Ionomic Profile of Rice Seedlings after Foliar Application of Selenium Nanoparticles
Abstract
1. Introduction
2. Materials and Methods
2.1. SeNP Synthesis and Characterization
2.2. Soil Characterization
2.3. Plant Material and Growth Conditions
2.4. Plant Treatments
2.5. Growth Measurements
2.6. Carotenoid and Chlorophyll Analyses
2.7. Quantification of the Nutritional and Potentially Toxic Elements by ICP-MS
2.7.1. Quality Control
2.7.2. Data Analysis
2.8. Statistical Analysis
3. Results and Discussion
3.1. SeNP Characterization
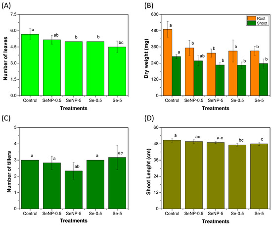
3.2. Effect of Se on Rice Seedling Growth
3.3. Effect of Se on Photosynthetic Pigments
3.4. Effect of Se on the Elemental Uptake and Accumulation in Rice Seedlings
3.4.1. Selenium Accumulation
3.4.2. Ionomic Profile: Macro and Micronutrient Uptake and Accumulation
3.4.3. As, Cd, and Pb Uptake and Accumulation
3.5. Effect of Se on the Element Translocation from Roots to Shoots
4. Conclusions
Supplementary Materials
Author Contributions
Funding
Institutional Review Board Statement
Informed Consent Statement
Data Availability Statement
Acknowledgments
Conflicts of Interest
References
- Lal, R. Restoring soil quality to mitigate soil degradation. Sustainability 2015, 7, 5875–5895. [Google Scholar] [CrossRef]
- Rehmanullah; Muhammad, Z.; Inayat, N.; Majeed, A. Application of nanoparticles in agriculture as fertilizers and pesticides: Challenges and opportunities. In New Frontiers in Stress Management for Durable Agriculture; Rakshit, A., Singh, H., Singh, A., Singh, U., Fraceto, L., Eds.; Springer: Singapore, 2020; pp. 281–293. [Google Scholar]
- FAO; IFAD; UNICEF; WFP; WHO. The State of Food Security and Nutrition in the World 2019. In Safeguarding against Economic Slowdowns and Downturns; FAO: Rome, Italy, 2019; Available online: http://www.fao.org/3/ca5162en/ca5162en.pdf (accessed on 10 April 2024).
- Freitas, D.C.; de Andrade, A.M.; da Costa, L.F.; Azevedo, R.A.; Arruda, M.A. There is plenty of room at the plant science: A review of nanoparticles applied to plant cultures. Ann. Appl. Biol. 2021, 178, 149–168. [Google Scholar] [CrossRef]
- Paramo, L.A.; Feregrino-Pérez, A.A.; Guevara, R.; Mendoza, S.; Esquivel, K. Nanoparticles in agroindustry: Applications, toxicity, challenges, and trends. Nanomaterials 2020, 10, 1654. [Google Scholar] [CrossRef] [PubMed]
- Freire, B.M.; Lange, C.N.; Cavalcanti, Y.T.; Monteiro, L.R.; Pieretti, J.C.; Seabra, A.B.; Batista, B.L. The dual effect of Selenium nanoparticles in rice seedlings: From increasing antioxidant activity to inducing oxidative stress. Plant Stress 2024, 11, 100372. [Google Scholar] [CrossRef]
- Kohatsu, M.Y.; Pelegrino, M.T.; Monteiro, L.R.; Freire, B.M.; Pereira, R.M.; Fincheira, P.; Rubilar, O.; Tortella, G.; Batista, B.L.; de Jesus, T.A.; et al. Comparison of foliar spray and soil irrigation of biogenic CuO nanoparticles (NPs) on elemental uptake and accumulation in lettuce. Environ. Sci. Pollut. Res. 2021, 28, 16350–16367. [Google Scholar] [CrossRef] [PubMed]
