Water Quality Index and Human Health Risk Assessment of Drinking Water in Selected Urban Areas of a Mega City
Abstract
1. Introduction
2. Materials and Methods
2.1. Physico-Chemical and Biological Parameter Analysis
2.2. Water Quality Index
2.3. Human Health Risk Assessment
2.3.1. Hazard Quotient
2.3.2. Hazard Index
2.3.3. Carcinogenic Risk
2.4. Statistical Analysis
3. Results and Discussion
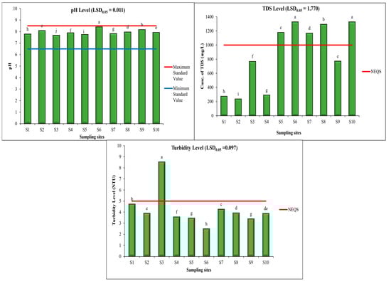
3.1. Physical Parameters
3.2. Chemical Parameters
3.3. Biological Parameters
3.4. Heavy Metal: Arsenic
3.5. Water Quality Index
3.6. Human Health Risk Assessment
3.6.1. Chronic Risk
3.6.2. Carcinogenic Risk Assessment
4. Conclusions
Author Contributions
Funding
Institutional Review Board Statement
Informed Consent Statement
Data Availability Statement
Acknowledgments
Conflicts of Interest
References
- Wetzel, G.W. Limnology: Lake and River Ecosystems, 3rd ed.; Academic Press: New York, NY, USA, 2001; pp. 15–42. [Google Scholar]
- Jackson, R.B.; Carpenter, S.R.; Dahm, C.N.; McKnight, D.M.; Naiman, R.J.; Postel, S.L.; Running, S.W. Water in a changing world. Ecol. Appl. 2001, 11, 1027–1045. [Google Scholar] [CrossRef]
- Irshad, M.A.; Nawaz, R.; Wojciechowska, E.; Mohsin, M.; Nawrot, N.; Nasim, I.; Hussain, F. Application of Nanomaterials for Cadmium Adsorption for Sustainable Treatment of Wastewater: A Review. Water Air Soil Pollut. 2023, 234, 54. [Google Scholar] [CrossRef]
- Irshad, M.A.; Humayoun, M.A.; Al-Hussain, S.A.; Nawaz, R.; Arshad, M.; Irfan, A.; Zaki, M.E.A. Green and Eco-Friendly Treatment of Textile Wastewater by Using Azadirachta indica Leaf Extract Combined with a Silver Nitrate Solution. Sustainability 2023, 15, 81. [Google Scholar] [CrossRef]
- Irshad, M.A.; Ali, B.; Irfan, A.; Al-Hussain, S.A.; Nawaz, R.; Nasim, I.; Latif, M.; Zaki, M.E.A. Sustainable and Safe Treatment of Wastewater of Paint Industry Using Azadarachta indica Leaf Extract Combined with Silver Nitrate Solution. Sustainability 2023, 15, 3592. [Google Scholar] [CrossRef]
- Arain, M.B.; Ullah, I.; Niaz, A.; Shah, N.; Shah, A.; Hussain, Z.; Kazi, T.G. Evaluation of water quality parameters in drinking water of district Bannu Pakistan Multivariate study. Sustain. Water Qual. Ecol. 2014, 3, 114–123. [Google Scholar]
- Mian, I.A.; Begum, S.; Riaz, M.; Ridealgh, M.; McClean, C.J.; Cresser, M.S. Spatial and temporal trends in nitrate concentrations in the River Derwent, North Yorkshire and its need for NVZ status. Sci. Total Environ. 2010, 408, 702–712. [Google Scholar] [CrossRef]
- Irshad, M.; Shakoor, M.; Nawaz, R.; Yasmeen, T.; Arif, M.; Rizwan, M.; Rehman, M.; Ahmad, S.; Latif, M.; Nasim, I.; et al. Green and eco-friendly synthesis of TiO2 nanoparticles and their application for removal of cadmium from wastewater: Reaction kinetics study. Z. Phys. Chem. 2022, 236, 637–657. [Google Scholar] [CrossRef]
