Next Article in Journal
Molecular Mechanisms of Phthalate-Induced Hepatic Injury and Amelioration by Plant-Based Principles
Next Article in Special Issue
Prediction of the Non-Reducing Biomineralization of Nuclide–Microbial Interactions by Machine Learning: The Case of Uranium and Bacillus subtilis
Previous Article in Journal
Influence Mechanism of Vermicompost with Different Maturity on Atrazine Catabolism and Bacterial Community
Previous Article in Special Issue
Enhancing Europium Adsorption Effect of Fe on Several Geological Materials by Applying XANES, EXAFS, and Wavelet Transform Techniques
 
 
Due to scheduled maintenance work on our servers, there may be short service disruptions on this website between 11:00 and 12:00 CEST on March 28th.
Font Type:
Arial Georgia Verdana
Font Size:
Aa Aa Aa
Line Spacing:
Column Width:
Background:
Article

Optimization Methods for Radon Progeny Measurement Based on the Three-Stage Method

1
School of Nuclear Science and Technology, University of South China, Hengyang 421001, China
2
Radon Key Laboratory of Hunan Province, Hengyang 421001, China
3
China Atomic Energy Science Research Institute, National Atomic Energy Anti-Radiation Center, Beijing 102413, China
*
Author to whom correspondence should be addressed.
Toxics 2025, 13(1), 31; https://doi.org/10.3390/toxics13010031
Submission received: 18 November 2024 / Revised: 16 December 2024 / Accepted: 23 December 2024 / Published: 2 January 2025
(This article belongs to the Special Issue Radioactive Contamination and Radionuclide Removal)

Abstract

In different measurement tasks, the duration allocated for radon progeny concentration measurement varies, and the requirements for measurement precision also differ. To accommodate the needs of various radon progeny concentration measurement tasks, this study takes the error in radon progeny concentration measurement as the optimization goal and the time points of the three-stage method as the optimization target, establishing an optimized three-stage method for radon progeny concentration measurement. The optimization algorithm allocates the three time periods under any total measurement time requirement, ensuring the highest measurement precision. The optimization algorithm can also optimize the measurement errors for 218Po, 214Pb, and 214Bi according to task requirements. By comparing with existing three-stage methods, when the total measurement time is 30 min, the optimization results are similar to Thomas’s three-stage method; when the total measurement time is 15 min, the measurement results are consistent with the rapid three-stage method. Therefore, the optimized results of the three-stage method are reasonable and reliable, providing technical support for different radon progeny measurement tasks.

1. Introduction

Radon is widely found in soil, building materials, natural gas, and other substances. The radiation dose contributed by radon and its progeny accounts for more than 52% of the natural radiation dose, making it a significant source of natural radiation [1]. High radon environments are particularly common in settings such as mines, kilns, and basements [2]. When inhaled by humans, radon decays to produce progeny that can cause internal exposure, posing a threat to human health [3]. The dose contributed by the inhalation of radon and its progeny mainly comes from short-lived radon progeny [4]. Therefore, to limit the personal dose of workers, it is necessary to accurately measure the concentration of radon progeny in the environment.
The earliest process for measuring radon progeny concentration involved sampling for 5 min and then recording the alpha total counts at 5, 15, and 30 min, respectively, followed by analytical calculations to determine the concentration of radon progeny (i.e., the three-point method) [5]. Due to its simplicity, this method was widely applied after being proposed by Tsivoglou in 1953 [6], but it was not highly accurate. In 1972, Thomas replaced the count rate at specific times with the total counts over different time periods, establishing the famous Thomas three-stage method [7]. Theoretically, the time selection for the three-stage method is arbitrary, but different choices result in different measurement errors. Thomas calculated and compared errors from 324 sets of data to determine the measurement time periods for the three-stage method (2 to 5 min, 6 to 20 min, and 21 to 30 min) to calculate the concentrations of three radon progeny [7]. Additionally, the Lavender three-stage method is more suitable for the measurement of unattached radon progeny [8]. The Lavender three-stage method can measure two samples simultaneously, with higher sensitivity for 218Po, 214Pb, and 214Bi measurements [8]. However, the Lavender three-stage method requires a 15-min sampling period, which is time-consuming and cumbersome. The Scott three-stage method has a measurement time of up to 90 min, and by reducing the contribution of 218Po during the measurement process, it has a smaller error compared to others [9].
The alpha spectrometry method involves an alpha spectrometer to measure the count rates of 218Po and 214Bi to calculate the concentration of radon progeny [5] (In alpha spectrometry, the primary measurement is the count of alpha particles, specifically RaA (218Po) and RaC (214Bi). However, due to the rapid decay of RaC, the counts for RaC’ (214Po) are typically included in the count for RaC). The alpha spectrometry method has lower measurement errors than the three-point method, but the process requires the involvement of an alpha spectrometer, which is highly inconvenient [10]. Therefore, the alpha spectrometry method is not often considered for measuring radon progeny concentrations in environments such as the wild, underground tunnels, etc. During measurement, image information from the IP imaging plate is obtained using the Typhoon 7000 device, requiring researchers to identify and count the alpha tracks in the images themselves, and then retro-calculate the concentration of radon progeny using methods such as the Thomas three-stage method [11,12,13]. Chen Bo and others analyzed the track decay effect of the IP imaging plate [14], Qin Fengdi and others corrected the overlap of alpha tracks in the IP [15], and proposed a method using convolutional neural networks to read the number of alpha particles [16]. Therefore, portable measurement methods represented by IP have become a popular means of radon progeny measurement [17].
Measurement methods represented by IP mainly use the three-stage method [17,18]. However, the requirements for measurement sensitivity vary depending on the task. For example, scientific research requires high measurement accuracy, while field environmental measurements require relatively lower accuracy. In addition, different tasks allow for different measurement times. Longer measurement times can greatly improve measurement accuracy. Optimizing the three measurement time periods within a short measurement time can also greatly improve measurement accuracy (such as the choice of time for the Thomas three-stage method). Therefore, it is very necessary to establish a method that optimizes different time periods in the three-stage method under the condition of a determined total measurement time, ensuring that the measurement accuracy is minimized under that condition.
This paper, based on the decay process of radon progeny on the filter membrane before and after sampling, conducts a study on the relationship between error and measurement time. With error as the optimization goal and measurement time periods as the optimization object, it fully considers actual measurement requirements and proposes an optimized three-stage method for measuring radon progeny concentrations, ensuring that the measurement error can be minimized when the total measurement time is determined.

