Mechanism of the Synergistic Toxicity of Ampicillin and Cefazoline on Selenastrum capricornutum
Abstract
1. Introduction
2. Materials and Methods
2.1. Organism Test
2.2. Exposure Test Design
2.3. Toxicity Data Fitting
2.4. Toxicity Interactions of the Mixture
- MDRlower < MDR < MDRupper indicates an additive effect;
- MDR > MDRupper corresponds to synergism;
- MDR < MDRlower refers to antagonism.
2.5. Biochemical Biomarkers
2.5.1. Determination of Total Protein, Antioxidant Enzyme Activity, and Microreduced Glutathione
2.5.2. Determination of Malondialdehyde Content
2.5.3. Determination of the Chlorophyll Content
2.6. RNA-Seq Analysis
2.7. Statistical Analysis
3. Results
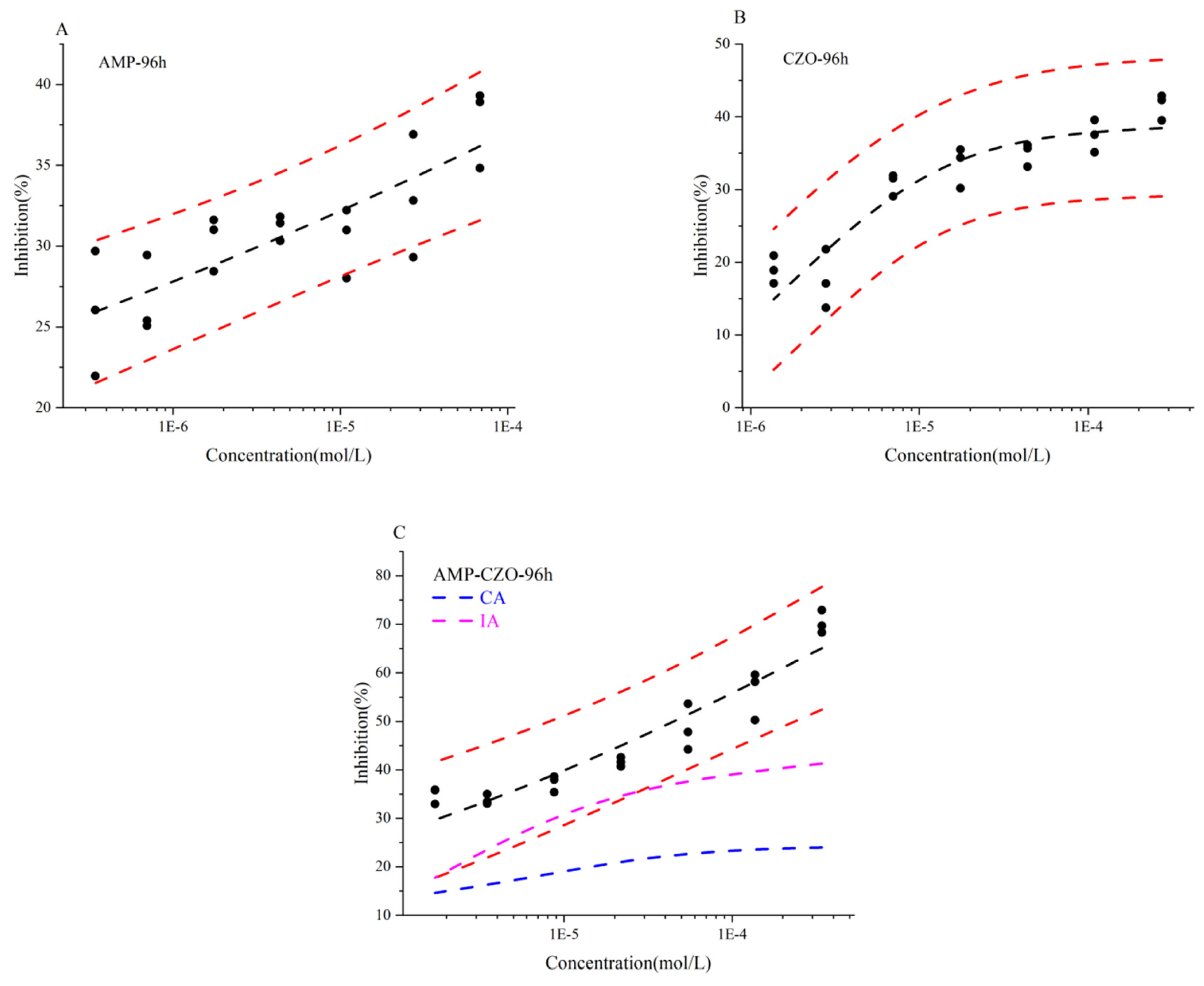
3.1. Growth Inhibition of S. capricornutum Induced by AMP, CZO, and Their Mixture
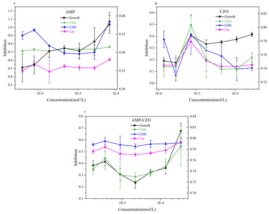
3.2. Impact of AMP, CZO, and Binary Mixtures on Algal Photosynthetic Pigments
3.3. Impact of AMP, CZO, and Binary Mixtures on Algal Antioxidation Systems
3.4. General Transcriptome Characteristics of S. capricornutum
3.5. Differential Expression Analysis of Genes in S. capricornutum
3.6. Gene Enrichment Analysis
4. Discussion
4.1. The Toxicity of AMP and CZO on S. capricornutum
4.2. The AMP-CZO Mixture Toxicity
4.3. Molecular Mechanisms of AMP Toxicity
4.3.1. Regulation of Nitrogen Metabolism
4.3.2. Response in Carbohydrate Metabolism
4.3.3. Effect of Photosynthetic Pigment Level
4.4. Molecular Mechanisms of CZO Toxicity
4.4.1. Transcriptomic Profiling and Pathway Alterations
4.4.2. Oxidative Stress and Antioxidant Responses
4.4.3. Implications on Cellular Structures
4.4.4. Perturbation of Carotenoid Biosynthesis and Photosynthesis
4.5. Molecular Mechanisms of AMP-CZO Mixture Toxicity
4.5.1. Metabolic Pathway Alterations and Amino Acid Biosynthesis
4.5.2. Impact on Amino Acid Biosynthesis and Carbon Metabolism
4.5.3. Photosynthetic Impairment and Growth Inhibition
5. Conclusions
Supplementary Materials
Author Contributions
Funding
Institutional Review Board Statement
Informed Consent Statement
Data Availability Statement
Conflicts of Interest
References
- Gomaa, M.; Zien-Elabdeen, A.; Hifney, A.F.; Adam, M.S. Phycotoxicity of antibiotics and non-steroidal anti-inflammatory drugs to green algae Chlorella sp. and Desmodesmus spinosus: Assessment of combined toxicity by Box–Behnken experimental design. Environ. Technol. Innov. 2021, 23, 101586. [Google Scholar] [CrossRef]
- Aydogdu, S.; Hatipoglu, A. Theoretical insights into the reaction mechanism and kinetics of ampicillin degradation with hydroxyl radical. J. Mol. Model. 2023, 29, 63. [Google Scholar] [CrossRef] [PubMed]
- Gavrilescu, M.; Demnerová, K.; Aamand, J.; Agathos, S.; Fava, F. Emerging pollutants in the environment: Present and future challenges in biomonitoring, ecological risks and bioremediation. New Biotechnol. 2015, 24, 147–156. [Google Scholar] [CrossRef] [PubMed]
- Gu, J.D.; Wang, Y.S. Coastal and marine pollution and ecotoxicology. Ecotoxicology 2015, 24, 1407–1410. [Google Scholar] [CrossRef] [PubMed][Green Version]
- Fang, T.H.; Nan, F.H.; Chin, T.S.; Feng, H.M. The occurrence and distribution of pharmaceutical compounds in the effluents of a major sewage treatment plant in Northern Taiwan and the receiving coastal waters. Mar. Pollut. Bull. 2012, 64, 1435–1444. [Google Scholar] [CrossRef] [PubMed]
- Liu, S.; Zhang, J.; Zhang, Y.; Qin, L. APTox: Assessment and prediction of toxicity of chemical mixtures. J. Chem. 2012, 70, 1511–1517. [Google Scholar] [CrossRef]
- Zhong, Q.-L.; Chen, Z.; Shen, Q.; Xiong, J.-Q. Occurrence of antibiotics in reclaimed water, and their uptake dynamics, phytotoxicity, and metabolic fate in Lolium perenne L. Sci. Total Environ. 2023, 904, 166975. [Google Scholar] [CrossRef] [PubMed]
- Feng, L.; Xu, H.; Wang, Y. Study of the effects of three β-lactam antibiotics on large toxicity. Environ. Sci. Technol. 2020, 43, 1–7. [Google Scholar] [CrossRef]
- Wang, C.; He, M.; Wu, C.; Chen, Z.; Jiang, L.; Wang, C. Toxicity interaction of polystyrene nanoplastics with sulfamethoxazole on the microalgae Chlamydomonas reinhardtii: A closer look at effect of light availability. J. Environ. Manag. 2023, 340, 117969. [Google Scholar] [CrossRef]
