Per- and Polyfluoroalkyl Substances (PFAS) in the Rusizi River System, Burundi: A Multi-Compartment Assessment from Tributaries to Lake Tanganyika
Highlights
- Short-chain and emerging PFASs dominated across the aquatic food web.
- Fish showed the highest PFAS diversity, particularly in liver tissue.
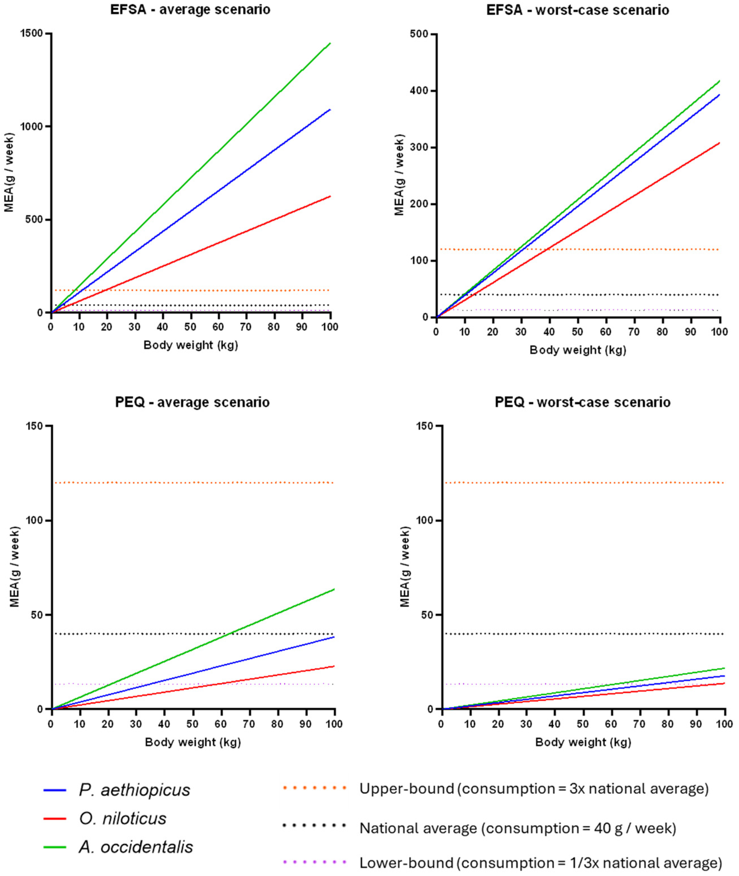
- Health risks from fish consumption were mostly below EFSA TWI for regulated PFASs, but a potential concern emerged when PFASs were expressed as PFOA equivalents.
- Bioaccumulation occurred despite low environmental PFAS levels, highlighting the value of biomonitoring.
- This study provides novel and essential baseline data for tropical freshwater systems, supporting the need for expanded monitoring and risk assessment in data-poor regions.
Abstract
1. Introduction
2. Materials and Methods
2.1. Study Area
2.2. Sampling
2.3. Determination of Water Physicochemical Characteristics
2.4. Sediment Physicochemical Characteristics
2.4.1. Grain Size Distribution
2.4.2. Organic Carbon Content (Corg)
2.5. PFAS Extraction
2.6. Instrumental Analysis (UPLC-MS/MS)
2.7. Human Health Risks Associated with Consumption of PFAS-Contaminated Fish
2.8. Statistical Analysis
3. Results
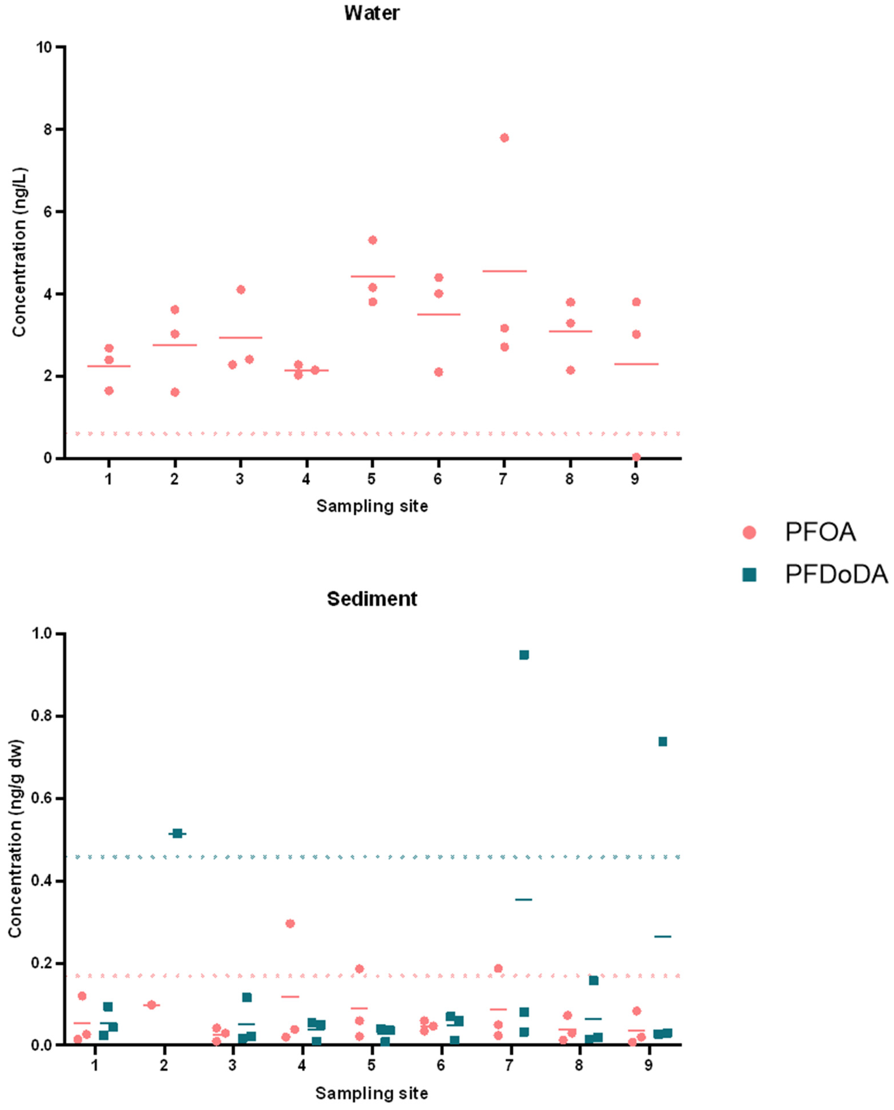
3.1. Spatial Distribution and Concentrations in the Abiotic Environment
3.2. Accumulation in Plants
3.3. Accumulation in Fish
3.4. Human Health Risks Associated with Consumption of PFAS-Contaminated Fish
4. Discussion
4.1. PFAS Detection and Concentrations in the Abiotic Environment
4.2. PFAS Accumulation in Macrophytes
4.3. PFAS Accumulation in Fish
4.4. Human Health Risks
5. Conclusions
Supplementary Materials
Author Contributions
Funding
Institutional Review Board Statement
Informed Consent Statement
Data Availability Statement
Acknowledgments
Conflicts of Interest
References
- Naidu, R.; Biswas, B.; Willett, I.R.; Cribb, J.; Kumar Singh, B.; Paula Nathanail, C.; Coulon, F.; Semple, K.T.; Jones, K.C.; Barclay, A.; et al. Chemical pollution: A growing peril and potential catastrophic risk to humanity. Environ. Int. 2021, 156, 106616. [Google Scholar] [CrossRef] [PubMed]
- Wang, Z.; Buser, A.M.; Cousins, I.T.; Demattio, S.; Drost, W.; Johansson, O.; Ohno, K.; Patlewicz, G.; Richard, A.M.; Walker, G.W.; et al. A New OECD Definition for Per- and Polyfluoroalkyl Substances. Environ. Sci. Technol. 2021, 55, 15575–15578. [Google Scholar] [CrossRef] [PubMed]
- Glüge, J.; Scheringer, M.; Cousins, I.T.; DeWitt, J.C.; Goldenman, G.; Herzke, D.; Lohmann, R.; Ng, C.A.; Trier, X.; Wang, Z. An overview of the uses of per- and polyfluoroalkyl substances (PFAS). Environ. Sci. Process. Impacts 2020, 22, 2345–2373. [Google Scholar] [CrossRef] [PubMed]
- Ackerman Grunfeld, D.; Gilbert, D.; Hou, J.; Jones, A.M.; Lee, M.J.; Kibbey, T.C.G.; O’Carroll, D.M. Underestimated burden of per- and polyfluoroalkyl substances in global surface waters and groundwaters. Nat. Geosci. 2024, 17, 340–346. [Google Scholar] [CrossRef]
- Brunn, H.; Arnold, G.; Körner, W.; Rippen, G.; Steinhäuser, K.G.; Valentin, I. PFAS: Forever chemicals—Persistent, bioaccumulative and mobile. Reviewing the status and the need for their phase out and remediation of contaminated sites. Environ. Sci. Eur. 2023, 35, 20. [Google Scholar] [CrossRef]
- Cousins, I.T.; DeWitt, J.C.; Glüge, J.; Goldenman, G.; Herzke, D.; Lohmann, R.; Ng, C.A.; Scheringer, M.; Wang, Z. The high persistence of PFAS is sufficient for their management as a chemical class. Environ. Sci. Process. Impacts 2020, 22, 2307–2312. [Google Scholar] [CrossRef]