- Irshad, M.A.; Nawaz, R.; Rehman, M.Z.; Adrees, M.; Rizwan, M.; Ali, S.; Ahmad, S.; Tasleem, S. Synthesis, characterization and advanced sustainable applications of titanium dioxide nanoparticles: A review. Ecotoxicol. Environ. Saf. 2021, 212, 111978. [Google Scholar] [CrossRef]
- Irshad, M.A.; Shakoor, M.B.; Ali, S.; Nawaz, R.; Rizwan, M. Synthesis and Application of Titanium Dioxide Nanoparticles for Removal of Cadmium from Wastewater: Kinetic and Equilibrium Study. Water Air Soil Pollut. 2019, 230, 278. [Google Scholar] [CrossRef]
- Mohsin, M.; Safdar, S.; Asghar, F.; Jamal, F. Assessment of drinking water quality and its impact on resident’s health in Bahawalpur City. Int. J. Human Soc. Sci. 2013, 3, 114–128. [Google Scholar]
- Jabeen, A.; Huang, X.; Aamir, M. The Challenges of Water Pollution, Threat to Public Health Flaws of Water Laws and Policies in Pakistan. J. Water Resour. Prot. 2015, 7, 1516. [Google Scholar] [CrossRef]
- Daud, M.K.; Nafees, M.; Ali, S.; Rizwan, M.; Bajwa, R.A.; Shakoor, M.B.; Malook, I. Drinking Water Quality Status and Contamination in Pakistan. BioMed Res. Int. 2017, 7, 191–215. [Google Scholar] [CrossRef] [PubMed]
- Ghssein, G.; Salami, A.; Salloum, L.; Chedid, P.; Joumaa, W.H.; Fakih, H. Surveillance study of acute gastroenteritis etiologies in hospitalized children in south Lebanon (SAGE study). Pediatr. Gastroenterol. Hepatol. Nutr. 2018, 21, 176–183. [Google Scholar] [CrossRef] [PubMed]
- Salami, A.; Fakih, H.; Chakkour, M.; Salloum, L.; Bahmad, H.F.; Ghssein, G. Prevalence, risk factors and seasonal variations of different Enteropathogens in Lebanese hospitalized children with acute gastroenteritis. BMC Pediatr. 2019, 19, 137. [Google Scholar] [CrossRef]
- Ibrahim, J.N.; Eghnatios, E.; El Roz, A.; Fardoun, T.; Ghssein, G. Prevalence, antimicrobial resistance and risk factors for campylobacteriosis in Lebanon. J. Infect. Dev. Ctries. 2019, 13, 11–20. [Google Scholar] [CrossRef] [PubMed]
- Ghssein, G.; Awada, R.; Salami, A.; Bahmad, H.F.; Awad, A.; Joumaa, W.H.; El Roz, A. Prevalence, laboratory findings and clinical characteristics of campylobacteriosis agents among hospitalized children with acute gastroenteritis in Lebanon. Pediatr. Gastroenterol. Hepatol. Nutr. 2021, 24, 346. [Google Scholar] [CrossRef]
- Zaraket, R.; Salami, A.; Bahmad, M.; El Roz, A.; Khalaf, B.; Ghssein, G.; Bahmad, H.F. Prevalence, risk factors, and clinical characteristics of rotavirus and adenovirus among Lebanese hospitalized children with acute gastroenteritis. Heliyon 2020, 6, e04248. [Google Scholar] [CrossRef]
- United Nations Sustainable Development Goals Report. Meeting Drinking Water, Sanitation and Hygiene Targets by 2030 Will Require a Fourfold Increase in the Pace of Progress. 2022. Available online: https://unstats.un.org/sdgs/report/2022/goal-06/ (accessed on 6 July 2017).
