Effect of Acute Cadmium Exposure and Short-Term Depuration on Oxidative Stress and Immune Responses in Meretrix meretrix Gills
Abstract
1. Introduction
2. Materials and Methods
2.1. Clam Collection and Treatments
2.2. Detection of Cd Content in Water and Gill of Meretrix meretrix
2.3. Histological Assays of Gill Specimens
2.4. Oxidative Stress and Immune Biochemical Indicator Assays
2.5. MT, HSP70, and Nrf2 mRNA Expression Levels Analysis
2.6. Data and Statistical Analyses
3. Results
3.1. Changes in Cd2+ Levels in the Water and M. meretrix Gills During Cd2+ Exposure
3.2. Changes in Gill Structure of M. meretrix During Different Days of Cd2+-Exposed
3.3. Effects of Cd2+ on the Levels of MDA, PCO, and DPC in M. meretrix Gill
3.4. Effects of Cd2+ on the Levels of ROS and T-AOC in M. meretrix Gill
3.5. Effects of Cd2+ on the Activities of NKA and CMA in M. meretrix Gill
3.6. Effects of Cd2+ on COX, SDH, and LDH Activities in M. meretrix Gill
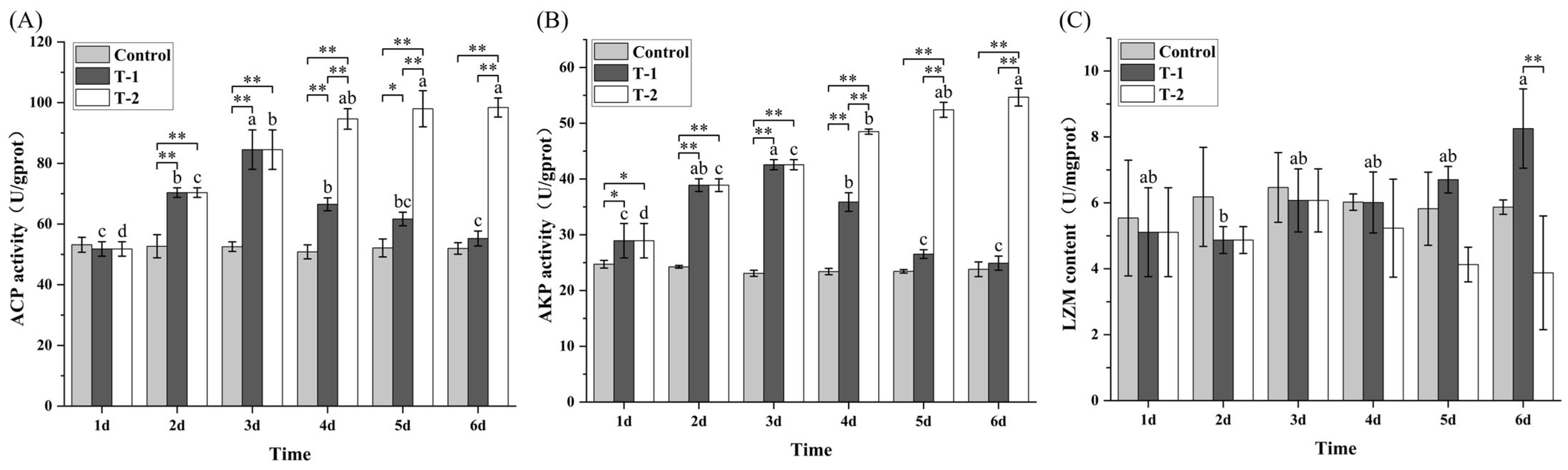
3.7. Effects of Cd2+ on the Activities of ACP, AKP, and LSZ in M. meretrix Gill
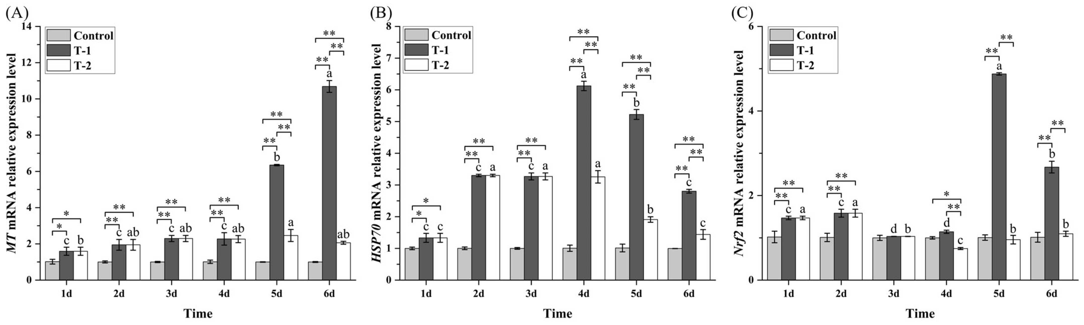
3.8. Effect of Cd2+ on the Level of MT, HSP70 and Nrf2 mRNA in M. meretrix Gill
4. Discussion
5. Conclusions
Author Contributions
Funding
Institutional Review Board Statement
Informed Consent Statement
Data Availability Statement
Conflicts of Interest
Abbreviations
| ACP | Acid phosphatase |
| AKP | Alkaline phosphatase |
| Cd | Cadmium |
| CMA | Ca2+/Mg2+-ATPase |
| COX | Cytochrome c oxidase |
| DPC | DNA-protein crosslinking rate |
| Hps 70 | Heat shock proteins 70 |
| LDH | Lactate dehydrogenase |
| LZM | Lysozyme |
| MDA | Malondialdehyde |
| MT | Metallothionein |
| NKA | Na+/K+ ATPase |
| Nrf2 | Nuclear factor E2-related factor 2 |
| PCO | Protein carbonyl |
| ROS | Reactive oxygen species |
| SDH | Succinate dehydrogenase |
| T-AOC | Total antioxidant capacity |
References
- Ali, H.; Khan, E.; Ilahi, I. Environmental chemistry and ecotoxicology of hazardous heavy metals: Environmental persistence, toxicity, and bioaccumulation. J. Chem. 2019, 2019, 6730305. [Google Scholar] [CrossRef]
- Nordberg, M.; Nordberg, G.F. Metallothionein and cadmium toxicology-historical review and commentary. Biomolecules 2022, 12, 360. [Google Scholar] [CrossRef]
- Genchi, G.; Sinicropi, M.S.; Lauria, G.; Carocci, A.; Catalano, A. The effects of cadmium toxicity. Int. J. Environ. Res. Public Health 2020, 17, 3782. [Google Scholar] [CrossRef] [PubMed]
