Association of Fine Particulate Matter Constituents with the Predicted 10-Year Atherosclerotic Cardiovascular Disease Risk: Evidence from a Large-Scale Cross-Sectional Study
Abstract
:1. Introduction
2. Materials and Methods
2.1. Study Population
2.2. Data Collection and Assessment of 10-Year ASCVD Risk
2.3. Estimation of PM2.5 and Its Constituents
2.4. Statistical Analysis
3. Results
3.1. Characteristics of the Participants
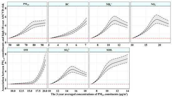
3.2. Associations of PM2.5 and Its Six Constituents with 10-Year ASCVD Risk
3.3. Stratified Analyses
3.4. Effects of Reallocation between PM2.5 Constituents
4. Discussion
5. Conclusions
Supplementary Materials
Author Contributions
Funding
Institutional Review Board Statement
Informed Consent Statement
Data Availability Statement
Acknowledgments
Conflicts of Interest
References
- GBD 2016 Causes of Death Collaborators. Global, regional, and national age-sex specific mortality for 264 causes of death, 1980–2016: A systematic analysis for the Global Burden of Disease Study 2016. Lancet 2017, 390, 1151–1210. [Google Scholar] [CrossRef]
- Zhou, M.; Wang, H.; Zeng, X.; Yin, P.; Zhu, J.; Chen, W.; Li, X.; Wang, L.; Wang, L.; Liu, Y.; et al. Mortality, morbidity, and risk factors in China and its provinces, 1990–2017: A systematic analysis for the Global Burden of Disease Study 2017. Lancet 2019, 394, 1145–1158. [Google Scholar] [CrossRef]
- Liu, S.; Li, Y.; Zeng, X.; Wang, H.; Yin, P.; Wang, L.; Liu, Y.; Liu, J.; Qi, J.; Ran, S.; et al. Burden of Cardiovascular Diseases in China, 1990–2016: Findings From the 2016 Global Burden of Disease Study. JAMA Cardiol. 2019, 4, 342–352. [Google Scholar] [CrossRef]
- Zhao, D.; Liu, J.; Wang, M.; Zhang, X.; Zhou, M. Epidemiology of cardiovascular disease in China: Current features and implications. Nat. Rev. Cardiol. 2019, 16, 203–212. [Google Scholar] [CrossRef]
- Roth, G.A.; Abate, D.; Abate, K.H.; Abay, S.M.; Abbafati, C.; Abbasi, N.; Abbastabar, H.; Abd-Allah, F.; Abdela, J.; Abdelalim, A.; et al. Global, regional, and national age-sex-specific mortality for 282 causes of death in 195 countries and territories, 1980–2017: A systematic analysis for the Global Burden of Disease Study 2017. Lancet 2018, 392, 1736–1788. [Google Scholar] [CrossRef]
- Tian, Y.; Fang, J.; Wang, F.; Luo, Z.; Zhao, F.; Zhang, Y.; Du, P.; Wang, J.; Li, Y.; Shi, W.; et al. Linking the Fasting Blood Glucose Level to Short-Term-Exposed Particulate Constituents and Pollution Sources: Results from a Multicenter Cross-Sectional Study in China. Environ. Sci. Technol. 2022, 56, 10172–10182. [Google Scholar] [CrossRef]
- Kang, N.; Wu, R.; Liao, W.; Zhang, C.; Liu, X.; Mao, Z.; Huo, W.; Hou, J.; Zhang, K.; Tian, H.; et al. Association of long-term exposure to PM2.5 constituents with glucose metabolism in Chinese rural population. Sci. Total Environ. 2023, 859, 160364. [Google Scholar] [CrossRef]
- Zhang, Y.; Li, W.; Jiang, N.; Liu, S.; Liang, J.; Wei, N.; Liu, Y.; Tian, Y.; Feng, D.; Wang, J.; et al. Associations between short-term exposure of PM2.5 constituents and hospital admissions of cardiovascular diseases among 18 major Chinese cities. Ecotoxicol. Environ. Saf. 2022, 246, 114149. [Google Scholar] [CrossRef]
