Historical Occurrence and Composition of Novel Brominated Flame Retardants and Dechlorane Plus in Sediments from an Electronic Waste Recycling Site in South China
Abstract
1. Introduction
2. Material and Methods
2.1. Study Region and Sample Collection
2.2. Sample Preparation and Instrumental Analysis
2.3. Quality Assurance and Quality Control (QA/QC)
2.4. Statistical Analysis
3. Results and Discussion
3.1. Contamination Levels of NBFRs and DPs in Sediment Cores
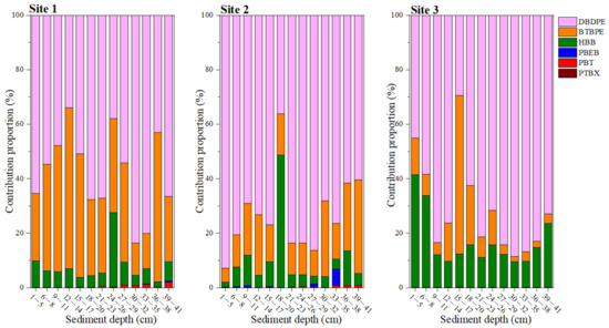
3.2. Composition Profiles of NBFRs and DP in Sediment Cores
3.3. Environmental Burdens of NBFRs and DP
4. Conclusions
Author Contributions
Funding
Institutional Review Board Statement
Data Availability Statement
Conflicts of Interest
References
- Hou, R.; Lin, L.; Li, H.; Liu, S.; Xu, X.; Xu, Y.; Jin, X.; Yuan, Y.; Wang, Z. Occurrence, bioaccumulation, fate, and risk assessment of novel brominated flame retardants (NBFRs) in aquatic environments—A critical review. Water Res. 2021, 198, 117168. [Google Scholar] [CrossRef]
- Xiong, P.; Yan, X.; Zhu, Q.; Qu, G.; Shi, J.; Liao, C.; Jiang, G. A Review of Environmental Occurrence, Fate, and Toxicity of Novel Brominated Flame Retardants. Environ. Sci. Technol. 2019, 53, 13551–13569. [Google Scholar] [CrossRef] [PubMed]
- Zuiderveen, E.A.R.; Slootweg, J.C.; de Boer, J. Novel brominated flame retardants—A review of their occurrence in indoor air, dust, consumer goods and food. Chemosphere 2020, 255, 126816. [Google Scholar] [CrossRef]
- Wang, P.; Zhang, Q.; Zhang, H.; Wang, T.; Sun, H.; Zheng, S.; Li, Y.; Liang, Y.; Jiang, G. Sources and environmental behaviors of Dechlorane Plus and related compounds—A review. Environ. Int. 2016, 88, 206–220. [Google Scholar] [CrossRef] [PubMed]
- Li, X.; Wu, Y.; Tan, Z. An overview on bioremediation technologies for soil pollution in E-waste dismantling areas. J. Environ. Chem. Eng. 2022, 10, 107839. [Google Scholar] [CrossRef]
- Cai, K.; Song, Q.; Yuan, W.; Ruan, J.; Duan, H.; Li, Y.; Li, J. Human exposure to PBDEs in e-waste areas: A review. Environ. Pollut. 2020, 267, 115634. [Google Scholar] [CrossRef] [PubMed]
- Luo, K.; Qiao, Z.; Liang, W.; Lu, C.; Fu, M.; Zhou, S.; Han, Y.; Peng, C.; Zhang, W. Contamination characteristics and potential health risk of brominated flame retardants in paddy soils and rice plants around a typical e-waste recycling site in south China. Environ. Pollut. 2023, 334, 122160. [Google Scholar] [CrossRef]
- Ling, S.; Lu, C.; Peng, C.; Zhang, W.; Lin, K.; Zhou, B. Characteristics of legacy and novel brominated flame retardants in water and sediment surrounding two e-waste dismantling regions in Taizhou, eastern China. Sci. Total Environ. 2021, 794, 148744. [Google Scholar] [CrossRef]
- Ling, S.; Zhou, S.; Tan, J.; Lu, C.; Fu, M.; Peng, C.; Zhang, W.; Hu, S.; Lin, K.; Zhou, B. Brominated flame retardants (BFRs) in sediment from a typical e-waste dismantling region in Southern China: Occurrence, spatial distribution, composition profiles, and ecological risks. Sci. Total Environ. 2022, 824, 153813. [Google Scholar] [CrossRef]