- Aziz, J.A. Management of source and drinking-water quality in Pakistan. EMHJ-East. Mediterr. Health J. 2005, 11, 1087–1098. [Google Scholar]
- Andrews. Potential Sources of Water Contamination. 2015. Available online: http://www.open.edu/openlearncreate/mod/oucontent/view.php?id=80588&extra=thumbnail_idp2965248 (accessed on 9 August 2016).
- Ullah, R.; Malik, R.N.; Qadir, A. Assessment of groundwater contamination in an industrial city Sialkot Pakistan. Afr. J. Environ. Sci. Technol. 2009, 3, 120–127. [Google Scholar]
- Fida, M.; Li, P.; Wang, Y.; Alam, S.K.; Nsabimana, A. Water contamination and human health risks in Pakistan: A review. Expo. Health 2022, 1–21. [Google Scholar] [CrossRef]
- Wimalawansa, S.J. The role of ions, heavy metals, fluoride, and agrochemicals: Critical evaluation of potential aetiological factors of chronic kidney disease of multifactorial origin (CKDmfo/CKDu) and recommendations for its eradication. Environ. Geochem. Health 2016, 38, 639–678. [Google Scholar] [CrossRef] [PubMed]
- Wasana, H.; Perera, G.D.; Gunawardena, P.D.S.; Fernando, P.S.; Bandara, J. WHO water quality standards vs. Synergic effect (s) of fluoride, heavy metals and hardness in drinking water on kidney tissues. Sci. Rep. 2017, 7, 42516. [Google Scholar] [CrossRef] [PubMed]
- Ghssein, G.; Ezzeddine, Z. A review of Pseudomonas aeruginosa metallophores: Pyoverdine, pyochelin and pseudopaline. Biology 2022, 11, 1711. [Google Scholar] [CrossRef] [PubMed]
- Ghssein, G.; Ezzeddine, Z. The Key Element Role of Metallophores in the Pathogenicity and Virulence of Staphylococcus aureus: A Review. Biology 2022, 11, 1525. [Google Scholar] [CrossRef] [PubMed]
- Rasool, A.; Xiao, T.; Farooqi, A.; Shafeeque, M.; Liu, Y. Quality of tube well water intended for irrigation and human consumption with special emphasis on arsenic contamination at the area of Punjab, Pakistan. Environ. Geochem. Health 2017, 39, 847–863. [Google Scholar] [CrossRef] [PubMed]
- Kazi, T.G.; Arain, M.B.; Baig, J.A.; Jamali, M.K.; Afridi, H.I.; Jalbani, N.; Niaz, A. The correlation of arsenic levels in drinking water with the biological samples of skin disorders. Sci. Total Environ. 2009, 407, 1019–1026. [Google Scholar] [CrossRef] [PubMed]
- Hamid, A.; Yaqub, G.; Sadiq, Z.; Tahir, A.; ul Ain, N. Intensive report on total analysis of drinking water quality in Lahore. Int. J. Environ. Sci. 2013, 3, 2161. [Google Scholar]
- Anwar, M.S.; Lateef, S.; Siddiqi, G.M. Bacteriological quality of drinking water in Lahore. Biomedica 2010, 26, 66–69. [Google Scholar]
- Arkoç, O. Application of water quality index with the aid of geographic information system in eastern thrace to assess groundwater quality. Jeol. Mühendisliği Derg. 2016, 40, 189–208. [Google Scholar]
- Imtiaz, F.; Ahmad, I.; Ahmad, S.R. Gis based evaluation of groundwater quality of western lahore using water quality index. Pak. J. Agric. Sci. 2018, 55, 653–665. [Google Scholar]
- World Health Organization. Guidelines for Drinking Water Quality; WHO Press: Geneva, Switzerland, 1984. [Google Scholar]
- Shah, S.I.H.; Ahmed, A.; Nawaz, R. Analysis of land use change and population growth using geospatial techniques in Lahore-Pakistan. Pak. J. Sci. 2021, 73, 490–500. [Google Scholar]
- U.S. Environmental Protection Agency Clean Watersheds Needs Survey. 2016. Available online: http://ofmpub.epa.gov/apex/cwns2012/f?p=121:5 (accessed on 2 May 2023).