- Xie, H.; Hao, H.; Xu, N.; Liang, X.; Gao, D.; Xu, Y.; Gao, Y.; Tao, H.; Wong, M. Pharmaceuticals and personal care products in water, sediments, aquatic organisms, and fish feeds in the pearl river delta: Occurrence, distribution, potential sources, and health risk assessment. Sci. Total Environ. 2019, 659, 230–239. [Google Scholar] [CrossRef]
- Chia, M.A.; Lorenzi, A.S.; Ameh, I.; Dauda, S.; Cordeiro-Araújo, M.K.; Agee, J.T.; Okpanachi, I.Y.; Adesalu, A.T. Susceptibility of phytoplankton to the increasing presence of active pharmaceutical ingredients (APIs) in the aquatic environment: A review. Aquat. Toxicol. 2021, 234, 105809. [Google Scholar] [CrossRef]
- Mo, J.; Lv, R.; Qin, X.; Wu, X.; Chen, H.; Yan, N.; Shi, J.; Wu, Y.; Liu, W.; Kong, R.Y.C.; et al. Mechanistic insights into hormesis induced by erythromycin in the marine alga Thalassiosira weissflogii. Ecotoxicol. Environ. Saf. 2023, 263, 115242. [Google Scholar] [CrossRef] [PubMed]
- Zhang, Y.; He, D.; Chang, F.; Dang, C.; Fu, J. Combined effects of sulfamethoxazole and erythromycin on a freshwater microalga, Raphidocelis subcapitata: Toxicity and oxidative stress. Antibiotics 2021, 10, 576. [Google Scholar] [CrossRef]
- Li, M.; Zhou, H.; Ye, M.; Xu, X.; Pang, L.; Zhao, Z.; Xuan, Y. Interactions between typical antibiotics and Microcystis aeruginosa in aquatic environment. Clean Soil. Air Water 2023, 11, 2200298. [Google Scholar] [CrossRef]
- Petrie, B.; Barden, R.; Kasprzyk-Hordern, B. A review on emerging contaminants in wastewaters and the environment: Current knowledge, understudied areas and recommendations for future monitoring. Water Res. 2015, 72, 3–27. [Google Scholar] [CrossRef] [PubMed]
- Zhong, X.; Zhu, Y.; Wang, Y.; Zhao, Q.; Huang, H. Effects of three antibiotics on growth and antioxidant response of Chlorella pyrenoidosa and Anabaena cylindrica. Ecotoxicol. Environ. Saf. 2021, 211, 111954. [Google Scholar] [CrossRef]
- Rozas, O.; Contreras, D.; Mondaca, M.A.; Pérez-Moya, M.; Mansilla, H.D. Experimental design of Fenton and photo-Fenton reactions for the treatment of ampicillin solutions. J. Hazard. Mater. 2010, 177, 1025–1030. [Google Scholar] [CrossRef] [PubMed]
- Shukla, A.; Khan, E.; Srivastava, A.; Tandon, P.; Sinha, K. A computational study on molecular structure, multiple interactions, chemical reactivity and molecular docking studies on 6[D (−) α-amino-phenylacetamido] penicillanic acid (ampicillin). Mol. Simul. 2016, 42, 863–873. [Google Scholar] [CrossRef]
- Zhang, Q.; Demeestere, K.; De Schamphelaere, K.A.C. The influence of pH and dissolved organic carbon on the ecotoxicity of ampicillin and clarithromycin. Sci. Total Environ. 2023, 904, 166781. [Google Scholar] [CrossRef]
- Loannou-Ttofa, L.; Raj, S.; Prakash, H.; Fatta-Kassinos, D. Solar photo-Fenton oxidation for the removal of ampicillin, total cultivable and resistant E. coli and ecotoxicity from secondary-treated wastewater efuents. Chem. Eng. J. 2019, 355, 91–102. [Google Scholar] [CrossRef]
- Singh, V.; Pandey, B.; Suthar, S. Phytotoxicity of amoxicillin to the duckweed Spirodela polyrhiza: Growth, oxidative stress, biochemical traits and antibiotic degradation. Chemosphere 2018, 201, 492–502. [Google Scholar] [CrossRef] [PubMed]
- Nie, X. Multiple β-Lactam Antibiotics in Water Based on LC-M S/MS; Dalian University of Technology: Dalian, China, 2017. [Google Scholar]
- Diwan, V.; Tamhankar, A.J.; Aggarwal, M.; Sen, S.; Khandal, R.K.; Lundborg, C.S. Detection of antibiotics in hospital effluents in India. Curr. Sci. 2009, 12, 1752–1755. [Google Scholar]
- Chen, H.; Li, X.; Zhu, S. Occurrence and distribution of selected pharmaceuticals and personal care products in aquatic environments: A comparative study of regions in China with different urbanization levels. Environ. Sci. Pollut. Res. 2012, 19, 2381–2389. [Google Scholar] [CrossRef] [PubMed]
- Jia, L. Distribution and Transfer and Transformation of β-Lactam Antibiotics in Sewage Treatment Plants; Hebei University of Engineering: Handan, China, 2012. [Google Scholar]
- Anderson, P.D.; D’Aco, V.J.; Shanahan, P.; Chapra, S.C.; Buzby, M.E.; Cunningham, V.L.; DuPlessie, B.M.; Hayes, E.P.; Mastrocco, F.J.; Parke, N.J.; et al. Screening analysis of human pharmaceutical compounds in US surface waters. Environ. Sci. Technol. 2004, 38, 838–849. [Google Scholar] [CrossRef]