2. Method

2.1. Sampling of Radon Progeny

When a mixture of radon and its progeny passes through a filter membrane, the progeny are collected by the filter. The number of radon progeny on the membrane increases due to collection but simultaneously decreases due to decay (Figure 1). Therefore, during the radon progeny sampling process, the change in their numbers is as follows:
d N 2 t d t = η θ 2 v λ 2 N 2 t                                         d N 3 t d t = η θ 3 v + λ 2 N 2 t λ 3 N 3 t d N 4 t d t = η θ 4 v + λ 3 N 3 t λ 4 N 4 t
where N i t is the number of atoms of the i-th progeny on the filter membrane at the sampling time t; η is the filtration efficiency of the filter membrane; v is the sampling flow rate; λ i is the decay constant of the i-th progeny; and θ i is the atomic concentration of the i-th progeny.
Typically, in experimental or field testing procedures, a duration of 5 min is selected for sampling. Consequently, considering the solution to the kinetic equations (Equation (1)), The process of variation in the number of radon progeny atoms during sampling can be described as follows (Appendix A):
N 2 t = 2.988 θ 2 N 3 t = 1.921 θ 2 + 4.69 θ 3 N 4 t = 0.08707 θ 2 + 0.2922 θ 3 + 4.585 θ 4
To convert the atomic concentration of radon progeny ( θ ) into radioactive activity concentration ( C = λ θ )), the calculation method for the concentration of radon progeny is as follows:
C 2 = 0.07606 N 2 t C 3 = 0.005515 N 3 t 0.003545 N 2 t C 4 = 8.376 × 10 5 N 2 t 0.0004781 N 3 t + 0.007674
where C i is the radioactive concentration of the i-th progeny.