- Liu, L.; Zhang, Y.; Yang, Z.; Luo, S.; Zhang, Y. Long-term exposure to fine particulate constituents and cardiovascular diseases in Chinese adults. J. Hazard. Mater. 2021, 416, 126051. [Google Scholar] [CrossRef]
- Hvidtfeldt, U.A.; Geels, C.; Sørensen, M.; Ketzel, M.; Khan, J.; Tjønneland, A.; Christensen, J.H.; Brandt, J.; Raaschou-Nielsen, O. Long-term residential exposure to PM2.5 constituents and mortality in a Danish cohort. Environ. Int. 2019, 133, 105268. [Google Scholar] [CrossRef]
- Du, X.; Zhang, Y.; Liu, C.; Fang, J.; Zhao, F.; Chen, C.; Du, P.; Wang, Q.; Wang, J.; Shi, W.; et al. Fine particulate matter constituents and sub-clinical outcomes of cardiovascular diseases: A multi-center study in China. Sci. Total. Environ. 2021, 759, 143555. [Google Scholar] [CrossRef] [PubMed]
- Wang, C.; Hao, L.; Liu, C.; Chen, R.; Wang, W.; Chen, Y.; Yang, Y.; Meng, X.; Fu, Q.; Ying, Z.; et al. Associations between fine particulate matter constituents and daily cardiovascular mortality in Shanghai, China. Ecotoxicol. Environ. Saf. 2020, 191, 110154. [Google Scholar] [CrossRef] [PubMed]
- Yang, J.; Zhou, M.; Li, M.; Yin, P.; Hu, J.; Zhang, C.; Wang, H.; Liu, Q.; Wang, B. Fine particulate matter constituents and cause-specific mortality in China: A nationwide modelling study. Environ. Int. 2020, 143, 105927. [Google Scholar] [CrossRef] [PubMed]
- Liang, R.; Chen, R.; Yin, P.; van Donkelaar, A.; Martin, R.V.; Burnett, R.; Cohen, A.J.; Brauer, M.; Liu, C.; Wang, W.; et al. Associations of long-term exposure to fine particulate matter and its constituents with cardiovascular mortality: A prospective cohort study in China. Environ. Int. 2022, 162, 107156. [Google Scholar] [CrossRef]
- Wang, M.; Beelen, R.; Stafoggia, M.; Raaschou-Nielsen, O.; Andersen, Z.J.; Hoffmann, B.; Fischer, P.; Houthuijs, D.; Nieuwenhuijsen, M.; Weinmayr, G.; et al. Long-term exposure to elemental constituents of particulate matter and cardiovascular mortality in 19 European cohorts: Results from the ESCAPE and TRANSPHORM projects. Environ. Int. 2014, 66, 97–106. [Google Scholar] [CrossRef]
- Yang, T.; Chen, R.; Gu, X.; Xu, J.; Yang, L.; Zhao, J.; Zhang, X.; Bai, C.; Kang, J.; Ran, P.; et al. Association of fine particulate matter air pollution and its constituents with lung function: The China Pulmonary Health study. Environ. Int. 2021, 156, 106707. [Google Scholar] [CrossRef]
- Bachwenkizi, J.; Liu, C.; Meng, X.; Zhang, L.; Wang, W.; van Donkelaar, A.; Martin, R.V.; Hammer, M.S.; Chen, R.; Kan, H. Fine particulate matter constituents and infant mortality in Africa: A multicountry study. Environ. Int. 2021, 156, 106739. [Google Scholar] [CrossRef]
- Guo, Q.; Zhang, K.; Wang, B.; Cao, S.; Xue, T.; Zhang, Q.; Tian, H.; Fu, P.; Zhang, J.; Duan, X. Chemical constituents of ambient fine particulate matter and obesity among school-aged children: A representative national study in China. Sci. Total. Environ. 2022, 849, 157742. [Google Scholar] [CrossRef]