- American Public Health Association. Handbook of Standard Methods for the Examination of Water and Wastewater, 22nd ed.; American Public Health Association: Washington, DC, USA, 2012. [Google Scholar]
- American Public Health Association. Standard Methods for the Examination of Water and Wastewater 2340 Hardness, 20th ed.; American Public Health Association: Washington, DC, USA, 1998; pp. 101–110. [Google Scholar]
- Greenberg, A.E.; Clesceri, L.S.; Eaton, A.D. Standard Methods for the Examination of Water and Wastewater; American Public Health Association: Washington, DC, USA, 1992. [Google Scholar]
- Abbas, M.; Cheema, K.J. Arsenic levels in drinking water and associated health risk in district Sheikhupura Pakistan. J. Anim. Plant. Sci. 2015, 25, 719–724. [Google Scholar]
- Hannan, A.; Shan, S.; Arshad, U.M. Bacteriological analysis of drinking water from 100 families of Lahore by membrane filtration technique and chromagar. Biomedica 2010, 26, 152–156. [Google Scholar]
- Khangembam, S.; Kshetrimayum, K.S. Evaluation of hydrogeochemical controlling factors and water quality index of water resources of the Barak valley of Assam, Northeast India. Groundw. Sustain. Dev. 2019, 5, 91–99. [Google Scholar] [CrossRef]
- Ewaid, S.H.; Abed, S.A. Water quality index for Al-Gharraf River, southern Iraq. Egypt J. Aquat. Res. 2017, 43, 117–122. [Google Scholar] [CrossRef]
- Tiwari, A.K.; Singh, A.K.; Singh, A.K. Hydrogeochemical analysis and evaluation of surface water quality of Pratapgarh district, Uttar Pradesh, India. Appl. Water Sci. 2015, 7, 1609–1623. [Google Scholar] [CrossRef]
- Abbasnia, A.; Yousefi, N.; Mahvi, A.H. Evaluation of groundwater quality using water quality index and its suitability for assessing water for drinking and irrigation purposes: Case study of Sistan and Baluchistan province (Iran). Hum. Ecol. Risk Assess. Int. J. 2018, 11, 87–92. [Google Scholar] [CrossRef]
- USEPA (U.S. Environmental Protection Agency). Superfund Public Health Evaluation Manual; Office of Emergency and Remedial Response, US Environmental Protection Agency: Washington, DC, USA, 1989; p. 20450.
- Milton, A.H.; Rahman, H.; Smith, W.; Shrestha, R.; Dear, K. Water consumption patterns in rural Bangladesh: Are we underestimating total arsenic load? J. Water Health 2006, 4, 431–436. [Google Scholar] [CrossRef]
- Brindha, K.; Jagadeshan, G.; Kalpana, L.; Elango, L. Fluoride in weathered rock aquifers of southern India:Managed aquifer recharge for mitigation. Environ. Sci. Pollut. Res. 2016, 23, 8302–8316. [Google Scholar] [CrossRef]
- National Institute of Population Research and Training (NIPORT); Mitra; Associates; ICF International. Bangladesh Demographic and Health Survey 2011; NIPORT, Mitra and Associates, and ICF International: Dhaka, Bangladesh; Calverton, MD, USA, 2013.