- Chen, Y.; Xu, D.Q. Two patterns of leaf photosynthetic response to irradiance transition from saturating to limiting one in some plant species. New Phytol. 2010, 169, 789–798. [Google Scholar] [CrossRef]
- Koussevitzky, S.; Nott, A.; Mockler, T.C.; Hong, F.; Sachetto-Martins, C.; Surpin, M.; Lim, J.; Mittler, R.; Chory, J. Signals from chloroplasts converge to regulate nuclear gene expression. Science 2007, 316, 715–719. [Google Scholar] [CrossRef]
- Mallick, N.; Mohn, F.H. Reactive oxygen species: Response of algal cells. J. Plant Physiol. 2000, 157, 183–193. [Google Scholar] [CrossRef]
- Xue, X.; Su, X.; Zhou, L.; Ji, J.; Qin, Z.; Liu, J.; Li, K.; Wang, H.; Wang, Z. Antibiotic-Induced Recruitment of Specific Algae-Associated Microbiome Enhances the Adaptability of Chlorella vulgaris to Antibiotic Stress and Incidence of Antibiotic Resistance. Environ. Sci. Technol. 2023, 57, 13336–13345. [Google Scholar] [CrossRef]
- Liu, Y.; Yue, L.; Wang, C.; Zhu, X.; Wang, Z.; Xing, B. Photosynthetic response mechanisms in typical C3 and C4 plants upon La2O3 nanoparticle exposure. Environ. Sci. Nano 2020, 7, 81–92. [Google Scholar] [CrossRef]
- Qian, H.; Pan, X.; Chen, J.; Zhou, D.; Chen, Z.; Zhang, L.; Fu, Z. Analyses of gene expression and physiological changes in Microcystis aeruginosa reveal the phytotoxicities of three environmental pollutants. Ecotoxicology 2012, 21, 847–859. [Google Scholar] [CrossRef] [PubMed]
- Lindberg, J.; Lundeberg, J. The plasticity of the mammalian transcriptome. Genomics 2010, 95, 1–6. [Google Scholar] [CrossRef]
- Eguchi, K.; Nagase, H.; Ozawa, M.; Endoh, Y.S.; Goto, K.; Hirata, K.; Miyamoto, K.; Yoshimura, H. Evaluation of antimicrobial agents for veterinary use in the ecotoxicity test using microalgae. Chemosphere 2004, 57, 1733–1738. [Google Scholar] [CrossRef]
- Enick, O.V.; Moore, M.M. Assessing the assessments: Pharmaceuticals in the environment. Environ. Impact Assess. Rev. 2007, 27, 707–729. [Google Scholar] [CrossRef]
- Huang, F.-L.; Liu, M.; Qin, L.-T.; Mo, L.; Liang, Y.; Zeng, H.; Deng, Z. Toxicity interactions of azole fungicide mixtures on Chlorella pyrenoidosa. Environ. Toxicol. 2023, 38, 1509–1519. [Google Scholar] [CrossRef] [PubMed]
- Li, B.; Zhang, T.; Xu, Z.; Fang, H.H.P. Rapid analysis of 21 antibiotics of multiple classes in municipal wastewater using ultra performance liquid chromatography–tandem mass spectrometry. Anal. Chim. Acta 2009, 645, 64–72. [Google Scholar] [CrossRef] [PubMed]
- Berenbaum, M.C. What is synergy? Pharmacol. Rev. 1989, 41, 93–141. [Google Scholar] [PubMed]
- Georgiou, C.D.; Grintzalis, K.; Zervoudakis, G.; Papapostolou, I. Mechanism of coomassie brilliant blue g-250 binding to proteins: A hydrophobic assay for nanogram quantities of proteins. Anal. Bioanal. Chem. 2008, 391, 391–403. [Google Scholar] [CrossRef] [PubMed]
- Angel, B.M.; Vallotton, P.; Apte, S.C. On the mechanism of nanoparticulate CeO2 toxicity to freshwater algae. Aquat. Toxicol. 2015, 168, 90–97. [Google Scholar] [CrossRef] [PubMed]
- Liu, B. Toxic Effects of Erythromycin, Ciprofloxacin, and Sulfamethoxazole on Sheep Horn Crescent Algae and Their Mechanism of Action. In Environmental Pollution; Jinan University: Guangzhou, China, 2011. [Google Scholar] [CrossRef]
- Noctor, G.; De Paepe, R.; Foyer, C.H. Mitochondrial redox biology and homeostasis in plants. Trends Plant Sci. 2007, 12, 125–134. [Google Scholar] [CrossRef]
- Zhang, Y.-H.; Liu, S.-S.; Song, X.-Q.; Ge, H.-L. Prediction for the mixture toxicity of six organophosphorus pesticides to the luminescent bacterium Q67. Ecotoxicol. Environ. Saf. 2008, 71, 880–888. [Google Scholar] [CrossRef]
- Liu, S.-S.; Song, X.-Q.; Liu, H.-L.; Zhang, Y.-H.; Zhang, J. Combined photobacterium toxicity of herbicide mixtures containing one insecticide. Chemosphere 2009, 75, 381–388. [Google Scholar] [CrossRef]
- Chen, S.G.; Yang, J.; Zhang, M.S.; Strasser, R.J.; Qiang, S. Classification and characteristics of heat tolerance in Ageratina adenophora populations using fast chlorophyll a fluorescence rise O-J-I-P. Environ. Exp. Bot. 2016, 122, 126–140. [Google Scholar] [CrossRef]
- Zhang, R.; Yin, J.; Sui, Z.; Han, L.; Li, Y.; Huang, J. Biocontrol of antifungal volatiles produced by Ceriporia lacerate HG2011 against citrus fruit rot incited by Penicillium spp. Postharvest Biol. Technol. 2022, 194, 112094. [Google Scholar] [CrossRef]
