Effects of Prenatal Essential and Toxic Metal Exposure on Children’s Neurodevelopment: A Multi-Method Approach
Abstract
1. Introduction
2. Methods
2.1. Study Design
2.2. Maternal Baseline Data Information
2.3. Urinary Sample Collection and Metal Analysis
2.4. Children Neurodevelopment
2.5. Statistical Analysis
3. Results
3.1. Maternal and Offspring Characteristics and Neurodevelopmental Outcomes
3.2. Urinary Concentrations of Metals in Pregnant Women
3.3. Correlation Between Metals and Neurodevelopmental Outcomes
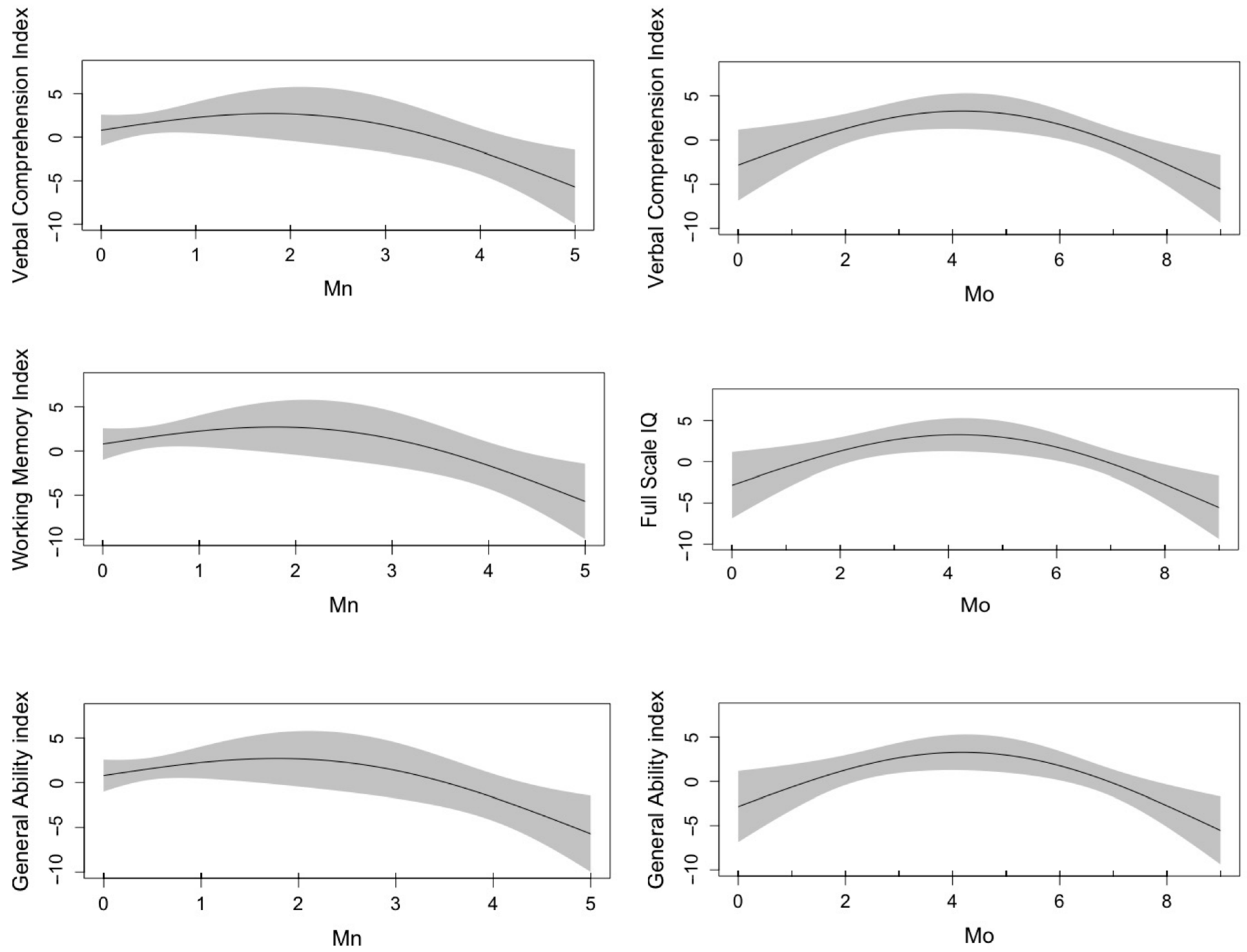
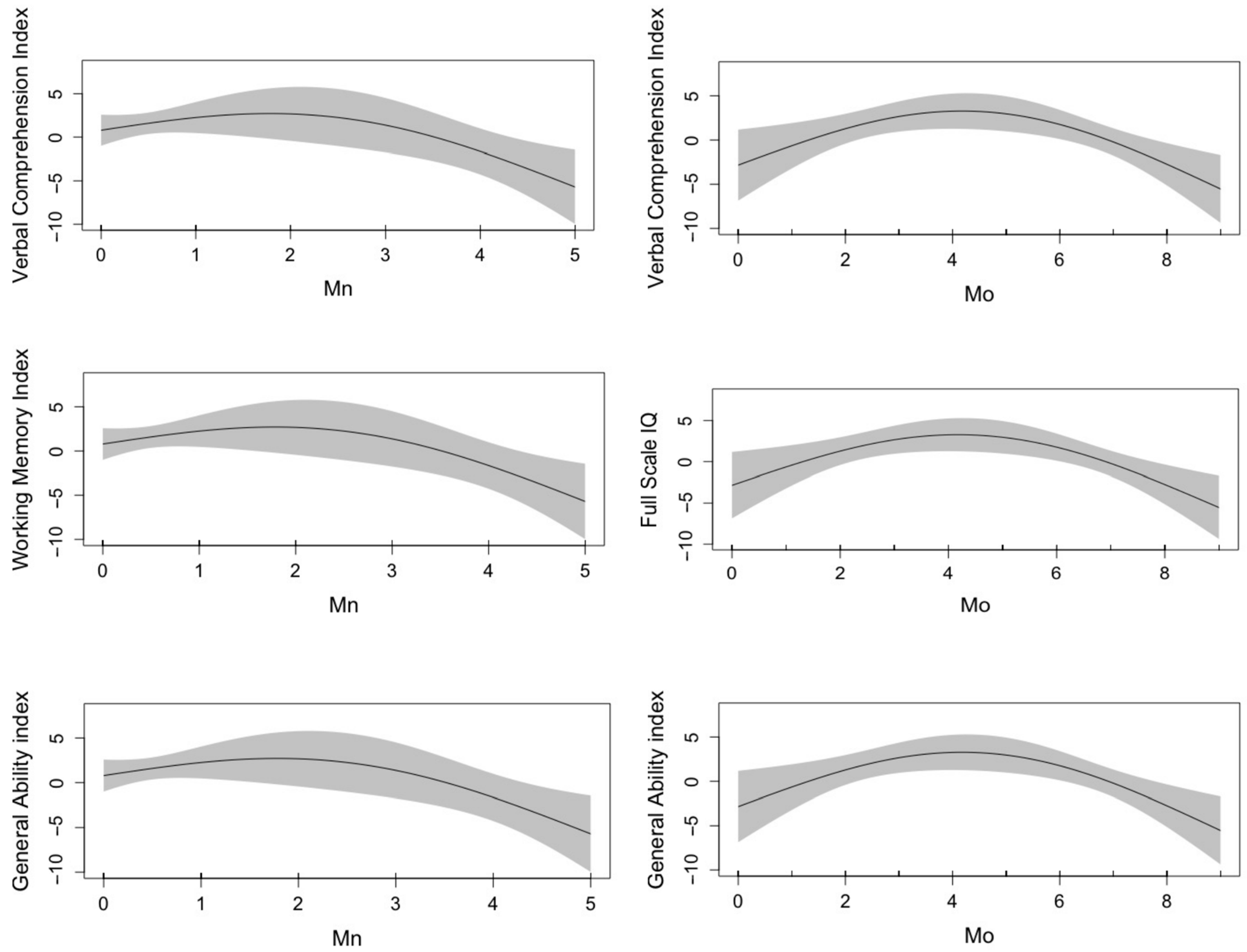
3.4. The Joint Effect of Essential and Toxic Metals on Neurodevelopmental Outcomes
4. Discussion
Supplementary Materials
Author Contributions
Funding
Institutional Review Board Statement
Informed Consent Statement
Data Availability Statement
Conflicts of Interest
References
- Black, M.M.; Walker, S.P.; Fernald, L.C.H.; Andersen, C.T.; DiGirolamo, A.M.; Lu, C.; McCoy, D.C.; Fink, G.; Shawar, Y.R.; Shiffman, J.; et al. Early childhood development coming of age: Science through the life course. Lancet 2017, 389, 77–90. [Google Scholar] [CrossRef]
- Duncan, A.F.; Matthews, M.A. Neurodevelopmental Outcomes in Early Childhood. Clin. Perinatol. 2018, 45, 377–392. [Google Scholar] [CrossRef] [PubMed]
- Aita, M.; Faugère, G.D.C.; Lavallée, A.; Feeley, N.; Stremler, R.; Rioux, É.; Proulx, M.-H. Effectiveness of interventions on early neurodevelopment of preterm infants: A systematic review and meta-analysis. BMC Pediatr. 2021, 21, 210. [Google Scholar] [CrossRef]
- Girault, J.B.; Piven, J. The Neurodevelopment of Autism from Infancy Through Toddlerhood. Neuroimaging Clin. N. Am. 2020, 30, 97–114. [Google Scholar] [CrossRef]
- Rahman, Z.; Singh, V.P. The relative impact of toxic heavy metals (THMs) (arsenic (As), cadmium (Cd), chromium (Cr)(VI), mercury (Hg), and lead (Pb)) on the total environment: An overview. Environ. Monit. Assess. 2019, 191, 419. [Google Scholar] [CrossRef]
- Miguel, P.M.; Pereira, L.O.; Silveira, P.P.; Meaney, M.J. Early environmental influences on the development of children’s brain structure and function. Dev. Med. Child Neurol. 2019, 61, 1127–1133. [Google Scholar] [CrossRef]
