Removal of Tetracycline via Ultraviolet-Activated Peroxyacetic Acid: Performance and Mechanism
Abstract
1. Introduction
2. Materials and Methods
2.1. Chemicals
2.2. Apparatus
2.3. Experimental Procedure
2.4. Analytical Methods
3. Results and Discussion
3.1. Removal Efficiency of TC in Different Systems
3.2. Effect of PAA Dosage on TC Removal
3.3. Effect of TC Concentration on Removal Performance
3.4. Effect of Light Intensity on TC Removal
3.5. Effect of Anions on TC Removal
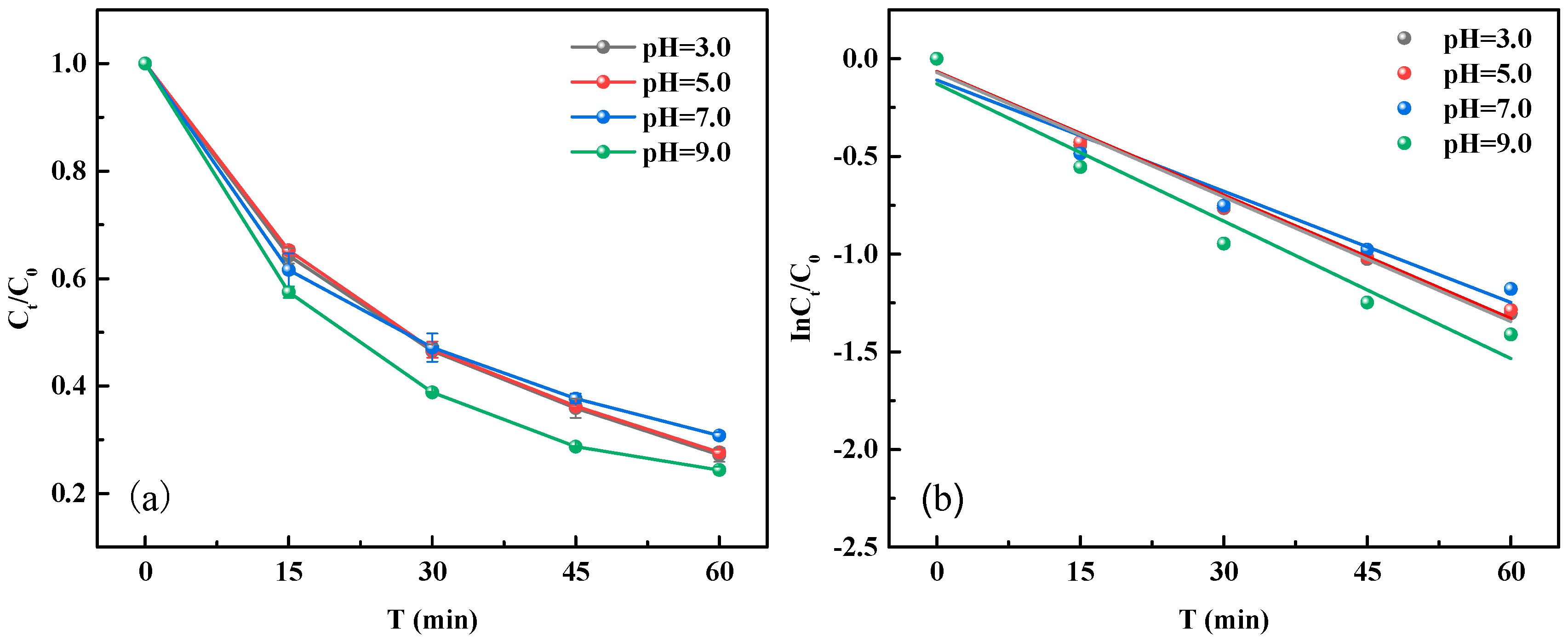
3.6. Effect of Solution pH on TC Removal
3.7. Effect of Real Water Matrices on TC Removal
3.8. Investigation of UV/PAA Reaction Mechanism
4. Conclusions
- (1)
- The UV/PAA system demonstrated significantly enhanced degradation efficiency for TC compared to individual UV or PAA treatment, achieving a removal rate of up to 79%. This confirms that the synergistic interaction between UV and PAA enhances oxidative capacity and enables efficient TC decomposition.
- (2)
- As the TC concentration increases, degradation becomes more challenging. Higher PAA dosage and greater light intensity promote the generation of reactive radicals (e.g., ·OH), thereby accelerating the degradation rate and improving removal efficiency.