- Cheng, H.; Lv, C.; Li, J.; Wu, D.; Zhan, X.; Song, Y.; Zhao, N.; Jin, H. Bioaccumulation and biomagnification of emerging poly- and perfluoroalkyl substances in marine organisms. Sci. Total Environ. 2022, 851, 158117. [Google Scholar] [CrossRef]
- Savoca, D.; Pace, A. Bioaccumulation, Biodistribution, Toxicology and Biomonitoring of Organofluorine Compounds in Aquatic Organisms. Int. J. Mol. Sci. 2021, 22, 6276. [Google Scholar] [CrossRef]
- Wang, C.; Magnuson, J.T.; Zheng, C.; Qiu, W. Incidence of pollution, bioaccumulation, biomagnification, and toxic effects of per- and polyfluoroalkyl substances (PFAS) in aquatic ecosystems: A review. Aquat. Toxicol. 2025, 286, 107469. [Google Scholar] [CrossRef]
- Ahrens, L.; Bundschuh, M. Fate and effects of poly- and perfluoroalkyl substances in the aquatic environment: A review. Environ. Toxicol. Chem. 2014, 33, 1921–1929. [Google Scholar] [CrossRef]
- Ahrens, L. Polyfluoroalkyl compounds in the aquatic environment: A review of their occurrence and fate. J. Environ. Monit. 2011, 13, 20–31. [Google Scholar] [CrossRef]
- Ohoro, C.R.; Amaku, J.F.; Conradie, J.; Olisah, C.; Akpomie, K.G.; Malloum, A.; Akpotu, S.O.; Adegoke, K.A.; Okeke, E.S.; Omotola, E.O. Effect of physicochemical parameters on the occurrence of per- and polyfluoroalkyl substances (PFAS) in aquatic environment. Mar. Pollut. Bull. 2024, 208, 117040. [Google Scholar] [CrossRef]
- Ankley, G.T.; Cureton, P.; Hoke, R.A.; Houde, M.; Kumar, A.; Kurias, J.; Lanno, R.; McCarthy, C.; Newsted, J.; Salice, C.J.; et al. Assessing the Ecological Risks of Per- and Polyfluoroalkyl Substances: Current State-of-the Science and a Proposed Path Forward. Environ. Toxicol. Chem. 2020, 40, 564–605. [Google Scholar] [CrossRef] [PubMed]
- Kasambala, H.R.; Rwiza, M.J.; Mpumi, N.; Mwema, M.F.; Machunda, R.; Mtei, K.; Njau, K.N. A comprehensive review on the distribution of per- and poly-fluoroalkyl substances in the environment across Sub-Saharan Africa revealed significant variation in their concentrations. Environ. Chall. 2024, 16, 100975. [Google Scholar] [CrossRef]
- Langan, C.; Farmer, J.; Rivington, M.; Smith, J.U. Tropical wetland ecosystem service assessments in East Africa; A review of approaches and challenges. Environ. Model. Softw. 2018, 102, 260–273. [Google Scholar] [CrossRef]
- Pettinotti, L.; De Ayala, A.; Ojea, E. Benefits from Water Related Ecosystem Services in Africa and Climate Change. Ecol. Econ. 2018, 149, 294–305. [Google Scholar] [CrossRef]
- Byekwaso, F.; Weigelhofer, G.; Kaggwa, R.; Kansiime, F.; Langergraber, G.; Hein, T. Tropical Wetlands as Nature-Based Solutions to Remove Nutrient and Organic Inputs from Stormwater Discharge and Wastewater Effluent in Urban Environments. Water 2025, 17, 1821. [Google Scholar] [CrossRef]
- Sileshi, A.; Awoke, A.; Beyene, A.; Stiers, I.; Triest, L. Water Purifying Capacity of Natural Riverine Wetlands in Relation to Their Ecological Quality. Front. Environ. Sci. 2020, 8, 39. [Google Scholar] [CrossRef]
- Groffen, T.; Nkuba, B.; Wepener, V.; Bervoets, L. Risks posed by per- and polyfluoroalkyl substances (PFAS) on the African continent, emphasizing aquatic ecosystems. Integr. Environ. Assess. Manag. 2021, 17, 726–732. [Google Scholar] [CrossRef]
- Miiro, A.; Odume, O.N.; Nyakairu, G.W.; Odongo, S.; Matovu, H.; Drago Kato, C.; Špánik, I.; Sillanpaä, M.; Mubiru, E.; Ssebugere, P. Per- and poly-fluoroalkyl substances in aquatic ecosystems and wastewater treatment works in Africa: Occurrence, ecological implications, and future perspectives. Chemosphere 2024, 367, 143590. [Google Scholar] [CrossRef]