- Wu, J.P.; Feng, W.L.; Tao, L.; Li, X.; Nie, Y.T.; Xu, Y.C.; Zeng, Y.H.; Luo, X.J.; Mai, B.X. Halogenated flame retardants in wild, prey-sized mud carp from an e-waste recycling site in South China, 2006–2016: Residue dynamics and ecological risk assessment. Environ. Pollut. 2021, 291, 118270. [Google Scholar] [CrossRef]
- Li, H.; La Guardia, M.J.; Liu, H.; Hale, R.C.; Mainor, T.M.; Harvey, E.; Sheng, G.; Fu, J.; Peng, P. Brominated and organophosphate flame retardants along a sediment transect encompassing the Guiyu, China e-waste recycling zone. Sci. Total Environ. 2019, 646, 58–67. [Google Scholar] [CrossRef] [PubMed]
- Zapata-Corella, P.; Ren, Z.H.; Liu, Y.E.; Rigol, A.; Lacorte, S.; Luo, X.J. Presence of novel and legacy flame retardants and other pollutants in an e-waste site in China and associated risks. Environ. Res. 2023, 216, 114768. [Google Scholar] [CrossRef]
- Wang, N.; Lai, C.; Xu, F.; Huang, D.; Zhang, M.; Zhou, X.; Xu, M.; Li, Y.; Li, L.; Liu, S.; et al. A review of polybrominated diphenyl ethers and novel brominated flame retardants in Chinese aquatic environment: Source, occurrence, distribution, and ecological risk assessment. Sci. Total Environ. 2023, 904, 166180. [Google Scholar] [CrossRef] [PubMed]
- Chen, D.; Hale, R.C.; Letcher, R.J. Photochemical and Microbial Transformation of Emerging Flame Retardants: Cause for Concern? Environ. Toxicol. Chem. 2015, 34, 687–699. [Google Scholar] [CrossRef]
- Hu, Y.; Li, Z.; Xiong, J.; Zhang, Z.; Yuan, J.; Tang, Y.; Jin, T.; Li, H.; Wu, S. Occurrence and ecological risks of brominated flame retardants and dechlorane plus in sediments from the Pearl River Estuary and Daya Bay, South China. Mar. Pollut. Bull. 2022, 185, 114182. [Google Scholar] [CrossRef]
- Carr, B.; Masque, P.; Alonso-Hernandez, C.M.; Huertas, D.; Bersuder, P.; Tolosa, I. Trends of legacy and emerging organic contaminants in a sediment core from Cienfuegos Bay, Cuba, from 1990 to 2015. Chemosphere 2023, 328, 138571. [Google Scholar] [CrossRef] [PubMed]
- Zeng, Y.H.; Tang, B.; Luo, X.J.; Zheng, X.B.; Peng, P.A.; Mai, B.X. Organohalogen pollutants in surface particulates from workshop floors of four major e-waste recycling sites in China and implications for emission lists. Sci. Total Environ. 2016, 569, 982–989. [Google Scholar] [CrossRef]
- Huang, C.; Zeng, Y.; Luo, X.; Ren, Z.; Tang, B.; Lu, Q.; Gao, S.; Wang, S.; Mai, B. In Situ Microbial Degradation of PBDEs in Sediments from an E-Waste Site as Revealed by Positive Matrix Factorization and Compound-Specific Stable Carbon Isotope Analysis. Environ. Sci. Technol. 2019, 53, 1928–1936. [Google Scholar] [CrossRef]
- Huang, C.C.; Zeng, Y.H.; Luo, X.J.; Tang, B.; Liu, Y.E.; Ren, Z.H.; Mai, B.X. Level changes and human dietary exposure assessment of halogenated flame retardant levels in free-range chicken eggs: A case study of a former e-waste recycling site, South China. Sci. Total Environ. 2018, 634, 509–515. [Google Scholar] [CrossRef]