- Gestin, O.; Lopes, C.; Delorme, N.; Garnero, L.; Geffard, O.; Lacoue-Labarthe, T. Organ-specific accumulation of cadmium and zinc in Gammarus fossarum exposed to environmentally relevant metal concentrations. Environ. Pollut. 2022, 308, 119625. [Google Scholar] [CrossRef] [PubMed]
- Gunnar, F.N.; Bruce, A.F.; Monica, N. Handbook on the Toxicology of Metals, 4th ed.; Academic Press: Pittsburgh, PA, USA, 2015; pp. 445–486. [Google Scholar]
- Xu, W.; Meng, K.; Du, W.; Cai, Z. Cadmium dominance in heavy metal pollution: Ecological risks and human health implications in the Guanhe River Estauray, China. Front. Mar. Sci. 2025, 12, 1554838. [Google Scholar] [CrossRef]
- Wang, S.; Chen, J.; Liu, Y. Sources, distribution and health risks of heavy metals around Chinese coastal mining areas. Environ. Sci. Pollut. Res. 2025, 32, 11245–11259. [Google Scholar]
- Yu, C.; Liu, R.; Fang, L. Potential ecological risks of cadmium in coastal sediments. J. Environ. Manag. 2025, 367, 122090. [Google Scholar]
- Chan, C.Y.; Wang, W.X. Seasonal and spatial variations of biomarker responses of rock oysters in a coastal environment influenced by large estuary input. Environ. Pollut. 2018, 242, 1253–1265. [Google Scholar] [CrossRef]
- He, M.; Zhang, J.; Liu, S. Cadmium exposure through aquatic products and associated human health risks. A comprehensive review. Foods 2023, 14, 256. [Google Scholar]
- Lin, Y.; Chen, M.; Wu, J. Cadmium contamination and health risk in seafood species from Haikou coastal area, South China Sea. Sci. Rep. 2024, 14, 70409. [Google Scholar]
- EFSA & RASCS Network. Risk Assessment Strategies for Contaminants in Seafood; EN-8419; EFSA Supporting Publication: Parma, Italy, 2023. [Google Scholar] [CrossRef]
- Garofalo, L.; Salam, M.; Forcardi, C.; Pasqualetti, P.; Delfino, D.; D’Onofrio, F.; Droghei, B.; Pasquali, F.; Nicolini, V.; Galli, F.S.; et al. Monitoring of cadmium, lead, and mercury levels in seafood products: A ten-year analysis. Foods 2025, 14, 451. [Google Scholar] [CrossRef]
- OSPAR Commission. Status and Trends for Heavy Metals (Mercury, Cadmium and Lead) in Biota and Sedimnent; Quality Status Report; OSPAR Commission: London, UK, 2023. [Google Scholar]
- Piwowarska, D.; Kiedrzyńska, E.; Jaszczyszyn, K.; Álvarez-Ayuso, E.; Bradford, S. A global perspective on the nature and fate of heavy metals polluting water ecosystems, and their impact and remediation. Crit. Rev. Environ. Sci. Technol. 2024, 54, 893–921. [Google Scholar] [CrossRef]
- NOAA Mussel Watch Program. Long-Term Trends of Heavy Metal Contamination in U.S. Coastal Waters (1986–2025 Report); NOAA Technical Memorandum NOS NCCOS-240; NOAA: Silver Spring, MD, USA, 2025.