- Arinaitwe, K.; Keltsch, N.; Taabu-Munyaho, A.; Reemtsma, T.; Berger, U. Perfluoroalkyl substances (PFASs) in the Ugandan waters of Lake Victoria: Spatial distribution, catchment release and public exposure risk via municipal water consumption. Sci. Total Environ. 2021, 783, 146970. [Google Scholar] [CrossRef] [PubMed]
- Bangma, J.T.; Reiner, J.L.; Botha, H.; Cantu, T.M.; Gouws, M.A.; Guillette, M.P.; Koelmel, J.P.; Luus-Powell, W.J.; Myburgh, J.; Rynders, O.; et al. Tissue distribution of perfluoroalkyl acids and health status in wild Mozambique tilapia (Oreochromis mossambicus) from Loskop Dam, Mpumalanga, South Africa. J. Environ. Sci. 2017, 61, 59–67. [Google Scholar] [CrossRef] [PubMed]
- Essumang, D.K.; Eshun, A.; Hogarh, J.N.; Bentum, J.K.; Adjei, J.K.; Negishi, J.; Nakamichi, S.; Habibullah-Al-Mamun, M.; Masunaga, S. Perfluoroalkyl acids (PFAAs) in the Pra and Kakum River basins and associated tap water in Ghana. Sci. Total Environ. 2017, 579, 729–735. [Google Scholar] [CrossRef] [PubMed]
- Kaboré, H.A.; Vo Duy, S.; Munoz, G.; Méité, L.; Desrosiers, M.; Liu, J.; Sory, T.K.; Sauvé, S. Worldwide drinking water occurrence and levels of newly-identified perfluoroalkyl and polyfluoroalkyl substances. Sci. Total Environ. 2018, 616–617, 1089–1100. [Google Scholar] [CrossRef]
- Mwakalapa, E.B.; Mmochi, A.J.; Müller, M.H.B.; Mdegela, R.H.; Lyche, J.L.; Polder, A. Occurrence and levels of persistent organic pollutants (POPs) in farmed and wild marine fish from Tanzania. A pilot study. Chemosphere 2018, 191, 438–449. [Google Scholar] [CrossRef]
- Ojemaye, C.Y.; Petrik, L. Occurrences, levels and risk assessment studies of emerging pollutants (pharmaceuticals, perfluoroalkyl and endocrine disrupting compounds) in fish samples from Kalk Bay harbour, South Africa. Environ. Pollut. 2019, 252, 562–572. [Google Scholar] [CrossRef]
- Orata, F.; Quinete, N.; Werres, F.; Wilken, R.D. Determination of Perfluorooctanoic Acid and Perfluorooctane Sulfonate in Lake Victoria Gulf Water. Bull. Environ. Contam. Toxicol. 2009, 82, 218–222. [Google Scholar] [CrossRef]
- Shafique, U.; Schulze, S.; Slawik, C.; Böhme, A.; Paschke, A.; Schüürmann, G. Perfluoroalkyl acids in aqueous samples from Germany and Kenya. Environ. Sci. Pollut. Res. 2017, 24, 11031–11043. [Google Scholar] [CrossRef]
- Verhaert, V.; Newmark, N.; D’Hollander, W.; Covaci, A.; Vlok, W.; Wepener, V.; Addo-Bediako, A.; Jooste, A.; Teuchies, J.; Blust, R.; et al. Persistent organic pollutants in the Olifants River Basin, South Africa: Bioaccumulation and trophic transfer through a subtropical aquatic food web. Sci. Total Environ. 2017, 586, 792–806. [Google Scholar] [CrossRef]
- Ololade, I.A. Spatial distribution of perfluorooctane sulfonate (PFOS) in major rivers in southwest Nigeria. Toxicol. Environ. Chem. 2014, 96, 1356–1365. [Google Scholar] [CrossRef]
- Ololade, I.A.; Oladoja, N.A.; Ololade, O.O.; Oloye, F.F.; Adeola, A.O.; Alabi, A.B.; Ademila, O.; Adanigbo, P.; Owolabi, M.B. Geographical distribution of perfluorooctanesulfonate and perfluorooctanoate in selected rivers from Nigeria. J. Environ. Chem. Eng. 2018, 6, 4061–4069. [Google Scholar] [CrossRef]
- Dalahmeh, S.; Tirgani, S.; Komakech, A.J.; Niwagaba, C.B.; Ahrens, L. Per- and polyfluoroalkyl substances (PFASs) in water, soil and plants in wetlands and agricultural areas in Kampala, Uganda. Sci. Total Environ. 2018, 631–632, 660–667. [Google Scholar] [CrossRef] [PubMed]
- Fagbayigbo, B.O.; Opeolu, B.O.; Fatoki, O.S.; Olatunji, O.S. Validation and determination of nine PFCS in surface water and sediment samples using UPLC-QTOF-MS. Environ. Monit. Assess. 2018, 190, 346. [Google Scholar] [CrossRef] [PubMed]