- (3)
- The solution pH influences the stability of PAA and consequently affects degradation performance. Under neutral pH conditions, PAA decomposition leads to relatively lower radical generation efficiency, resulting in slower degradation rates.
- (4)
- NO3− promotes TC degradation in the system, as it can be photoactivated under UV irradiation to produce reactive radicals such as ·OH, thereby enhancing degradation efficiency. Other anions inhibit the reaction system, with the order of inhibitory effect being: H2PO4− > Cl− > HCO3− > SO42−.
- (5)
- Radical quenching experiments indicate that ·OH serves as the primary reactive species responsible for TC degradation in the UV/PAA system, working together with 1O2 and O2·− to drive the degradation of TC under UV-activated peracetic acid conditions.
Supplementary Materials
Author Contributions
Funding
Institutional Review Board Statement
Informed Consent Statement
Data Availability Statement
Acknowledgments
Conflicts of Interest
References
- Huang, F.Y.; Zhou, D.F.; Yan, B.S.; Wang, B.; Liu, F.; Guan, X.Y.; Qu, S. Global priority antibiotics integrated with their environmental occurrence and the health risks of antibiotic resistance genes. J. Clean. Prod. 2025, 490, 144778. [Google Scholar] [CrossRef]
- Su, R.; Yao, H.; Wang, H.; Chen, Y.; Huang, S.; Luo, Y.; Ma, X. Metal-organic frameworks for removing emerging organic pollutants: A review. J. Water Process Eng. 2025, 70, 107096. [Google Scholar] [CrossRef]
- Luo, Y.; Liu, Z.; Ye, M.; Zhou, Y.; Su, R.; Huang, S.; Chen, Y.; Dai, X. Synergistic enhancement of oxytetracycline hydrochloride removal by UV/ZIF-67 (Co)-activated peroxymonosulfate. Water 2024, 16, 2586. [Google Scholar] [CrossRef]
- Luo, Y.; Su, R. Preparation of NH2-MIL-101(Fe) metal organic framework and its performance in adsorbing and removing tetracycline. Int. J. Mol. Sci. 2024, 25, 9855. [Google Scholar] [CrossRef]
- Wang, Y.Y.; Du, B.; Wu, G.X. Tetracycline in anaerobic digestion: Microbial inhibition, removal pathways, and conductive material mitigation. J. Hazard. Mater. 2025, 496, 139378. [Google Scholar] [CrossRef] [PubMed]
- Nkoh, J.N.; Shang, C.J.; Okeke, E.S.; Ejeromedoghene, O.; Oderinde, O.; Etafo, N.O.; Mgbechidinma, C.L.; Bakare, O.C.; Meugang, E.F. Antibiotics soil-solution chemistry: A review of environmental behavior and uptake and transformation by plants. J. Environ. Manag. 2024, 354, 120312. [Google Scholar] [CrossRef]
- Su, B.; Zhong, Y.; Zhuang, X.; Zhang, L.; Zhang, M.; Chen, J.; Liang, H.; Mu, Y.; Xu, T.; Chen, Y.; et al. Degradation of Tetracycline Hydrochloride by Cobalt-Doped Biochar-Activated Peroxymonosulfate. Water 2025, 17, 1730. [Google Scholar] [CrossRef]
- Bej, S.; Swain, S.; Bishoyi, A.K.; Mandhata, C.P.; Sahoo, C.R.; Padhy, R.N. Recent advancements on antibiotic bioremediation in wastewaters with a focus on algae: An overview. Environ. Technol. 2024, 45, 4214–4229. [Google Scholar] [CrossRef] [PubMed]
- Lin, Y.X.; Yu, J.; Wang, M.; Wu, L.L. Toxicity of single and combined 4-epianhydrotetracycline and cadmium at environmentally relevant concentrations on the zebrafish embryos. Environ. Pollut. 2023, 316, 120543. [Google Scholar] [CrossRef]
- Li, Z.H.; Yang, F.X.; Yang, M.; Yan, R.K.; Zhang, K.Q. The Mechanisms of Tetracycline in Shaping Antibiotic Resistance Gene Dynamics in Earthworm Casts During Vermicomposting. Toxics 2025, 13, 273. [Google Scholar] [CrossRef]
- Yin, W.J.; Liu, T.C.; Chen, J.B.; Zhang, L.L.; Ji, R.C.; Xu, Y.; Xu, J.; Li, N.; Zhou, X.F.; Zhang, Y.L. Using UV/peracetic acid as pretreatment for subsequent bio-treatment of antibiotic-containing wastewater treatment: Mitigating microbial inhibition and antibiotic resistance genes proliferation. J. Hazard. Mater. 2024, 470, 134166. [Google Scholar] [CrossRef] [PubMed]
