Influence Mechanism of Vermicompost with Different Maturity on Atrazine Catabolism and Bacterial Community
Abstract
1. Introduction
2. Materials and Methods
2.1. Chemicals and Materials
2.2. Atrazine Degradation Experiment
2.3. Chemical Analysis of Atrazine and Metabolites
2.4. Soil and Vermicompost Physicochemical Property Analysis
2.5. DNA Extraction, Amplification, and Sequencing
2.6. Statistical Analysis and Bioinformatics
3. Results
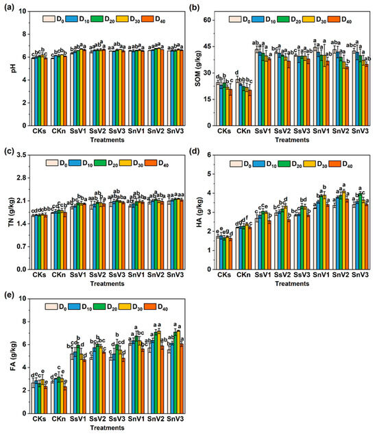
3.1. Soil Physicochemical Properties
3.2. Effect of Vermicompost on the Degradation Performance and Metabolites of Atrazine
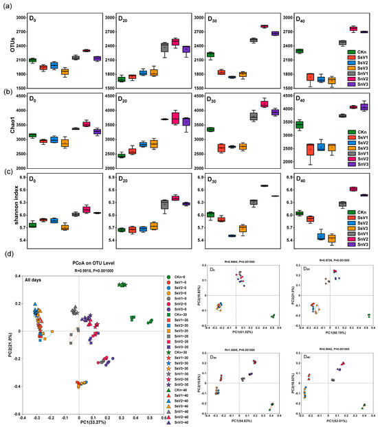
3.3. Soil Bacterial Community Diversity
3.4. Soil Bacterial Community Composition
3.5. Effect of Vermicompost on Soil Microbial Function
3.6. Respective Correlations Between Degradation Rate and Metabolites of Atrazine and Soil Bacteria, and Soil Physicochemical Properties
4. Discussion
5. Conclusions
Supplementary Materials
Author Contributions
Funding
Institutional Review Board Statement
Informed Consent Statement
Data Availability Statement
Conflicts of Interest
References
- Liu, X.W.; Chen, K.; Chuang, S.C.; Xu, X.H.; Jiang, J.D. Shift in Bacterial Community Structure Drives Different Atrazine-Degrading Efficiencies. Front. Microbiol. 2019, 10, 88. [Google Scholar] [CrossRef] [PubMed]
- Singh, S.; Kumar, V.; Chauhan, A.; Datta, S.; Wani, A.B.; Singh, N.; Singh, J. Toxicity, degradation and analysis of the herbicide atrazine. Environ. Chem. Lett. 2017, 16, 211–237. [Google Scholar] [CrossRef]
- Boulange, J.; Thuyet, D.Q.; Jaikaew, P.; Ishihara, S.; Watanabe, H. Development and validation of the SPEC model for simulating the fate and transport of pesticide applied to Japanese upland agricultural soil. J. Pestic. Sci. 2016, 41, 152–162. [Google Scholar] [CrossRef] [PubMed]
- Liu, J.T.; Zhou, J.H.; Guo, Q.N.; Ma, L.Y.; Yang, H. Physicochemical assessment of environmental behaviors of herbicide atrazine in soils associated with its degradation and bioavailability to weeds. Chemosphere 2021, 262, 127830. [Google Scholar] [CrossRef]
- Dou, R.N.; Sun, J.T.; Deng, F.C.; Wang, P.L.; Zhou, H.J.; Wei, Z.; Chen, M.Q.; He, Z.X.; Lai, M.L.; Ye, T.C.; et al. Contamination of pyrethroids and atrazine in greenhouse and open-field agricultural soils in China. Sci. Total Environ. 2020, 701, 134916. [Google Scholar] [CrossRef]
- Hansen, S.P.; Messer, T.L.; Mittelstet, A.R. Mitigating the risk of atrazine exposure: Identifying hot spots and hot times in surface waters across Nebraska, USA. J. Environ. Manag. 2019, 250, 109424. [Google Scholar] [CrossRef]
- Hayes, T.B.; Khoury, V.; Narayan, A.; Nazir, M.; Park, A.; Brown, T.; Adame, L.; Chan, E.; Buchholz, D.; Stueve, T.; et al. Atrazine induces complete feminization and chemical castration in male African clawed frogs (Xenopus laevis). Proc. Natl. Acad. Sci. USA 2010, 107, 4612–4617. [Google Scholar] [CrossRef]
- Brasil, V.L.M.; Pinto, M.B.R.; Bonan, R.F.; Kowalski, L.P.; Perez, D.E.D. Pesticides as risk factors for head and neck cancer: A review. J. Oral Pathol. Med. 2018, 47, 641–651. [Google Scholar] [CrossRef]