- Chen, M.X.; Zhou, J.Y.; Lin, J.H.; Tang, H.C.; Shan, Y.F.; Chang, A.K.; Ying, X.P. Changes in oxidative stress biomarkers in Sinonovacula constricta in response to toxic metal accumulation during growth in an aquaculture farm. Chemosphere 2020, 248, 125974. [Google Scholar] [CrossRef]
- Yang, Y.Q.; Wang, M.C.; Yu, X.Y.; Wei, J.Y.; Wu, S.W.; Wu, C.H.; Chang, A.K.; Ying, X.P. Assessment of toxic metal pollution in Yueqing Bay and the extent of metal-induced oxidative stress in Tegillarca granosa raised in this water. Mar. Pollut. Bull. 2023, 194, 115444. [Google Scholar] [CrossRef] [PubMed]
- Bai, B.B.; Yang, Y.Q.; Wei, J.Y.; Zheng, Q.; Wang, M.C.; Chang, A.K.; Ying, X.P. Cadmium-induced toxicity in Meretrix meretrix ovary is characterized by oxidative damage with changes in cell morphology and apoptosis-related factors. Front. Mar. Sci. 2022, 9, 1080516. [Google Scholar] [CrossRef]
- Gao, Y.L.; Hong, J.M.; Guo, Y.K.; Chen, M.X.; Chang, A.K.; Xie, L.; Ying, X.P. Assessment spermatogenic cell apoptosis and the transcript levels of metallothionein and p53 in Meretrix meretrix induced by cadmium. Ecotoxicol. Environ. Saf. 2021, 217, 12230. [Google Scholar] [CrossRef] [PubMed]
- Zhou, J.; Cai, H.Q.; Zhong, Y.N.; Zheng, Y.; Wu, Y.N.; Chang, A.K.; Ying, X.P. Reversal of cadmium-induced toxicity in Meretrix meretrix as determined by alleviation of oxidative damage following short-term depuration. Front. Mar. Sci. 2024, 11, 1444061. [Google Scholar] [CrossRef]
- Xia, L.P.; Chen, S.H.; Dahms, H.U.; Ying, X.P.; Peng, X. Cadmium induced oxidative damage and apoptosis in the hepatopancreas of Meretrix meretrix. Ecotoxicology 2016, 25, 959–969. [Google Scholar] [CrossRef] [PubMed]
- Choi, C.Y.; An, K.W.; Nelson, E.R.; Habibi, H.R. Cadmium affects the expression of metallothionein (MT) and glutathione peroxidase (GPX) mRNA in goldfish, Carassius auratus. Comp. Biochem. Phys. C. 2007, 145, 595–600. [Google Scholar] [CrossRef]
- Chalkiadaki, O.; Dassenakis, M.; Paraskevopoulou, V.; Lydakis-Simantiris, N. Experimental study of cadmium bioaccumulation in three Mediterranean marine bivalve species: Correlation with selected biomarkers. Pure Appl. Chem. 2014, 86, 1189–1204. [Google Scholar] [CrossRef]
- Rocha, T.L.; Gomes, T.; Pinheiro, J.P.; Sousa, V.S.; Nunes, L.M.; Teixeira, M.R.; Bebianno, M.J. Toxicokinetics and tissue distribution of cadmium-based Quantum Dots in the marine mussel Mytilus galloprovincialis. Environ. Pollut. 2015, 204, 207–214. [Google Scholar] [CrossRef]
- Mass Fitzgerald, A.; Zarnoch, C.B.; Wallace, W.G. Examining the relationship between metal exposure (Cd and Hg), subcellular accumulation, and physiology of juvenile Crassostrea virginica. Environ. Sci. Pollut. Res. 2019, 26, 25958–25968. [Google Scholar] [CrossRef]
- Della Torre, C.; Bocci, E.; Focardi, S.E.; Corsi, I. Differential ABCB and ABCC gene expression and efflux activities in gills and hemocytes of Mytilus galloprovincialis and their involvement in cadmium response. Mar. Environ. Res. 2014, 93, 56–63. [Google Scholar] [CrossRef]