- Sanganyado, E.; Gwenzi, W. Antibiotic resistance in drinking water systems: Occurrence, removal, and human health risks. Sci. Total Environ. 2019, 669, 785–797. [Google Scholar] [CrossRef]
- Wen, L.L.; Dai, J.J.; Song, J.M.; Ma, J.; Li, X.G.; Yuan, H.M.; Duan, L.Q.; Wang, Q.D. Antibiotic resistance genes (ARGs) in microorganisms and their indications for the nitrogen/sulfur cycle in the East China Sea sediments. J. Hazard. Mater. 2025, 488, 137280. [Google Scholar] [CrossRef]
- Liu, R.; Lu, W.; Liu, Y.T.; Zhou, M.Z.; Li, B.S.; Lin, H.J.; Teng, J.H.; Shen, L.G.; Guan, X.H.; Zhao, L.H. Open the door to the new world of singlet oxygen in the peracetic acid system: Generation and identification. Water Res. 2026, 289, 124998. [Google Scholar] [CrossRef]
- Yao, G.L.; Zhou, X.F.; Gao, H.P.; Liu, T.C.; Zhang, Y.L.; Chen, J.B. Peracetic acid-driven advanced oxidation processes for wastewater treatment: Demystifying organic radicals and non-radical species. Crit. Rev. Environ. Sci. Technol. 2025, 55, 1124–1147. [Google Scholar] [CrossRef]
- Li, L.Z.; Chen, Y.; Sun, P.; Zhang, Y.F.; Li, H.; Guo, H.; Wang, T.C. Single-atom tungsten anchored g-C3N4 catalysts for efficient peracetic acid activation: Toward enhanced sulfamethazine degradation. Environ. Res. 2025, 287, 123102. [Google Scholar] [CrossRef] [PubMed]
- Gasim, M.F.; Bao, Y.P.; Elgarahy, A.M.; Osman, A.I.; Al-Muhtaseb, A.H.; Rooney, D.W.; Yap, P.S.; Oh, W.D. Peracetic acid activation using heterogeneous catalysts for environmental decontamination: A review. Catal. Commun. 2023, 180, 106702. [Google Scholar] [CrossRef]
- Liu, B.Z.; Huang, B.R.; Ma, X.C.; Huang, H.H.; Zou, C.; Liu, J.X.; Luo, Q.Z.; Wang, C.; Liang, J.L. Recent advances in peracetic acid-based advanced oxidation processes for emerging pollutants elimination: A review. J. Environ. Chem. Eng. 2024, 12, 112927. [Google Scholar] [CrossRef]
- Su, R.; Wang, Z.; Liu, Z.; Chen, Y.; Wang, H.; Dai, X.; Ge, X.; Luo, Y. Single atoms in environmental catalysis: Breakthroughs in synthesis and application. J. Water Process Eng. 2024, 68, 106319. [Google Scholar] [CrossRef]
- Luo, Y.; Su, R. Cobalt-based MOF material activates persulfate to degrade residual ciprofloxacin. Water 2024, 16, 2299. [Google Scholar] [CrossRef]
- Daswat, D.P.; Mukhopadhyay, M. Photochemical degradation of chlorophenol industry wastewater using peroxy acetic acid (PAA). Chem. Eng. J. 2012, 209, 1–6. [Google Scholar] [CrossRef]
- Rizzo, L.; Agovino, T.; Nahim-Granados, S.; Castro-Alferez, M.; Fernandez-Ibanez, P.; Polo-Lopez, M.I. Tertiary treatment of urban wastewater by solar and UV-C driven advanced oxidation with peracetic acid: Effect on contaminants of emerging concern and antibiotic resistance. Water Res. 2019, 149, 272–281. [Google Scholar] [CrossRef]
- Yao, K.Y.; Fang, L.; Liao, P.B.; Chen, H.S. Ultrasound-activated peracetic acid to degrade tetracycline hydrochloride: Efficiency and mechanism. Sep. Purif. Technol. 2023, 306, 122635. [Google Scholar] [CrossRef]
- Zhou, Y.N.; Zhu, S.Q.; Yan, Z.; Luo, Y.Q.; Liao, Q.; Hu, X.; Wei, Y.M.; Li, L.; Gao, J.M. Alkaline UV/PAA synergistic degradation of iron-cyanide complexes: UV-driven ligand disruption and radical oxidation pathways. Water Res. 2025, 287, 124528. [Google Scholar] [CrossRef]
- Ao, X.-w.; Eloranta, J.; Huang, C.-H.; Santoro, D.; Sun, W.-j.; Lu, Z.-d.; Li, C. Peracetic acid-based advanced oxidation processes for decontamination and disinfection of water: A review. Water Res. 2021, 188, 116479. [Google Scholar] [CrossRef]
- Cai, M.; Sun, P.; Zhang, L.; Huang, C.-H. UV/Peracetic acid for degradation of pharmaceuticals and reactive species evaluation. Environ. Sci. Technol. 2017, 51, 14217–14224. [Google Scholar] [CrossRef]
- GB/T 19104-2021; Peracetic Acid Solution. Standardization Administration of China: Beijing, China, 2021.