2.2. Changes in Radon Progeny on the Filter Membrane

After sampling is completed, the radon progeny collected on the membrane (218Po, 214Bi, 210Pb) will undergo a series of changes through cascade decay. Each step in the cascade decay generates radiation particles, but only the decay of 218Po and 218Bi is accompanied by the emission of alpha particles. The three-step method uses these changes in the number of alpha particles to establish a system of equations for analyzing the concentrations of different radon progeny.
After the sampling is completed, the number of different radon progeny on the filter membrane can be described as a function of time T using the kinetic equation (Equation (4)):
  d N 2 T d T = λ 2 N 2 T                                       d N 3 T d T = λ 2 N 2 T λ 3 N 3 T   d N 4 T d T = λ 3 N 3 T λ 4 N 4 T
where N i T is the number of atoms of the i-th species that have decayed to time T. “t” stands for the sampling time, while “T” indicates the time starting from the end of the sampling period until the measurement period concludes.
N 2 T = exp 0.2273 T N 2 t                                                                                                                                                           N 3 T = exp 0.02586 T N 3 t + N 2 t 1.128 exp 0.02586 T 1.128 exp 0.2273 T N 4 T = N 2 t 3.131 exp 0.02586 T 3.283 exp 0.03518 T + 0.1519 exp 0.2273 T + exp 0.03518 T N 4 t N 3 t 2.775 exp 0.03518 T 2.775 exp 0.02586 T
After the sampling is completed, the initial value for the cascade decay of radon progeny is the amount deposited at the last moment of sampling. Therefore, the total alpha activity ( I α ) of 218Po and 214Bi on the filter membrane at time T is:
I α = λ 2 N 2 T + λ 4 N 4 T
Following the completion of sampling, within the time intervals T1 to T2, T3 to T4, and T5 to T6, the number of alpha particles produced by the decay of radon progeny is as follows:
I T 1 , T 2 = N 4 t 1.0 exp 0.03518 T 1 1.0 exp 0.03518 T 2 N 2 ( t ) ( 3.283 exp 0.03518 T 1 3.283 exp 0.03518 T 2 4.26 exp 0.02586 T 1 + 4.26 exp 0.02586 T 2 1.024 exp 0.2273 T 1 + 1.024 exp 0.2273 T 2 ) N 3 ( t ) ( 2.775 exp 0.03518 T 1 2.775 exp 0.03518 T 2 3.775 exp 0.02586 T 1 + 3.775 exp 0.02586 T 2 )
I T 3 , T 4 = N 4 t 1.0 exp 0.03518 T 3 1.0 exp 0.03518 T 4 N 2 ( t ) ( 3.283 exp 0.03518 T 3 3.283 exp 0.03518 T 4 4.26 exp 0.02586 T 3 + 4.26 exp 0.02586 T 4 1.024 exp 0.2273 T 3 + 1.024 exp 0.2273 T 4 ) N 3 ( t ) ( 2.775 exp 0.03518 T 3 2.775 exp 0.03518 T 4 3.775 exp 0.02586 T 3 + 3.775 exp 0.02586 T 4 )
I T 5 , T 6 = N 4 t 1.0 exp 0.03518 T 5 1.0 exp 0.03518 T 6 N 2 ( t ) ( 3.283 exp 0.03518 T 5 3.283 exp 0.03518 T 6 4.26 exp 0.02586 T 5 + 4.26 exp 0.02586 T 6 1.024 exp 0.2273 T 5 + 1.024 exp 0.2273 T 6 ) N 3 ( t ) ( 2.775 exp 0.03518 T 5 2.775 exp 0.03518 T 6 3.775 exp 0.02586 T 5 + 3.775 exp 0.02586 T 6 )
Based on the total number of alpha particles during the intervals T1-T2, T3-T4, and T5-T6, it is possible to determine the initial atomic counts of the three types of radon progeny and substitute them into Equation (2) to obtain the calculation method for the concentration of radon progeny. Since the formula contains unknown time variables and is excessively lengthy, only the mapping relationships are presented here. The mapping relationship formula for calculating the concentration of radon progeny is as follows:
C 2 = f C 2 ( I T 1 , T 2 , I T 3 , T 4 , I T 5 5 , T 6 , T 1 , T 2 , T 3 , T 4 , T 5 , T 6 , R ) C 3 = f C 3 ( I T 1 , T 2 , I T 3 , T 4 , I T 5 5 , T 6 , T 1 , T 2 , T 3 , T 4 , T 5 , T 6 , R ) C 4 = f C 4 ( I T 1 , T 2 , I T 3 , T 4 , I T 5 5 , T 6 , T 1 , T 2 , T 3 , T 4 , T 5 , T 6 , R )
However, in the actual testing process, the relationship between the decay count of radon progeny and the instrument’s count is as follows (E represents the detection efficiency of the instrument, while K a absorption factor of the filter):
I T 1 , T 2 = 1 E K a G T 1 , T 2 T 2 T 1 R ; I T 3 , T 4 = 1 E K a G T 3 , T 4 T 4 T 3 R ; I T 5 , T 6 = 1 E K a G T 5 , T 6 T 6 T 5 R ;
where G T 1 , T 2 , G T 3 , T 4 , and G T 5 , T 6 represent the instrument counts during the time intervals T1 − T2, T3 − T4, and T5 − T6, respectively.
Therefore, by substituting Equation (12) into Equation (11), the method for calculating the concentration of radon progeny that takes into account the background count can be obtained.
C 2 = f C 2 ( G T 1 , T 2 , G T 3 , T 4 , G T 5 , T 6 , T 1 , T 2 , T 3 , T 4 , T 5 , T 6 , R ) C 3 = f C 3 ( G T 1 , T 2 , G T 3 , T 4 , G T 5 , T 6 , T 1 , T 2 , T 3 , T 4 , T 5 , T 6 , R ) C 4 = f C 4 ( G T 1 , T 2 , G T 3 , T 4 , G T 5 , T 6 , T 1 , T 2 , T 3 , T 4 , T 5 , T 6 , R )

2.3. Error Analysis

Uncertainty arises from both objective and subjective measurement errors, representing the difference between the measured result of an object and its true value. Therefore, during the testing process, errors will occur due to uncertainty. Minimizing these errors is crucial for accurate radon progeny concentration measurements. In Equation (10), the variables v, E, η (eta), and Kα all have associated uncertainties. However, these errors are determined during the sampling phase and are thus established when allocating the optimized time segments. Consequently, the parameters v, E, η (eta), and Kα and their errors do not affect the allocation of the three time segments in the optimization process. Therefore, these parameters are set to 1 in the study. Additionally, the counting of alpha particles during different time periods G(T1, T2), G(T3, T4), and G(T5, T6) will also have errors, as will the background measurements. According to the principles of error propagation, the relationship between the concentrations of the three radon progeny and the measurement errors is as follows:
σ 2 = ( ( C 2 G ( T 1 , T 2 ) G ( T 1 , T 2 ) ) 2 + C 2 G ( T 3 , T 4 ) G ( T 3 , T 4 ) 2 + C 2 G ( T 5 , T 6 ) G ( T 5 , T 6 ) 2 + C 2 R R 2 ) 1 2
σ 3 = ( ( C 3 G ( T 1 , T 2 ) G ( T 1 , T 2 ) ) 2 + C 3 G ( T 3 , T 4 ) G ( T 3 , T 4 ) 2 + C 3 G ( T 5 , T 6 ) G ( T 5 , T 6 ) 2 + C 3 R R 2 ) 1 2
σ 4 = ( ( C 4 G ( T 1 , T 2 ) G ( T 1 , T 2 ) ) 2 + C 4 G ( T 3 , T 4 ) G ( T 3 , T 4 ) 2 + C 4 G ( T 5 , T 6 ) G ( T 5 , T 6 ) 2 + C 4 R R 2 ) 1 2
where σ i represents the measurement error for the i-th progeny.
Background measurements are typically conducted before sampling the specimens. During the sample measurement, both the background count and the errors introduced by the local measurement do not affect the allocation of time in the three-step method. In this study’s optimization process, the background is set to zero.
However, in the optimization, one can choose to target the deviation of a specific radon progeny or aim to minimize the sum of all errors ( σ T ) as the optimization goal.
σ T = σ 2 + σ 3 + σ 4