- Pelegrino, M.T.; Pieretti, J.C.; Lange, C.N.; Kohatsu, M.Y.; Freire, B.M.; Batista, B.L.; Fincheira, P.; Tortella, G.R.; Rubilar, O.; Seabra, A.B. Foliar spray application of CuO nanoparticles (NPs) and S-nitrosoglutathione enhances productivity, physiological and biochemical parameters of lettuce plants. J. Chem. Technol. Biotechnol. 2021, 96, 2185–2196. [Google Scholar] [CrossRef]
- Rizwan, M.; Ali, S.; ur Rehman, M.Z.; Malik, S.; Adrees, M.; Qayyum, M.F.; Alamri, S.A.; Alyemeni, M.N.; Ahmad, P. Effect of foliar applications of silicon and titanium dioxide nanoparticles on growth, oxidative stress, and cadmium accumulation by rice (Oryza sativa). Acta Physiol. Plant. 2019, 41, 35. [Google Scholar] [CrossRef]
- Moreno-Martín, G.; Sanz-Landaluze, J.; León-González, M.E.; Madrid, Y. Insights into the accumulation and transformation of Ch-SeNPs by Raphanus sativus and Brassica juncea: Effect on essential elements uptake. Sci. Total Environ. 2020, 725, 138453. [Google Scholar] [CrossRef]
- Wang, Y.; Feng, L.J.; Sun, X.D.; Zhang, M.; Duan, J.L.; Xiao, F.; Lin, W.; Zhu, F.P.; Kong, X.P.; Ding, Z.; et al. Incorporation of selenium derived from nanoparticles into plant proteins in vivo. ACS Nano 2023, 17, 15847–15856. [Google Scholar] [CrossRef] [PubMed]
- Rayman, M.P. Selenium and human health. Lancet 2012, 379, 1256–1268. [Google Scholar] [CrossRef]
- Institute of Medicine (IOM); The National Academies. Dietary Reference Intakes for Vitamin C, Vitamin E, Selenium and Carotenoids; National Academy Press: Washington, DC, USA, 2000; ISBN 0-309-59719-6. [Google Scholar]
- Jones, G.D.; Droz, B.; Greve, P.; Gottschalk, P.; Poffet, D.; McGrath, S.P.; Seneviratne, S.I.; Smith, P.; Winkel, L.H.E. Selenium deficiency risk predicted to increase under future climate change. Proc. Natl. Acad. Sci. USA 2017, 114, 2848–2853. [Google Scholar] [CrossRef] [PubMed]
- Galić, L.; Vinković, T.; Ravnjak, B.; Lončarić, Z. Agronomic biofortification of significant cereal crops with selenium—A review. Agronomy 2021, 11, 1015. [Google Scholar] [CrossRef]
- El-Ramady, H.R.; Domokos-Szabolcsy, É.; Abdalla, N.A.; Alshaal, T.A.; Shalaby, T.A.; Sztrik, A.; Prokisch, J.; Fári, M. Selenium and nano-selenium in agroecosystems. Environ. Chem. Lett. 2014, 12, 495–510. [Google Scholar] [CrossRef]
- Wang, M.; Zhou, F.; Cheng, N.; Chen, P.; Ma, Y.; Zhai, H.; Qi, M.; Liu, N.; Liu, Y.; Meng, L.; et al. Soil and foliar selenium application: Impact on accumulation, speciation, and bioaccessibility of selenium in wheat (Triticum aestivum L.). Front. Plant Sci. 2022, 13, 988627. [Google Scholar] [CrossRef] [PubMed]
- de Brito Mateus, M.P.; Tavanti, R.F.R.; Tavanti, T.R.; Santos, E.F.; Jalal, A.; Dos Reis, A.R. Selenium biofortification enhances ROS scavenge system increasing yield of coffee plants. Ecotoxicol. Environ. Saf. 2021, 209, 111772. [Google Scholar] [CrossRef] [PubMed]