- USEPA (U.S. Environmental Protection Agency). A Risk Assessment—Multi Way Exposure Spread Sheet Calculation Tool; United States Environmental Protection Agency: Washington, DC, USA, 1999. [Google Scholar]
- Song, Y.; Pruden, A.; Edwards, M.A.; Rhoads, W.J. Natural organic matter, orthophosphate, pH, and growth phase can limit copper antimicrobial efficacy for Legionella in drinking water. Environ. Sci. Technol. 2021, 55, 1759–1768. [Google Scholar] [CrossRef]
- Zhang, S.; Tian, Y.; Guo, Y.; Shan, J.; Liu, R. Manganese release from corrosion products of cast iron pipes in drinking water distribution systems: Effect of water temperature, pH, alkalinity, SO42− concentration and disinfectants. Chemo 2021, 262, 127904. [Google Scholar] [CrossRef] [PubMed]
- Farooq, A.; Zahid, F.; Asif, S.; Ali, H.Q. Estimation of fluoride in drinking water in selected areas of southern Lahore, Pakistan. Sci. Int. 2016, 28, 391–395. [Google Scholar]
- Mortula, M.M.; Atabay, S.; Ismail, H.S.; Aljafari, N. Assessment of factors affecting bromate formation in drinking water bottles. Int. J. Hydrol. Sci. Technol. 2021, 11, 166–181. [Google Scholar]
- Martin, J.A. Turbidity and Microbial Risk in Drinking Water. In Prepared for The Minister of Health, Province of British Columbia, Pursuant to Section 5; The Minister of Health Province of British Columbia: Victoria, BC, Canada, 2008. [Google Scholar]
- Moreira, V.R.; Lebron, Y.A.R.; de Paula, E.C.; de Souza Santos, L.V.; Amaral, M.C.S. Recycled reverse osmosis membrane combined with pre-oxidation for improved arsenic removal from high turbidity waters and retrofit of conventional drinking water treatment process. J. Clean. Prod. 2021, 312, 127859. [Google Scholar] [CrossRef]
- Mridha, D.; Priyadarshni, P.; Bhaskar, K.; Gaurav, A.; De, A.; Das, A.; Roychowdhury, T. Fluoride exposure and its potential health risk assessment in drinking water and staple food in the population from fluoride endemic regions of Bihar, India. Groundw. Sustain. Dev. 2021, 13, 100558. [Google Scholar] [CrossRef]
- Ghanbarian, M.; Ghanbarian, M.; Tabatabaie, T.; Ghanbarian, M.; Ghadiri, S.K. Distributing and assessing fluoride health risk in urban drinking water resources in Fars Province, Iran, using the geographical information system. Environ. Geochem. Health 2021, 44, 771–781. [Google Scholar] [CrossRef]
- Masime, J.O.; Ruth, W.; Jane, M.; Charles, O. A Research Paper on the Analysis of the Levels of Nitrate in Homemade Brews, Spirits, In Water and Raw Materials in Nairobi County. Int. J. Sci. Technol. Res. 2013, 2, 14–19. [Google Scholar]
- Grout, L.; Chambers, T.; Hales, S.; Prickett, M.; Baker, M.G.; Wilson, N. The potential human health hazard of nitrates in drinking water:A media discourse analysis in a high-income country. Environ. Health 2023, 22, 9. [Google Scholar] [CrossRef]
- Su, H.; Kang, W.; Li, Y.; Li, Z. Fluoride and nitrate contamination of groundwater in the Loess Plateau, China: Sources and related human health risks. Environ. Pollut. 2021, 286, 117287. [Google Scholar] [CrossRef]