- Li, N.; Chen, X.W.; Deng, W.J.; Giesy, J.P.; Zheng, H.L. PBDEs and Dechlorane Plus in the environment of Guiyu, Southeast China: A historical location for E-waste recycling (2004, 2014). Chemosphere 2018, 199, 603–611. [Google Scholar] [CrossRef]
- Zhou, S.; Fu, J.; He, H.; Fu, J.; Tang, Q.; Dong, M.; Pan, Y.; Li, A.; Liu, W.; Zhang, L. Spatial distribution and implications to sources of halogenated flame retardants in riverine sediments of Taizhou, an intense e-waste recycling area in eastern China. Chemosphere 2017, 184, 1202–1208. [Google Scholar] [CrossRef]
- Matsukami, H.; Suzuki, G.; Someya, M.; Uchida, N.; Nguyen Minh, T.; Le Huu, T.; Pham Hung, V.; Takahashi, S.; Tanabe, S.; Takigami, H. Concentrations of polybrominated diphenyl ethers and alternative flame retardants in surface soils and river sediments from an electronic waste-processing area in northern Vietnam, 2012–2014. Chemosphere 2017, 167, 291–299. [Google Scholar] [CrossRef] [PubMed]
- Lee, H.K.; Bak, G.; Lim, J.E.; Lee, J.W.; Lee, S.; Moon, H.B. Historical record of legacy and alternative halogenated flame retardants in dated sediment from a highly industrialized saltwater lake in Korea. Chemosphere 2022, 297, 134264. [Google Scholar] [CrossRef] [PubMed]
- Zhu, B.; Lam, J.C.W.; Lam, P.K.S. Halogenated flame retardants (HFRs) in surface sediment from the Pearl River Delta region and Mirs Bay, South China. Mar. Pollut. Bull. 2018, 129, 899–904. [Google Scholar] [CrossRef] [PubMed]
- Liu, Y.; Luo, X.J.; Huang, L.Q.; Tao, L.; Zeng, Y.H.; Mai, B.X. Halogenated organic pollutants in aquatic, amphibious, and terrestrial organisms from an e-waste site: Habitat-dependent accumulation and maternal transfer in watersnake. Environ. Pollut. 2018, 241, 1063–1070. [Google Scholar] [CrossRef]
- Tao, L.; Zhang, Y.; Wu, J.P.; Wu, S.K.; Liu, Y.; Zeng, Y.H.; Luo, X.J.; Mai, B.X. Biomagnification of PBDEs and alternative brominated flame retardants in a predatory fish: Using fatty acid signature as a primer. Environ. Int. 2019, 127, 226–232. [Google Scholar] [CrossRef]
- Liu, Y.; Luo, X.J.; Huang, L.Q.; Yu, L.H.; Mai, B.X. Bioaccumulation of Persistent Halogenated Organic Pollutants in Insects: Common Alterations to the Pollutant Pattern for Different Insects during Metamorphosis. Environ. Sci. Technol. 2018, 52, 5145–5153. [Google Scholar] [CrossRef]
- Qiao, L.; Zheng, X.B.; Zheng, J.; Chen, S.J.; Zhong, C.Q.; Chen, J.H.; Yang, Z.Y.; Mai, B.X. Legacy and Currently Used Organic Contaminants in Human Hair and Hand Wipes of Female E-Waste Dismantling Workers and Workplace Dust in South China. Environ. Sci. Technol. 2019, 53, 2820–2829. [Google Scholar] [CrossRef]
- Forti, V.; Baldé, C.P.; Kuehr, R.; Bel, G. The Global E-Waste Monitor 2020: Quantities, Flows and the Circular Economy Potential. 2020. Available online: https://ewastemonitor.info/wp-content/uploads/2020/11/GEM_2020_def_july1_low.pdf (accessed on 4 December 2023).