2.4. Optimization Method for Radon Progeny Measurement Using the Three-Step Approach

According to Equations (14)–(16), the error in measuring radon progeny concentrations using the three-step method is related to the distribution of measurement time. Consequently, this paper develops an optimization algorithm to optimize the measurement times of the three-step method to ensure minimal error.
The study targets the radon progeny error as the optimization goal, with the six measurement time points in the three-step method as the subjects of optimization, utilizing the fmincon function for this optimization. Typically, a gap of more than 2 min is required from the completion of sampling to the commencement of measurement, thus setting the lower limit of measurement time to 2 min. Depending on different measurement task requirements, the total measurement time varies. Therefore, the upper limit for the optimization of all time points is set to the total measurement time. Since the algorithm requires initial values to proceed with optimization, the study equally divides the time from 2 min to the total measurement time into six time points as the initial values for these six time points for optimization. To allow sufficient time for operations, the interval between two measurement periods should be more than 1 min, and T6 should be the total measurement time. Therefore, during the optimization process, the constraints can be set as follows:

2.5. Radon Progeny Measurement Procedure

This study proposes a method for measuring radon progeny concentrations that ensures the measurement errors are minimized. To ensure the reliability of the measurement process, the following steps are required:
  • Before measuring radon progeny concentrations, the total measurement time must first be determined;
  • The measurement time segments are then established through an optimization algorithm;
  • Sampling is conducted at a flow rate of v (L/min) for 5 min;
  • After sampling is completed, the alpha counts of the samples during the three time segments are measured, respectively denoted as G(T1,T2), G(T3,T4), G(T5,T6);
  • The radon progeny concentrations are calculated using Equation (11);
  • The standard deviation is computed using Equation (12).

3. Results

3.1. Optimization Algorithm Performance

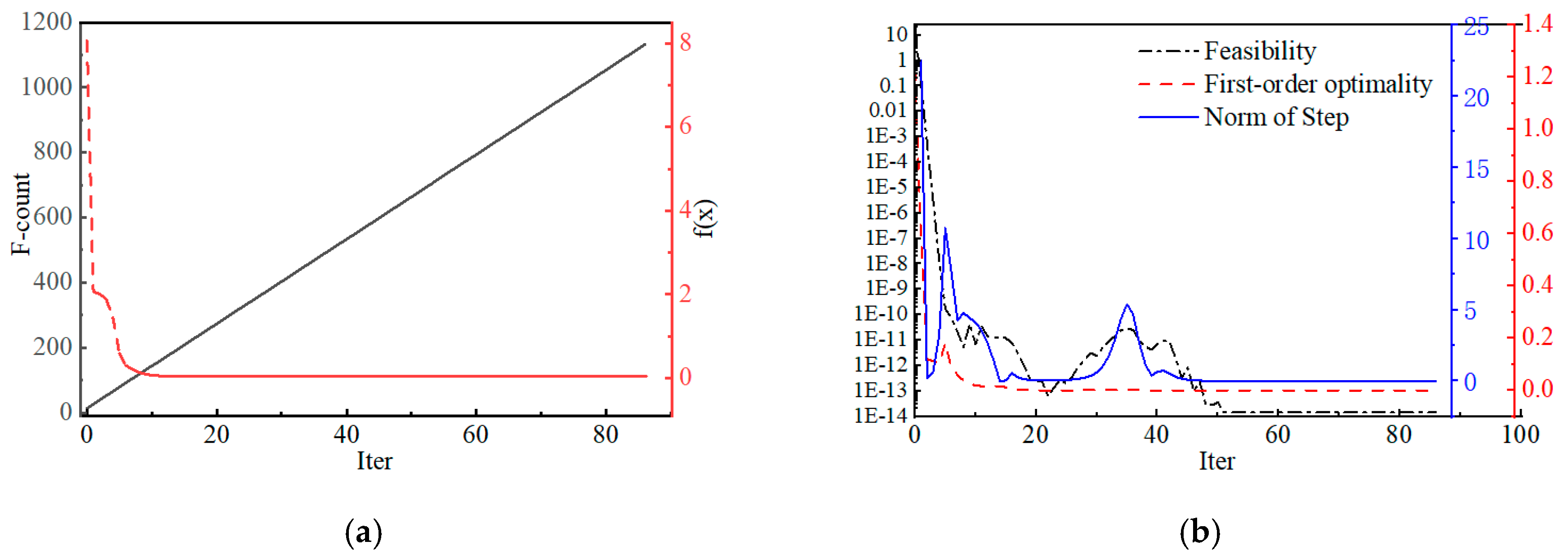
In the optimization process described above, the performance of the “fmincon” [19] function can be assessed by several key metrics. Figure 2a is F-count and f(x) in the optimization process; Figure 2b is the Feasibility, First-order optimality, and Norm of step.
  • F-count: This is the number of function evaluations, that is, the number of times the objective function is computed. As iterations proceed, the F-count gradually increases, indicating that the algorithm is exploring the solution space to find the optimal solution (Figure 2a).
  • f(x): This is the value of the objective function. From the output results, it can be seen that the objective function value rapidly decreases from the initial 8.06 × 100 and then stabilizes in subsequent iterations, ultimately reaching a very small value (such as 1.42 × 10−14). This indicates that the algorithm effectively reduces the objective function value, approaching the optimal solution (Figure 2a).
  • Feasibility: This metric measures the feasibility of the current solution, i.e., whether the solution meets all constraints. During the iteration process, the Feasibility value gradually decreases, indicating that the solution is increasingly close to satisfying all the constraint conditions (Figure 2b).
  • First-order optimality: This indicator measures the first-order optimality of the solution, that is, the norm of the gradient. A decrease in the first-order optimality metric suggests that the algorithm is approaching a point where the gradient is zero, which is a characteristic of a local optimal solution (Figure 2b).
  • Norm of step: This is the norm of the solution update step size in each iteration. The size of the step reflects the distance the algorithm moves in the solution space. As iterations proceed, the step size gradually decreases, indicating that the algorithm is refining its search to more precisely locate the optimal solution (Figure 2b).
From these metrics, it can be seen that the “fmincon” function exhibits good convergence during the optimization process. The significant decrease in the objective function value and the first-order optimality metric indicate that the algorithm effectively finds a solution close to optimal. The improvement in Feasibility indicates that the solution increasingly meets the constraint conditions. However, it should be noted that although these metrics suggest the algorithm is approaching an optimal solution, whether the final solution is globally optimal requires further verification. Additionally, minor fluctuations in the step size and first-order optimality metrics during the optimization process may be due to numerical stability issues when the algorithm handles nonlinear constraints. In practical applications, it may be necessary to adjust the algorithm parameters to improve the quality of the solution and the robustness of the algorithm.

