Exposure Characteristics and Cumulative Risk Assessment for Phthalates in Children Living near a Petrochemical Complex
Abstract
1. Introduction
2. Materials and Methods
2.1. Ethics Statement
2.2. Participants and Study Design
2.3. Analytical Method
2.4. Estimation of Phthalates Daily Intake of
2.5. Hazard Quotients and Hazard Index of Phthalates
2.6. Statistical Analysis
3. Results
3.1. Demographic Characteristics of Participants
3.2. Distributions of Urinary Phthalates
3.3. Distributions of Estimated DIs, HQs, and HI of Phthalates
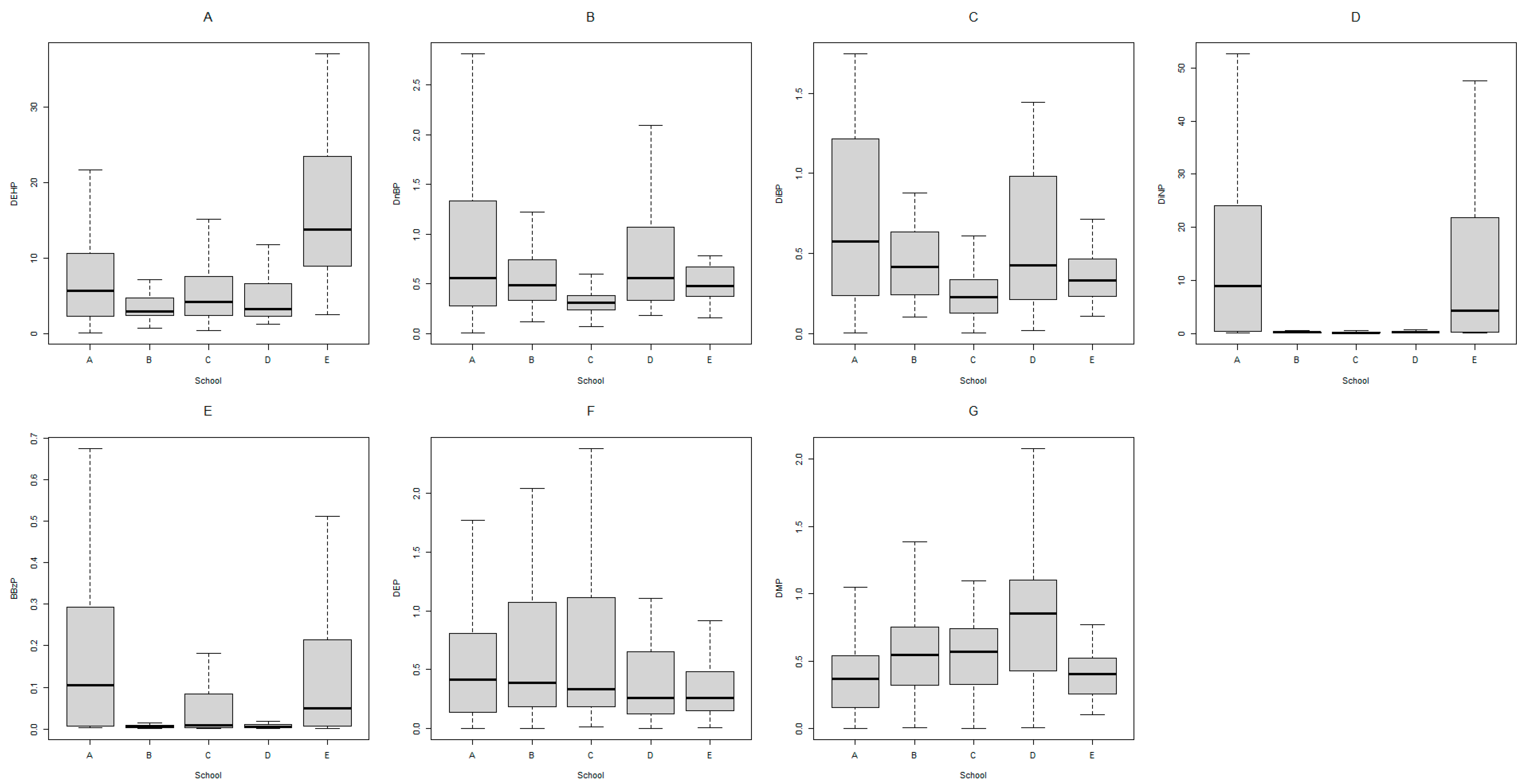
3.4. Comparison of Phthalates Concentrations, DIs, HQs, and HI of Children between Schools
4. Discussion
5. Conclusions
Supplementary Materials
Author Contributions
Funding
Institutional Review Board Statement
Informed Consent Statement
Data Availability Statement
Conflicts of Interest
References
- Katsikantami, I.; Sifakis, S.; Tzatzarakis, M.N.; Vakonaki, E.; Kalantzi, O.I.; Tsatsakis, A.M.; Rizos, A.K. A global assessment of phthalates burden and related links to health effects. Environ. Int. 2016, 97, 212–236. [Google Scholar] [CrossRef]
- Wang, C.W.; Chen, S.C.; Wu, D.W.; Chen, H.C.; Lin, H.H.; Su, H.; Shiea, J.T.; Lin, W.Y.; Hung, C.H.; Kuo, C.H. Effect of dermal phthalate levels on lung function tests in residential area near a petrochemical complex. Environ. Sci. Pollut. Res. Int. 2021, 28, 27333–27344. [Google Scholar] [CrossRef]
- Wang, C.W.; Wu, D.W.; Chen, S.C.; Chen, H.C.; Lin, H.H.; Su, H.; Shiea, J.T.; Lin, W.Y.; Hung, C.H.; Kuo, C.H. Associations of dermal diethyl phthalate level with changes in lung function test value mediated by absolute eosinophil count: A panel study of adults in southern Taiwan. Environ. Res. 2021, 194, 110613. [Google Scholar] [CrossRef]
- ATSDR. Agency for Toxic Substances and Disease Registry. Toxicological Profile for Di(2-Ethylhexyl) Phthalate (DEHP). 2022. Available online: https://www.atsdr.cdc.gov/ToxProfiles/tp9.pdf (accessed on 5 January 2023).
- Liao, K.W.; Chang, W.H.; Chou, W.C.; Huang, H.B.; Waits, A.; Chen, P.C.; Huang, P.C. Human biomonitoring reference values and characteristics of Phthalate exposure in the general population of Taiwan: Taiwan Environmental Survey for Toxicants 2013–2016. Int. J. Hyg. Environ. Health 2021, 235, 113769. [Google Scholar] [CrossRef]