- Jomova, K.; Makova, M.; Alomar, S.Y.; Alwasel, S.H.; Nepovimova, E.; Kuca, K.; Rhodes, C.J.; Valko, M. Essential metals in health and disease. Chem.-Biol. Interact. 2022, 367, 110173. [Google Scholar] [CrossRef] [PubMed]
- Ijomone, O.M.; Ifenatuoha, C.W.; Aluko, O.M.; Ijomone, O.K.; Aschner, M. The aging brain: Impact of heavy metal neurotoxicity. Crit. Rev. Toxicol. 2020, 50, 801–814. [Google Scholar] [CrossRef]
- Bobb, J.F.; Valeri, L.; Henn, B.C.; Christiani, D.C.; Wright, R.O.; Mazumdar, M.; Godleski, J.J.; Coull, B.A. Bayesian kernel machine regression for estimating the health effects of multi-pollutant mixtures. Biostatistics 2015, 16, 493–508. [Google Scholar] [CrossRef]
- Carrico, C.; Gennings, C.; Wheeler, D.C.; Factor-Litvak, P. Characterization of Weighted Quantile Sum Regression for Highly Correlated Data in a Risk Analysis Setting. J. Agric. Biol. Environ. Stat. 2015, 20, 100–120. [Google Scholar] [CrossRef] [PubMed]
- Merced-Nieves, F.M.; Chelonis, J.; Pantic, I.; Schnass, L.; Téllez-Rojo, M.M.; Braun, J.M.; Paule, M.G.; Wright, R.J.; Wright, R.O.; Curtin, P. Prenatal trace elements mixture is associated with learning deficits on a behavioral acquisition task among young children. New Dir. Child Adolesc. Dev. 2022, 2022, 53–66. [Google Scholar] [CrossRef]
- de Water, E.; Curtin, P.; Gennings, C.; Chelonis, J.J.; Paule, M.; Bixby, M.; McRae, N.; Svensson, K.; Schnaas, L.; Pantic, I.; et al. Prenatal metal mixture concentrations and reward motivation in children. NeuroToxicology 2022, 88, 124–133. [Google Scholar] [CrossRef] [PubMed]
- Rechtman, E.; Curtin, P.; Papazaharias, D.M.; Renzetti, S.; Cagna, G.; Peli, M.; Levin-Schwartz, Y.; Placidi, D.; Smith, D.R.; Lucchini, R.G.; et al. Sex-specific associations between co-exposure to multiple metals and visuospatial learning in early adolescence. Transl. Psychiatry 2020, 10, 358. [Google Scholar] [CrossRef]
- Levin-Schwartz, Y.; Gennings, C.; Schnaas, L.; Chávez, M.d.C.H.; Bellinger, D.C.; Téllez-Rojo, M.M.; Baccarelli, A.A.; Wright, R.O. Time-varying associations between prenatal metal mixtures and rapid visual processing in children. Environ. Health 2019, 18, 92. [Google Scholar] [CrossRef]