- Yuan, L.F.; Chai, Y.D.; Li, C.D.; Liu, R.; Chen, Z.L.; Li, L.; Li, W.; He, Y.J. Dissipation, residue, dietary, and ecological risk assessment of atrazine in apples, grapes, tea, and their soil. Environ. Sci. Pollut. Res. 2021, 28, 35064–35072. [Google Scholar] [CrossRef]
- Yang, X.F.; He, Y.H.; Liu, B.; Guo, H.; Xue, L.; Duan, Y.W.; Hu, H.; Gao, F.; Zhou, L.; Zhang, J.J. Alfalfa’s response to atrazine stress and its secreted atrazine metabolites. Ecotoxicol. Environ. Saf. 2022, 241, 113780. [Google Scholar] [CrossRef]
- Zhang, J.J.; Lu, Y.C.; Zhang, J.J.; Tan, L.R.; Yang, H. Accumulation and toxicological response of atrazine in rice crops. Ecotoxicol. Environ. Saf. 2014, 102, 105–112. [Google Scholar] [CrossRef] [PubMed]
- Bayati, M.; Numaan, M.; Kadhem, A.; Salahshoor, Z.; Qasim, S.; Deng, H.; Lin, J.; Yan, Z.; Lin, C.H.; de Cortalezzi, M.F. A dsorption of atrazine by laser induced graphitic material: An efficient, scalable and green alternative for pollution abatement. J. Environ. Chem. Eng. 2020, 8, 104407. [Google Scholar] [CrossRef]
- Chen, L.W.; Hu, X.X.; Yang, Y.; Jiang, C.L.; Bian, C.; Liu, C.; Zhang, M.Y.; Cai, T.M. Degradation of atrazine and structurally related s-triazine herbicides in soils by ferrous-activated persulfate: Kinetics, mechanisms and soil-types effects. Chem. Eng. J. 2018, 351, 523–531. [Google Scholar] [CrossRef]
- dos Santos, E.V.; Sáez, C.; Martínez-Huitle, C.A.; Cañizares, P.; Rodrigo, M.A. Combined soil washing and CDEO for the removal of atrazine from soils. J. Hazard. Mater. 2015, 300, 129–134. [Google Scholar] [CrossRef]
- Fang, H.; Lian, J.J.; Wang, H.F.; Cai, L.; Yu, Y.L. Exploring bacterial community structure and function associated with atrazine biodegradation in repeatedly treated soils. J. Hazard. Mater. 2015, 286, 457–465. [Google Scholar] [CrossRef]
- Jiang, Z.; Shao, Q.; Chu, Y.X.; An, N.; Cao, B.; Ren, Z.Y.; Li, J.; Qu, J.H.; Dong, M.F.; Zhang, Y. Mitigation of atrazine-induced oxidative stress on soybean seedlings after co-inoculation with atrazine-degrading bacterium Arthrobacter sp. DNS10 and inorganic phosphorus-solubilizing bacterium Enterobacter sp. P1. Environ. Sci. Pollut. Res. 2022, 30, 30048–30061. [Google Scholar] [CrossRef]
- Luo, S.W.; Ren, L.; Wu, W.J.; Chen, Y.J.; Li, G.Y.; Zhang, W.J.; Wei, T.; Liang, Y.Q.; Zhang, D.Y.; Wang, X.Z.; et al. Impacts of earthworm casts on atrazine catabolism and bacterial community structure in laterite soil. J. Hazard. Mater. 2022, 425, 127778. [Google Scholar] [CrossRef]
- Xue, G.; Zhang, L.L.; Fan, X.Y.; Luo, K.J.; Guo, S.P.; Chen, H.; Li, X.; Jian, Q.W. Responses of soil fertility and microbiomes of atrazine contaminated soil to remediation by hydrochar and persulfate. J. Hazard. Mater. 2022, 435, 128944. [Google Scholar] [CrossRef]
- Cao, D.T.; He, S.H.; Li, X.; Shi, L.H.; Wang, F.Y.; Yu, S.M.; Xu, S.J.; Ju, C.; Fang, H.; Yu, Y.L. Characterization, genome functional analysis, and detoxification of atrazine by Arthrobacter sp. C2. Chemosphere 2021, 264, 128514. [Google Scholar] [CrossRef]