- Shin, H.M.; Dhar, U.; Calafat, A.M.; Nguyen, V.; Schmidt, R.J.; Hertz-Picciotto, I. Temporal Trends of Exposure to Phthalates and Phthalate Alternatives in California Pregnant Women during 2007–2013: Comparison with Other Populations. Environ. Sci. Technol. 2020, 54, 13157–13166. [Google Scholar] [CrossRef]
- Huang, P.C.; Liu, L.H.; Shie, R.H.; Tsai, C.H.; Liang, W.Y.; Wang, C.W.; Tsai, C.H.; Chiang, H.C.; Chan, C.C. Assessment of urinary thiodiglycolic acid exposure in school-aged children in the vicinity of a petrochemical complex in central Taiwan. Environ. Res. 2016, 150, 566–572. [Google Scholar] [CrossRef]
- Wang, C.W.; Liao, K.W.; Chan, C.C.; Yu, M.L.; Chuang, H.Y.; Chiang, H.C.; Huang, P.C. Association between urinary thiodiglycolic acid level and hepatic function or fibrosis index in school-aged children living near a petrochemical complex. Environ. Pollut. 2019, 244, 648–656. [Google Scholar] [CrossRef]
- Wang, C.W.; Chuang, H.Y.; Liao, K.W.; Yu, M.L.; Dai, C.Y.; Chang, W.T.; Tsai, C.H.; Chiang, H.C.; Huang, P.C. Urinary thiodiglycolic acid is associated with increased risk of non-alcoholic fatty liver disease in children living near a petrochemical complex. Environ. Int. 2019, 131, 104978. [Google Scholar] [CrossRef]
- Christensen, K.L.; Makris, S.L.; Lorber, M. Generation of hazard indices for cumulative exposure to phthalates for use in cumulative risk assessment. Regul. Toxicol. Pharmacol. 2014, 69, 380–389. [Google Scholar] [CrossRef]
- Goumenou, M.; Tsatsakis, A. Proposing new approaches for the risk characterisation of single chemicals and chemical mixtures: The source related Hazard Quotient (HQS) and Hazard Index (HIS) and the adversity specific Hazard Index (HIA). Toxicol. Rep. 2019, 6, 632–636. [Google Scholar] [CrossRef]
- Chang, J.W.; Lee, C.C.; Pan, W.H.; Chou, W.C.; Huang, H.B.; Chiang, H.C.; Huang, P.C. Estimated Daily Intake and Cumulative Risk Assessment of Phthalates in the General Taiwanese after the 2011 DEHP Food Scandal. Sci. Rep. 2017, 7, 45009. [Google Scholar] [CrossRef]
- Wang, B.; Wang, H.; Zhou, W.; Chen, Y.; Zhou, Y.; Jiang, Q. Urinary excretion of phthalate metabolites in school children of China: Implication for cumulative risk assessment of phthalate exposure. Environ. Sci. Technol. 2015, 49, 1120–1129. [Google Scholar] [CrossRef]
- WHO. International Program on Chemical Safety: Vinyl Chloride; World Health Organization: Geneva, Switzerland, 1999. Available online: http://www.inchem.org/documents/ehc/ehc/ehc215.htm#PartNumber:4 (accessed on 5 January 2023).