- Cao, Z.; Xu, C.; Zhang, P.; Wang, Y. Associations of sedentary time and physical activity with adverse health conditions: Outcome-wide analyses using isotemporal substitution model. EClinicalMedicine 2022, 48, 101424. [Google Scholar] [CrossRef]
- Mekary, R. Isotemporal substitution model for physical activity and osteoarthritis outcomes. Osteoarthr. Cartil. 2018, 26, 1571–1572. [Google Scholar] [CrossRef]
- Yang, X.; Li, J.; Hu, D.; Chen, J.; Li, Y.; Huang, J.; Liu, X.; Liu, F.; Cao, J.; Shen, C.; et al. Predicting the 10-Year Risks of Atherosclerotic Cardiovascular Disease in Chinese Population: The China-PAR Project (Prediction for ASCVD Risk in China). Circulation 2016, 134, 1430–1440. [Google Scholar] [CrossRef]
- Li, R.; Chen, G.; Liu, X.; Pan, M.; Kang, N.; Hou, X.; Liao, W.; Dong, X.; Yuchi, Y.; Mao, Z.; et al. Aging biomarkers: Potential mediators of association between long-term ozone exposure and risk of atherosclerosis. J. Intern. Med. 2022, 292, 512–522. [Google Scholar] [CrossRef] [PubMed]
- Yu, W.; Liu, Z.; La, Y.; Feng, C.; Yu, B.; Wang, Q.; Liu, M.; Li, Z.; Feng, Y.; Ciren, L.; et al. Associations between residential greenness and the predicted 10-year risk for atherosclerosis cardiovascular disease among Chinese adults. Sci. Total. Environ. 2023, 868, 161643. [Google Scholar] [CrossRef] [PubMed]
- Liu, X.; Mao, Z.; Li, Y.; Wu, W.; Zhang, X.; Huo, W.; Yu, S.; Shen, L.; Li, L.; Tu, R.; et al. Cohort Profile: The Henan Rural Cohort: A prospective study of chronic non-communicable diseases. Leuk. Res. 2019, 48, 1756–1756j. [Google Scholar] [CrossRef] [PubMed]
- Chinese Nutrition Society. The Dietary Guidelines for Chinese Residents; The Tibet People’s Publishing House: Lhasa, Tibet, 2011. [Google Scholar]
- Tu, R.; Li, Y.; Shen, L.; Yuan, H.; Mao, Z.; Liu, X.; Zhang, H.; Zhang, L.; Li, R.; Wang, Y.; et al. The prevalence and influencing factors of physical activity and sedentary behaviour in the rural population in China: The Henan Rural Cohort Study. BMJ Open 2019, 9, e029590. [Google Scholar] [CrossRef]
- Li, C.; Martin, R.V.; van Donkelaar, A.; Boys, B.L.; Hammer, M.S.; Xu, J.-W.; Marais, E.A.; Reff, A.; Strum, M.; Ridley, D.A.; et al. Trends in Chemical Composition of Global and Regional Population-Weighted Fine Particulate Matter Estimated for 25 Years. Environ. Sci. Technol. 2017, 51, 11185–11195. [Google Scholar] [CrossRef]
- Philip, S.; Martin, R.V.; van Donkelaar, A.; Lo, J.W.-H.; Wang, Y.; Chen, D.; Zhang, L.; Kasibhatla, P.S.; Wang, S.; Zhang, Q.; et al. Global Chemical Composition of Ambient Fine Particulate Matter for Exposure Assessment. Environ. Sci. Technol. 2014, 48, 13060–13068. [Google Scholar] [CrossRef]
- Hammer, M.S.; van Donkelaar, A.; Li, C.; Lyapustin, A.; Sayer, A.M.; Hsu, N.C.; Levy, R.C.; Garay, M.J.; Kalashnikova, O.V.; Kahn, R.A.; et al. Global Estimates and Long-Term Trends of Fine Particulate Matter Concentrations (1998–2018). Environ. Sci. Technol. 2020, 54, 7879–7890. [Google Scholar] [CrossRef]