- Fauconier, G.; Groffen, T.; Wepener, V.; Bervoets, L. Perfluorinated compounds in the aquatic food chains of two subtropical estuaries. Sci. Total Environ. 2020, 719, 135047. [Google Scholar] [CrossRef]
- Groffen, T.; Wepener, V.; Malherbe, W.; Bervoets, L. Distribution of perfluorinated compounds (PFASs) in the aquatic environment of the industrially polluted Vaal River, South Africa. Sci. Total Environ. 2018, 627, 1334–1344. [Google Scholar] [CrossRef]
- Mudumbi, J.B.N.; Ntwampe, S.K.O.; Muganza, F.M.; Okonkwo, J.O. Perfluorooctanoate and perfluorooctane sulfonate in South African river water. Water Sci. Technol. 2014, 69, 185–194. [Google Scholar] [CrossRef]
- Mudumbi, J.B.N.; Ntwampe, S.K.O.; Muganza, M.; Okonkwo, J.O. Susceptibility of Riparian Wetland Plants to Perfluorooctanoic Acid (PFOA) Accumulation. Int. J. Phytoremediat. 2014, 16, 926–936. [Google Scholar] [CrossRef]
- Groffen, T.; Rijnders, J.; Van Doorn, L.; Jorissen, C.; De Borger, S.M.; Luttikhuis, D.O.; De Deyn, L.; Covaci, A.; Bervoets, L. Preliminary study on the distribution of metals and persistent organic pollutants (POPs), including perfluoroalkylated acids (PFAS), in the aquatic environment near Morogoro, Tanzania, and the potential health risks for humans. Environ. Res. 2021, 192, 110299. [Google Scholar] [CrossRef]
- Ahrens, L.; Gashaw, H.; Sjöholm, M.; Gebrehiwot, S.G.; Getahun, A.; Derbe, E.; Bishop, K.; Åkerblom, S. Poly- and perfluoroalkylated substances (PFASs) in water, sediment and fish muscle tissue from Lake Tana, Ethiopia and implications for human exposure. Chemosphere 2016, 165, 352–357. [Google Scholar] [CrossRef]
- Melake, B.A.; Bervoets, L.; Nkuba, B.; Groffen, T. Distribution of perfluoroalkyl substances (PFASs) in water, sediment, and fish tissue, and the potential human health risks due to fish consumption in Lake Hawassa, Ethiopia. Environ. Res. 2022, 204, 112033. [Google Scholar] [CrossRef]
- Mpawenayo, B. La flore diatomique des rivières de la plaine de la Rusizi au Burundi. Bull. Société R. Bot. Belg. 1985, 118, 141–156. [Google Scholar]
- Naidoo, G. Waterlogging tolerance of the common reeds Phragmites mauritianus and P. australis. Afr. J. Ecol. 2021, 59, 1004–1012. [Google Scholar] [CrossRef]
- Eid, E.M.; Shaltout, K.H.; Asaeda, T. Modeling growth dynamics of Typha domingensis (Pers.) Poir. Ex Steud. in Lake Burullus, Egypt. Ecol. Model. 2012, 243, 63–72. [Google Scholar] [CrossRef]
- Farahat, E.A.; Mahmoud, W.F.; Fahmy, G.M.; Farrag, H.F.; Awad, H.E. Impact of the invasive species Vossia cuspidata (Roxb.) Griff. on the diversity and temporal changes of the native flora of the River Nile in Egypt. Taeckholmia 2021, 41, 1–17. [Google Scholar] [CrossRef]
- Ndayishimiye, J.; Mutabazi, A.; Jacobs, S.; Schoelynck, J. Plants Aquatiques de la Lagune du Parc National de la Rusizi, Burundi–Aquatic Plants of the Lagoon in Rusizi National Park, Burundi; Universitas: Schoten, Belgium, 2025; 85p. [Google Scholar]
- Mlewa, C.M.; Green, J.M. Biology of the marbled lungfish, Protopterus aethiopicus Heckel, in Lake Baringo, Kenya. Afr. J. Ecol. 2004, 42, 338–345. [Google Scholar] [CrossRef]
- Tesfahun, A.; Alebachew, S. Food and feeding habits of the Nile tilapia Oreochromis niloticus (Linnaeus, 1758) from Ribb reservoir, Lake Tana sub-basin, Ethiopia. Cogent Food Agric. 2023, 9, 2212457. [Google Scholar] [CrossRef]
- Abobi, S.M.; Oyiadzo, J.W.; Wolff, M. Comparing feeding niche, growth characteristics and exploitation level of the giraffe catfish Auchenoglanis occidentalis (Valenciennes, 1775) in the two largest artificial lakes of northern Ghana. Afr. J. Aquat. Sci. 2019, 44, 261–272. [Google Scholar] [CrossRef]
