0 | 69.23 | 13.25 | 5.43 | 4.98 | 3.58 | 1.68 | 0.65 | 0 | 0 | 1.20 | 5.2 |
| 1 | 84.45 | 5.66 | 5.10 | 0.41 | 2.72 | 0.55 | 0.32 | 0 | 0 | 0.79 | 14.6 |
| 2 | 63.47 | 13.18 | 5.69 | 5.43 | 3.82 | 1.83 | 4.84 | 0 | 0 | 1.74 | 4.8 |
| 3 | 72.48 | 13.73 | 5.37 | 2.33 | 2.87 | 1.05 | 1.02 | 0 | 0 | 1.15 | 5.3 |
| 4 | 65.27 | 12.34 | 5.37 | 4.94 | 3.55 | 1.70 | 0.67 | 5.65 | 0 | 0.51 | 5.3 |
| 5 | 64.16 | 13.47 | 5.22 | 4.87 | 3.78 | 1.70 | 1.49 | 0 | 4.84 | 0.47 | 4.8 |
| Sample | Specific Surface Area (m2/g) | Average Pore Diameter (nm) | Total Pore Volume (cm3/g) |
|---|---|---|---|
| Natural clinoptilolite | 18.64 | 11.66 | 0.06 |
| Hydrochloric acid-modified clinoptilolite | 40.21 | 4.30 | 0.08 |
| Sodium hydroxide-modified clinoptilolite | 16.71 | 17.11 | 0.07 |
| Sodium chloride-modified clinoptilolite | 29.25 | 13.22 | 0.06 |
| Lanthanum chloride-modified clinoptilolite | 14.97 | 10.24 | 0.05 |
| Cerium chloride-modified clinoptilolite | 21.92 | 12.27 | 0.07 |
| Factor Level | A (Cerium Chloride Concentration, %) | B (Solid-to-Liquid Ratio) | C (pH) | D (Blank) |
|---|---|---|---|---|
| 1 | 1.0 | 1:25 | 7 | 1 |
| 2 | 1.5 | 1:40 | 9 | 2 |
| 3 | 2.0 | 1:50 | 11 | 3 |
| Level | A (Cerium Chloride Concentration, %) | B (Solid-to-Liquid Ratio) | C (pH) | D (Blank) | Ammonia Nitrogen Removal Rate (%) |
|---|---|---|---|---|---|
| 1 | 1.0 | 1:25 | 7 | 1 | 76.65 |
| 2 | 1.0 | 1:40 | 9 | 2 | 85.45 |
| 3 | 1.0 | 1:50 | 11 | 3 | 72.47 |
| 4 | 1.5 | 1:25 | 9 | 3 | 70.59 |
| 5 | 1.5 | 1:40 | 7 | 1 | 80.03 |
| 6 | 1.5 | 1:50 | 11 | 2 | 79.63 |
| 7 | 2.0 | 1:25 | 9 | 2 | 79.13 |
| 8 | 2.0 | 1:40 | 7 | 3 | 78.36 |
| 9 | 2.0 | 1:50 | 11 | 1 | 74.62 |
| 234.57 | 226.37 | 231.30 | |||
| 230.25 | 243.84 | 244.21 | |||
| 232.11 | 226.72 | 221.42 | |||
| 78.19 | 75.46 | 77.10 | |||
| 76.75 | 81.28 | 81.40 | |||
| 77.37 | 75.57 | 73.81 | |||
| R | 1.44 | 5.82 | 7.60 |
| Factor | Sum of Squares S | Degrees of Freedom f | Mean Square V | F2 Value | p Value | Significance |
|---|---|---|---|---|---|---|
| A | 3.13 | 2 | 1.57 | 1.09 | 0.4784 | ns |
| B | 66.49 | 2 | 33.25 | 23.16 | 0.0414 | * |
| C | 87.07 | 2 | 43.54 | 30.33 | 0.0319 | * |
| Adsorbate | Langmuir Equation Fitting | Freundlich Equation Fitting | ||||
|---|---|---|---|---|---|---|
| qm (mg/g) | KL (L/mg) | R2 | KF (L/mg) | 1/n | R2 | |
| Ammonia nitrogen | 5.540 | 0.079 | 0.998 | 0.691 | 0.476 | 0.952 |
| Adsorbate | Pseudo-First-Order Kinetics | Pseudo-Second-Order Kinetics | ||||
|---|---|---|---|---|---|---|
| qe1 (mg/g) | K1 (min−1) | R2 | qe2 (mg/g) | K2 (min−1) | R2 | |
| Ammonia nitrogen | 1.812 | 0.170 | 0.964 | 1.681 | 0.402 | 0.998 |
| Adsorbate | K3 | C (mg·g−1·h0.5) | R2 |
|---|---|---|---|
| Ammonia nitrogen | 0.479 | 0.198 | 0.968 |
| T(K) | ∆G (KJ/mol) | ∆H (KJ/mol) | ∆S (J/(K·mol)) | R2 |
|---|---|---|---|---|
| 288.15 | −0.848 | 15.136 | 55.455 | 0.9996 |
| 298.15 | −1.403 | |||
| 308.15 | −1.958 | |||
| 318.15 | −2.513 |
Disclaimer/Publisher’s Note: The statements, opinions and data contained in all publications are solely those of the individual author(s) and contributor(s) and not of MDPI and/or the editor(s). MDPI and/or the editor(s) disclaim responsibility for any injury to people or property resulting from any ideas, methods, instructions or products referred to in the content. |
© 2026 by the authors. Licensee MDPI, Basel, Switzerland. This article is an open access article distributed under the terms and conditions of the Creative Commons Attribution (CC BY) license.
Share and Cite
Tian, J.; Li, C.; Zhang, S. Study on Ammonia Nitrogen Adsorption Performance and Mechanism of Modified Clinoptilolite. Toxics 2026, 14, 200. https://doi.org/10.3390/toxics14030200
Tian J, Li C, Zhang S. Study on Ammonia Nitrogen Adsorption Performance and Mechanism of Modified Clinoptilolite. Toxics. 2026; 14(3):200. https://doi.org/10.3390/toxics14030200
Chicago/Turabian StyleTian, Jiale, Cuimei Li, and Shaoguang Zhang. 2026. "Study on Ammonia Nitrogen Adsorption Performance and Mechanism of Modified Clinoptilolite" Toxics 14, no. 3: 200. https://doi.org/10.3390/toxics14030200
APA StyleTian, J., Li, C., & Zhang, S. (2026). Study on Ammonia Nitrogen Adsorption Performance and Mechanism of Modified Clinoptilolite. Toxics, 14(3), 200. https://doi.org/10.3390/toxics14030200