- Tu, R.; Hou, J.; Liu, X.; Li, R.; Dong, X.; Pan, M.; Mao, Z.; Huo, W.; Chen, G.; Guo, Y.; et al. Physical activity attenuated association of air pollution with estimated 10-year atherosclerotic cardiovascular disease risk in a large rural Chinese adult population: A cross-sectional study. Environ. Int. 2020, 140, 105819. [Google Scholar] [CrossRef]
- Lechner, K.; von Schacky, C.; McKenzie, A.L.; Worm, N.; Nixdorff, U.; Lechner, B.; Kränkel, N.; Halle, M.; Krauss, R.M.; Scherr, J. Lifestyle factors and high-risk atherosclerosis: Pathways and mechanisms beyond traditional risk factors. Eur. J. Prev. Cardiol. 2020, 27, 394–406. [Google Scholar] [CrossRef]
- Pan, M.; Li, S.; Tu, R.; Li, R.; Liu, X.; Chen, R.; Yu, S.; Mao, Z.; Huo, W.; Yin, S.; et al. Associations of solid fuel use and ambient air pollution with estimated 10-year atherosclerotic cardiovascular disease risk. Environ. Int. 2021, 157, 106865. [Google Scholar] [CrossRef] [PubMed]
- Bevan, G.H.; Al-Kindi, S.G.; Brook, R.D.; Münzel, T.; Rajagopalan, S. Ambient Air Pollution and Atherosclerosis: Insights Into Dose, Time, and Mechanisms. Arter. Thromb. Vasc. Biol. 2021, 41, 628–637. [Google Scholar] [CrossRef] [PubMed]
- Hayes, R.B.; Lim, C.; Zhang, Y.; Cromar, K.; Shao, Y.; Reynolds, H.R.; Silverman, D.T.; Jones, R.R.; Park, Y.; Jerrett, M.; et al. PM2.5 air pollution and cause-specific cardiovascular disease mortality. Leuk. Res. 2020, 49, 25–35. [Google Scholar] [CrossRef] [PubMed]
- Lelieveld, J.; Klingmüller, K.; Pozzer, A.; Pöschl, U.; Fnais, M.; Daiber, A.; Münzel, T. Cardiovascular disease burden from ambient air pollution in Europe reassessed using novel hazard ratio functions. Eur. Hear. J. 2019, 40, 1590–1596. [Google Scholar] [CrossRef]
- Lippmann, M. Toxicological and epidemiological studies of cardiovascular effects of ambient air fine particulate matter (PM2.5) and its chemical components: Coherence and public health implications. Crit. Rev. Toxicol. 2014, 44, 299–347. [Google Scholar] [CrossRef]
- Peng, R.D.; Bell, M.L.; Geyh, A.S.; McDermott, A.; Zeger, S.L.; Samet, J.M.; Dominici, F. Emergency Admissions for Cardiovascular and Respiratory Diseases and the Chemical Composition of Fine Particle Air Pollution. Environ. Health Perspect. 2009, 117, 957–963. [Google Scholar] [CrossRef]
- Zhang, Y.; Ji, X.; Ku, T.; Li, G.; Sang, N. Heavy metals bound to fine particulate matter from northern China induce season-dependent health risks: A study based on myocardial toxicity. Environ. Pollut. 2016, 216, 380–390. [Google Scholar] [CrossRef]
- Lu, Y.; Lin, S.; Fatmi, Z.; Malashock, D.; Hussain, M.M.; Siddique, A.; Carpenter, D.O.; Lin, Z.; Khwaja, H.A. Assessing the association between fine particulate matter (PM2.5) constituents and cardiovascular diseases in a mega-city of Pakistan. Environ. Pollut. 2019, 252, 1412–1422. [Google Scholar] [CrossRef]
- Metzger, K.B.; Tolbert, P.E.; Klein, M.; Peel, J.L.; Flanders, W.D.; Todd, K.; Mulholland, J.A.; Ryan, P.B.; Frumkin, H. Ambient Air Pollution and Cardiovascular Emergency Department Visits. Epidemiology 2004, 15, 46–56. [Google Scholar] [CrossRef]