- Lin, Y.; Ruan, T.; Liu, A.; Jiang, G. Identification of novel hydrogen-substituted polyfluoroalkyl ether sulfonates in environmental matrices near metal-plating facilities. Environ. Sci. Technol. 2017, 51, 11588–11596. [Google Scholar] [CrossRef]
- Nakayama, S.F.; Strynar, M.J.; Reiner, J.L.; Delinsky, A.D.; Lindstrom, A.B. Determination of perfluorinated compounds in the upper Mississippi river basin. Environ. Sci. Technol. 2010, 44, 4103–4109. [Google Scholar] [CrossRef]
- Strynar, M.; Dagnino, S.; McMahen, R.; Liang, S.; Lindstrom, A.; Andersen, E.; McMillan, L.; Thurman, M.; Ferrer, I.; Ball, C. Identification of novel perfluoroalkyl ether carboxylic acids (PFECAs) and sulfonic acids (PFESAs) in natural waters using accurate mass time-of-flight mass spectrometry (TOFMS). Environ. Sci. Technol. 2015, 49, 11622–11630. [Google Scholar] [CrossRef]
- Van Broekhoven, W.; Jansen, H.; Verdegem, M.; Struyf, E.; Troost, K.; Lindeboom, H.; Smaal, A. Nutrient regeneration from feces and pseudofeces of mussel Mytilus edulis spat. Mar. Ecol. Prog. Ser. 2015, 534, 107–120. [Google Scholar] [CrossRef]
- Schoelynck, J.; Subalusky, A.L.; Struyf, E.; Dutton, C.L.; Unzué-Belmonte, D.; Van De Vijver, B.; Post, D.M.; Rosi, E.J.; Meire, P.; Frings, P. Hippos (Hippopotamus amphibius): The animal silicon pump. Sci. Adv. 2019, 5, eaav0395. [Google Scholar] [CrossRef] [PubMed]
- DeMaster, D.J. The supply and accumulation of silica in the marine environment. Geochim. Cosmochim. Acta 1981, 45, 1715–1732. [Google Scholar] [CrossRef]
- Groffen, T.; Schoutens, K.; Zamora, J.D.; Gourgue, O.; Bervoets, L.; Temmerman, S. Spatial distribution of per- and polyfluoroalkyl substances (PFAS) in natural and restored intertidal wetlands in the Scheldt estuary. J. Hazard. Mater. 2025, 496, 139247. [Google Scholar] [CrossRef] [PubMed]
- Heiri, O.; Lotter, A.F.; Lemcke, G. Loss on ignition as a method for estimating organic and carbonate content in sediments: Reproducibility and comparability of results. J. Paleolimnol. 2001, 25, 101–110. [Google Scholar] [CrossRef]
- Groffen, T.; Lasters, R.; Lemière, F.; Willems, T.; Eens, M.; Bervoets, L.; Prinsen, E. Development and validation of an extraction method for the analysis of perfluoroalkyl substances (PFASs) in environmental and biotic matrices. J. Chromatogr. B 2019, 1116, 30–37. [Google Scholar] [CrossRef]
- Powley, C.R.; George, S.W.; Ryan, T.W.; Buck, R.C. Matrix Effect-Free Analytical Methods for Determination of Perfluorinated Carboxylic Acids in Environmental Matrixes. Anal. Chem. 2005, 77, 6353–6358. [Google Scholar] [CrossRef]
- Groffen, T.; Bervoets, L.; Jeong, Y.; Willems, T.; Eens, M.; Prinsen, E. A rapid method for the detection and quantification of legacy and emerging per- and polyfluoroalkyl substances (PFAS) in bird feathers using UPLC-MS/MS. J. Chromatogr. B 2021, 1172, 122653. [Google Scholar] [CrossRef]
- EFSA Panel on Contaminants in the Food Chain (EFSA CONTAM Panel); Schrenk, D.; Bignami, M.; Bodin, L.; Chipman, J.K.; del Mazo, J.; Grasl-Kraupp, B.; Hogstrand, C.; Hoogenboom, L.; LeBlanc, J.; et al. Risk to human health related to the presence of perfluoroalkyl substances in food. EFSA J. 2020, 18, e06223. [Google Scholar] [CrossRef]
- Breuil, C.; Grima, D. Baseline Report Burundi. In SmartFish Programme of the Indian Ocean Commission; Fisheries Management FAO Component: Ebene, Mauritius, 2014; p. 24. [Google Scholar]
- Food and Agriculture Organization of the United Nations (FAO). Fishery and Aquaculture Country Profile-Burundi. Available online: https://www.fao.org/fishery/en/facp/bdi (accessed on 19 August 2025).