- Wang, J.H.; Zhu, L.S.; Wang, Q.; Wang, J.; Xie, H. Isolation and Characterization of Atrazine Mineralizing Bacillus subtilis Strain HB-6. PLoS ONE 2014, 9, e107270. [Google Scholar] [CrossRef]
- Zhu, X.M.; Chen, B.L.; Zhu, L.Z.; Xing, B.S. Effects and mechanisms of biochar-microbe interactions in soil improvement and pollution remediation: A review. Environ. Pollut. 2017, 227, 98–115. [Google Scholar] [CrossRef] [PubMed]
- Ren, X.Y.; Zeng, G.M.; Tang, L.; Wang, J.J.; Wan, J.; Wang, J.J.; Deng, Y.C.; Liu, Y.N.; Peng, B. The potential impact on the biodegradation of organic pollutants from composting technology for soil remediation. Waste Manag. 2018, 72, 138–149. [Google Scholar] [CrossRef] [PubMed]
- Lin, Z.; Zhen, Z.; Luo, S.W.; Ren, L.; Chen, Y.J.; Wu, W.J.; Zhang, W.J.; Liang, Y.Q.; Song, Z.G.; Li, Y.T.; et al. Effects of two ecological earthworm species on tetracycline degradation performance, pathway and bacterial community structure in laterite soil. J. Hazard. Mater. 2021, 412, 125212. [Google Scholar] [CrossRef] [PubMed]
- Sharma, K.; Garg, V.K. Vermicomposting: A green technology for organic waste management. In Waste to Wealth; Springer: Berlin/Heidelberg, Germany, 2018; pp. 199–235. [Google Scholar]
- Koolivand, A.; Saeedi, R.; Coulon, F.; Kumar, V.; Villaseñor, J.; Asghari, F.; Hesampoor, F. Bioremediation of petroleum hydrocarbons by vermicomposting process bioaugmentated with indigenous bacterial consortium isolated from petroleum oily sludge. Ecotoxicol. Environ. Saf. 2020, 198, 110645. [Google Scholar] [CrossRef]
- Lin, Z.; Chen, Y.J.; Li, G.Y.; Wei, T.; Li, H.J.; Huang, F.C.; Wu, W.J.; Zhang, W.J.; Ren, L.; Liang, Y.Q.; et al. Change of tetracycline speciation and its impacts on tetracycline removal efficiency in vermicomposting with epigeic and endogeic earthworms. Sci. Total Environ. 2023, 881, 163410. [Google Scholar] [CrossRef]
- Lin, Z.; Bai, J.; Zhen, Z.; Lao, S.Q.; Li, W.Y.; Wu, Z.H.; Li, Y.T.; Spiro, B.; Zhang, D.Y. Enhancing pentachlorophenol degradation by vermicomposting associated bioremediation. Ecol. Eng. 2016, 87, 288–294. [Google Scholar] [CrossRef]
- Zhang, L.W.; Xu, L.X.; Zhang, L.; Zhang, Y.; Chen, Y.X. Adsorption–desorption characteristics of atrazine on soil and vermicompost prepared with different ratios of raw materials. J. Environ. Sci. Health Part B 2023, 58, 583–593. [Google Scholar] [CrossRef]
- Lin, Z.; Zhen, Z.; Ren, L.; Yang, J.W.; Luo, C.L.; Zhong, L.Y.; Hu, H.Q.; Liang, Y.Q.; Li, Y.T.; Zhang, D.Y. Effects of two ecological earthworm species on atrazine degradation performance and bacterial community structure in red soil. Chemosphere 2018, 196, 467–475. [Google Scholar] [CrossRef]
- Singh, A.; Karmegam, N.; Singh, G.S.; Bhadauria, T.; Chang, S.W.; Awasthi, M.K.; Sudhakar, S.; Arunachalam, K.D.; Biruntha, M.; Ravindran, B. Earthworms and vermicompost: An eco-friendly approach for repaying nature’s debt. Environ. Geochem. Health 2020, 42, 1617–1642. [Google Scholar] [CrossRef]