- Lane, J.M.; Merced-Nieves, F.M.; Midya, V.; Liu, S.H.; Martinez-Medina, S.; Wright, R.J.; Téllez-Rojo, M.M.; Wright, R.O. Prenatal exposure to metal mixtures and childhood temporal processing in the PROGRESS Birth Cohort Study: Modification by childhood obesity. Sci. Total Environ. 2024, 917, 170576. [Google Scholar] [CrossRef]
- Liu, C.; Huang, L.; Huang, S.; Wei, L.; Cao, D.; Zan, G.; Tan, Y.; Wang, S.; Yang, M.; Tian, L.; et al. Association of both prenatal and early childhood multiple metals exposure with neurodevelopment in infant: A prospective cohort study. Environ. Res. 2022, 205, 112450. [Google Scholar] [CrossRef]
- Gu, J.; Huang, H.; Tang, P.; Liao, Q.; Liang, J.; Tang, Y.; Long, J.; Chen, J.; Huang, D.; Liu, S.; et al. Association between maternal metal exposure during early pregnancy and intelligence in children aged 3–6 years: Results from a Chinese birth cohort. Environ. Res. 2024, 261, 119685. [Google Scholar] [CrossRef]
- Kalloo, G.; Wellenius, G.A.; McCandless, L.; Calafat, A.M.; Sjodin, A.; Sullivan, A.J.; Romano, M.E.; Karagas, M.R.; Chen, A.; Yolton, K.; et al. Chemical mixture exposures during pregnancy and cognitive abilities in school-aged children. Environ. Res. 2021, 197, 111027. [Google Scholar] [CrossRef] [PubMed]
- Qiu, Y.; Liu, Y.; Gan, M.; Wang, W.; Jiang, T.; Jiang, Y.; Lv, H.; Lu, Q.; Qin, R.; Tao, S.; et al. Association of prenatal multiple metal exposures with child neurodevelopment at 3 years of age: A prospective birth cohort study. Sci. Total Environ. 2024, 942, 173812. [Google Scholar] [CrossRef] [PubMed]
- Stein, C.R.; Wu, H.; Bellinger, D.C.; Smith, D.R.; Wolff, M.S.; Savitz, D.A. Exposure to metal mixtures and neuropsychological functioning in middle childhood. NeuroToxicology 2022, 93, 84–91. [Google Scholar] [CrossRef]
- Hawari, I.; Eskandar, M.B.; Alzeer, S. The Role of Lead, Manganese, and Zinc in Autism Spectrum Disorders (ASDs) and Attention-Deficient Hyperactivity Disorder (ADHD): A Case-Control Study on Syrian Children Affected by the Syrian Crisis. Biol. Trace Elem. Res. 2020, 197, 107–114. [Google Scholar] [CrossRef] [PubMed]
- Tsai, T.-L.; Hsieh, C.-J.; Wu, M.-T.; Chen, M.-L.; Kuo, P.-H.; Wang, S.-L. Co-exposure to toxic metals and phthalates in pregnant women and their children’s mental health problems aged four years—Taiwan Maternal and Infant Cohort Study (TMICS). Environ. Int. 2023, 173, 107804. [Google Scholar] [CrossRef]