- Boldrin, P.F.; Faquin, V.; Ramos, S.J.; Boldrin, K.V.F.; Ávila, F.W.; Guilherme, L.R.G. Soil and foliar application of selenium in rice biofortification. J. Food Compos. Anal. 2013, 31, 238–244. [Google Scholar] [CrossRef]
- Camara, A.Y.; Wan, Y.; Yu, Y.; Wang, Q.; Li, H. Effect of selenium on uptake and translocation of arsenic in rice seedlings (Oryza sativa L.). Ecotoxicol. Environ. Saf. 2018, 148, 869–875. [Google Scholar] [CrossRef]
- Wang, K.; Wang, Y.; Wan, Y.; Mi, Z.; Wang, Q.; Wang, Q.; Li, H. The fate of arsenic in rice plants (Oryza sativa L.): Influence of different forms of selenium. Chemosphere 2021, 264, 128417. [Google Scholar] [CrossRef] [PubMed]
- Wang, C.; Cheng, T.; Liu, H.; Zhou, F.; Zhang, J.; Zhang, M.; Liu, X.; Shi, W.; Cao, T. Nano-selenium controlled cadmium accumulation and improved photosynthesis in indica rice cultivated in lead and cadmium combined paddy soils. J. Environ. Sci. 2021, 103, 336–346. [Google Scholar] [CrossRef] [PubMed]
- Freire, B.M.; Cavalcanti, Y.T.; Lange, C.N.; Pieretti, J.C.; Pereira, R.M.; Gonçalves, M.C.; Nakazato, G.; Seabra, A.B.; Batista, B.L. Evaluation of collision/reaction gases in single-particle ICP-MS for sizing selenium nanoparticles and assessment of their antibacterial activity. Nanotechnology 2022, 33, 355702. [Google Scholar] [CrossRef] [PubMed]
- da Silva, F.C. Manual de análises químicas de solos, plantas e fertilizantes. In Embrapa Informação Tecnológica; Embrapa Solos: Rio de Janeiro, Brazil, 2009; 627p. [Google Scholar]
- Raij, B.v.; Andrade, J.C.; Cantarella, H.; Quaggio, J.A. Análise Química para Avaliação da Fertilidade de Solos Tropicais; Instituto Agronômico: Campinas, Brazil, 2001; 285p. [Google Scholar]
- Boonyanitipong, P.; Kositsup, B.; Kumar, P.; Baruah, S.; Dutta, J. Toxicity of ZnO and TiO2 nanoparticles on germinating rice seed Oryza sativa L. Int. J. Biosci. Biochem. Bioinform. 2011, 1, 282–285. [Google Scholar] [CrossRef]
- Zahedi, S.M.; Abdelrahman, M.; Hosseini, M.S.; Hoveizeh, N.F.; Tran, L.S.P. Alleviation of the effect of salinity on growth and yield of strawberry by foliar spray of selenium-nanoparticles. Environ. Pollut. 2019, 253, 246–258. [Google Scholar] [CrossRef] [PubMed]
- Lichtenthaler, H.K.; Wellburn, A.R. Determinations of total carotenoids and chlorophylls a and b of leaf extracts in different solvents. Biochem. Soc. Trans. 1983, 11, 591–592. [Google Scholar] [CrossRef]
- Paniz, F.P.; Pedron, T.; Freire, B.M.; Torres, D.P.; Silva, F.F.; Batista, B.L. Effective procedures for the determination of As, Cd, Cu, Fe, Hg, Mg, Mn, Ni, Pb, Se, Th, Zn, U and rare earth elements in plants and foodstuffs. Anal. Methods 2018, 10, 4094–4103. [Google Scholar] [CrossRef]
- DOQ-CGCRE-008; Guidance on Validation of Analytical Methods, Revision 5 August 2016. INMETRO (National Institute of Metrology Standardization and Industrial Quality): Rio de Janeiro, Brazil, 2016.