- Guo, J.; Selby, K.; Boxall, A.B. Comparing the sensitivity of chlorophytes, cyanobacteria, and diatoms to major-use antibiotics. Environ. Toxicol. Chem. 2016, 35, 2587–2596. [Google Scholar] [CrossRef]
- Qin, L.-T.; Liu, S.-S.; Zhang, J.; Xiao, Q.-F. A novel model integrated concentration addition with independent action for the prediction of toxicity of multi-component mixture. Toxicology 2011, 280, 164–172. [Google Scholar] [CrossRef] [PubMed]
- Bliss, C.I. The toxicity of poisons applied jointly. Ann. Appl. Biol. 1939, 26, 585–615. [Google Scholar] [CrossRef]
- Belden, J.B.; Gilliom, R.J.; Lydy, M.J. How Well Can We Predict the Toxicity of Pesticide Mixtures to Aquatic Life? Integr. Environ. Assess. Manag. 2007, 3, e1–e5. [Google Scholar] [CrossRef]
- Cedergreen, N. Quantifying synergy a systematic review of mixture toxicity studies within environmental toxicology. PLoS ONE 2014, 9, e96580. [Google Scholar] [CrossRef] [PubMed]
- Bradford, M.M. A rapid and sensitive method for the quantitation of microgram quantities of protein utilizing the principle of protein-dye binding. Anal. Biochem. 1976, 72, 248–254. [Google Scholar] [CrossRef]
- Aebi, H. Catalase in vitro. Methods Enzymol. 1984, 105, 121–126. [Google Scholar] [CrossRef]
- Charles, B.; Irwin, F. Superoxide dismutase: Improved assays and an assay applicable to acrylamide gels. Anal. Biochem. 1971, 44, 276–287. [Google Scholar] [CrossRef]
- Gonzalez-Pleiter, M.; Gonzalo, S.; Rodea-Palomares, I.; Leganes, F.; Rosal, R.; Boltes, K.; Marco, E.; Fernandez-Pinas, F. Toxicity of five antibiotics and their mixtures towards photosynthetic aquatic organisms: Implications for environmental risk assessment. Water Res. 2013, 47, 2050–2064. [Google Scholar] [CrossRef]
- Wu, Y.; Wan, L.; Zhang, W.; Ding, H.; Yang, W. Resistance of cyanobacteria Microcystis aeruginosa to erythromycin with multiple exposure. Chemosphere 2020, 249, 126147. [Google Scholar] [CrossRef] [PubMed]
- Hedlund, E.; Deng, Q. Single-cell RNA sequencing: Technical advancements and biological applications. Mol. Asp. Med. 2018, 59, 36–46. [Google Scholar] [CrossRef] [PubMed]
- Cha, J.; Yang, S.; Carlson, K.H. Occurrence of β-lactam and polyether ionophore antibiotics in surface water, urban wastewater, and sediment. Geosystem Eng. 2015, 18, 140–150. [Google Scholar] [CrossRef]
- Backhaus, T. Environmental Risk Assessment of Pharmaceutical Mixtures: Demands, Gaps and Possible Bridges. AAPS J. 2009, 18, 804–813. [Google Scholar] [CrossRef] [PubMed]
- Backhaus, T.; Altenburger, R.; Boedeker, W.; Faust, M.; Scholze, M.; Grimme, L.H. Predictability of the toxicity of a multiple mixture of dissimilarly acting chemicals to Vibrio fischeri. Environ. Toxicol. Chem. 2009, 19, 2348–2356. [Google Scholar] [CrossRef]
- Magdaleno, A.; Saenz, M.E.; Juárez, A.B.; Moretton, J. Effects of six antibiotics and their binary mixtures on growth of Pseudokirchneriella subcapitata. Ecotoxicol. Environ. Saf. 2015, 113, 72–78. [Google Scholar] [CrossRef]
- Carusso, S.; Juárez, A.B.; Moretton, J.; Magdaleno, A. Effects of three veterinary antibiotics and their binary mixtures on two green alga species. Chemosphere 2018, 194, 821–827. [Google Scholar] [CrossRef]
- Białk-Bielińska, A.; Caban, M.; Pieczyńska, A.; Stepnowski, P.; Stolte, S. Mixture toxicity of six sulfonamides and their two transformation products to green algae Scenedesmus vacuolatus and duckweed Lemna minor. Chemosphere 2017, 173, 542–550. [Google Scholar] [CrossRef]
- Teixeira, J.R.; Granek, E.F. Effects of environmentally-relevant antibiotic mixtures on marine microalgal growth. Sci. Total Environ. 2017, 580, 43–49. [Google Scholar] [CrossRef] [PubMed]
- Evans, R.M.; Martin, O.V.; Faust, M.; Kortenkamp, A. Should the scope of human mixture risk assessment span legislative/regulatory silos for chemicals? Sci. Total Environ. 2016, 543, 757–764. [Google Scholar] [CrossRef] [PubMed]
- Syberg, K.; Elleby, A.; Pedersen, H.; Cedergreen, N.; Forbes, V.E. Mixture toxicity of three toxicants with similar and dissimilar modes of action to Daphnia magna. Ecotoxicol. Environ. Saf. 2008, 69, 428–436. [Google Scholar] [CrossRef] [PubMed]