3.2. The Three-Step Method with Different Total Measurement Times

Depending on the task at hand, the total time allowed for measuring radon progeny concentrations may not be the same. This study analyzed how the distribution of the three measurement time segments within the three-step method varies under different measurement durations, providing vital data support for experiments and environmental measurements. Among the three time segments, as time increases, the duration of each segment also increases, but the segment from T5 to T6 increases the fastest, while the segment from T1 to T2 increases the slowest. Under the set conditions, the time interval between two measurements must be more than 1 min (that is, T3 to T2 > 1 min, T5 to T4 > 1 min), and in the optimization results, the time intervals from T3 to T2 and from T5 to T4 are both 1 min. Thus, the optimization results meet the experimental operational requirements and also indicate that during the optimization process, as much time as possible was allocated to the measurement segments.
Furthermore, the study found that as the measurement time increases, the sum of all radon progeny deviations and the measurement deviations of the three progeny decrease, and the sum of errors shows an inflection point around 30 min (that is, the error decline gradually slows down). Therefore, 30 min as the total measurement time can meet most measurement needs while reducing time waste. The optimization goal is to ensure the deviations of the three radon progeny reach a minimum, without considering the measurement deviation of a single progeny, thus further reducing the measurement deviation of different progeny is needed to meet various measurement tasks. As shown in Figure 3.

3.3. Optimizing with Different Radon Progeny Errors as Targets

During the radon progeny measurement process, it is necessary to ensure that deviations are minimized to achieve the highest possible testing accuracy. The three-step method proposed in this study can reduce measurement bias by reasonably allocating the three measurement time segments. However, in the aforementioned research, optimizing with the sum of progeny errors as the target does not meet the need to reduce the bias of different radon progeny. Therefore, it is possible to optimize the time segments by targeting different biases separately, ensuring the satisfaction of various measurement requirements.
This study uses 30 min as the total measurement time and conducts optimizations of the three-step method with different radon progeny biases as optimization targets, with the results shown in the table. The research findings indicate that when different radon progeny biases or combinations are used as optimization targets, there is a noticeable change in the measurement times of the three-step method (Table 1). Therefore, based on actual needs, during the measurement process, the appropriate duration of the three segments should be chosen according to requirements.
The research results with 218Po, 214Pb, and 214Bi measurement biases as optimization targets show that the measurement bias for 218Po is the highest. In Figure 4, σ2 represents 218Po, σ3 represents 214Pb, and σ4 represents 214Bi. Even with 218Po’s measurement bias as the optimization target, the level of measurement bias cannot be reduced lower than the measurement errors of 214Pb and 214Bi. Changing the optimization target does not significantly alter the measurement biases for 214Pb and 214Bi, but it greatly affects the sum of the measurement biases for 218Po and radon progeny (Table 2).