- Picetti, R.; Deeney, M.; Pastorino, S.; Miller, M.R.; Shah, A.; Leon, D.A.; Green, R. Nitrate and nitrite contamination in drinking water and cancer risk: A systematic review with meta-analysis. Environ. Res. 2022, 210, 112988. [Google Scholar] [CrossRef]
- Quinete, N.; Hauser-Davis, R.A. Drinking water pollutants may affect the immune system: Concerns regarding COVID-19 health effects. Environ. Sci. Pollut. Res. 2021, 28, 1235–1246. [Google Scholar] [CrossRef]
- Karlsson, F.É. Investigation of Sustainable Methods to Reduce Water Hardness in Drinking Water Treatment Plants; Lund University: Lund, Sweden, 2021; Volume 15, pp. 40–45. [Google Scholar]
- Nowicki, S.; deLaurent, Z.R.; de Villiers, E.P.; Githinji, G.; Charles, K.J. The utility of Escherichia coli as a contamination indicator for rural drinking water: Evidence from whole genome sequencing. PLoS ONE 2021, 16, e0245910. [Google Scholar] [CrossRef] [PubMed]
- Rahman, M.M.; Kunwar, S.B.; Bohara, A.K. The interconnection between water quality level and health status: An analysis of Escherichia Coli contamination and drinking water from Nepal. Water Resour. Econ. 2021, 34, 100179. [Google Scholar] [CrossRef]
- Khalid, S.; Murtaza, B.; Shaheen, I.; Ahmad, I.; Ullah, M.I.; Abbas, T.; Imran, M. Assessment and public perception of drinking water quality and safety in district Vehari, Punjab, Pakistan. J. Clean. Prod. 2018, 181, 224–234. [Google Scholar] [CrossRef]
- Zameer, M.; Mahmood, S.; Mushtaq, Z.; Tabasum, B.; Ali, Q.; Mahmood, N.; Munir, S. Detection of bacterial load in drinking water samples by 16s rRNA ribotyping and RAPD analysis. Adv. Life Sci. 2015, 2, 135–141. [Google Scholar]
- Khan, I.; Mohsin, S. Microbiological analysis of drinking water from different areas of Lahore. Int. J. Econ. Environ. Geol. 2021, 12, 44–47. [Google Scholar] [CrossRef]
- Shahid, N.; Zia, Z.; Shahid, M.; Faiq Bakhat, H.; Anwar, S.; Mustafa Shah, G.; Rizwan Ashraf, M. Assessing Drinking Water Quality in Punjab, Pakistan. Polish J. Environ. Stud. 2015, 24, 2597–2606. [Google Scholar] [CrossRef]
- Shakoor, M.B.; Nawaz, R.; Hussain, F.; Raza, M.; Ali, S.; Rizwan, M.; Oh, S.E.; Ahmad, S. Human health implications, risk assessment and remediation of As-contaminated water: A critical review. Sci. Total Environ. 2017, 601–602, 756–769. [Google Scholar] [CrossRef]
- Adeloju, S.B.; Khan, S.; Patti, A.F. Arsenic contamination of groundwater and its implications for drinking water quality and human health in under-developed countries and remote communities—A Review. Appl. Sci. 2021, 11, 1926. [Google Scholar] [CrossRef]
- Chandio, T.A.; Khan, M.N.; Muhammad, M.T.; Yalcinkaya, O.; Wasim, A.A.; Kayis, A.F. Fluoride and arsenic contamination in drinking water due to mining activities and its impact on local area population. Environ. Sci. Pollut. Res. 2021, 28, 2355–2368. [Google Scholar] [CrossRef]
- Din, S.U.; Hussain, B.; Raja, S.; Khaqan, U.; Haq, S.; Waris, M. Arsenic profiling of groundwater in river cities of Lahore, Hyderabad and Muzaffarabad in Pakistan. Hum. Ecol. Risk Assess. Int. J. 2022, 28, 1043–1064. [Google Scholar] [CrossRef]