- Tang, J.; Fang, J.; Tam, N.F.; Yang, Y.; Dai, Y.; Zhang, J.; Shi, Y. Impact of Phytoplankton Blooms on concentrations of antibiotics in sediment and snails in a subtropical river, China. Environ. Sci. Technol. 2021, 55, 1811–1821. [Google Scholar] [CrossRef] [PubMed]
- Zhang, M.; Steinman, A.D.; Xue, Q.; Zhao, Y.; Xu, Y.; Xie, L. Effects of erythromycin and sulfamethoxazole on Microcystis aeruginosa: Cytotoxic endpoints, production and release of microcystin-LR. J. Hazard. Mater. 2020, 399, 123021. [Google Scholar] [CrossRef] [PubMed]
- Wang, Z.; Chen, Q.; Zhang, J.; Dong, J.; Ao, Y.; Wang, M.; Wang, X. Long-term exposure to antibiotic mixtures favors microcystin synthesis and release in Microcystis aeruginosa with different morphologies. Chemosphere 2019, 235, 344–353. [Google Scholar] [CrossRef]
- Jiang, Y.; Liu, Y.; Zhang, J. Antibiotic contaminants reduced the treatment efficiency of UV-C on Microcystis aeruginosa through hormesis. Environ. Pollut. 2020, 261, 114193. [Google Scholar] [CrossRef]
- Jiang, Y.; Liu, Y.; Zhang, J. Mechanisms for the stimulatory effects of a five-component mixture of antibiotics in Microcystis aeruginosa at transcriptomic and proteomic levels. J. Hazard. Mater. 2021, 406, 124722. [Google Scholar] [CrossRef]
- Wang, Z.; Chen, Q.; Hu, L.; Wang, M. Combined effects of binary antibiotic mixture on growth, microcystin production, and extracellular release of Microcystis aeruginosa: Application of response surface methodology. Environ. Sci. Pollut. Res. 2018, 25, 736–748. [Google Scholar] [CrossRef]
- Liu, Y.; Chen, S.; Zhang, J.; Li, X.; Gao, B. Stimulation effects of ciprofloxacin and sulphamethoxazole in Microcystis aeruginosa and isobaric tag for relative and absolute quantitation-based screening of antibiotic targets. Mol. Ecol. 2017, 26, 689–701. [Google Scholar] [CrossRef]
- Xu, S.; Liu, Y.; Zhang, J.; Gao, B. Proteomic mechanisms for the combined stimulatory effects of glyphosate and antibiotic contaminants on Microcystis aeruginosa. Chemosphere 2021, 267, 129244. [Google Scholar] [CrossRef] [PubMed]
- Chaput, V.; Martin, A.; Lejay, L. Redox metabolism: The hidden player in carbon and nitrogen signaling? J. Exp. Bot. 2020, 71, 3816–3826. [Google Scholar] [CrossRef] [PubMed]
- Smith, S.R.; Dupont, C.L.; McCarthy, J.K.; Broddrick, J.T.; Oborník, M.; Horák, A.; Allen, A.E. Evolution and regulation of nitrogen flux through compartmentalized metabolic networks in a marine diatom. Nat. Commun. 2019, 10, 4552. [Google Scholar] [CrossRef]
- Cho, Y.-H.; Yoo, S.-D. Signaling Role of Fructose Mediated by FINS1/FBP in Arabidopsis thaliana. PLoS Genet. 2011, 7, e1001263. [Google Scholar] [CrossRef] [PubMed]
- Rolland, F.; Baena-Gonzalez, E.; Sheen, J. Sugar Sensing and Signaling in Plants: Conserved and Novel Mechanisms. Ann. Rev. Plant Biol. 2006, 57, 675–709. [Google Scholar] [CrossRef]
- Ende, W.V.D.; Valluru, R. Sucrose, sucrosyl oligosaccharides, and oxidative stress: Scavenging and salvaging? J. Exp. Bot. 2008, 60, 9–18. [Google Scholar] [CrossRef]
- Furlan, A.; Llanes, A.; Luna, V.; Castro, S. Physiological and Biochemical Responses to Drought Stress and Subsequent Rehydration in the Symbiotic Association Peanut-Bradyrhizobium sp. ISRN Agron. 2012, 2012, 318083. [Google Scholar] [CrossRef]
- Mortimer, M.; Kasemets, K.; Vodovnik, M.; Marinšek-Logar, R.; Kahru, A. Exposure to CuO Nanoparticles Changes the Fatty Acid Composition of Protozoa Tetrahymena thermophila. Environ. Sci. Technol. 2011, 45, 6617–6624. [Google Scholar] [CrossRef]
- Hernandez-Marin, E.; Martínez, A. Carbohydrates and Their Free Radical Scavenging Capability: A Theoretical Study. J. Phys. Chem. B 2012, 116, 9668–9675. [Google Scholar] [CrossRef]
- Li, L.; Zhang, L.; Gong, F.; Liu, J. Transcriptomic analysis of hydrogen photoproduction in Chlorella pyrenoidosa under nitrogen deprivation. Algal Res. 2020, 47, 101827. [Google Scholar] [CrossRef]
- Wang, P.; Grimm, B. Connecting chlorophyll metabolism with accumulation of the photosynthetic apparatus. Trends Plant Sci. 2021, 26, 484–495. [Google Scholar] [CrossRef]
- Fan, G.D.; Zhou, J.J.; Zheng, X.M.; Chen, W. Growth inhibition of Microcystis aeruginosa by copper-based MOFs: Performance and physiological effect on algal cells. Appl. Organomet. Chem. 2018, 32, e4600. [Google Scholar] [CrossRef]