- Skogheim, T.S.; Weyde, K.V.F.; Engel, S.M.; Aase, H.; Surén, P.; Øie, M.G.; Biele, G.; Reichborn-Kjennerud, T.; Caspersen, I.H.; Hornig, M.; et al. Metal and essential element concentrations during pregnancy and associations with autism spectrum disorder and attention-deficit/hyperactivity disorder in children. Environ. Int. 2021, 152, 106468. [Google Scholar] [CrossRef]
- Yu, E.X.; Dou, J.F.; Volk, H.E.; Bakulski, K.M.; Benke, K.; Hertz-Picciotto, I.; Schmidt, R.J.; Newschaffer, C.J.; Feinberg, J.I.; Daniels, J.; et al. Prenatal Metal Exposures and Child Social Responsiveness Scale Scores in 2 Prospective Studies. Environ. Health Insights 2024, 18, 11786302231225313. [Google Scholar] [CrossRef] [PubMed]
- Carmona, A.; Roudeau, S.; Ortega, R. Molecular Mechanisms of Environmental Metal Neurotoxicity: A Focus on the Interactions of Metals with Synapse Structure and Function. Toxics 2021, 9, 198. [Google Scholar] [CrossRef] [PubMed]
- Karri, V.; Schuhmacher, M.; Kumar, V. Heavy metals (Pb, Cd, As and MeHg) as risk factors for cognitive dysfunction: A general review of metal mixture mechanism in brain. Environ. Toxicol. Pharmacol. 2016, 48, 203–213. [Google Scholar] [CrossRef]
- Kim, H.; Harrison, F.E.; Aschner, M.; Bowman, A.B. Exposing the role of metals in neurological disorders: A focus on manganese. Trends Mol. Med. 2022, 28, 555–568. [Google Scholar] [CrossRef]
- Arija, V.; Fargas, F.; March, G.; Abajo, S.; Basora, J.; Canals, J.; Ribot, B.; Aparicio, E.; Serrat, N.; Hernández-Martínez, C.; et al. Adapting iron dose supplementation in pregnancy for greater effectiveness on mother and child health: Protocol of the ECLIPSES randomized clinical trial. BMC Pregnancy Childbirth 2014, 14, 33. [Google Scholar] [CrossRef]
- Trichopoulou, A.; Costacou, T.; Bamia, C.; Trichopoulos, D. Adherence to a Mediterranean Diet and Survival in a Greek Population. N. Engl. J. Med. 2003, 348, 2599–2608. [Google Scholar] [CrossRef]
- Julian, L.J. Measures of anxiety: State-Trait Anxiety Inventory (STAI), Beck Anxiety Inventory (BAI), and Hospital Anxiety and Depression Scale-Anxiety (HADS-A). Arthritis Care Res. 2011, 63, S467–S472. [Google Scholar] [CrossRef]