- Iqbal, M.; Breivik, K.; Syed, J.H.; Malik, R.N.; Li, J.; Zhang, G.; Jones, K.C. Emerging issue of e-waste in Pakistan: A review of status, research needs and data gaps. Environ. Pollut. 2015, 207, 308–318. [Google Scholar] [CrossRef]
- Xie, J.; Zhang, G.; Wu, Q.; Luo, M.; Chen, D.; Zhang, Y.; He, L.; Li, Y.; Zhang, Q.; Lin, T.; et al. First evidence and potential sources of novel brominated flame retardants and BDE 209 in the deepest ocean. J. Hazard. Mater. 2023, 448, 130974. [Google Scholar] [CrossRef]
- Hong, B.; Wu, T.; Zhao, G.; Sun, Y.; Wang, X.; Zhao, J.; Yi, Z.; Wu, X.; Mai, B. Occurrence of Decabromodiphenyl Ethane in Captive Chinese Alligators (Alligator sinensis) from China. Bull. Environ. Contam. Toxicol. 2015, 94, 12–16. [Google Scholar] [CrossRef] [PubMed]
- de Jourdan, B.P.; Hanson, M.L.; Muir, D.C.G.; Solomon, K.R. Environmental fate of three novel brominated flame retardants in aquatic mesocosms. Environ. Toxicol. Chem. 2013, 32, 1060–1068. [Google Scholar] [CrossRef]
- Wang, Z.; Fu, Z.; Yu, Q.; Chen, J. Oxidation reactivity of 1,2-bis(2,4,6-tribromophenoxy)ethane (BTBPE) by Compound I model of cytochrome P450s. J. Environ. Sci. 2017, 62, 11–21. [Google Scholar] [CrossRef]
- Covaci, A.; Harrad, S.; Abdallah, M.A.E.; Ali, N.; Law, R.J.; Herzke, D.; de Wit, C.A. Novel brominated flame retardants: A review of their analysis, environmental fate and behaviour. Environ. Int. 2011, 37, 532–556. [Google Scholar] [CrossRef]
- Arp, H.P.H.; Moskeland, T.; Andersson, P.L.; Nyholm, J.R. Presence and partitioning properties of the flame retardants pentabromotoluene, pentabromoethylbenzene and hexabromobenzene near suspected source zones in Norway. J. Environ. Monit. 2011, 13, 505–513. [Google Scholar] [CrossRef] [PubMed]
- Zhen, X.; Tang, J.; Xie, Z.; Wang, R.; Huang, G.; Zheng, Q.; Zhang, K.; Sun, Y.; Tian, C.; Pan, X.; et al. Polybrominated diphenyl ethers (PBDEs) and alternative brominated flame retardants (aBFRs) in sediments from four bays of the Yellow Sea, North China. Environ. Pollut. 2016, 213, 386–394. [Google Scholar] [CrossRef] [PubMed]
- Lee, H.K.; Lee, S.; Lim, J.E.; Moon, H.B. Legacy and novel flame retardants in water and sediment from highly industrialized bays of Korea: Occurrence, source tracking, decadal time trend, and ecological risks. Mar. Pollut. Bull. 2020, 160, 111639. [Google Scholar] [CrossRef]
- Ji, X.; Xie, X.; Ding, J.; Cheng, Y.; He, H.; Huang, Y.; Qin, L.; Zhu, H.; Zhao, C.; Li, A.; et al. Chlorinated flame retardant Dechlorane Plus: Environmental pollution in China. Environ. Rev. 2018, 26, 273–285. [Google Scholar] [CrossRef]
- Qi, H.; Liu, L.Y.; Jia, H.L.; Li, Y.F.; Ren, N.Q.; You, H.; Shi, X.Y.; Fan, L.L.; Ding, Y.S. Dechlorane plus in surficial water and sediment in a northeastern Chinese river. Environ. Sci. Technol. 2010, 44, 2305–2308. [Google Scholar] [CrossRef]
- Li, H.; Song, A.; Liu, H.; Li, Y.; Liu, M.; Sheng, G.; Peng, P.a.; Ying, G. Occurrence of Dechlorane series flame retardants in sediments from the Pearl River Delta, South China. Environ. Pollut. 2021, 279, 116902. [Google Scholar] [CrossRef]
- Yu, D.; Yang, J.; Li, T.; Feng, J.; Xian, Q.; Zhu, J. Levels and distribution of Dechloranes in sediments of Lake Taihu, China. Environ. Sci. Pollut. Res. 2015, 22, 6601–6609. [Google Scholar] [CrossRef] [PubMed]
- Sun, J.; Zhang, A.; Fang, L.; Wang, J.; Liu, W. Levels and distribution of Dechlorane Plus and related compounds in surficial sediments of the Qiantang River in eastern China: The results of urbanization and tide. Sci. Total Environ. 2013, 443, 194–199. [Google Scholar] [CrossRef] [PubMed]