- Bil, W.; Zeilmaker, M.; Fragki, S.; Lijzen, J.; Verbruggen, E.; Bokkers, B. Risk Assessment of Per- and Polyfluoroalkyl Substance Mixtures: A Relative Potency Factor Approach. Environ. Toxicol. Chem. 2020, 40, 859–870. [Google Scholar] [CrossRef]
- Villanueva, P. MLE-Based Procedure for Left-Censored Data Excel Spreadsheet; Office of Pesticide Programs, U.S. Environmental Protection Agency: Washington, DC, USA, 2005. [Google Scholar]
- Armitage, J.M.; MacLeod, M.; Cousins, I.T. Modeling the Global Fate and Transport of Perfluorooctanoic Acid (PFOA) and Perfluorooctanoate (PFO) Emitted from Direct Sources Using a Multispecies Mass Balance Model. Environ. Sci. Technol. 2009, 43, 1134–1140. [Google Scholar] [CrossRef]
- Owens, C.V. Review of Source and Transportation Pathways of Perfluorinated Compounds Through the Air. J. Environ. Health 2021, 83, 20–27. [Google Scholar] [PubMed]
- Chen, Y.-C.; Lo, S.-L.; Li, N.-H.; Lee, Y.-C.; Kuo, J. Sorption of perfluoroalkyl substances (PFASs) onto wetland soils. Desalination Water Treat. 2013, 51, 7469–7475. [Google Scholar] [CrossRef]
- Overton, O.C.; Olson, L.H.; Majumder, S.D.; Shwiyyat, H.; Foltz, M.E.; Nairn, R.W. Wetland Removal Mechanisms for Emerging Contaminants. Land 2023, 12, 472. [Google Scholar] [CrossRef]
- Wang, T.-T.; Ying, G.-G.; Shi, W.-J.; Zhao, J.-L.; Liu, Y.-S.; Chen, J.; Ma, D.-D.; Xiong, Q. Uptake and Translocation of Perfluorooctanoic Acid (PFOA) and Perfluorooctanesulfonic Acid (PFOS) by Wetland Plants: Tissue- and Cell-Level Distribution Visualization with Desorption Electrospray Ionization Mass Spectrometry (DESI-MS) and Transmission Electron Microscopy Equipped with Energy-Dispersive Spectroscopy (TEM-EDS). Environ. Sci. Technol. 2020, 54, 6009–6020. [Google Scholar] [CrossRef]
- Pan, Y.; Zhang, H.; Cui, Q.; Sheng, N.; Yeung, L.W.Y.; Sun, Y.; Guo, Y.; Dai, J. Worldwide Distribution of Novel Perfluoroether Carboxylic and Sulfonic Acids in Surface Water. Environ. Sci. Technol. 2018, 52, 7621–7629. [Google Scholar] [CrossRef]
- Zhang, C.; Yu, Z.; Zeng, G.; Jiang, M.; Yang, Z.; Cui, F.; Zhu, M.; Shen, L.; Hu, L. Effects of sediment geochemical properties on heavy metal bioavailability. Environ. Int. 2014, 73, 270–281. [Google Scholar] [CrossRef]
- Li, F.; Fang, X.; Zhou, Z.; Liao, X.; Zou, J.; Yuan, B.; Sun, W. Adsorption of perfluorinated acids onto soils: Kinetics, isotherms, and influences of soil properties. Sci. Total Environ. 2019, 649, 504–514. [Google Scholar] [CrossRef]
- Li, Y.; Oliver, D.P.; Kookana, R.S. A critical analysis of published data to discern the role of soil and sediment properties in determining sorption of per and polyfluoroalkyl substances (PFASs). Sci. Total Environ. 2018, 628–629, 110–120. [Google Scholar] [CrossRef]
- Wang, Y.; Munir, U.; Huang, Q. Occurrence of per- and polyfluoroalkyl substances (PFAS) in soil: Sources, fate, and remediation. Soil Environ. Health 2023, 1, 100004. [Google Scholar] [CrossRef]
- Adu, O.; Ma, X.; Sharma, V.K. Bioavailability, phytotoxicity and plant uptake of per-and polyfluoroalkyl substances (PFAS): A review. J. Hazard. Mater. 2023, 447, 130805. [Google Scholar] [CrossRef]
- Wang, W.; Rhodes, G.; Ge, J.; Yu, X.; Li, H. Uptake and accumulation of per- and polyfluoroalkyl substances in plants. Chemosphere 2020, 261, 127584. [Google Scholar] [CrossRef]
- Gkika, I.S.; Vonk, A.J.; Ter Laak, T.L.; Van Gestel, C.A.M.; Dijkstra, J.; Groffen, T.; Bervoets, L.; Kraak, M.H.S. Strong bioaccumulation of a wide variety of PFAS in a contaminated terrestrial and aquatic ecosystem. Environ. Int. 2025, 202, 109629. [Google Scholar] [CrossRef]
- Falk, S.; Failing, K.; Georgii, S.; Brunn, H.; Stahl, T. Tissue specific uptake and elimination of perfluoroalkyl acids (PFAAs) in adult rainbow trout (Oncorhynchus mykiss) after dietary exposure. Chemosphere 2015, 129, 150–156. [Google Scholar] [CrossRef]
- Goeritz, I.; Falk, S.; Stahl, T.; Schäfers, C.; Schlechtriem, S. Biomagnification and tissue distribution of perfluoroalkyl substances (PFASs) in market-size rainbow trout (Oncorhynchus mykiss). Environ. Toxicol. Chem. 2013, 32, 2078–2088. [Google Scholar] [CrossRef]