- Huang, P.C.; Tsai, C.H.; Liang, W.Y.; Li, S.S.; Pan, W.H.; Chiang, H.C. Age and Gender Differences in Urinary Levels of Eleven Phthalate Metabolites in General Taiwanese Population after a DEHP Episode. PLoS ONE 2015, 10, e0133782. [Google Scholar] [CrossRef]
- Finkelstein, M.M.; Verma, D.K. Exposure estimation in the presence of nondetectable values: Another look. AIHAJ Am. Ind. Hyg. Assoc. 2001, 62, 195–198. [Google Scholar] [CrossRef]
- Koch, H.M.; Drexler, H.; Angerer, J. An estimation of the daily intake of di(2-ethylhexyl)phthalate (DEHP) and other phthalates in the general population. Int. J. Hyg. Environ. Health 2003, 206, 77–83. [Google Scholar] [CrossRef]
- Mage, D.T.; Allen, R.H.; Gondy, G.; Smith, W.; Barr, D.B.; Needham, L.L. Estimating pesticide dose from urinary pesticide concentration data by creatinine correction in the Third National Health and Nutrition Examination Survey (NHANES-III). J. Expo. Anal. Environ. Epidemiol. 2004, 14, 457–465. [Google Scholar] [CrossRef]
- Mage, D.T.; Allen, R.H.; Kodali, A. Creatinine corrections for estimating children’s and adult’s pesticide intake doses in equilibrium with urinary pesticide and creatinine concentrations. J. Expo. Sci. Environ. Epidemiol. 2008, 18, 360–368. [Google Scholar] [CrossRef]
- Huang, P.C.; Cheng, P.K.; Chen, H.C.; Shiue, I.; Chang, W.T.; Huang, H.I.; Chang, J.W.; Wang, I.J. Are Phthalate Exposure Related to Oxidative Stress in Children and Adolescents with Asthma? A Cumulative Risk Assessment Approach. Antioxidants 2022, 11, 1315. [Google Scholar] [CrossRef]
- Benson, R. Hazard to the developing male reproductive system from cumulative exposure to phthalate esters--dibutyl phthalate, diisobutyl phthalate, butylbenzyl phthalate, diethylhexyl phthalate, dipentyl phthalate, and diisononyl phthalate. Regul. Toxicol. Pharmacol. 2009, 53, 90–101. [Google Scholar] [CrossRef]
- Lunderberg, D.M.; Kristensen, K.; Liu, Y.; Misztal, P.K.; Tian, Y.; Arata, C.; Wernis, R.; Kreisberg, N.; Nazaroff, W.W.; Goldstein, A.H. Characterizing Airborne Phthalate Concentrations and Dynamics in a Normally Occupied Residence. Environ. Sci. Technol. 2019, 53, 7337–7346. [Google Scholar] [CrossRef]
- Atlas, E.; Giam, C.S. Global transport of organic pollutants: Ambient concentrations in the remote marine atmosphere. Science 1981, 211, 163–165. [Google Scholar] [CrossRef]
- Yuan, T.H.; Shie, R.H.; Chin, Y.Y.; Chan, C.C. Assessment of the levels of urinary 1-hydroxypyrene and air polycyclic aromatic hydrocarbon in PM2.5 for adult exposure to the petrochemical complex emissions. Environ. Res. 2015, 136, 219–226. [Google Scholar] [CrossRef]
- Chen, C.F.; Chio, C.P.; Yuan, T.H.; Yeh, Y.P.; Chan, C.C. Increased cancer incidence of Changhua residents living in Taisi Village north to the No. 6 Naphtha Cracking Complex. J. Formos. Med. Assoc. 2018, 117, 1101–1107. [Google Scholar] [CrossRef]