- Zhang, Z.W.; Sun, Y.X.; Sun, K.F.; Xu, X.R.; Yu, S.; Zheng, T.L.; Luo, X.J.; Tian, Y.; Hu, Y.X.; Diao, Z.H.; et al. Brominated flame retardants in mangrove sediments of the Pearl River Estuary, South China: Spatial distribution, temporal trend and mass inventory. Chemosphere 2015, 123, 26–32. [Google Scholar] [CrossRef] [PubMed]




| Sediment Core 1 | Sediment Core 2 | Sediment Core 3 | |||||||
|---|---|---|---|---|---|---|---|---|---|
| DF | Range | AV ± SD | DF | Range | AV ± SD | DF | Range | AV ± SD | |
| pTBX | 23% | n.d. a~3.24 | 0.59 ± 1.15 | 23% | n.d.~5.6 | 0.79 ± 1.69 | 62% | 0~32.9 | 4.06 ± 8.89 |
| PBT | 100% | 0.03~8.07 | 1.18 ± 2.25 | 100% | 0.04~9.62 | 1.64 ± 3.03 | 100% | 0.29~64.0 | 16.4 ± 24.2 |
| PBEB | 23% | n.d.~0.03 | 0 ± 0.01 | 46% | n.d.~89.5 | 14.4 ± 29.3 | 0% | n.d. | n.d. |
| HBB | 100% | 0.35~1202 | 184 ± 371 | 100% | 0.41~1135 | 239 ± 416 | 100% | 73.9~39,130 | 7764 ± 13,604 |
| BTBPE | 100% | 0.93~4750 | 886 ± 1523 | 100% | 1.44~3087 | 520 ± 944 | 100% | 17.7~12,678 | 3450 ± 4229 |
| DBDPE | 100% | 4.41~8014 | 1383 ± 2719 | 100% | 7.58~56,947 | 5855 ± 15,724 | 100% | 664~128,990 | 22,136 ± 37,000 |
| ∑6NBFRs | 100% | 5.71~13,977 | 2455 ± 4617 | 100% | 9.47~61,273 | 6631 ± 17,118 | 100% | 756~180,895 | 33,371 ± 54,866 |
| syn-DP | 100% | 1.16~3880 | 957 ± 1400 | 100% | 1.8~1882 | 418 ± 654 | 100% | 69.6~24,386 | 4912 ± 8262 |
| anti-DP | 100% | 3.74~14,179 | 3520 ± 5140 | 100% | 6.6~6800 | 1463 ± 2317 | 100% | 228~84,979 | 17,704 ± 29,573 |
| anti-Cl10-DP | 69% | n.d.~2.56 | 0.63 ± 0.94 | 62% | n.d.~4.29 | 0.63 ± 1.24 | 62% | 0.01~22.6 | 5.01 ± 7.79 |
| anti-Cl11-DP | 100% | 0.02~111 | 27.6 ± 41.6 | 100% | n.d.~92.1 | 17.26 ± 28.6 | 100% | 1.63~459 | 111 ± 159 |
| ∑4DP | 100% | 4.95~18,169 | 4506 ± 6582 | 100% | 8.4~8779 | 1899 ± 3001 | 100% | 299~109,847 | 22,732 ± 37,997 |
Disclaimer/Publisher’s Note: The statements, opinions and data contained in all publications are solely those of the individual author(s) and contributor(s) and not of MDPI and/or the editor(s). MDPI and/or the editor(s) disclaim responsibility for any injury to people or property resulting from any ideas, methods, instructions or products referred to in the content. |
© 2024 by the authors. Licensee MDPI, Basel, Switzerland. This article is an open access article distributed under the terms and conditions of the Creative Commons Attribution (CC BY) license (https://creativecommons.org/licenses/by/4.0/).
Share and Cite
Huang, C.; Zeng, Y.; Liu, Y.-E.; Zhang, Y.; Guo, J.; Luo, X.; Mai, B. Historical Occurrence and Composition of Novel Brominated Flame Retardants and Dechlorane Plus in Sediments from an Electronic Waste Recycling Site in South China. Toxics 2024, 12, 84. https://doi.org/10.3390/toxics12010084
Huang C, Zeng Y, Liu Y-E, Zhang Y, Guo J, Luo X, Mai B. Historical Occurrence and Composition of Novel Brominated Flame Retardants and Dechlorane Plus in Sediments from an Electronic Waste Recycling Site in South China. Toxics. 2024; 12(1):84. https://doi.org/10.3390/toxics12010084
Chicago/Turabian StyleHuang, Chenchen, Yanhong Zeng, Yin-E Liu, Yanting Zhang, Jian Guo, Xiaojun Luo, and Bixian Mai. 2024. "Historical Occurrence and Composition of Novel Brominated Flame Retardants and Dechlorane Plus in Sediments from an Electronic Waste Recycling Site in South China" Toxics 12, no. 1: 84. https://doi.org/10.3390/toxics12010084
APA StyleHuang, C., Zeng, Y., Liu, Y.-E., Zhang, Y., Guo, J., Luo, X., & Mai, B. (2024). Historical Occurrence and Composition of Novel Brominated Flame Retardants and Dechlorane Plus in Sediments from an Electronic Waste Recycling Site in South China. Toxics, 12(1), 84. https://doi.org/10.3390/toxics12010084