- Khalid, N.K.; Le Calvez, M.; Lemire, M.; Dinh, Q.T.; Fontaine, J.; Lair, S.; Sauvé, S. Occurrence of 80 per and polyfluorinated alkyl substances (PFAS) in muscle and liver tissues of marine mammals of the St. Lawrence Estuary and Gulf, Quebec, Canada. Front. Environ. Chem. 2024, 5, 1403728. [Google Scholar] [CrossRef]
- Soudani, M.; Hegg, L.; Rime, C.; Coquoz, C.; Grosjean, D.B.; Danza, F.; Solcà, N.; Lucarini, F.; Staedler, D. Determination of per- and polyfluoroalkyl substances (PFAS) in six different fish species from Swiss lakes. Anal. Bioanal. Chem. 2024, 416, 6377–6386. [Google Scholar] [CrossRef]
- Ng, C.A.; Hungerbühler, K. Bioconcentration of Perfluorinated Alkyl Acids: How Important Is Specific Binding? Environ. Sci. Technol. 2013, 47, 7214–7223. [Google Scholar] [CrossRef]
- Barbo, N.; Stoiber, T.; Naidenko, O.V.; Andrews, D.Q. Locally caught freshwater fish across the United States are likely a significant source of exposure to PFOS and other perfluorinated compounds. Environ. Res. 2023, 220, 115165. [Google Scholar] [CrossRef]
- Huang, J.; Liu, Y.; Wang, Q.; Yi, J.; Lai, H.; Sun, L.; Mennigen, J.A.; Tu, W. Concentration-dependent toxicokinetics of novel PFOS alternatives and their chronic combined toxicity in adult zebrafish. Sci. Total Environ. 2022, 839, 156388. [Google Scholar] [CrossRef]
- Campo, J.; Pérez, F.; Masiá, A.; Picó, Y.; la Farré, M.; Barceló, D. Perfluoroalkyl substance contamination of the Llobregat River ecosystem (Mediterranean area, NE Spain). Sci. Total Environ. 2015, 503–504, 48–57. [Google Scholar] [CrossRef]
- Brendel, S.; Fetter, É.; Staude, C.; Vierke, L.; Biegel-Engler, A. Short-chain perfluoroalkyl acids: Environmental concerns and a regulatory strategy under REACH. Environ. Sci. Eur. 2018, 30, 9. [Google Scholar] [CrossRef]
- Guckert, M.; Rupp, J.; Nürenberg, G.; Nödler, K.; Koschorreck, J.; Berger, U.; Drost, W.; Siebert, U.; Wibbelt, G.; Reemtsma, T. Differences in the internal PFAS patterns of herbivores, omnivores and carnivores-lessons learned from target screening and the total oxidizable precursor assay. Sci. Total Environ. 2023, 875, 162361. [Google Scholar] [CrossRef]
- Wagaw, S.; Mengistou, S.; Getahun, A. Diet composition and feeding habits of Oreochromis niloticus (Linnaeus, 1758) in Lake Shala, Ethiopia. Fish. Aquat. Sci. 2022, 25, 20–30. [Google Scholar] [CrossRef]
- Gewurtz, S.B.; Bhavsar, S.P.; Petro, S.; Mahon, C.G.; Zhao, X.; Morse, D.; Reiner, E.J.; Tittlemier, S.A.; Braekevelt, E.; Drouillard, K. High levels of perfluoroalkyl acids in sport fish species downstream of a firefighting training facility at Hamilton International Airport, Ontario, Canada. Environ. Int. 2014, 67, 1–11. [Google Scholar] [CrossRef]
- Martin, J.W.; Whittle, D.M.; Muir, D.C.G.; Mabury, S.A. Perfluoroalkyl Contaminants in a Food Web from Lake Ontario. Environ. Sci. Technol. 2004, 38, 5379–5385. [Google Scholar] [CrossRef]
- Yang, L.; Tian, S.; Zhu, L.; Liu, Z.; Zhang, Y. Bioaccumulation and distribution of perfloroalkyl acids in seafood products from Bohai Bay, China. Environ. Toxicol. Chem. 2012, 31, 1972–1979. [Google Scholar] [CrossRef]
- Lanza, H.A.; Cochran, R.S.; Mudge, J.F.; Olson, A.D.; Blackwell, B.R.; Maul, J.D.; Salice, C.J.; Anderson, T.A. Temporal monitoring of perfluorooctane sulfonate accumulation in aquatic biota downstream of historical aqueous film forming foam use areas. Environ. Toxicol. Chem. 2016, 36, 2022–2029. [Google Scholar] [CrossRef]
- Miranda, D.A.; Zachritz, A.M.; Whitehead, H.D.; Cressman, S.R.; Peaslee, G.F.; Lamberti, G.A. Occurrence and biomagnification of perfluoroalkyl substances (PFAS) in Lake Michigan fishes. Sci. Total Environ. 2023, 895, 164903. [Google Scholar] [CrossRef]
- Falk, S.; Gassmann, M.; Stahl, T. Influence of age on the concentrations of perfluoroalkyl acids (PFAA) in the tissues of perch (Perca fluviatilis). Environ. Pollut. 2024, 359, 124512. [Google Scholar] [CrossRef]
- Jones, J.; Hunter, E.; Hambach, B.; Wilding, M.; Trueman, C.N. Individual variation in field metabolic rates of wild living fish have phenotypic and ontogenetic underpinnings: Insights from stable isotope compositions of otoliths. Front. Ecol. Evol. 2023, 11, 1161105. [Google Scholar] [CrossRef]