- Dong, L.; Sun, Y.; Chu, M.; Xie, Y.; Wang, P.; Li, B.; Li, Z.; Xu, X.; Feng, Y.; Sun, G.; et al. Exploration of response mechanisms in the gills of pacific oyster (Crassostrea gigas) to cadmium exposure through integrative metabolomic and transcriptomic analyses. Animals 2024, 14, 2318. [Google Scholar] [CrossRef] [PubMed]
- Thévenod, F.; Lee, W.K. Cadmium transport by mammalian ATP-binding cassette transporters. Biometals 2024, 37, 697–719. [Google Scholar] [PubMed]
- Viarengo, A.; Moore, M.N.; Mancinelli, G.; Mazzucotelli, A.; Pipe, R.K.; Farrar, S.V. Metallothioneins and lysosomes in metal toxicity and accumulation in marine mussels: The effect of cadmium in the presence and absence of phenanthrene. Mar. Biol. 1987, 94, 251–257. [Google Scholar] [CrossRef]
- Petrović, S.; Ozretić, B.; Krajnović-Ozretić, M.; Bobinac, D. Lysosomal membrane stability and metallothioneins in digestive gland of mussels (Mytilus galloprovincialis Lam.) as biomarkers in a field study. Mar. Pollut. Bull. 2001, 42, 1373–1378. [Google Scholar] [CrossRef]
- Marigómez, I.; Soto, M.; Cajaraville, M.P.; Angulo, E.; Giamberini, L. Cellular and subcellular distribution of metals in molluscs. Microsc. Res. Tech. 2002, 56, 358–392. [Google Scholar] [CrossRef] [PubMed]
- Zhang, Z.Y.; Zhang, M.Q.; Wu, Y.; Wu, G.H. Biological accumulation and release of Cd and Cu in Procambarus clarkii. Food Sci. 2014, 35, 250–254. [Google Scholar]
- Lin, Z.G.; Jing, W.X.; Wang, F. Effect of sub-chronic copper exposure on the antioxidant system in the gills of Anodonta woodiana. J. Agro-Environ. Sci. 2019, 38, 1233–1239. [Google Scholar]
- Jeong, W.C.; Kim, K.W.; Kim, J.A.; Kim, J.H.; Choi, C.Y. Depuration and post-exposure recovery of oxidative stress responses to microplastics and cadmium in Pacific oyster (Grassostrea gigas). Comp. Biochem. Physiol. B Biochem. Mol. Biol. 2025, 280, 111147. [Google Scholar] [CrossRef]
- Branca, J.J.V.; Pacini, A.; Gulisano, M.; Taddei, N.; Fiorillo, C.; Becatti, M. Cadmium-induced cytotoxicity: Effect of mitochondrial electron transport chain. Front. Cell Dev. Bio. 2020, 30, 604377. [Google Scholar] [CrossRef]
- Wang, J.H.; Deng, W.F.; Zou, T.; Bai, B.B.; Chang, A.K.; Ying, X.P. Cadmium induced oxidative stress in Meretrix meretrix gills leads to mitochondria-mediated apoptosis. Ecotoxicology 2021, 30, 2011–2023. [Google Scholar] [CrossRef]
- Li, Y.; Yang, H.; Liu, N.; Luo, J.; Wang, Q.; Wang, L. Cadmium accumulation and metallothionein biosynthesis in cadmium-treated freshwater mussel Anodonta woodiana. PLoS ONE 2015, 10, e0117037. [Google Scholar] [CrossRef]
- Jing, W.X.; Lang, L.; Lin, Z.G.; Liu, N.; Wang, L. Cadmium bioaccumulation and elimination in tissues of the freshwater mussel Anodonta woodiana. Chemosphere 2019, 219, 321–327. [Google Scholar] [CrossRef] [PubMed]
- Pillet, M.; Castaldo, G.D.; Weggheleire, S.; Bervoets, L.; Blust, R.; De Boeck, G. Limited oxidative stress in common carp (Cyprinus carpio, L., 1758) exposed to a sublethal tertiary (Cu, Cd and Zn) metal mixture. Comp. Biochem. Physiol. C Toxicol. Pharmacol. 2019, 218, 70–80. [Google Scholar] [CrossRef] [PubMed]