- Gou, M.; Hu, H.W.; Zhang, Y.J.; Wang, J.T.; Hayden, H.; Tang, Y.Q.; He, J.Z. Aerobic composting reduces antibiotic resistance genes in cattle manure and the resistome dissemination in agricultural soils. Sci. Total Environ. 2018, 612, 1300–1310. [Google Scholar] [CrossRef]
- Nelson, D.W.; Sommers, L.E. Total carbon and organic carbon and organic matter. In Method of Soil Analysis; Page, A.L., Miller, R.H., Keeney, D.R., Eds.; ASA SSSA: Madison, WI, USA, 1996; pp. 539–579. [Google Scholar]
- Jackson, M.L. Soil Chemical Analysis; Prentice Hall of India: New Delhi, India, 1973; pp. 7–33. [Google Scholar]
- Kulikova, N.A.; Perminova, I.V. Binding of atrazine to humic substances from soil, peat, and coal related to their structure. Environ. Sci. Technol. 2002, 36, 3720–3724. [Google Scholar] [CrossRef] [PubMed]
- Nieman, J.K.C.; Sims, R.C.; Sorensen, D.L.; McLean, J.E. Humic Acid Toxicity in Biologically Treated Soil Contaminated with Polycyclic Aromatic Hydrocarbons and Pentachlorophenol. Arch. Environ. Contam. Toxicol. 2005, 49, 283–289. [Google Scholar] [CrossRef] [PubMed]
- Kanehisa, M.; Goto, S. KEGG: Kyoto Encyclopedia of Genes and Genomes. Nucleic Acids Res. 2000, 28, 27–30. [Google Scholar] [CrossRef] [PubMed]
- Liu, Z.Y.; Han, L.X.; Zhang, X.; Chen, S.Y.; Wang, X.G.; Fang, H. Core bacteria carrying the genes associated with the degradation of atrazine in different soils. Environ. Int. 2023, 181, 108303. [Google Scholar] [CrossRef]
- Yale, R.L.; Sapp, M.; Sinclair, C.J.; Moir, J.W.B. Microbial changes linked to the accelerated degradation of the herbicide atrazine in a range of temperate soils. Environ. Sci. Pollut. Res. 2017, 24, 7359–7374. [Google Scholar] [CrossRef]
- Fan, X.X.; Chang, W.; Sui, X.; Liu, Y.F.; Song, G.; Song, F.Q.; Feng, F.J. Changes in rhizobacterial community mediating atrazine dissipation by arbuscular mycorrhiza. Chemosphere 2020, 256, 127046. [Google Scholar] [CrossRef]
- Luo, S.W.; Zhen, Z.; Zhu, X.P.; Ren, L.; Wu, W.J.; Zhang, W.J.; Chen, Y.J.; Zhang, D.Y.; Song, Z.G.; Lin, Z.; et al. Accelerated atrazine degradation and altered metabolic pathways in goat manure assisted soil bioremediation. Ecotoxicol. Environ. Saf. 2021, 221, 112432. [Google Scholar] [CrossRef]
- Kumar, A.; Singh, N. Atrazine and its metabolites degradation in mineral salts medium and soil using an enrichment culture. Environ. Monit. Assess. 2016, 188, 142. [Google Scholar] [CrossRef]
- Lin, Z.; Zhen, Z.; Liang, Y.Q.; Li, J.; Yang, J.W.; Zhong, L.; Zhao, L.Y.; Li, Y.T.; Luo, C.L.; Ren, L.; et al. Changes in atrazine speciation and the degradation pathway in red soil during the vermiremediation process. J. Hazard. Mater. 2019, 364, 710–719. [Google Scholar] [CrossRef]
- Yadav, S.; Singh, N. Increased Sorption of Atrazine and Fipronil in the Sugarcane Trash Ash–Mixed Soils of Northern India. J. Soil Sci. Plant Nutr. 2021, 21, 1263–1276. [Google Scholar] [CrossRef]
- Takeshita, V.; Mendes, K.F.; Alonso, F.G.; Tornisielo, V.L. Effect of Organic Matter on the Behavior and Control Effectiveness of Herbicides in Soil. Planta Daninha 2019, 37, e019214401. [Google Scholar] [CrossRef]