- Rani, M.; Anwar, M.M.; Nawaz, R.; Aziz, A.; Zaheer, N.; Ehsan, N.; Umair, M. Level of Arsenic in Ground Water and Its Impact on Human Health: A Case Study of Bahawalpur City, Pakistan. J. Biodivers. Environ. Sci. 2016, 8, 197–204. [Google Scholar]
- Ramzan, A. Review on Water Pollution in Pakistan. Pollution 2022, 5, 272. [Google Scholar]
- Shi, Z.; Chow, C.W.; Fabris, R.; Liu, J.; Jin, B. Applications of online UV-Vis spectrophotometer for drinking water quality monitoring and process control: A review. Sensors 2022, 22, 2987. [Google Scholar] [CrossRef] [PubMed]
- Khan, S.; Yairi, T. A review on the application of deep learning in system health management. Mech. Syst. Signal Process. 2018, 107, 241–265. [Google Scholar] [CrossRef]
- Ghaffari, H.R.; Kamari, Z.; Ranaei, V.; Pilevar, Z.; Akbari, M.; Moridi, M.; Khaneghah, A.M. The concentration of potentially hazardous elements (PHEs) in drinking water and non-carcinogenic risk assessment: A case study in Bandar Abbas, Iran. Environ. Res. 2021, 201, 111567. [Google Scholar] [CrossRef]
- Maleki, A.; Jari, H. Evaluation of drinking water quality and non-carcinogenic and carcinogenic risk assessment of heavy metals in rural areas of Kurdistan, Iran. Environ. Technol. Innov. 2021, 23, 101668. [Google Scholar] [CrossRef]
- Mohammadi, A.A.; Zarei, A.; Majidi, S.; Ghaderpoury, A.; Hashempour, Y.; Saghi, M.H.; Ghaderpoori, M. Carcinogenic and non-carcinogenic health risk assessment of heavy metals in drinking water of Khorramabad, Iran. MethodsX 2019, 6, 1642–1651. [Google Scholar] [CrossRef]
- Najam, S.; Nawaz, R.; Ahmad, S.; Ehsan, N.; Khan, M.M.; Nawaz, M.H. Heavy Metals Contamination of Soils and Vegetables Irrigated with Municipal Wastewater: A Case Study of Faisalabad, Pakistan. J. Environ. Agric. Sci. 2015, 4, 6–10. [Google Scholar]
- Farooqi, A.; Masuda, H.; Firdous, N. Toxic fluoride and arsenic contaminated groundwater in the Lahore and Kasur districts, Punjab, Pakistan and possible contaminant sources. Environ. Pollut. 2007, 145, 839–849. [Google Scholar] [CrossRef]
- Waqas, H.; Shan, A.; Khan, Y.G.; Nawaz, R.; Rizwan, M.; Saif-Ur-Rehman, M.; Shakoor, M.B.; Ahmed, W.; Jabeen, M. Human health risk assessment of arsenic in groundwater aquifers of Lahore, Pakistan. Hum. Ecol. Risk Assess. 2017, 23, 836–850. [Google Scholar] [CrossRef]







| Sr. No. | Parameters | NEQS | WHO Guideline |
|---|---|---|---|
| 1 | Color | <15 TCU | 15 TCU |
| 2 | Turbidity | <5 NTU | <5 NTU |
| 3 | pH | 6.5–8.5 | 6.5–8.5 |
| 4 | TDS | <1000 | 1000 mg/L |
| 5 | Nitrates | <50 mg/L | 50 mg/L |
| 6 | Fluorides | <1.5 mg/L | 1.5 mg/L |
| 7 | Residual Chlorine | 0.2–0.5 mg/L | 0.2 mg/L |
| 8 | Total Hardness | <500 mg/L | 500 mg/L |
| 9 | Arsenic | <0.05 mg/L | 0.01 mg/L |
| 10 | E.coli | 0 CFU/100 mL | 0 CFU/100 mL |
| Parameter | Container | Mini. Sample Size | Preservative | Holding Time | Reference |
|---|---|---|---|---|---|
| E. coli | Sterile autoclave glass bottles | 100 mL | <10 | 30 h | [36] |
| Fluoride | Plastic bottles | 100 mL | <4 | 28 days | [37] |
| Nitrate | Plastic bottles | 100 mL | <4 | Immediate analysis | [36] |
| Residual chlorine | Glass bottles | 500 mL | None | Immediate analysis | [37] |
| pH | Plastic bottles | 50 mL | None | Analysis within 15 min | [36] |