- Anual, Z.F.; Sham, N.M.; Ambak, R.; Othman, F.; Shaharudin, R. Urinary Concentrations of Metals and Metalloids in Malaysian Adults. Expo. Health 2021, 13, 391–401. [Google Scholar] [CrossRef]
- Lozano, M.; Murcia, M.; Soler-Blasco, R.; Casas, M.; Zubero, B.; Riutort-Mayol, G.; Gil, F.; Olmedo, P.; Grimalt, J.O.; Amorós, R.; et al. Exposure to metals and metalloids among pregnant women from Spain: Levels and associated factors. Chemosphere 2022, 286, 131809. [Google Scholar] [CrossRef]
- Warren, J.A.; Siefring, G.; Morjana, N. Development of application protocols of the Emit® II Plus 6-Acetylmorphine Assay on the ADVIA® 1800 and 2400 Chemistry Systems. Forensic Sci. Int. 2014, 244, 122–127. [Google Scholar] [CrossRef]
- Watkins, M.W.; Beaujean, A.A. Bifactor structure of the Wechsler Preschool and Primary Scale of Intelligence—Fourth Edition. Sch. Psychol. Q. 2014, 29, 52–63. [Google Scholar] [CrossRef] [PubMed]
- Davis, J.L.; Matthews, R.N. NEPSY-II Review. J. Psychoeduc. Assess. 2010, 28, 175–182. [Google Scholar] [CrossRef]
- Pirie, W. Spearman’s rank correlation coefficient. BMJ 2018, 362, k4131. [Google Scholar] [CrossRef] [PubMed]
- Gomez-Rubio, V. Generalized Additive Models: An Introduction with R (2nd Edition). J. Stat. Softw. 2018, 86, 1–5. [Google Scholar] [CrossRef]
- Wang, W.; Hu, C. Proportional Hazards Regression Models. In Springer Handbook of Engineering Statistics; Springer: London, UK, 2006; pp. 387–396. [Google Scholar] [CrossRef]
- Tanner, E.M.; Bornehag, C.-G.; Gennings, C. Repeated holdout validation for weighted quantile sum regression. MethodsX 2019, 6, 2855–2860. [Google Scholar] [CrossRef] [PubMed]
- Renzetti, S.; Gennings, C.; Calza, S. A weighted quantile sum regression with penalized weights and two indices. Front. Public Health 2023, 11, 1151821. [Google Scholar] [CrossRef]
- Package “rms”. 2024. Available online: https://hbiostat.org/R/rms/; https://github.com/harrelfe/rms (accessed on 22 August 2024).
- Renzetti, S.; Curtin, P.; Gennings, C. gWQS: Generalized Weighted Quantile Sum Regression, Version 3.0.5; 2023. R Package on CRAN, 16 November 2023. Available online: https://CRAN.R-project.org/package=gWQS (accessed on 29 October 2025).