- Fidelis, R.R.; Campestrini, R.; Martinez, R.A.S.; de Oliveira Tavares, T.C.; Lopes, M.B.S. Physiological quality of rice in the function of selenium doses. Rev. Agric. Neotrop. 2018, 5, 30–38. [Google Scholar] [CrossRef][Green Version]
- Hopper, J.L.; Parker, D.R. Plant availability of selenite and selenate as influenced by the competing ions phosphate and sulfate. Plant Soil 1999, 210, 199–207. [Google Scholar] [CrossRef]
- Neysanian, M.; Iranbakhsh, A.; Ahmadvand, R.; Ardebili, Z.O.; Ebadi, M. Comparative efficacy of selenate and selenium nanoparticles for improving growth, productivity, fruit quality, and postharvest longevity through modifying nutrition, metabolism, and gene expression in tomato; potential benefits and risk assessment. PLoS ONE 2020, 15, e0244207. [Google Scholar] [CrossRef] [PubMed]
- Reis, H.P.G.; de Queiroz Barcelos, J.P.; Junior, E.F.; Santos, E.F.; Silva, V.M.; Moraes, M.F.; Putti, F.F.; dos Reis, A.R. Agronomic biofortification of upland rice with selenium and nitrogen and its relation to grain quality. J. Cereal Sci. 2018, 79, 508–515. [Google Scholar] [CrossRef]
- Wang, K.; Wang, Y.; Li, K.; Wan, Y.; Wang, Q.; Zhuang, Z.; Guo, Y.; Li, H. Uptake, translocation and biotransformation of selenium nanoparticles in rice seedlings (Oryza sativa L.). J. Nanobiotechnol. 2020, 18, 103. [Google Scholar] [CrossRef] [PubMed]
- Pazurkiewicz-Kocot, K.; Kita, A.; Pietruszka, M. Effect of selenium on magnesium, iron, manganese, copper, and zinc accumulation in corn treated by indole-3-acetic acid. Commun. Soil Sci. Plant Anal. 2008, 39, 2303–2318. [Google Scholar] [CrossRef]
- Feng, R.; Wei, C.; Tu, S.; Wu, F. Effects of Se on the uptake of essential elements in Pteris vittata L. Plant Soil 2009, 325, 123–132. [Google Scholar] [CrossRef]
- Paniz, F.P.; Pedron, T.; Procópio, V.A.; Lange, C.N.; Freire, B.M.; Batista, B.L. Selenium Biofortification Enhanced Grain Yield and Alleviated the Risk of Arsenic and Cadmium Toxicity in Rice for Human Consumption. Toxics 2023, 11, 362. [Google Scholar] [CrossRef] [PubMed]
- Bluemlein, K.; Klimm, E.; Raab, A.; Feldmann, J. Selenite enhances arsenate toxicity in Thunbergia alata. Environ. Chem. 2009, 6, 486–494. [Google Scholar] [CrossRef]
- Han, D.; Xiong, S.; Tu, S.; Liu, J.; Chen, C. Interactive effects of selenium and arsenic on growth, antioxidant system, arsenic and selenium species of Nicotiana tabacum L. Environ. Exp. Bot. 2015, 117, 12–19. [Google Scholar] [CrossRef]
- Meharg, A.A.; Macnair, M.R. Suppression of the high affinity phosphate uptake system: A mechanism of arsenate tolerance in Holcus lanatus L. J. Exp. Bot. 1992, 43, 519–524. [Google Scholar] [CrossRef]
- Zhang, L.; Hu, B.; Li, W.; Che, R.; Deng, K.; Li, H.; Yu, F.; Ling, H.; Li, Y.; Chu, C. OsPT2, a phosphate transporter, is involved in the active uptake of selenite in rice. New Phytol. 2014, 201, 1183–1191. [Google Scholar] [CrossRef] [PubMed]