- Tejada, M.; Benítez, C. Flazasulfuron behavior in a soil amended with different organic wastes. Appl. Soil. Ecol. 2017, 117–118, 81–87. [Google Scholar] [CrossRef]
- Khan, S.U. Kinetics of hydrolysis of atrazine in aqueous fulvic acid solution. Pestic. Sci. 2006, 9, 39–43. [Google Scholar] [CrossRef]
- Monteiro, R.T.R.; Queiroz, B.P.V.; Cella, A.C. Distribution of 14C-atrazine residues in humus fractions of a Brazilian soil. Chemosphere 1999, 39, 293–301. [Google Scholar] [CrossRef]
- Dube, J.P.; Valverde, A.; Steyn, J.M.; Cowan, D.A.; van der Waals, J.E. Differences in Bacterial Diversity, Composition and Function due to Long-Term Agriculture in Soils in the Eastern Free State of South Africa. Diversity 2019, 11, 61. [Google Scholar] [CrossRef]
- de Souza, A.J.; de Araújo Pereira, A.P.; Pedrinho, A.; Andreote, F.D.; Tornisielo, V.L.; Tizioto, P.C.; Coutinho, L.L.; Regitano, J.B. Land use and roles of soil bacterial community in the dissipation of atrazine. Sci. Total Environ. 2022, 827, 154239. [Google Scholar] [CrossRef]
- Satjarak, A.; Piapukiew, J.; Chanthapatchot, W.; Ruen-Pham, K.; Vangnai, A.S. Hercide Atrazine Alters the Microbiota of the Filametous Green Alga Cladophora sp. Cultured from Thailand. Sains Malays. 2021, 50, 1255–1265. [Google Scholar] [CrossRef]
- Li, D.B.; Li, X.J.; Tao, Y.; Yan, Z.N.; Ao, Y.S. Deciphering the bacterial microbiome in response to long-term mercury contaminated soil. Ecotoxicol. Environ. Saf. 2022, 229, 113062. [Google Scholar] [CrossRef]
- Zhu, J.W.; Zhao, Y.; Li, X.L.; Fu, L. Characteristics of two terbutylazine-degrading bacteria and the construction of a live bacterial agent for effective degradation of terbutylazine in soil. An. Acad. Bras. Cienc. 2022, 94, e20200658. [Google Scholar] [CrossRef]
- Chen, J.F.; Jiang, X.S.; Tong, T.L.; Miao, S.; Huang, J.; Xie, S.G. Sulfadiazine degradation in soils: Dynamics, functional gene, antibiotic resistance genes and microbial community. Sci. Total Environ. 2019, 691, 1072–1081. [Google Scholar] [CrossRef]
- Cao, B.; Zhang, Y.; Wang, Z.Y.; Li, M.Y.; Yang, F.; Jiang, D.; Jiang, Z. Insight Into the Variation of Bacterial Structure in Atrazine-Contaminated Soil Regulating by Potential Phytoremediator: Pennisetum americanum (L.) K. Schum. Front. Microbiol. 2018, 9, 864. [Google Scholar] [CrossRef] [PubMed]
- Mondragón-Parada, M.E.; Ruiz-Ordaz, N.; Tafoya-Garnica, A.; Juárez-Ramírez, C.; Curiel-Quesada, E.; Galíndez-Mayer, J. Chemostat selection of a bacterial community able to degrade s-triazinic compounds: Continuous simazine biodegradation in a multi-stage packed bed biofilm reactor. J. Ind. Microbiol. Biotechnol. 2008, 35, 767–776. [Google Scholar] [CrossRef] [PubMed]
- He, L.Z.; Wang, Y.; Xi, B.D.; Zhao, X.Y.; Cai, D.M.; Sun, Y.W.; Du, Y.W.; Zhang, C.Y. Synergistic removal of total petroleum hydrocarbons and antibiotic resistance genes in Yellow River Delta wetlands contaminated soil composting regulated by biogas slurry addition. Environ. Res. 2024, 252, 118724. [Google Scholar] [CrossRef] [PubMed]