4. Discussion

4.1. The Optimization Outcomes Under Varying Radon Daughter Equilibrium Ratios

The radon daughter equilibrium ratio refers to the ratio of activities, or radioactive intensities, of radon’s daughter isotopes 218Po, 214Pb, and 214Bi during the process of radioactive decay. In a state of complete radioactive equilibrium, the activity ratio of these three isotopes is 1:1:1, indicating that their decay rates are the same and their quantities are equal. However, when only 218Po is present in the system without 214Pb and 214Bi, the equilibrium ratio shifts to 1:0:0, signifying the existence of only 218Po with its daughters is not yet formed. In practical applications, these two extreme scenarios are relatively rare, and the activity ratio of the daughters typically falls between these two extremes, reflecting varying degrees of radioactive disequilibrium. The distribution of this equilibrium ratio can be used to assess the decay history and environmental conditions of radioactive materials (Table 3).
This study analyzed the optimization outcomes of algorithms under different radon daughter equilibrium ratios. The results indicate that the optimization outcomes using the three-segment method remain consistent across different radon daughter equilibrium ratios, suggesting that the equilibrium ratio does not affect the optimization results of the three-segment method. However, the errors vary under different equilibrium ratios. As the radon daughter equilibrium ratio transitions from 1-1-1 to 1-0-0, the sum of the measurement biases, σT, for the three daughters, as well as the individual measurement biases for each radon daughter, decrease (Table 4).

4.2. Comparison with Traditional Three-Step Method

To ensure the accuracy of radon progeny measurements, Tomas and others proposed different three-step methods. These methods use experimental measurements as a means to find the optimal measurement time periods. For instance, Tomas selected various sampling and counting intervals, totaling 324 sets of data, compared the errors, and concluded that the best measurement periods were 2 to 5 min, 6 to 20 min, and 21 to 30 min. In contrast, this study uses 30 min as the total measurement time, and the optimized time periods differ from those of Tomas, but if rounded, the results are similar. Compared to Tomas’s three-step method, the optimization algorithm in this study has a lower sum of measurement biases for radon progeny and also a lower bias for 218Po. However, the measurement bias for 214Bi is 0.01 higher than Tomas’s three-step method (Table 5).
When using 15 min as the total measurement time, the rapid three-step method differs from the optimized three-step method proposed in this study, but if rounded to the nearest whole number, they remain consistent, and the measurement biases are also close (Figure 5).
This indicates that the optimization algorithm proposed in this study is close to the results obtained from previous work experience or experiments. However, the algorithm presented in this study can be adjusted for different measurement tasks to pursue a higher level of measurement accuracy.

5. Conclusions

This paper presents an optimized three-step method for measuring radon progeny concentrations, which minimizes measurement errors by establishing a set of kinetic equations and utilizing an optimization algorithm. The article first introduces the radon progeny sampling process, where progeny numbers on the filter membrane increase due to collection but decrease due to decay. It then details the kinetic equations describing the changes of radon progeny on the filter membrane by converting the atomic concentration of radon progeny into the radioactive activity concentration. The paper focuses on the establishment and application of the optimization algorithm, which targets minimizing radon progeny errors and optimizes the allocation of measurement time points in the three-step method to accommodate different total measurement time requirements while ensuring the measurement process meets experimental operational standards.
The research results indicate that as the measurement time increases, the sum of radon progeny deviations and the measurement errors of individual progeny decrease, with an inflection point occurring around 30 min, suggesting that this measurement time can meet most needs. Furthermore, by targeting different radon progeny measurement errors as optimization goals, the study demonstrates significant changes in the three-step method’s measurement times, indicating that suitable measurement time segments can be selected based on actual measurement requirements. Compared to the traditional three-step method, the optimization algorithm shows lower performance in the sum of measurement errors, especially in the measurement of 218Po, but slightly higher errors in the measurement of 214Bi. Overall, the optimization algorithm proposed in this paper can adjust the test duration according to different measurement tasks, in pursuit of higher measurement accuracy.

Author Contributions

The corresponding author, J.S., is primarily responsible for funding acquisition, reviewing the manuscript, and overseeing and guiding the entire research. The first author, X.C., mainly designed the experiments, performed statistical analysis of the experimental results, and wrote the initial draft of the paper. The second author, X.Z. primarily handled data recording, and participated in the experiments and analysis. The Third author, F.Q. Image drawing, data processing, and programming language writing. All authors participated in revising the paper and its final review. All authors have read and agreed to the published version of the manuscript.

Funding

Natural Science Foundation of Hunan (No. 2023JJ50121), National Natural Science Foundation of China (No. 12075112).

Institutional Review Board Statement

All experimental procedures were conducted in accordance with the regulations of the Ethics Committee.

Informed Consent Statement

All participants voluntarily participated in this study and signed an informed consent form prior to participation.

Data Availability Statement

All data generated during the study are available upon reasonable request by contacting the corresponding author.

Conflicts of Interest

The authors declare no commercial or financial conflicts of interest.

Appendix A

Radon, being a gas, cannot be retained by the filter membrane; it primarily collects radon progeny. The radon progeny trapped on the filter membrane are continuously reduced due to decay, while at the same time, new progeny from radon decay are constantly concentrating. This process of progeny accumulation can be described by the following equation:
d N i ( t ) d t = η θ i υ + λ i 1 t λ i N I t
ηθiv represents the direct deposition number of the i-th progeny on the filter membrane during the sampling process. λi−1Ni−1(t) denotes the increase in the number of i-th progeny due to the decay of the previously deposited (i − 1)-th progeny on the filter membrane. λiNi(t) is the decrease in the number of i-th progeny due to their own decay. The algebraic sum of these three terms gives the net rate of increase, or the total change rate, of the i-th progeny on the filter membrane. Since N1(t) = 0, this leads to Equation (A1).
d N 2 t d t = η θ 2 v λ 2 N 2 t                                         d N 3 t d t = η θ 3 v + λ 2 N 2 t λ 3 N 3 t d N 4 t d t = η θ 4 v + λ 3 N 3 t λ 4 N 4 t