- Gao, M.; Zhou, J.; Liu, H.; Zhang, W.; Hu, Y.; Liang, J.; Zhou, J. Foliar spraying with silicon and selenium reduces cadmium uptake and mitigates cadmium toxicity in rice. Sci. Total Environ. 2018, 631, 1100–1108. [Google Scholar] [CrossRef] [PubMed]
- An, M.; Wang, H.; Fan, H.; Ippolito, J.A.; Meng, C.; Yulian, E.; Li, Y.; Wang, K.; Wei, C. Effects of modifiers on the growth, photosynthesis, and antioxidant enzymes of cotton under cadmium toxicity. J. Plant Growth Regul. 2019, 38, 1196–1205. [Google Scholar] [CrossRef]
- Cao, F.; Cai, Y.; Liu, L.; Zhang, M.; He, X.; Zhang, G.; Wu, F. Differences in photosynthesis, yield and grain cadmium accumulation as affected by exogenous cadmium and glutathione in the two rice genotypes. Plant Growth Regul. 2015, 75, 715–723. [Google Scholar] [CrossRef]
- Wan, Y.; Wang, K.; Liu, Z.; Yu, Y.; Wang, Q.; Li, H. Effect of selenium on the subcellular distribution of cadmium and oxidative stress induced by cadmium in rice (Oryza sativa L.). Environ. Sci. Pollut. Res. 2019, 26, 16220–16228. [Google Scholar] [CrossRef] [PubMed]
- Andrade, G.F.; Paniz, F.P.; Martins, A.C., Jr.; Rocha, B.A.; da Silva Lobato, A.K.; Rodrigues, J.L.; Cardoso-Gustavson, P.; Masuda, H.P.; Batista, B.L. Agricultural use of Samarco’s spilled mud assessed by rice cultivation: A promising residue use? Chemosphere 2018, 193, 892–902. [Google Scholar] [CrossRef] [PubMed]
- Camara, A.Y.; Wan, Y.; Yu, Y.; Wang, Q.; Wang, K.; Li, H. Effect of endogenous selenium on arsenic uptake and antioxidative enzymes in as-exposed rice seedlings. Int. J. Environ. Res. Public Health 2019, 16, 3350. [Google Scholar] [CrossRef] [PubMed]
- De Filippis, L.F. Biochemical and molecular aspects in phytoremediation of selenium. In Plant Adaptation and Phytoremediation; Springer: Dordrecht, The Netherlands, 2010; pp. 193–226. [Google Scholar]




| Total sand (g kg−1) | Coarse sand (g kg−1) | Fine sand (g kg−1) | Clay (g kg−1) | Silt (g kg−1) | pH-CaCl2 |
| 256 | 136 | 120 | 583 | 161 | 5.9 |
| OM (g kg−1) | SB (mmolc dm−3) | K-Exc (mmolc dm−3) | Ca- Exc (mmolc dm−3) | Mg- Exc (mmolc dm−3) | H + Al (mmolc dm−3) |
| 40 | 116.6 | 7.6 | 94 | 15 | 24 |
| CEC (mmolc dm−3) | V (%) | EC (ds m−1) | C (g dm−3) | P (resin) (mg kg−1) | Co (µg kg−1) |
| 141 | 83 | 1.66 | 23 | 57 | 657 ± 122 |
| Cu (mg kg−1) | Zn (mg kg−1) | As (mg kg−1) | Se (mg kg−1) | Cd (µg kg−1) | Pb (mg kg−1) |
| 10.4 ± 1.4 | 23.4 ± 2.1 | 4.11 ± 0.34 | 6.49 ± 0.48 | 27.5 ± 4.5 | 9.98 ± 1.60 |
| Element (conc.) | Tissue | Control | SeNP-0.5 | SeNP-5 | Se-0.5 | Se-5 |
|---|---|---|---|---|---|---|
| Na (mg kg−1) | Leaf | 83 ± 28 | 117 ± 39 | 141 ± 147 | 99 ± 35 | 80 ± 24 |
| Na (g kg−1) | Root | 1.56 ± 0.27 | 1.82 ± 0.25 | 1.64 ± 0.25 | 1.47 ± 0.19 | 1.59 ± 0.34 |
| Mg (g kg−1) | Leaf | 1.85 ± 0.19 | 1.75 ± 0.14 | 1.63 ± 0.20 | 1.58 ± 0.22 | 1.65 ± 0.24 |
| Mg (g kg−1) | Root | 1.57 ± 0.32 | 1.50 ± 0.22 | 1.30 ± 0.17 | 1.47 ± 0.19 | 1.49 ± 0.13 |
| K (g kg−1) | Leaf | 31.9 ± 1.3 ab | 35.9 ± 3.0 a | 30.6 ± 2.0 b | 29.6 ± 3.1 b | 29.7 ± 2.3 b |