| Turbidity | Plastic bottles | 100 mL | <4 | Immediate analysis | [37] |
| TDS | Plastic bottles | 100 mL | <4 | Immediate analysis | [36] |
| Arsenic | Plastic bottles | 1000 mL | HNO3 to pH < 2 | 6 months | [36] |
| WQI Value | Water Quality Ratings | Usages |
|---|---|---|
| 0–25 | Excellent | Drinking, irrigation and industrial |
| 26–50 | Good | Domestic, irrigation and industrial |
| 51–75 | Poor | Irrigation |
| 76–100 | Very Poor | Restricted use for irrigation |
| >100 | Unfit, unsuitable for drinking | Proper treatment required before use |
| Site | Site Name | As (Mean Conc.) | Adults | Children | ||
|---|---|---|---|---|---|---|
| CDI | HQ | CDI | HQ | |||
| S1 | Chota Gaon Shahdara | 0.068 | 0.00480 | 16 | 0.004533 | 15 |
| S2 | Sant Nagar | 0.054 | 0.00381 | 13 | 0.0036 | 12 |
| S3 | Bhutto Colony Shahdara | 0.058 | 0.00409 | 14 | 0.003867 | 13 |
| S4 | Bhatti Gate | 0.057 | 0.00402 | 13 | 0.0038 | 13 |
| S5 | Brendreth Road | 0.03 | 0.00212 | 7 | 0.002 | 7 |
| S6 | Nishtar Colony | 0.057 | 0.00402 | 13 | 0.0038 | 13 |
| S7 | Gajjumata | 0.019 | 0.00134 | 4 | 0.001267 | 4 |
| S8 | Attari Saroba | 0.005 | 0.00035 | 1 | 0.000333 | 1 |
| S9 | Tibba Kacha | 0.033 | 0.00233 | 8 | 0.0022 | 7 |
| S10 | Islampura | 0.056 | 0.00395 | 13 | 0.003733 | 12 |
Disclaimer/Publisher’s Note: The statements, opinions and data contained in all publications are solely those of the individual author(s) and contributor(s) and not of MDPI and/or the editor(s). MDPI and/or the editor(s) disclaim responsibility for any injury to people or property resulting from any ideas, methods, instructions or products referred to in the content. |
© 2023 by the authors. Licensee MDPI, Basel, Switzerland. This article is an open access article distributed under the terms and conditions of the Creative Commons Attribution (CC BY) license (https://creativecommons.org/licenses/by/4.0/).
Share and Cite
Nawaz, R.; Nasim, I.; Irfan, A.; Islam, A.; Naeem, A.; Ghani, N.; Irshad, M.A.; Latif, M.; Nisa, B.U.; Ullah, R. Water Quality Index and Human Health Risk Assessment of Drinking Water in Selected Urban Areas of a Mega City. Toxics 2023, 11, 577. https://doi.org/10.3390/toxics11070577
Nawaz R, Nasim I, Irfan A, Islam A, Naeem A, Ghani N, Irshad MA, Latif M, Nisa BU, Ullah R. Water Quality Index and Human Health Risk Assessment of Drinking Water in Selected Urban Areas of a Mega City. Toxics. 2023; 11(7):577. https://doi.org/10.3390/toxics11070577
Chicago/Turabian StyleNawaz, Rab, Iqra Nasim, Ali Irfan, Amjad Islam, Ayesha Naeem, Nadia Ghani, Muhammad Atif Irshad, Maria Latif, Badar Un Nisa, and Riaz Ullah. 2023. "Water Quality Index and Human Health Risk Assessment of Drinking Water in Selected Urban Areas of a Mega City" Toxics 11, no. 7: 577. https://doi.org/10.3390/toxics11070577
APA StyleNawaz, R., Nasim, I., Irfan, A., Islam, A., Naeem, A., Ghani, N., Irshad, M. A., Latif, M., Nisa, B. U., & Ullah, R. (2023). Water Quality Index and Human Health Risk Assessment of Drinking Water in Selected Urban Areas of a Mega City. Toxics, 11(7), 577. https://doi.org/10.3390/toxics11070577