References

  1. Thorne, M.C. Background radiation: Natural and man-made. J. Radiol. Prot. 2003, 23, 29–42. [Google Scholar] [CrossRef] [PubMed]
  2. Chen, J. A Review of Radon Exposure in Non-uranium Mines—Estimation of Potential Radon Exposure in Canadian Mines. Health Phys. 2023, 124, 244–256. [Google Scholar] [CrossRef] [PubMed]
  3. Darby, S.; Hill, D.; Auvinen, A.; Barros-Dios, J.M.; Baysson, H.; Bochicchio, F.; Deo, H.; Falk, R.; Forastiere, F.; Hakama, M.; et al. Radon in homes and risk of lung cancer: Collaborative analysis of individual data from 13 European case-control studies. BMJ 2004, 330, 223. [Google Scholar] [CrossRef] [PubMed]
  4. National Research Council; Division on Earth, Life Studies, Commission on Life Sciences; Board on Radiation Effects Research; Panel on Dosimetric Assumptions Affecting the Application of Radon Risk Estimates. Comparative Dosimetry of Radon in Mines and Homes; National Academies Press: Washington, DC, USA, 1991. [Google Scholar]
  5. Jamil, K.; Ali, S.; Khan, H.A. Determination of equilibrium factor between radon and its progeny using surface barrier detector for various shapes of passive radon dosimeters. Nucl. Instrum. Methods Phys. Res. Sect. A Accel. Spectrometers Detect. Assoc. Equip. 1997, 388, 267–272. [Google Scholar] [CrossRef]
  6. Tsivoglou, E.C. Quantitative Description of Successive Transformations in Atmospheric Samples. Ph.D. Thesis, The Ohio State University, Columbus, OH, USA, 1953. [Google Scholar]
  7. Thomas, J.W. Measurement of Radon Daughters in Air. Health Phys. 1972, 23, 783–789. [Google Scholar] [CrossRef] [PubMed]
  8. Monnin, M.M.; Seidel, J.L. Radon Measurement Techniques. In Radon Measurements by Etched Track Detectors: Applications in Radiation Protection, Earth Sciences and the Environment; World Scientific Publishing: Singapore, 2015. [Google Scholar]
  9. Cai, X.M.; Shan, J.; Le, Y.L.; Luo, Y.; Li, Y.D. Rapid determination of radon progeny concentration based on artificial neural networks. J. Radioanal. Nucl. Chem. Int. J. Deal. All Asp. Appl. Nucl. Chem. 2021, 330, 747–753. [Google Scholar] [CrossRef]
  10. Aggarwal, S.K. Alpha-particle spectrometry for the determination of alpha emitting isotopes in nuclear, environmental and biological samples: Past, present and future. Anal. Methods 2016, 8, 5353–5371. [Google Scholar] [CrossRef]
  11. Wang, L.; Kang, X.; Zhang, Y.; Song, S. Comparison of measurement results of radon progeny concentration determined by IP plate and alpha spectrometer. Nucl. Electron. Detect. Technol. 2019, 39, 275–278. [Google Scholar]
  12. Zhang, H.; Chen, B.; Zhuo, W.; Zhao, C. Measurements of the size distribution of unattached radon progeny by using the imaging plate. Radiat. Meas. 2014, 62, 41–44. [Google Scholar] [CrossRef]
  13. Hofmann, W.; Arvela, H.S.; Harley, N.H.; Marsh, J.W.; McLaughlin, J.; Röttger, A.; Tokonami, S. 6. Strategies for Radon and Radon Progeny Measurements and Surveys. J. ICRU 2012, 12, 95–112. [Google Scholar] [CrossRef]
  14. Chen, B.; Zhuo, W. Comparison of discrimination methods for alpha radiation signals using imaging plates. Radiat. Prot. Dosim. 2012, 152, 114–118. [Google Scholar] [CrossRef] [PubMed]
  15. Qin, F.; He, Z.; Fan, Z.; Lu, K.; Li, H.; Luo, Y.; Yang, X.; Deng, T.; Cai, X.; Sun, C.; et al. Research on Detection Efficiency of Imaging Plates for Alpha Particles Using Two Types of Imaging Plate. Health Phys. 2024, 127, 481–489. [Google Scholar] [CrossRef]
  16. Qin, F.-D.; Luo, H.-Y.; He, Z.-Z.; Lu, K.-J.; Wang, C.-G.; Wu, M.-M.; Fan, Z.-K.; Shan, J. Counting of alpha particle tracks on imaging plate based on a convolutional neural network. Nucl. Sci. Tech. 2021, 34, 37. [Google Scholar] [CrossRef]
  17. Zhang, Y.; Kang, X.; Wang, L. Study on a Continuous Measurement Method for Unattached Radon Progeny. Health Phys. 2020, 120, 19–23. [Google Scholar] [CrossRef] [PubMed]
  18. Lin, J.; Xiao, D.; He, Z.; Li, S.; Zhang, Y.; Wang, Z.; Yu, B. Regulation and control methods for the unattached fraction of 220Rn progeny in a 220Rn progeny chamber. J. Environ. Radioact. 2021, 235–236, 106653. [Google Scholar] [CrossRef]
  19. Available online: https://ww2.mathworks.cn/help/optim/ug/fmincon.html?searchHighlight=fmincon&s_tid=srchtitle_support_results_1_fmincon (accessed on 17 November 2024).