- Li, Y.; Liu, X.; Zheng, X.; Yang, M.; Gao, X.; Huang, J.; Zhang, L.; Fan, Z. Toxic effects and mechanisms of PFOA and its substitute GenX on the photosynthesis of Chlorella pyrenoidosa. Sci. Total Environ. 2020, 765, 144431. [Google Scholar] [CrossRef] [PubMed]
- Liu, K.; Zhang, D.; Xiao, X.; Cui, L.; Zhang, H. Occurrence of quinotone antibiotics and their impacts on aquatic environment in typical riverestuary system of Jiaozhou Bay, China. Ecotoxicol. Environ. Saf. 2020, 190, 109993. [Google Scholar] [CrossRef] [PubMed]
- Moller, I.M. Plant Mitochondria and Oxidative Stress: Electron transport, NADPH turnover, and metabolism of reactive oxygen species. Ann. Rev. Plant Physiol. Plant Mol. Biol. 2001, 52, 561–591. [Google Scholar] [CrossRef] [PubMed]
- Kanerva, M.; Routti, H.; Tamuz, Y.; Nyman, M.; Nikinmaa, M. Antioxidative defense and oxidative stress in ringed seals (Pusa hispida) from differently polluted areas. Aquat. Toxicol. 2012, 114–115, 67–72. [Google Scholar] [CrossRef] [PubMed]
- Zou, W.; Zhou, Q.; Zhang, X.; Hu, X. Environmental transformations and algal toxicity of single-layer molybdenum disulfide regulated by humic acid. Environ. Sci. Technol. 2018, 52, 2638–2648. [Google Scholar] [CrossRef] [PubMed]
- Zhao, X.; Han, B.D.; Li, L.X. Function of SM protein in vesicle transport. Hereditas 2012, 34, 389. [Google Scholar] [CrossRef] [PubMed]
- Wang, T.; Li, L.; Hong, W. SNARE proteins in membrane trafficking. Traffic 2017, 18, 767–775. [Google Scholar] [CrossRef]
- Gaggar, P.; Kumar, M.; Mukhopadhyay, K. Genome-scale identification, in silico characterization and interaction study between wheat SNARE and NPSN gene families involved in vesicular transport. IEEE/ACM Trans. Comput. Biol. Bioinform. 2021, 18, 2492–2501. [Google Scholar] [CrossRef]
- Andreeva, A.V.; Kutuzov, M.A.; Evans, D.E.; Hawes, C.R. The structure and function of the Golgi apparatus: A hundred years of questions. J. Exp. Bot. 1998, 49, 1281–1291. [Google Scholar] [CrossRef]
- Saftig, P.; Klumperman, J. Lysosome biogenesis and lysosomal membrane proteins: Trafficking meets function. Nat. Rev. Mol. Cell Biol. 2009, 10, 623–635. [Google Scholar] [CrossRef] [PubMed]
- Gindhart, J.G.; Weber, K.P. Lysosome and endosome organization and transport in neurons. Encycl. Neurosci. 2009, 581–587. [Google Scholar] [CrossRef]
- Rodriguez-Concepcion, M.; Avalos, J.; Bonet, M.L.; Boronat, A.; Gomez-Gomez, L.; Hornero-Mendez, D.; Zhu, C. A global perspective on carotenoids: Metabolism, biotechnology, and benefits for nutrition and health. Prog. Lipid Res. 2018, 70, 62–93. [Google Scholar] [CrossRef] [PubMed]
- Jahns, P.; Holzwarth, A.R. The role of the xanthophyll cycle and of lutein in photoprotection of photosystem II. Biochim. Biophys. Acta 2012, 1817, 182–193. [Google Scholar] [CrossRef] [PubMed]
- Widomska, J.; Welc, R.; Gruszecki, W.I. The effect of carotenoids on the concentration of singlet oxygen in lipid membranes. Biochim. Biophys. Acta Biomembr. 2019, 1861, 845–851. [Google Scholar] [CrossRef] [PubMed]
- Britton, G.; Liaaen-Jensen, S.; Pfander, H. Carotenoids Volume 3: Biosynthesis and Metabolism; Birkhäuser: Basel, Switzerland, 1998. [Google Scholar]
- Britton, G.; Liaaen-Jensen, S.; Pfander, H. Carotenoids Volume 4: Natural Functions; Birkhäuser: Basel, Switzerland, 2008. [Google Scholar]
- Causin, H.F. The central role of amino acids on nitrogen utilization and plant growth. J. Plant Physiol. 1996, 149, 358–362. [Google Scholar]
- Kumar, A.; Bera, S. Revisiting nitrogen utilization in algae: A review on the process of regulation and assimilation. Bioresour. Technol. Rep. 2020, 12, 100584. [Google Scholar] [CrossRef]
- Martínez-Lüscher, J.; Torres, N.; Hilbert, G.; Richard, T.; Sánchez-Díaz, M.; Delrot, S.; Aguirreolea, J.; Pascual, I.; Gomès, E. Ultraviolet-B radiation modifies the quantitative and qualitative profile of flavonoids and amino acids in grape berries. Phytochemistry 1998, 102, 106–114. [Google Scholar] [CrossRef]
- Yue, M.; Li, Y.; Wang, X. Effects of enhanced ultraviolet-B radiation on plant nutrients and decomposition of spring wheat under field conditions. Environ. Exp. Bot. 1998, 40, 187–196. [Google Scholar] [CrossRef]
- Ashraf, M.; Foolad, M. Roles of glycine betaine and proline in improving plant abiotic stress resistance. Environ. Exp. Bot. 2007, 59, 206–216. [Google Scholar] [CrossRef]