- Chung, S.E.; Cheong, H.-K.; Ha, E.-H.; Kim, B.-N.; Ha, M.; Kim, Y.; Hong, Y.-C.; Park, H.; Oh, S.-Y. Maternal Blood Manganese and Early Neurodevelopment: The Mothers and Children’s Environmental Health (MOCEH) Study. Environ. Health Perspect. 2015, 123, 717–722. [Google Scholar] [CrossRef]
- Valeri, L.; Mazumdar, M.M.; Bobb, J.F.; Henn, B.C.; Rodrigues, E.; Sharif, O.I.A.; Kile, M.L.; Quamruzzaman, Q.; Afroz, S.; Golam, M.; et al. The Joint Effect of Prenatal Exposure to Metal Mixtures on Neurodevelopmental Outcomes at 20–40 Months of Age: Evidence from Rural Bangladesh. Environ. Health Perspect. 2017, 125, 067015. [Google Scholar] [CrossRef] [PubMed]
- Yu, X.-D.; Zhang, J.; Yan, C.-H.; Shen, X.-M. Prenatal exposure to manganese at environment relevant level and neonatal neurobehavioral development. Environ. Res. 2014, 133, 232–238. [Google Scholar] [CrossRef]
- Nisse, C.; Tagne-Fotso, R.; Howsam, M.; Richeval, C.; Labat, L.; Leroyer, A. Blood and urinary levels of metals and metalloids in the general adult population of Northern France: The IMEPOGE study, 2008–2010. Int. J. Hyg. Environ. Health 2017, 220, 341–363. [Google Scholar] [CrossRef]
- Pérez, R.; Doménech, E.; Conchado, A.; Sanchez, A.; Coscollà, C.; Yusà, V. Influence of diet in urinary levels of metals in a biomonitoring study of a child population of the Valencian region (Spain). Sci. Total Environ. 2018, 618, 1647–1657. [Google Scholar] [CrossRef]
- Wu, C.; Woo, J.G.; Zhang, N. Association between urinary manganese and blood pressure: Results from National Health and Nutrition Examination Survey (NHANES), 2011–2014. PLoS ONE 2017, 12, e0188145. [Google Scholar] [CrossRef]
- Cheng, H.; Villahoz, B.F.; Ponzio, R.D.; Aschner, M.; Chen, P. Signaling Pathways Involved in Manganese-Induced Neurotoxicity. Cells 2023, 12, 2842. [Google Scholar] [CrossRef]
- Pajarillo, E.; Nyarko-Danquah, I.; Digman, A.; Multani, H.K.; Kim, S.; Gaspard, P.; Aschner, M.; Lee, E. Mechanisms of manganese-induced neurotoxicity and the pursuit of neurotherapeutic strategies. Front. Pharmacol. 2022, 13, 1011947. [Google Scholar] [CrossRef]
- Coelho, F.C.; Cerchiaro, G.; Araújo, S.E.S.; Daher, J.P.L.; Cardoso, S.A.; Coelho, G.F.; Guimarães, A.G. Is There a Connection between the Metabolism of Copper, Sulfur, and Molybdenum in Alzheimer’s Disease? New Insights on Disease Etiology. Int. J. Mol. Sci. 2022, 23, 7935. [Google Scholar] [CrossRef]
- Adamus, J.P.; Ruszczyńska, A.; Wyczałkowska-Tomasik, A. Molybdenum’s Role as an Essential Element in Enzymes Catabolizing Redox Reactions: A Review. Biomolecules 2024, 14, 869. [Google Scholar] [CrossRef] [PubMed]
- Saerens, A.; Ghosh, M.; Verdonck, J.; Godderis, L. Risk of Cancer for Workers Exposed to Antimony Compounds: A Systematic Review. Int. J. Environ. Res. Public Health 2019, 16, 4474. [Google Scholar] [CrossRef] [PubMed]
- Tung, P.W.; Burt, A.; Karagas, M.; Jackson, B.P.; Punshon, T.; Lester, B.; Marsit, C.J. Prenatal exposure to metal mixtures and newborn neurobehavior in the Rhode Island Child Health Study. Environ. Epidemiol. 2022, 6, e194. [Google Scholar] [CrossRef] [PubMed]
- Jeong, K.S.; Park, H.; Ha, E.; Hong, Y.-C.; Ha, M.; Park, H.; Kim, B.-N.; Lee, B.-E.; Lee, S.-J.; Lee, K.Y.; et al. Performance IQ in children is associated with blood cadmium concentration in early pregnancy. J. Trace Elem. Med. Biol. 2015, 30, 107–111. [Google Scholar] [CrossRef]
- Wang, Y.; Chen, L.; Gao, Y.; Zhang, Y.; Wang, C.; Zhou, Y.; Hu, Y.; Shi, R.; Tian, Y. Effects of prenatal exposure to cadmium on neurodevelopment of infants in Shandong, China. Environ. Pollut. 2016, 211, 67–73. [Google Scholar] [CrossRef] [PubMed]