- Hsu, C.-Y.; Chiang, H.-C.; Chen, M.-J.; Chuang, C.-Y.; Tsen, C.-M.; Fang, G.-C.; Tsai, Y.-I.; Chen, N.-T.; Lin, T.-Y.; Lin, S.-L.; et al. Ambient PM2.5 in the residential area near industrial complexes: Spatiotemporal variation, source apportionment, and health impact. Sci. Total. Environ. 2017, 590–591, 204–214. [Google Scholar] [CrossRef]
- Achilleos, S.; Kioumourtzoglou, M.-A.; Wu, C.-D.; Schwartz, J.D.; Koutrakis, P.; Papatheodorou, S.I. Acute effects of fine particulate matter constituents on mortality: A systematic review and meta-regression analysis. Environ. Int. 2017, 109, 89–100. [Google Scholar] [CrossRef]
- Chen, Y.; Chen, R.; Chen, Y.; Dong, X.; Zhu, J.; Liu, C.; van Donkelaar, A.; Martin, R.V.; Li, H.; Kan, H.; et al. The prospective effects of long-term exposure to ambient PM2.5 and constituents on mortality in rural East China. Chemosphere 2021, 280, 130740. [Google Scholar] [CrossRef]
- Zhang, Y.; Yin, Z.; Zhou, P.; Zhang, L.; Zhao, Z.; Norbäck, D.; Zhang, X.; Lu, C.; Yu, W.; Wang, T.; et al. Early-life exposure to PM2.5 constituents and childhood asthma and wheezing: Findings from China, Children, Homes, Health study. Environ. Int. 2022, 165, 107297. [Google Scholar] [CrossRef]
- Wang, X.; Guo, Y.; Cai, M.; Qian, Z.; Zhang, S.; Zhang, Z.; Yang, Y.; Vaughn, M.G.; Aaron, H.E.; Wu, F.; et al. Constituents of fine particulate matter and asthma in 6 low- and middle-income countries. J. Allergy Clin. Immunol. 2022, 150, 214–222.e5. [Google Scholar] [CrossRef] [PubMed]
- Shen, Y.; Yu, G.; Liu, C.; Wang, W.; Kan, H.; Zhang, J.; Cai, J. Prenatal Exposure to PM2.5 and Its Specific Components and Risk of Hypertensive Disorders in Pregnancy: A Nationwide Cohort Study in China. Environ. Sci. Technol. 2022, 56, 11473–11481. [Google Scholar] [CrossRef] [PubMed]
- Lin, W.; Huang, W.; Zhu, T.; Hu, M.; Brunekreef, B.; Zhang, Y.; Liu, X.; Cheng, H.; Gehring, U.; Li, C.; et al. Acute Respiratory Inflammation in Children and Black Carbon in Ambient Air before and during the 2008 Beijing Olympics. Environ. Health Perspect. 2011, 119, 1507–1512. [Google Scholar] [CrossRef] [PubMed]
- Kirrane, E.; Luben, T.; Benson, A.; Owens, E.; Sacks, J.; Dutton, S.; Madden, M.; Nichols, J. A systematic review of cardiovascular responses associated with ambient black carbon and fine particulate matter. Environ. Int. 2019, 127, 305–316. [Google Scholar] [CrossRef]
- Jalava, P.I.; Salonen, R.O.; Nuutinen, K.; Pennanen, A.S.; Happo, M.S.; Tissari, J.; Frey, A.; Hillamo, R.; Jokiniemi, J.; Hirvonen, M.-R. Effect of combustion condition on cytotoxic and inflammatory activity of residential wood combustion particles. Atmospheric Environ. 2010, 44, 1691–1698. [Google Scholar] [CrossRef]
- Tapanainen, M.; Jalava, P.I.; Mäki-Paakkanen, J.; Hakulinen, P.; Happo, M.S.; Lamberg, H.; Ruusunen, J.; Tissari, J.; Nuutinen, K.; Yli-Pirilä, P.; et al. In vitro immunotoxic and genotoxic activities of particles emitted from two different small-scale wood combustion appliances. Atmospheric Environ. 2011, 45, 7546–7554. [Google Scholar] [CrossRef]