- Wu, Z.; Liu, S.; Zhao, J.; Wang, F.; Du, Y.; Zou, S.; Li, H.; Wen, D.; Huang, Y. Comparative responses to silicon and selenium in relation to antioxidant enzyme system and the glutathione-ascorbate cycle in flowering Chinese cabbage (Brassica campestris L. ssp. chinensis var. utilis) under cadmium stress. Environ. Exp. Bot. 2017, 133, 1–11. [Google Scholar] [CrossRef]
- Pikula, K.S.; Zakharenko, A.M.; Chaika, V.V.; Stratidakis, A.K.; Kokkinakis, M.; Waissi, G.; Rakitskii, V.N.; Sarigiannis, D.A.; Hayes, A.W.; Coleman, M.D.; et al. Toxicity bioassay of waste cooking oil-based biodiesel on marine microalgae. Toxicol. Rep. 2019, 6, 111–117. [Google Scholar] [CrossRef]
- Wu, Y.M.; Guo, P.Y.; Zhang, X.Y.; Zhang, Y.X.; Xie, S.T.; Deng, J. Effect of microplastics exposure on the photosynthesis system of freshwater algae. J. Hazard. Mater. 2019, 374, 219–227. [Google Scholar] [CrossRef] [PubMed]
- Wan, L.; Wu, Y.; Ding, H.; Zhang, W. Toxicity, biodegradation, and metabolic fate of organophosphorus pesticide trichlorfon on the freshwater algae chlamydomonas reinhardtii. J. Agri. Food. Chem. 2020, 68, 1645–1653. [Google Scholar] [CrossRef] [PubMed]
- Gao, G.; Shi, Q.; Xu, Z.; Xu, J.; Campbell, D.A.; Wu, H. Global warming interacts with ocean acidification to alter PSII function and protection in the diatom Thalassiosira weissflogii. Environ. Exp. Bot. 2018, 147, 95–103. [Google Scholar] [CrossRef]
- Gao, G.; Xu, Z.; Shi, Q.; Wu, H. Increased CO2 exacerbates the stress of ultraviolet radiation on photosystem II function in the diatom Thalassiosira weissflogii. Environ. Exp. Bot. 2018, 156, 96–105. [Google Scholar] [CrossRef]






| Concentration (mol/L) | Growth Inhibition (%) | MDA ± Error (%) | GSH ± Error (%) | TP ± Error (%) | CAT ± Error (%) | SOD ± Error (%) | Chla ± Error (%) | Chlb ± Error (%) | Car ± Error (%) | |
|---|---|---|---|---|---|---|---|---|---|---|
| AMP | 3.46 × 10−7 | 32.57 ± 3.22 | −1.79 ± 2.90 | −3.11 ± 3.75 | 2.64 ± 3.05 | −4.79 ± 1.04 | −32.35 ± 8.82 | 71.56 ± 0.92 | 90.14 ± 4.82 | 47.32 ± 1.72 |
| CZO | 1.37 × 10−6 | 30.31 ± 4.03 | −30.55 ± 6.23 | −5.20 ± 7.14 | 36.92 ± 5.33 | −14.25 ± 1.64 | −7.46 ± 5.17 | 74.27 ± 1.46 | 37.41 ± 7.08 | 15.46 ± 4.18 |
| AMP-CZO | 1.71 × 10−6 | 38.23 ± 4.11 | −7.23 ± 5.97 | 12.26 ± 5.52 | −28.57 ± 7.80 | −35.42 ± 9.55 | −4.76 ± 8.20 | 74.40 ± 0.97 | 56.10 ± 1.16 | 50.22 ± 1.88 |
| Genes Number | GC Percentage | N50 Number | N50 Length | Max Length | Min Length | Average Length | Total Assembled Bases |
|---|---|---|---|---|---|---|---|
| 24,660 | 69.59% | 4753 bp | 1970 bp | 17,012 bp | 201 bp | 1211 bp | 29,875,478 |
| Sample | Total | Unmapped (%) | Unique-Mapped (%) | Multiple-Mapped (%) | Total-Mapped (%) |
|---|---|---|---|---|---|
| AMP-1 | 41,551,672 | 6,109,037 (14.70%) | 35,047,737 (84.35%) | 394,898 (0.95%) | 35,442,635 (85.30%) |
| AMP-2 | 35,883,734 | 5,220,400 (14.55%) | 30,321,356 (84.50%) | 341,978 (0.95%) | 30,663,334 (85.45%) |
| AMP-3 | 37,367,704 | 5,482,929 (14.67%) | 31,526,708 (84.37%) | 358,067 (0.96%) | 31,884,775 (85.33%) |
| AMP-CZO-1 | 41,117,304 | 5,948,503 (14.47%) | 34,788,501 (84.61%) | 380,300 (0.92%) | 35,168,801 (85.53%) |
| AMP-CZO-2 | 37,209,628 | 5,368,445 (14.43%) | 31,493,773 (84.64%) | 347,410 (0.93%) | 31,841,183 (85.57%) |
| AMP-CZO-3 | 54,201,918 | 7,947,135 (14.66%) | 45,745,313 (84.40%) | 509,470 (0.94%) | 46,254,783 (85.34%) |
| CK-1 | 41,323,488 | 6,088,175 (14.73%) | 34,821,109 (84.26%) | 414,204 (1.00%) | 35,235,313 (85.27%) |
| CK-2 | 39,380,936 | 5,647,707 (14.34%) | 33,342,932 (84.67%) | 390,297 (0.99%) | 33,733,229 (85.66%) |
| CK-3 | 40,895,384 | 6,079,715 (14.87%) | 34,416,111 (84.16%) | 399,558 (0.98%) | 34,815,669 (85.13%) |
| CZO-1 | 37,145,804 | 5,346,149 (14.39%) | 31,450,299 (84.67%) | 349,356 (0.94%) | 31,799,655 (85.61%) |
| CZO-2 | 36,636,374 | 5,257,166 (14.35%) | 31,032,882 (84.71%) | 346,326 (0.95%) | 31,379,208 (85.65%) |
| CZO-3 | 40,705,028 | 6,101,978 (14.99%) | 34,223,736 (84.08%) | 379,314 (0.93%) | 34,603,050 (85.01%) |
| Category | Pathway | p Value | Pathway ID | Up-Regulated Genes | Down-Regulated Genes |
|---|---|---|---|---|---|
| Control vs. AMP | |||||
| Energy metabolism | Nitrogen metabolism | 0.0080 | ko00910 | CYP55 | NR, NRT, glnA |
| Carbohydrate metabolism | Starch and sucrose metabolism | 0.0097 | ko00500 | ||