- Gundacker, C.; Hengstschläger, M. The role of the placenta in fetal exposure to heavy metals. Wien. Med. Wochenschr. 2012, 162, 201–206. [Google Scholar] [CrossRef]
- Hsu, T.; Huang, K.-M.; Tsai, H.-T.; Sung, S.-T.; Ho, T.-N. Cadmium(Cd)-induced oxidative stress down-regulates the gene expression of DNA mismatch recognition proteins MutS homolog 2 (MSH2) and MSH6 in zebrafish (Danio rerio) embryos. Aquat. Toxicol. 2013, 126, 9–16. [Google Scholar] [CrossRef] [PubMed]
- Kim, S.; Cheon, H.-S.; Kim, S.-Y.; Juhnn, Y.-S.; Kim, Y.-Y. Cadmium induces neuronal cell death through reactive oxygen species activated by GADD153. BMC Cell Biol. 2013, 14, 4. [Google Scholar] [CrossRef]
- Shi, W.; Tang, Y.; Zhi, Y.; Li, Z.; Yu, S.; Jiang, J.; Zhu, J.; Li, J.; Wang, F.; Su, L.; et al. Akt inhibition-dependent downregulation of the Wnt/β-Catenin Signaling pathway contributes to antimony-induced neurotoxicity. Sci. Total Environ. 2020, 737, 140252. [Google Scholar] [CrossRef]
- Kou, X.; Bulló, M.; Rovira, J.; Díaz-López, A.; Arija, V. Dietary intake of metals, metalloids, and persistent organic pollutants in Spanish pregnant women. ECLIPSES study. Chemosphere 2023, 344, 140319. [Google Scholar] [CrossRef]
- Kou, X.; Iglesias-Vázquez, L.; Nadal, M.; Basora, J.; Arija, V. Urinary concentrations of heavy metals in pregnant women living near a petrochemical area according to the industrial activity. Environ. Res. 2023, 235, 116677. [Google Scholar] [CrossRef]
- Xie, Y.; Xiao, H.; Zheng, D.; Mahai, G.; Li, Y.; Xia, W.; Xu, S.; Zhou, A. Associations of prenatal metal exposure with child neurodevelopment and mediation by perturbation of metabolic pathways. Nat. Commun. 2025, 16, 2089. [Google Scholar] [CrossRef]
- Castriotta, L.; Rosolen, V.; Biggeri, A.; Ronfani, L.; Catelan, D.; Mariuz, M.; Bin, M.; Brumatti, L.V.; Horvat, M.; Barbone, F. The role of mercury, selenium and the Se-Hg antagonism on cognitive neurodevelopment: A 40-month follow-up of the Italian mother-child PHIME cohort. Int. J. Hyg. Environ. Health 2020, 230, 113604. [Google Scholar] [CrossRef] [PubMed]
- Li, C.; Xia, W.; Jiang, Y.; Liu, W.; Zhang, B.; Xu, S.; Li, Y. Low level prenatal exposure to a mixture of Sr, Se and Mn and neurocognitive development of 2-year-old children. Sci. Total Environ. 2020, 735, 139403. [Google Scholar] [CrossRef] [PubMed]




| Maternal Characteristics | Summary Statistics |
|---|---|
| Age (years), mean ± SD | 31.58 ± 4.72 |
| BMI, mean ± SD | 24.68 ± 4.27 |
| Social class, n (%) | |
| Low/Medium | 150 (74.6) |
| High | 51 (25.4) |
| Smoking status, n (%) | |
| Never smoker | 136 (67.7) |
| Smoker or ex-smoker | 65 (32.3) |
| MedDiet during pregnancy (score), mean ± SD | 9.65 ± 2.44 |
| Children characteristics | |
| Gestational age (weeks), mean ± SD | 39.78 ± 1.37 |
| Sex, n (%) | |
| Male | 107 (53.2) |
| Female | 94 (46.8) |
| Type of feeding, n (%) | |
| Breastfeeding | 155 (77.1) |
| Mixed feeding/infant formula | 46 (22.9) |
| Neurodevelopment of children | |
| WPPSI score | |
| VCI | 105.27 ± 13.63 |
| FRI | 102.67 ± 12.81 |
| WMI | 97.75 ± 12.18 |
| PSI | 96.21 ± 12.20 |
| FSIQ | 102.59 ± 11.28 |
| VAI | 97.45 ± 13.92 |
| NVI | 101.27 ± 11.54 |
| GAI | 106.16 ± 11.85 |
| NEPSY score | |
| Verbal fluency (language domain) | 9.02 ± 2.88 |
| Visual-motor precision (sensorimotor domain) | 10.32 ± 3.28 |
| Emotion recognition (social perception domain) | 9.01 ± 2.50 |
| Percentile | GM | IQR | |||
|---|---|---|---|---|---|
| 25th | 50th | 75th | |||