- Li, R.; Hou, J.; Tu, R.; Liu, X.; Zuo, T.; Dong, X.; Pan, M.; Yin, S.; Hu, K.; Mao, Z.; et al. Associations of mixture of air pollutants with estimated 10-year atherosclerotic cardiovascular disease risk modified by socio-economic status: The Henan Rural Cohort Study. Sci. Total. Environ. 2021, 793, 148542. [Google Scholar] [CrossRef]
- Kioumourtzoglou, M.-A.; Schwartz, J.; James, P.; Dominici, F.; Zanobetti, A. PM2.5 and Mortality in 207 US Cities: Modification by Temperature and City Characteristics. Epidemiology 2016, 27, 221–227. [Google Scholar] [CrossRef] [PubMed]
- Wang, Y.; Shi, L.; Lee, M.; Liu, P.; Di, Q.; Zanobetti, A.; Schwartz, J.D. Long-term Exposure to PM2.5 and Mortality Among Older Adults in the Southeastern US. Epidemiology 2017, 28, 207–214. [Google Scholar] [CrossRef] [PubMed]
- Son, J.-Y.; Sabath, M.B.; Lane, K.J.; Miranda, M.L.; Dominici, F.; Di, Q.; Schwartz, J.; Bell, M.L. Long-term Exposure to PM2.5 and Mortality for the Older Population: Effect Modification by Residential Greenness. Epidemiology 2021, 32, 477–486. [Google Scholar] [CrossRef]
- Baum, A.; Garofalo, J.P.; Yali, A.M. Socioeconomic Status and Chronic Stress: Does Stress Account for SES Effects on Health? Ann. N. Y. Acad. Sci. 1999, 896, 131–144. [Google Scholar] [CrossRef]
- Avan, A.; Digaleh, H.; Di Napoli, M.; Stranges, S.; Behrouz, R.; Shojaeianbabaei, G.; Amiri, A.; Tabrizi, R.; Mokhber, N.; Spence, J.D.; et al. Socioeconomic status and stroke incidence, prevalence, mortality, and worldwide burden: An ecological analysis from the Global Burden of Disease Study 2017. BMC Med. 2019, 17, 191. [Google Scholar] [CrossRef]
- Morland, K.; Wing, S.; Roux, A.D.; Poole, C. Neighborhood characteristics associated with the location of food stores and food service places. Am. J. Prev. Med. 2002, 22, 23–29. [Google Scholar] [CrossRef] [PubMed]
- German, C.A.; Fanning, J.; Singleton, M.J.; Shapiro, M.D.; Brubaker, P.H.; Bertoni, A.G.; Yeboah, J. Physical Activity, Coronary Artery Calcium, and Cardiovascular Outcomes in the Multi-Ethnic Study of Atherosclerosis (MESA). Med. Sci. Sports Exerc. 2022, 54, 800–806. [Google Scholar] [CrossRef]
- Sanchez-Rodriguez, E.; Egea-Zorrilla, A.; Plaza-Díaz, J.; Aragón-Vela, J.; Muñoz-Quezada, S.; Tercedor-Sánchez, L.; Abadia-Molina, F. The Gut Microbiota and Its Implication in the Development of Atherosclerosis and Related Cardiovascular Diseases. Nutrients 2020, 12, 605. [Google Scholar] [CrossRef]
- Bönhof, G.J.; Strom, A.; Apostolopoulou, M.; Karusheva, Y.; Sarabhai, T.; Pesta, D.; Roden, M.; Ziegler, D. High-intensity interval training for 12 weeks improves cardiovascular autonomic function but not somatosensory nerve function and structure in overweight men with type 2 diabetes. Diabetologia 2022, 65, 1048–1057. [Google Scholar] [CrossRef]
- Fiordelisi, A.; Piscitelli, P.; Trimarco, B.; Coscioni, E.; Iaccarino, G.; Sorriento, D. The mechanisms of air pollution and particulate matter in cardiovascular diseases. Hear. Fail. Rev. 2017, 22, 337–347. [Google Scholar] [CrossRef]