Figure 1. Radon Progeny and Their Decay Scheme.
Figure 1. Radon Progeny and Their Decay Scheme.
Toxics 13 00031 g001
Figure 2. Optimization process of fmincon function.
Figure 2. Optimization process of fmincon function.
Toxics 13 00031 g002
Figure 3. (a) is the time distribution of the three-step method, (b) is the length of time, respectively, and (c) is the measurement error.
Figure 3. (a) is the time distribution of the three-step method, (b) is the length of time, respectively, and (c) is the measurement error.
Toxics 13 00031 g003
Figure 4. Errors Corresponding to the Optimization Results for Different Radon Daughter Equilibrium Ratios.
Figure 4. Errors Corresponding to the Optimization Results for Different Radon Daughter Equilibrium Ratios.
Toxics 13 00031 g004
Figure 5. Comparison of Errors in the Three-Step Method.
Figure 5. Comparison of Errors in the Three-Step Method.
Toxics 13 00031 g005
Table 1. Time Segment Allocation.
Table 1. Time Segment Allocation.
Optimization ObjectiveTotal Time
(min)
T1
(min)
T2
(min)
T3
(min)
T4
(min)
T5
(min)
T6
(min)
σT
(Bq/m3)
σ23026.307.3019.6320.63300.20
σ33024.235.2317.0418.04300.33
σ43025.116.1118.8019.80300.23
σ2 + σ3 + σ43026.207.2019.3120.31300.20
σ2 + σ33026.277.2719.3820.38300.20
σ2 + σ43026.237.2319.5320.53300.20
σ3 + σ43024.915.9117.9718.97300.24
Table 2. Errors Under Different Optimization Objectives.
Table 2. Errors Under Different Optimization Objectives.
Optimization Objectiveσ2
(Bq/m3)
σ3
(Bq/m3)
σ4
(Bq/m3)
σ20.170.010.02
σ30.300.010.02
σ40.200.010.01
σ2 + σ3 + σ40.170.010.02
σ2 + σ30.170.010.02
σ2 + σ40.170.010.02
σ3 + σ40.220.010.01
Table 3. Optimal Measurement Time Periods for Different Radon Daughter Equilibrium Ratios.
Table 3. Optimal Measurement Time Periods for Different Radon Daughter Equilibrium Ratios.
Radon Progeny Concentration RatioTotal Time
(min)
T1
(min)
T2
(min)
T3
(min)
T4
(min)
T5
(min)
T6
(min)
σT
(Bq/m3)
1-1-13023.844.8410.2211.22152.93
1-0.6-0.43023.844.8410.2211.22152.11
1-0.3-0.13023.844.8410.2211.22151.60
1-0.1-0.023023.844.8410.2211.22151.36
1-0-03023.844.8410.2211.22151.26
Table 4. Errors Corresponding to the Optimization Results for Different Radon Daughter Equilibrium Ratios.
Table 4. Errors Corresponding to the Optimization Results for Different Radon Daughter Equilibrium Ratios.
C2-C3-C4σ2
(Bq/m3)
σ3
(Bq/m3)
σ4
(Bq/m3)
1-1-11.81130.767640.35186
1-0.6-0.41.43210.441590.23274
1-0.3-0.11.19140.253240.15932
1-0.1-0.021.06590.172610.12312
1-0-01.0090.139790.10714
Table 5. Comparison of Different Three-Step Methods and Optimized Three-Step Methods.
Table 5. Comparison of Different Three-Step Methods and Optimized Three-Step Methods.
AlgorithmTotal Time
(min)
T1
(min)
T2
(min)
T3
(min)
T4
(min)
T5
(min)
T6
(min)
Tomas30256202130
Optimization Algorithm3026.207.2019.3120.3130
Rapid Three-Step Method15245101115
Optimization Algorithm1523.844.8410.2211.2215
Disclaimer/Publisher’s Note: The statements, opinions and data contained in all publications are solely those of the individual author(s) and contributor(s) and not of MDPI and/or the editor(s). MDPI and/or the editor(s) disclaim responsibility for any injury to people or property resulting from any ideas, methods, instructions or products referred to in the content.

Share and Cite

MDPI and ACS Style

Cai, X.; Zeng, X.; Qin, F.; Shan, J. Optimization Methods for Radon Progeny Measurement Based on the Three-Stage Method. Toxics 2025, 13, 31. https://doi.org/10.3390/toxics13010031

AMA Style

Cai X, Zeng X, Qin F, Shan J. Optimization Methods for Radon Progeny Measurement Based on the Three-Stage Method. Toxics. 2025; 13(1):31. https://doi.org/10.3390/toxics13010031

Chicago/Turabian Style

Cai, Xiangming, Xuwei Zeng, Fengdi Qin, and Jian Shan. 2025. "Optimization Methods for Radon Progeny Measurement Based on the Three-Stage Method" Toxics 13, no. 1: 31. https://doi.org/10.3390/toxics13010031

APA Style

Cai, X., Zeng, X., Qin, F., & Shan, J. (2025). Optimization Methods for Radon Progeny Measurement Based on the Three-Stage Method. Toxics, 13(1), 31. https://doi.org/10.3390/toxics13010031

Note that from the first issue of 2016, this journal uses article numbers instead of page numbers. See further details here.

Article Metrics

Back to TopTop