- Barhoumi, B.; Sander, S.G.; Driss, M.R.; Tolosa, I. Survey of legacy and emerging per- and polyfluorinated alkyl substances in Mediterranean seafood from a North African ecosystem. Environ. Pollut. 2022, 292, 118398. [Google Scholar] [CrossRef] [PubMed]
- Simukoko, C.K.; Mwakalapa, E.B.; Muzandu, K.; Mutoloki, S.; Eversen, Ø.; Ræder, E.M.; Müller, M.B.; Polder, A.; Lyche, J.L. Persistent organic pollutants (POPs) and per- and polyfluoroalkyl substances (PFASs) in liver from wild and farmed tilapia (Oreochromis niloticus) from Lake Kariba, Zambia: Levels and geographic trends and considerations in relation to environmental quality standards (EQSs). Environ. Res. 2023, 232, 116226. [Google Scholar] [CrossRef] [PubMed]
- Arinaitwe, K.; Koch, A.; Taabu-Munyaho, A.; Marien, K.; Reemtsma, T.; Berger, U. Spatial profiles of perfluoroalkyl substances and mercury in fish from northern Lake Victoria, East Africa. Chemosphere 2020, 260, 127536. [Google Scholar] [CrossRef]
- Pulster, E.L.; Rullo, K.; Gilbert, S.; Ash, T.M.; Goetting, B.; Campbell, K.; Markham, S.; Murawski, S.A. Assessing per- and polyfluoroalkyl substances (PFAS) in sediments and fishes in a large, urbanized estuary and the potential human health implications. Front. Mar. Sci. 2022, 9, 1046667. [Google Scholar] [CrossRef]
- Chen, M.; Zhu, L.; Wang, Q.; Shan, G. Tissue distribution and bioaccumulation of legacy and emerging per-and polyfluoroalkyl substances (PFASs) in edible fishes from Taihu Lake, China. Environ. Pollut. 2021, 268, 115887. [Google Scholar] [CrossRef]
- Wang, S.; Cai, Y.; Ma, L.; Lin, X.; Li, Q.; Li, Y.; Wang, X. Perfluoroalkyl substances in water, sediment, and fish from a subtropical river of China: Environmental behaviors and potential risk. Chemosphere 2022, 288, 132513. [Google Scholar] [CrossRef]
- Fenton, S.E.; Ducatman, A.; Boobis, A.; DeWitt, J.C.; Lau, C.; Ng, C.; Smith, J.S.; Roberts, S.M. Per- and Polyfluoroalkyl Substance Toxicity and Human Health Review: Current State of Knowledge and Strategies for Informing Future Research. Environ. Toxicol. Chem. 2020, 40, 606–630. [Google Scholar] [CrossRef]





Disclaimer/Publisher’s Note: The statements, opinions and data contained in all publications are solely those of the individual author(s) and contributor(s) and not of MDPI and/or the editor(s). MDPI and/or the editor(s) disclaim responsibility for any injury to people or property resulting from any ideas, methods, instructions or products referred to in the content. |
© 2026 by the authors. Licensee MDPI, Basel, Switzerland. This article is an open access article distributed under the terms and conditions of the Creative Commons Attribution (CC BY) license.
Share and Cite
Groffen, T.; Lodi, G.; Ndayishimiye, J.; Buhungu, S.; Nduwimana, L.; Niyoyitungiye, L.; Schoelynck, J. Per- and Polyfluoroalkyl Substances (PFAS) in the Rusizi River System, Burundi: A Multi-Compartment Assessment from Tributaries to Lake Tanganyika. Toxics 2026, 14, 123. https://doi.org/10.3390/toxics14020123
Groffen T, Lodi G, Ndayishimiye J, Buhungu S, Nduwimana L, Niyoyitungiye L, Schoelynck J. Per- and Polyfluoroalkyl Substances (PFAS) in the Rusizi River System, Burundi: A Multi-Compartment Assessment from Tributaries to Lake Tanganyika. Toxics. 2026; 14(2):123. https://doi.org/10.3390/toxics14020123
Chicago/Turabian StyleGroffen, Thimo, Giulia Lodi, Joël Ndayishimiye, Simon Buhungu, Léopold Nduwimana, Lambert Niyoyitungiye, and Jonas Schoelynck. 2026. "Per- and Polyfluoroalkyl Substances (PFAS) in the Rusizi River System, Burundi: A Multi-Compartment Assessment from Tributaries to Lake Tanganyika" Toxics 14, no. 2: 123. https://doi.org/10.3390/toxics14020123
APA StyleGroffen, T., Lodi, G., Ndayishimiye, J., Buhungu, S., Nduwimana, L., Niyoyitungiye, L., & Schoelynck, J. (2026). Per- and Polyfluoroalkyl Substances (PFAS) in the Rusizi River System, Burundi: A Multi-Compartment Assessment from Tributaries to Lake Tanganyika. Toxics, 14(2), 123. https://doi.org/10.3390/toxics14020123