| Adjusted (μg/g of Creatinine) | |||||
| Essential metals | |||||
| Mg | 5.49 (×104) | 7.32 (×104) | 9.86 (×104) | 7.43 (×104) | 4.27 (×104) |
| Cr | 0.13 | 0.23 | 0.35 | 0.26 | 0.21 |
| Mn | 0.00 | 0.02 | 0.09 | 0.11 | 0.23 |
| Mo | 29.34 | 40.98 | 55.98 | 39.87 | 26.78 |
| Co | 0.18 | 0.29 | 0.58 | 0.35 | 0.39 |
| Cu | 5.08 | 7.23 | 10.00 | 6.71 | 4.88 |
| Zn | 198.02 | 304.19 | 430.90 | 271.80 | 233.81 |
| Se | 21.62 | 26.12 | 31.03 | 26.67 | 8.80 |
| Toxic metals | |||||
| As | 9.84 | 24.21 | 61.37 | 30.44 | 67.62 |
| Cd | 0.14 | 0.23 | 0.33 | 0.22 | 0.19 |
| Sb | 0.03 | 0.05 | 0.08 | 0.05 | 0.04 |
| Hg | 0.29 | 0.57 | 0.94 | 0.50 | 0.63 |
| Pb | 0.16 | 0.36 | 0.68 | 0.37 | 0.45 |
| Ni | 1.08 | 1.59 | 2.38 | 1.70 | 1.33 |
| VCI | FRI | WMI | PSI | FSIQ | VAI | NVI | GAI | |||||||||
|---|---|---|---|---|---|---|---|---|---|---|---|---|---|---|---|---|
| est | 95%CI | est | 95%CI | est | 95%CI | est | 95%CI | est | 95%CI | est | 95%CI | est | 95%CI | est | 95%CI | |
| β WQS (Essential metals) | 0.69 | −5.36, 6.22 | −1.05 | −2.30, 0.15 | 4.79 | −1.66, 10.45 | −1.02 | −2.17, 0.04 | 1.90 | −2.22, 6.87 | 0.80 | −0.49, 2.20 | −1.00 | −2.21, 0.07 | 0.32 | −4.63, 6.45 |
| β WQS2 (Essential metals) | −0.12 | −0.82, 0.66 | −0.59 | −1.75, 0.16 | −0.38 | −1.10, 0.30 | −0.17 | −1.16, 0.60 | ||||||||
| β WQS (Toxic metals) | −1.07 | −2.03, −0.10 | 0.28 | −0.70, 1.23 | 0.50 | −0.38, 1.35 | −0.98 | −1.73, −0.20 | −0.28 | −1.18, 0.42 | −1.25 | −2.18, −0.23 | −0.08 | −1.01, 0.79 | −0.34 | −1.48, 0.27 |
| Verbal Fluency (Language Domain) | Visual-Motor Precision (Sensorimotor Domain) | Emotion Recognition (Social Perception Domain) | ||||
|---|---|---|---|---|---|---|
| est | 95%CI | est | 95%CI | est | 95%CI | |
| β WQS (Essential metals) | −0.07 | −0.30, 0.21 | −0.15 | −0.35, 0.28 | 0.15 | −0.03, 0.34 |
| β WQS (Toxic metals) | −0.23 | −0.38, −0.03 | 0.17 | −0.04, 0.50 | 0.09 | −0.08, 0.26 |
Disclaimer/Publisher’s Note: The statements, opinions and data contained in all publications are solely those of the individual author(s) and contributor(s) and not of MDPI and/or the editor(s). MDPI and/or the editor(s) disclaim responsibility for any injury to people or property resulting from any ideas, methods, instructions or products referred to in the content. |
© 2025 by the authors. Licensee MDPI, Basel, Switzerland. This article is an open access article distributed under the terms and conditions of the Creative Commons Attribution (CC BY) license (https://creativecommons.org/licenses/by/4.0/).
Share and Cite
Kou, X.; Renzetti, S.; Canals, J.; Calza, S.; Jardí, C.; Arija, V. Effects of Prenatal Essential and Toxic Metal Exposure on Children’s Neurodevelopment: A Multi-Method Approach. Toxics 2025, 13, 954. https://doi.org/10.3390/toxics13110954
Kou X, Renzetti S, Canals J, Calza S, Jardí C, Arija V. Effects of Prenatal Essential and Toxic Metal Exposure on Children’s Neurodevelopment: A Multi-Method Approach. Toxics. 2025; 13(11):954. https://doi.org/10.3390/toxics13110954
Chicago/Turabian StyleKou, Xiruo, Stefano Renzetti, Josefa Canals, Stefano Calza, Cristina Jardí, and Victoria Arija. 2025. "Effects of Prenatal Essential and Toxic Metal Exposure on Children’s Neurodevelopment: A Multi-Method Approach" Toxics 13, no. 11: 954. https://doi.org/10.3390/toxics13110954
APA StyleKou, X., Renzetti, S., Canals, J., Calza, S., Jardí, C., & Arija, V. (2025). Effects of Prenatal Essential and Toxic Metal Exposure on Children’s Neurodevelopment: A Multi-Method Approach. Toxics, 13(11), 954. https://doi.org/10.3390/toxics13110954