- Suwa, T.; Hogg, J.C.; Quinlan, K.B.; Ohgami, A.; Vincent, R.; van Eeden, S.F. Particulate air pollution induces progression of atherosclerosis. J. Am. Coll. Cardiol. 2002, 39, 935–942. [Google Scholar] [CrossRef] [PubMed]
- Correction to: Particulate Matter Exposure and Stress Hormone Levels: A Randomized, Double-Blind, Crossover Trial of Air Purification. Circulation 2017, 136, e199. [CrossRef]
- Lei, X.; Chen, R.; Wang, C.; Shi, J.; Zhao, Z.; Li, W.; Yan, B.; Chillrud, S.; Cai, J.; Kan, H. Personal Fine Particulate Matter Constituents, Increased Systemic Inflammation, and the Role of DNA Hypomethylation. Environ. Sci. Technol. 2019, 53, 9837–9844. [Google Scholar] [CrossRef] [PubMed]
- Hutcheon, J.A.; Chiolero, A.; Hanley, J.A. Random measurement error and regression dilution bias. BMJ 2010, 340, c2289. [Google Scholar] [CrossRef] [PubMed]




| Variables | All (n = 31,162) |
|---|---|
| Age (year, mean ± SD) | 55.898 ± 9.782 |
| Females (n, %) | 18,999 (60.968) |
| Marital status (n, %) | |
| Married/cohabitation | 28,558 (91.644) |
| Unmarried/divorced/widowed | 2604 (8.356) |
| Education level (n, %) | |
| Elementary school or below | 13,920 (44.670) |
| Junior high school | 13,011 (41.753) |
| High school or above | 4231 (13.577) |
| Average monthly income (n, %) | |
| <RMB 500 | 10,993 (35.277) |
| RMB 500–999 | 10,479 (33.627) |
| ≥RMB 1000 | 9690 (31.096) |
| Smoking status (n, %) | |
| Never | 22,727 (72.932) |
| Ever | 2323 (7.455) |
| Current | 6112 (19.614) |
| Drinking status (n, %) | |
| Never | 24,063 (77.219) |
| Ever | 1259 (4.040) |
| Current | 5840 (18.741) |
| High-fat diet (yes, n, %) | 6063 (19.456) |
| Adequate vegetable and fruit intake (yes, n, %) | 13,221 (42.429) |
| Physical activity (n, %) | |
| Low | 9360 (30.037) |
| Moderate | 11,887 (38.146) |
| High | 9915 (31.818) |
| WC (cm, mean ± SD) | 84.232 ± 10.209 |
| SBP (mmHg, mean ± SD) | 125.566 ± 19.478 |
| DBP (mmHg, mean ± SD) | 77.862 ± 11.608 |
| TC (mg/dL, mean ± SD) | 184.676 ± 37.361 |
| HDL-C (mg/dL, mean ± SD) | 51.287 ± 12.891 |
| Family history of ASCVD (n, %) | 4777 (15.330) |
| Antihypertensive treatment with 2 weeks (n, %) | 4365 (76.498) |
| Diabetes mellitus (n, %) | 2824 (9.062) |
| High 10-year ASCVD risk (n, %) | 8770 (28.143) |
| Variables | Overall | 10-Year ASCVD Risk | p-Values * | |
|---|---|---|---|---|
| Low | High | |||
| PM2.5 (μg/m3, mean ± SD) | 75.238 ± 9.602 | 74.621 ± 9.681 | 76.813 ± 9.214 | <0.001 |
| PM2.5 constituents | ||||
| BC (μg/m3, mean ± SD) | 5.190 ± 0.947 | 5.120 ± 0.951 | 5.368 ± 0.912 | <0.001 |
| NH4+ (μg/m3, mean ± SD) | 10.694 ± 1.431 | 10.620 ± 1.448 | 10.883 ± 1.368 | <0.001 |
| NIT (μg/m3, mean ± SD) | 18.016 ± 2.619 | 17.875 ± 2.646 | 18.376 ± 2.513 | <0.001 |
| OM (μg/m3, mean ± SD) | 15.659 ± 1.746 | 15.540 ± 1.723 | 15.961 ± 1.768 | <0.001 |
| SO42− (μg/m3, mean ± SD) | 14.624 ± 1.827 | 14.534 ± 1.848 | 14.851 ± 1.752 | <0.001 |
| SOIL (μg/m3, mean ± SD) | 9.655 ± 1.579 | 9.526 ± 1.550 | 9.984 ± 1.607 | <0.001 |
| Variables | Logistic Regression ORs (95% CI) | |
|---|---|---|
| Model 1 | Model 2 | |
| Constituent concentration analyses | ||