| Energy metabolism | Photosynthesis—antenna proteins | 0.016 | ko00196 | LCHA2, LCHB4 | LCHA1, LCHA4 |
| Signal transduction | Plant hormone signal transduction | 0.041 | ko04075 | IAA | PP2C |
| Control vs. CZO | |||||
| Lipid metabolism | Fatty acid elongation | 1.37 × 10−5 | ko00062 | ||
| Folding, sorting, and degradation | SNARE interactions in vesicular transport | 2.68 × 10−4 | ko04130 | SYP7, SEC22, STX5, SFT1, STX4, GOSR1, GOSR2 | |
| Membrane transport | ABC transporters | 4.46 × 10−4 | ko02010 | ABCG2, ABCG12, ABCG22, ABCC2 | |
| Lipid metabolism | Cutin, suberine, and wax biosynthesis | 6.83 × 10−4 | ko00073 | CYP94A5, FAR | |
| Environmental adaptation | Plant–pathogen interaction | 0.00121 | ko04626 | KCS1, KSC2, KCS3, KCS4, KCS5, KCS6, KCS7, KCS8, KCS9, KCS10 | |
| Signal transduction | MAPK signaling pathway—plant | 0.00125 | ko04016 | ||
| Carbohydrate metabolism | Starch and sucrose metabolism | 0.0117 | ko00500 | ||
| Replication and repair | DNA replication | 0.0165 | ko03030 | ||
| Carbohydrate metabolism | Ascorbate and aldarate metabolism | 0.0235 | ko00053 | ||
| Glycan biosynthesis and metabolism | Other types of O-glycan biosynthesis | 0.0312 | ko00514 | ||
| Transport and catabolism | Peroxisome | 0.0376 | ko04146 | GPX1, sodA | |
| Biosynthesis of other secondary metabolites | Anthocyanin biosynthesis | 0.0415 | ko00942 | ||
| Metabolism of terpenoids and polyketides | Carotenoid biosynthesis | 0.0461 | ko00906 | LCY1 | |
| Control vs. AMP-CZO | |||||
| Lipid metabolism | Fatty acid elongation | 6.97 × 10−7 | ko00062 | ||
| Environmental adaptation | Plant–pathogen interaction | 1.35 × 10−4 | ko04626 | ||
| Membrane transport | ABC transporters | 5.01 × 10−4 | ko02010 | ABCC2 | ABCG52, Abcg2, ABCG22, |
| Carbohydrate metabolism | Glycolysis/Gluconeogenesis | 0.0018 | ko00010 | ||
| Global and overview maps | Metabolic pathways | 0.0018 | ko01100 | LHCA4, PSAK, PSAE | |
| Replication and repair | DNA replication | 0.0054 | ko03030 | ||
| Replication and repair | Base excision repair | 0.0057 | ko03410 | ||
| Global and overview maps | Biosynthesis of secondary metabolites | 0.0099 | ko01110 | Prp4, got1, asp5, glt1, E2.6.1.42 | |
| Amino acid metabolism | Cysteine and methionine metabolism | 0.0115 | ko00270 | ||
| Carbohydrate metabolism | Ascorbate and aldarate metabolism | 0.0203 | ko00053 | ||
| Biosynthesis of other secondary metabolites | Anthocyanin biosynthesis | 0.0229 | ko00942 | ||
| Lipid metabolism | Cutin, suberine, and wax biosynthesis | 0.0230 | ko00073 | ||
| Amino acid metabolism | Lysine degradation | 0.0388 | ko00310 | ||
| Carbohydrate metabolism | Fructose and mannose metabolism | 0.0391 | ko00051 | ||
Disclaimer/Publisher’s Note: The statements, opinions and data contained in all publications are solely those of the individual author(s) and contributor(s) and not of MDPI and/or the editor(s). MDPI and/or the editor(s) disclaim responsibility for any injury to people or property resulting from any ideas, methods, instructions or products referred to in the content. |
© 2024 by the authors. Licensee MDPI, Basel, Switzerland. This article is an open access article distributed under the terms and conditions of the Creative Commons Attribution (CC BY) license (https://creativecommons.org/licenses/by/4.0/).
Share and Cite
Huang, F.-L.; Qin, L.-T.; Mo, L.-Y.; Zeng, H.-H.; Liang, Y.-P. Mechanism of the Synergistic Toxicity of Ampicillin and Cefazoline on Selenastrum capricornutum. Toxics 2024, 12, 217. https://doi.org/10.3390/toxics12030217
Huang F-L, Qin L-T, Mo L-Y, Zeng H-H, Liang Y-P. Mechanism of the Synergistic Toxicity of Ampicillin and Cefazoline on Selenastrum capricornutum. Toxics. 2024; 12(3):217. https://doi.org/10.3390/toxics12030217
Chicago/Turabian StyleHuang, Feng-Ling, Li-Tang Qin, Ling-Yun Mo, Hong-Hu Zeng, and Yan-Peng Liang. 2024. "Mechanism of the Synergistic Toxicity of Ampicillin and Cefazoline on Selenastrum capricornutum" Toxics 12, no. 3: 217. https://doi.org/10.3390/toxics12030217
APA StyleHuang, F.-L., Qin, L.-T., Mo, L.-Y., Zeng, H.-H., & Liang, Y.-P. (2024). Mechanism of the Synergistic Toxicity of Ampicillin and Cefazoline on Selenastrum capricornutum. Toxics, 12(3), 217. https://doi.org/10.3390/toxics12030217