- Lai, W.W.P.; Tien, C.H.; Tang, Z.S. Removal of the chemotherapeutic drugs 5-fluorouracil and cyclophosphamide by UV/peracetic acid: Reaction kinetics and mechanism. J. Water Process Eng. 2023, 55, 104114. [Google Scholar] [CrossRef]
- Zhu, Y.P.; Cao, Y.X.; Shu, S.H.; Zhu, P.J.; Wang, D.F.; Xu, H.; Cai, D.Q. Comparison of Medium-Pressure UV/Peracetic Acid to Remove Three Typical Refractory Contaminants of Textile Wastewater. Processes 2023, 11, 1183. [Google Scholar] [CrossRef]
- Hu, J.; Li, T.; Zhang, X.X.; Ren, H.Q.; Huang, H. Degradation of steroid estrogens by UV/peracetic acid: Influencing factors, free radical contribution and toxicity analysis. Chemosphere 2022, 287, 132261. [Google Scholar] [CrossRef] [PubMed]
- Zhang, K.J.; San, Y.L.; Cao, C.; Zhang, T.Q.; Cen, C.; Li, Z.; Fu, J. Kinetic and mechanistic investigation into odorant haloanisoles degradation process by peracetic acid combined with UV irradiation. J. Hazard. Mater. 2021, 401, 123356. [Google Scholar] [CrossRef]
- Shao, Y.A.; Li, S.; Wei, X.; Zhao, Y.L.; Liang, J.; Li, X.D. The diverse roles of halide ions in the degradation of bisphenol A via UV/ peracetic acid process at different pH values: Radical chemistry, and transformation pathways. J. Hazard. Mater. 2024, 465, 133053. [Google Scholar] [CrossRef] [PubMed]
- Wang, J.L.; Wang, S.Z. Effect of inorganic anions on the performance of advanced oxidation processes for degradation of organic contaminants. Chem. Eng. J. 2021, 411, 128392. [Google Scholar] [CrossRef]
- Chen, S.; Cai, M.Q.; Liu, Y.Z.; Zhang, L.Q.; Feng, L. Effects of water matrices on the degradation of naproxen by reactive radicals in the UV/peracetic acid process. Water Res. 2019, 150, 153–161. [Google Scholar] [CrossRef] [PubMed]








Disclaimer/Publisher’s Note: The statements, opinions and data contained in all publications are solely those of the individual author(s) and contributor(s) and not of MDPI and/or the editor(s). MDPI and/or the editor(s) disclaim responsibility for any injury to people or property resulting from any ideas, methods, instructions or products referred to in the content. |
© 2026 by the authors. Licensee MDPI, Basel, Switzerland. This article is an open access article distributed under the terms and conditions of the Creative Commons Attribution (CC BY) license.
Share and Cite
Luo, Y.; Su, R. Removal of Tetracycline via Ultraviolet-Activated Peroxyacetic Acid: Performance and Mechanism. Toxics 2026, 14, 184. https://doi.org/10.3390/toxics14020184
Luo Y, Su R. Removal of Tetracycline via Ultraviolet-Activated Peroxyacetic Acid: Performance and Mechanism. Toxics. 2026; 14(2):184. https://doi.org/10.3390/toxics14020184
Chicago/Turabian StyleLuo, Yiting, and Rongkui Su. 2026. "Removal of Tetracycline via Ultraviolet-Activated Peroxyacetic Acid: Performance and Mechanism" Toxics 14, no. 2: 184. https://doi.org/10.3390/toxics14020184
APA StyleLuo, Y., & Su, R. (2026). Removal of Tetracycline via Ultraviolet-Activated Peroxyacetic Acid: Performance and Mechanism. Toxics, 14(2), 184. https://doi.org/10.3390/toxics14020184