| PM2.5 | 1.025 (1.022, 1.028) | 1.035 (1.031, 1.038) |
| PM2.5 constituents | ||
| BC | 1.328 (1.293, 1.365) | 1.493 (1.446, 1.542) |
| NH4+ | 1.139 (1.120, 1.160) | 1.194 (1.170, 1.219) |
| NO3− | 1.078 (1.067, 1.088) | 1.105 (1.092, 1.118) |
| OM | 1.160 (1.142, 1.178) | 1.214 (1.193, 1.236) |
| SO42− | 1.101 (1.086, 1.116) | 1.142 (1.124, 1.160) |
| SOIL | 1.196 (1.178, 1.214) | 1.285 (1.262, 1.309) |
| Constituent proportion analyses | ||
| PM2.5 constituents | ||
| BC | 2.434 (2.180, 2.716) | 3.471 (3.062, 3.935) |
| NH4+ | 0.607 (0.568, 0.648) | 0.523 (0.486, 0.564) |
| NO3− | 0.814 (0.788, 0.841) | 0.733 (0.706, 0.761) |
| OM | 1.062 (1.034, 1.089) | 1.046 (1.016, 1.076) |
| SO42− | 0.774 (0.744, 0.805) | 0.749 (0.717, 0.783) |
| SOIL | 1.129 (1.111, 1.147) | 1.190 (1.169, 1.212) |
| Constituent residual analyses | ||
| PM2.5 constituents | ||
| BC | 3.071 (2.672, 3.530) | 4.554 (3.889, 5.333) |
| NH4+ | 0.535 (0.493, 0.581) | 0.458 (0.417, 0.502) |
| NO3− | 0.770 (0.737, 0.804) | 0.689 (0.656, 0.724) |
| OM | 1.117 (1.080, 1.155) | 1.113 (1.073, 1.156) |
| SO42− | 0.694 (0.660, 0.730) | 0.666 (0.629, 0.704) |
| SOIL | 1.170 (1.145, 1.195) | 1.235 (1.206, 1.265) |
Disclaimer/Publisher’s Note: The statements, opinions and data contained in all publications are solely those of the individual author(s) and contributor(s) and not of MDPI and/or the editor(s). MDPI and/or the editor(s) disclaim responsibility for any injury to people or property resulting from any ideas, methods, instructions or products referred to in the content. |
© 2023 by the authors. Licensee MDPI, Basel, Switzerland. This article is an open access article distributed under the terms and conditions of the Creative Commons Attribution (CC BY) license (https://creativecommons.org/licenses/by/4.0/).
Share and Cite
Wang, S.; Zhao, G.; Zhang, C.; Kang, N.; Liao, W.; Wang, C.; Xie, F. Association of Fine Particulate Matter Constituents with the Predicted 10-Year Atherosclerotic Cardiovascular Disease Risk: Evidence from a Large-Scale Cross-Sectional Study. Toxics 2023, 11, 812. https://doi.org/10.3390/toxics11100812
Wang S, Zhao G, Zhang C, Kang N, Liao W, Wang C, Xie F. Association of Fine Particulate Matter Constituents with the Predicted 10-Year Atherosclerotic Cardiovascular Disease Risk: Evidence from a Large-Scale Cross-Sectional Study. Toxics. 2023; 11(10):812. https://doi.org/10.3390/toxics11100812
Chicago/Turabian StyleWang, Sheng, Ge Zhao, Caiyun Zhang, Ning Kang, Wei Liao, Chongjian Wang, and Fuwei Xie. 2023. "Association of Fine Particulate Matter Constituents with the Predicted 10-Year Atherosclerotic Cardiovascular Disease Risk: Evidence from a Large-Scale Cross-Sectional Study" Toxics 11, no. 10: 812. https://doi.org/10.3390/toxics11100812
APA StyleWang, S., Zhao, G., Zhang, C., Kang, N., Liao, W., Wang, C., & Xie, F. (2023). Association of Fine Particulate Matter Constituents with the Predicted 10-Year Atherosclerotic Cardiovascular Disease Risk: Evidence from a Large-Scale Cross-Sectional Study. Toxics, 11(10), 812. https://doi.org/10.3390/toxics11100812