- Dhavale, D.M.; Masurekar, V.B.; Giridhar, B.A. Cadmium induced inhibition of Na+/K+ ATPase activity in tissues of crab Scylla serrata (Forskal). Bull. Environ. Contam. Toxicol. 1988, 40, 759–763. [Google Scholar] [CrossRef]
- Kinne-Saffran, E.; Hülseweh, M.; Pfaff, C.; Kinne, R.K. Inhibition of Na, K-ATPase by cadmium: Different mechanisms in different species. Toxicol. Appl. Pharamacol. 1993, 121, 22–29. [Google Scholar] [CrossRef]
- Wang, J.; Zhu, X.; Huang, X.; Gu, L.; Chen, Y.; Yang, Z. Combined effects of cadmium and salinity on juvenile Takifugu obscurus: Cadmium moderates salinity tolerance; salinity decreases the toxicity of cadmium. Sci. Rep. 2016, 6, 30968. [Google Scholar] [CrossRef] [PubMed]
- Wang, Y.; Fang, J.; Leonard, S.S.; Rao, K.M. Cadmium inhibits the electron transfer chain and induces reactive oxygen species. Free Radic. Biol. Med. 2004, 36, 1434–1443. [Google Scholar] [CrossRef]
- Wikström, M.; Krab, K.; Sharma, V. Oxygen activation and energy conservation by cytochorome c oxidase. Chem. Rev. 2018, 18, 2469–2490. [Google Scholar]
- Zhou, L.; Li, M.; Zhong, Z.; Chen, H.; Wang, M.; Lian, C.; Wang, H.; Zhang, H.; Cao, L.; Li, C. Toxicological effects of cadmium on deep-sea mussel Gigantidas platifrons revealed by a combined proteomic and metabolomic approach. Front. Mar. Sci. 2023, 10, 1087411. [Google Scholar] [CrossRef]
- Sonawane, S.M. Effect of heavy metals on lysosomal enzyme acid phosphatase activity of bivalve L. marginalsis. Int. J. Eng. Sci. Invent. 2017, 6, 67–70. [Google Scholar]
- Lojuyo, G.S.G.; Doinsing, J.W.; Ransangan, J. Immune responses of bivalves to environmental pollution and abiotic stress. Egypt. J. Aquat. Biol. Fish. 2022, 26, 911–957. [Google Scholar] [CrossRef]
- Mansour, C.; Estaban, M.A.; Hacene, O.R.; Mosbahi, D.S.; Cuardiola, F.A. Comparative study of immunological biomarkers in the carpet shell clams (Ruditapes decussatus) from metal-contaminated sites in the South Lagoon of Tunis (Tunisia). Environ. Sci. Pollut. Res. Int. 2022, 30, 12059–12074. [Google Scholar] [CrossRef]
- Abe, T.; Konishi, T.; Katoh, T.; Hirano, H.; Matsukuma, K.; Kashimura, M.; Higashi, K. Induction of heat shock 70 mRNA by cadmium is mediated by glutathione suppressive and non-suppressive triggers. Biochim. Biophys. Acta 1994, 1201, 29–36. [Google Scholar] [CrossRef]
- Shinkai, Y.; Masuda, A.; Akiyama, M.; Xian, M.; Kumagai, Y. Cadmium-mediated activation of the HSP90/HSF1 pathway regulated by reactive persulfides/polysulfides. Toxciol. Sci. 2017, 156, 412–421. [Google Scholar] [CrossRef]
- Gu, B.N.; Liang, W.; Yang, T.Z.; Hu, Z.J.; Shen, H.D. Metallothionein, hemocyte status and superoxide dismutase/aspartate aminotransferase activity are sensitive biomarkers of cadmium stress in Onchidium reevesii. Aquat. Toxicol. 2019, 215, 152–162. [Google Scholar] [CrossRef] [PubMed]
- Rahman, A.N.; Elhandy, M.; Hassanin, M.E.; Mohamed, A.A. Alleviative effects of dietary Indian lotus leaves on heavy metals-induced hepato-renal toxicity, oxidative stress, and histopathological alterations in Nile tilapia, Oreochromis niloticus (L.). Aquaculture 2019, 509, 198–208. [Google Scholar] [CrossRef]