- Erguven, G.O.; Tatar, Ş.; Serdar, O.; Yildirim, N.C. Evaluation of the efficiency of chlorpyrifos-ethyl remediation by Methylobacterium radiotolerans and Microbacterium arthrosphaerae using response of some biochemical biomarkers. Environ. Sci. Pollut. Res. 2020, 28, 2871–2879. [Google Scholar] [CrossRef]
- Liu, J.W.; Zhang, X.; Xu, J.Y.; Qiu, J.G.; Zhu, J.C.; Cao, H.; He, J. Anaerobic biodegradation of acetochlor by acclimated sludge and its anaerobic catabolic pathway. Sci. Total Environ. 2020, 748, 141122. [Google Scholar] [CrossRef]
- Li, R.L.; Ding, H.; Guo, M.X.; Shen, X.X.; Zan, Q.J. Do pyrene and Kandelia obovata improve removal of BDE-209 in mangrove soils? Chemosphere 2020, 240, 124873. [Google Scholar] [CrossRef]
- Li, Y.L.; Zhou, X.W.; Guo, W.; Fu, Y.Y.; Ruan, G.L.; Fang, L.; Wang, Q. Effects of lead contamination on histology, antioxidant and intestinal microbiota responses in freshwater crayfish, Procambarus clarkii. Aquat. Toxicol. 2023, 265, 106768. [Google Scholar] [CrossRef]
- Pham, V.H.T.; Jeong, S.-W.; Kim, J. Psychrobacillus soli sp. nov., capable of degrading oil, isolated from oil-contaminated soil. Int. J. Syst. Evol. Microbiol. 2015, 65, 3046–3052. [Google Scholar] [CrossRef]
- Liu, H.; Li, C.; Lin, Y.; Chen, Y.J.; Zhang, Z.J.; Wei, K.H.; Lei, M. Biochar and organic fertilizer drive the bacterial community to improve the productivity and quality of Sophora tonkinensis in cadmium-contaminated soil. Front. Microbiol. 2024, 14, 1334338. [Google Scholar] [CrossRef]
- Tian, Z.J.; Li, G.W.; Tang, W.Z.; Zhu, Q.H.; Li, X.G.; Du, C.L.; Li, C.L.; Li, J.X.; Zhao, C.; Zhang, L.Y. Role of Sedum alfredii and soil microbes in the remediation of ultra-high content heavy metals contaminated soil. Agric. Ecosyst. Environ. 2022, 339, 108090. [Google Scholar] [CrossRef]
- Xu, H.; Chen, Z.Y.; Wu, X.Y.; Zhao, L.; Wang, N.; Mao, D.Q.; Ren, H.Q.; Luo, Y. Antibiotic contamination amplifies the impact of foreign antibiotic-resistant bacteria on soil bacterial community. Sci. Total Environ. 2021, 758, 143693. [Google Scholar] [CrossRef] [PubMed]
- Huang, H.; Zhang, C.L.; Rong, Q.; Li, C.Z.; Mao, J.; Liu, Y.; Chen, J.X.; Liu, X.T. Effect of two organic amendments on atrazine degradation and microorganisms in soil. Appl. Soil. Ecol. 2020, 152, 103564. [Google Scholar] [CrossRef]
- Singh, S.; Kumar, V.; Upadhyay, N.; Singh, J. The effects of Fe(II), Cu(II) and humic acid on biodegradation of atrazine. J. Environ. Chem. Eng. 2020, 8, 103539. [Google Scholar] [CrossRef]
- Qiao, X.W.; Ma, L.P.; Hummel, H.E. Persistence of Atrazine and Occurrence of Its Primary Metabolites in Three Soils. J. Agric. Food Chem. 1996, 44, 2846–2848. [Google Scholar] [CrossRef]
- Mandelbaum, R.T.; Wackett, L.P.; Allan, D.L. Rapid hydrolysis of atrazine to hydroxyatrazine by soil bacteria. Environ. Sci. Technol. 1993, 27, 1943–1946. [Google Scholar] [CrossRef]
- Houot, S.; Barriuso, E.; Bergheaud, V. Modifications to atrazine degradation pathways in a loamy soil after addition of organic amendments. Soil. Biol. Biochem. 1998, 30, 2147–2157. [Google Scholar] [CrossRef]