| K (g kg−1) | Root | 29.7 ± 3.4 | 33.8 ± 3.1 | 32.1 ± 3.3 | 31.0 ± 4.1 | 32.8 ± 3.7 |
| Ca (g kg−1) | Leaf | 3.72 ± 0.45 a | 3.22 ± 0.40 a | 4.93 ± 0.89 b | 5.10 ± 0.41 b | 4.93 ± 0.47 b |
| Ca (g kg−1) | Root | 2.55 ± 0.33 | 2.15 ± 0.20 | 2.51 ± 0.11 | 2.65 ± 0.37 | 2.49 ± 0.46 |
| Mn (mg kg−1) | Leaf | 755 ± 113 | 659 ± 144 | 633 ± 95 | 621 ± 111 | 648 ± 128 |
| Mn (mg kg−1) | Root | 181 ± 49 a | 167 ± 29 ab | 158 ± 12 ab | 131 ± 9 b | 147 ± 21 ab |
| Co (µg kg−1) | Leaf | 19.9 ± 4.9 a | 17.4 ± 3.3 ab | 13.5 ± 3.0 b | 13.0 ± 2.5 b | 12.3 ± 2.1 b |
| Co (µg kg−1) | Root | 736 ± 114 a | 628 ± 52 ab | 490 ± 40 b | 515 ± 103 b | 463 ± 89 bc |
| Cu (mg kg−1) | Leaf | 7.34 ± 0.57 | 7.63 ± 0.52 | 6.92 ± 0.76 | 6.83 ± 0.67 | 7.18 ± 0.40 |
| Cu (mg kg−1) | Root | 18.9 ± 3.5 | 14.0 ± 1.4 | 16.1 ± 3.3 | 16.5 ± 7.6 | 15.8 ± 4.1 |
| Zn (mg kg−1) | Leaf | 34.3 ± 3.0 | 32.3 ± 3.5 | 29.7 ± 3.8 | 31.4 ± 3.7 | 30.3 ± 2.2 |
| Zn (mg kg−1) | Root | 56.5 ± 6.1 | 54.3 ± 6.6 | 59.3 ± 8.0 | 63.4 ± 9.8 | 56.2 ± 8.8 |
| Element | Control | SeNP-0.5 | SeNP-5 | Se-0.5 | Se-5 |
|---|---|---|---|---|---|
| As | 0.036 ± 0.016 a | 0.034 ± 0.002 a | 0.019 ± 0.004 b | 0.020 ± 0.003 b | 0.020 ± 0.003 b |
| Cd | 0.21 ± 0.09 | 0.20 ± 0.05 | 0.21 ± 0.04 | 0.34 ± 0.29 | 0.13 ± 0.05 |
| Pb | 0.011 ± 0.004 | 0.012 ± 0.007 | 0.012 ± 0.008 | 0.010 ± 0.002 | 0.010 ± 0.004 |
| Se | 0.41 ± 0.09 a | 1.97 ± 0.43 b | 6.61 ± 1.23 c | 1.64 ± 0.10 b | 4.47 ± 0.94 d |
Disclaimer/Publisher’s Note: The statements, opinions and data contained in all publications are solely those of the individual author(s) and contributor(s) and not of MDPI and/or the editor(s). MDPI and/or the editor(s) disclaim responsibility for any injury to people or property resulting from any ideas, methods, instructions or products referred to in the content. |
© 2024 by the authors. Licensee MDPI, Basel, Switzerland. This article is an open access article distributed under the terms and conditions of the Creative Commons Attribution (CC BY) license (https://creativecommons.org/licenses/by/4.0/).
Share and Cite
Freire, B.M.; Lange, C.N.; Cavalcanti, Y.T.; Seabra, A.B.; Batista, B.L. Ionomic Profile of Rice Seedlings after Foliar Application of Selenium Nanoparticles. Toxics 2024, 12, 482. https://doi.org/10.3390/toxics12070482
Freire BM, Lange CN, Cavalcanti YT, Seabra AB, Batista BL. Ionomic Profile of Rice Seedlings after Foliar Application of Selenium Nanoparticles. Toxics. 2024; 12(7):482. https://doi.org/10.3390/toxics12070482
Chicago/Turabian StyleFreire, Bruna Moreira, Camila Neves Lange, Yasmin Tavares Cavalcanti, Amedea Barozzi Seabra, and Bruno Lemos Batista. 2024. "Ionomic Profile of Rice Seedlings after Foliar Application of Selenium Nanoparticles" Toxics 12, no. 7: 482. https://doi.org/10.3390/toxics12070482
APA StyleFreire, B. M., Lange, C. N., Cavalcanti, Y. T., Seabra, A. B., & Batista, B. L. (2024). Ionomic Profile of Rice Seedlings after Foliar Application of Selenium Nanoparticles. Toxics, 12(7), 482. https://doi.org/10.3390/toxics12070482