- Ngo, V.; Duennwald, M.L. Nrf2 and oxidative stress: A general overview of mechanisms and implications in human disease. Antioxidants 2022, 11, 2345. [Google Scholar] [CrossRef] [PubMed]
- Hayes, J.D.; Chowdhry, S.; Dinkova-Kostova, A.T.; Sutherland, S. Dual regulation of transcription factor Nrf2 by Keap1 and by the combined actions of β-TrCP and GSK-3. Biochem. Soc. Trans. 2015, 43, 611–620. [Google Scholar] [CrossRef] [PubMed]







| Days | 1 | 2 | 3 | 4 | 5 | 6 | |
|---|---|---|---|---|---|---|---|
| Water | Control | 0.002 ± 0.001 b | 0.001 ± 0.003 b | 0.003 ± 0.003 b | 0.002 ± 0.003 c | 0.003 ± 0.004 c | 0.002 ± 0.004 c |
| T-1 | 1.428 ± 0.058 Ca | 1.458 ± 0.035 Ca | 1.442 ± 0.037 Ca | 1.460 ± 0.033 Ca | 1.676 ± 0.007 Ba | 1.865 ± 0.040 Aa | |
| T-2 | 1.401 ± 0.052 Aa | 1.463 ± 0.031 Aa | 1.419 ± 0.035 Aa | 0.174 ± 0.001 Bb | 0.168 ± 0.009 Bb | 0.134 ± 0.007 Cb | |
| Gills | Control | 0.208 ± 0.002 b | 0.211 ± 0.001 b | 0.211 ± 0.005 b | 0.215 ± 0.003 c | 0.209 ± 0.004 c | 0.213 ± 0.004 c |
| T-1 | 6.915 ± 1.021 Da | 8.622 ± 0.047 Ca | 9.842 ± 0.037 Ca | 13.460 ± 0.033 Ba | 17.376 ± 0.027 Aa | 18.665 ± 0.040 Aa | |
| T-2 | 6.928 ± 1.007 Ca | 8.458 ± 0.035 Ba | 9.857 ± 0.074 Aa | 9.122 ± 0.086 Ab | 8.696 ± 0.084 Bb | 8.294 ± 0.056 Bb | |
Disclaimer/Publisher’s Note: The statements, opinions and data contained in all publications are solely those of the individual author(s) and contributor(s) and not of MDPI and/or the editor(s). MDPI and/or the editor(s) disclaim responsibility for any injury to people or property resulting from any ideas, methods, instructions or products referred to in the content. |
© 2025 by the authors. Licensee MDPI, Basel, Switzerland. This article is an open access article distributed under the terms and conditions of the Creative Commons Attribution (CC BY) license.
Share and Cite
Zheng, Y.; Zheng, Y.; Qian, X.; Wu, Y.; Chang, A.K.; Ying, X. Effect of Acute Cadmium Exposure and Short-Term Depuration on Oxidative Stress and Immune Responses in Meretrix meretrix Gills. Toxics 2026, 14, 47. https://doi.org/10.3390/toxics14010047
Zheng Y, Zheng Y, Qian X, Wu Y, Chang AK, Ying X. Effect of Acute Cadmium Exposure and Short-Term Depuration on Oxidative Stress and Immune Responses in Meretrix meretrix Gills. Toxics. 2026; 14(1):47. https://doi.org/10.3390/toxics14010047
Chicago/Turabian StyleZheng, Yu, Yijiao Zheng, Xuantong Qian, Yinuo Wu, Alan Kueichieh Chang, and Xueping Ying. 2026. "Effect of Acute Cadmium Exposure and Short-Term Depuration on Oxidative Stress and Immune Responses in Meretrix meretrix Gills" Toxics 14, no. 1: 47. https://doi.org/10.3390/toxics14010047
APA StyleZheng, Y., Zheng, Y., Qian, X., Wu, Y., Chang, A. K., & Ying, X. (2026). Effect of Acute Cadmium Exposure and Short-Term Depuration on Oxidative Stress and Immune Responses in Meretrix meretrix Gills. Toxics, 14(1), 47. https://doi.org/10.3390/toxics14010047