| Material | pH | TOC (g/kg) | TN (g/kg) | HA (g/kg) | FA (g/kg) |
|---|---|---|---|---|---|
| Soil | 5.92 ± 0.11 | 14.87 ± 1.86 | 1.73 ± 0.08 | 1.81 ± 0.09 | 2.79 ± 0.15 |
| 45 days of vermicompost | 7.61 ± 0.27 | 396.57 ± 14.84 | 15.85 ± 0.58 | 35.94 ± 1.04 | 33.24 ± 1.02 |
| 60 days of vermicompost | 7.78 ± 0.32 | 381.62 ± 12.73 | 18.23 ± 0.75 | 39.75 ± 1.13 | 31.55 ± 1.23 |
| 75 days of vermicompost | 7.56 ± 0.21 | 372.23 ± 10.14 | 19.24 ± 0.92 | 42.12 ± 0.97 | 29.86 ± 1.14 |
| Treatment | Design | Soil (kg) | Atrazine Mass Fraction (mg/kg) |
|---|---|---|---|
| CKs | Sterilized soil | 1.5 | 10 |
| CKn | Unsterilized soil | 1.5 | 10 |
| SsV1 | Sterilized soil + 45 days of vermicompost | 1.5 | 10 |
| SsV2 | Sterilized soil + 60 days of vermicompost | 1.5 | 10 |
| SsV3 | Sterilized soil + 75 days of vermicompost | 1.5 | 10 |
| SnV1 | Unsterilized soil + 45 days of vermicompost | 1.5 | 10 |
| SnV2 | Unsterilized soil + 60 days of vermicompost | 1.5 | 10 |
| SnV3 | Unsterilized soil + 75 days of vermicompost | 1.5 | 10 |
| Treatments | First-Order Kinetic Model | Half-Value Period | R2 |
|---|---|---|---|
| CKs | 97.06 ± 3.35 a | 0.992 | |
| CKn | 29.85 ± 4.67 b | 0.983 | |
| SsV1 | 24.24 ± 2.42 c | 0.958 | |
| SsV2 | 23.22 ± 3.75 c | 0.989 | |
| SsV3 | 24.00 ± 2.39 c | 0.989 | |
| SnV1 | 12.79 ± 1.08 d | 0.998 | |
| SnV2 | 11.00 ± 0.97 d | 0.999 | |
| SnV3 | 11.73 ± 0.38 d | 0.998 |
Disclaimer/Publisher’s Note: The statements, opinions and data contained in all publications are solely those of the individual author(s) and contributor(s) and not of MDPI and/or the editor(s). MDPI and/or the editor(s) disclaim responsibility for any injury to people or property resulting from any ideas, methods, instructions or products referred to in the content. |
© 2025 by the authors. Licensee MDPI, Basel, Switzerland. This article is an open access article distributed under the terms and conditions of the Creative Commons Attribution (CC BY) license (https://creativecommons.org/licenses/by/4.0/).
Share and Cite
Zhang, L.; Xu, L.; Zhang, Z.; Li, J.; Ren, L.; Liu, Z.; Zhang, Y.; Chen, Y. Influence Mechanism of Vermicompost with Different Maturity on Atrazine Catabolism and Bacterial Community. Toxics 2025, 13, 30. https://doi.org/10.3390/toxics13010030
Zhang L, Xu L, Zhang Z, Li J, Ren L, Liu Z, Zhang Y, Chen Y. Influence Mechanism of Vermicompost with Different Maturity on Atrazine Catabolism and Bacterial Community. Toxics. 2025; 13(1):30. https://doi.org/10.3390/toxics13010030
Chicago/Turabian StyleZhang, Luwen, Lixin Xu, Zunhao Zhang, Jiaolin Li, Limeng Ren, Zhichen Liu, Yan Zhang, and Yuxiang Chen. 2025. "Influence Mechanism of Vermicompost with Different Maturity on Atrazine Catabolism and Bacterial Community" Toxics 13, no. 1: 30. https://doi.org/10.3390/toxics13010030
APA StyleZhang, L., Xu, L., Zhang, Z., Li, J., Ren, L., Liu, Z., Zhang, Y., & Chen, Y. (2025). Influence Mechanism of Vermicompost with Different Maturity on Atrazine Catabolism and Bacterial Community. Toxics, 13(1), 30. https://doi.org/10.3390/toxics13010030