- Lee, I.; Palmke, C.; Ringbeck, B.; Ihn, Y.; Gotthardt, A.; Lee, G.; Alakeel, R.; Alrashed, M.; Tosepu, R.; Jayadipraja, E.A.; et al. Urinary Concentrations of Major Phthalate and Alternative Plasticizer Metabolites in Children of Thailand, Indonesia, and Saudi Arabia, and Associated Risks. Environ. Sci. Technol. 2021, 55, 16526–16537. [Google Scholar] [CrossRef]
- Rocha, B.A.; Asimakopoulos, A.G.; Barbosa, F.; Jr Kannan, K. Urinary concentrations of 25 phthalate metabolites in Brazilian children and their association with oxidative DNA damage. Sci. Total Environ. 2017, 586, 152–162. [Google Scholar] [CrossRef]
- Reyes, J.M.; Price, P.S. Temporal Trends in Exposures to Six Phthalates from Biomonitoring Data: Implications for Cumulative Risk. Environ. Sci. Technol. 2018, 52, 12475–12483. [Google Scholar] [CrossRef]
- Wu, C.F.; Chen, H.M.; Sun, C.W.; Chen, M.L.; Hsieh, C.J.; Wang, S.L.; Wu, M.T. Cohort Profile: The Taiwan Maternal and Infant Cohort Study (TMICS) of phthalate exposure and health risk assessment. Int. J. Epidemiol. 2018, 47, 1047. [Google Scholar] [CrossRef]



| Characteristics/ Students from Schools | All (n = 257) | A (n = 60) | B (n = 40) | C (n = 59) | D (n = 38) | E (n = 60) | p a |
|---|---|---|---|---|---|---|---|
| Continuous variables | |||||||
| Age (y) | 10.1 (6.1–12.5) | 10.3 (6.5–12.1) | 10.2 (6.3–12.1) | 10.9 (6.9–12.5) | 9.8 (6.9–12.4) | 9.1 (6.1–12.0) | 0.008 * |
| Body mass index (kg/m2) | 18.1 (12.2–32.7) | 16.9 (12.8–28.8) | 18.4 (12.2–29.3) | 19.0 (14.6–32.7) | 17.5 (12.7–27.8) | 18.6 (12.6–31.8) | 0.149 |
| Categorical variables [n (%)] | |||||||
| Gender | . | . | . | . | . | . | 0.440 |
| Male | 126 (49.0) | 27 (45.0) | 25 (62.5) | 28 (47.5) | 19 (50.0) | 27 (45.0) | . |
| Female | 131 (51.0) | 33 (55.0) | 15 (37.5) | 31 (52.5) | 19 (50.0) | 33 (55.0) | . |
| Father’s education | 0.232 | ||||||
| ≤Junior high school | 98 (38.1) | 26 (43.3) | 14 (35.0) | 20 (33.9) | 15 (39.5) | 23 (38.3) | . |
| Senior high school | 118 (45.9) | 28 (46.7) | 19 (47.5) | 32 (54.2) | 12 (31.6) | 27 (45.0) | . |
| ≥University | 40 (15.6) | 5 (8.3) | 7 (17.5) | 7 (11.9) | 11 (28.9) | 10 (16.7) | . |
| Mother’s education | 0.370 | ||||||
| ≤Junior high school | 93 (36.2) | 28 (46.7) | 13 (32.5) | 19 (32.2) | 12 (31.6) | 21 (35.0) | . |
| Senior high school | 121 (47.1) | 24 (40.0) | 20 (50.0) | 32 (54.2) | 15 (39.5) | 30 (50.0) | . |
| ≥University | 43 (16.7) | 8 (13.3) | 7 (17.5) | 8 (13.6) | 11 (28.9) | 9 (15.0) | . |
| Annual family income (USD) | 0.095 | ||||||
| ≤15,600 | 131 (51.0) | 36 (60.0) | 15 (37.5) | 32 (54.2) | 16 (42.1) | 32 (53.3) | . |
| 15,600–31,250 | 90 (35.0) | 21 (35.0) | 18 (45.0) | 19 (32.2) | 17 (44.7) | 15 (25.0) | . |
| ≥31,250 | 36 (14.0) | 3 (5.0) | 7 (17.5) | 8 (13.6) | 5 (13.2) | 13 (21.7) | . |
| Father’s job b | . | . | . | . | . | . | 0.108 |
| Yes | 130 (50.6) | 35 (58.3) | 15 (37.5) | 34 (57.6) | 21 (55.3) | 25 (41.7) | . |
| No | 127 (49.4) | 25 (41.7) | 25 (62.5) | 25 (42.4) | 17 (44.7) | 35 (58.3) | . |
| Mother’s job b | . | . | . | . | . | . | 0.469 |
| Yes | 53 (20.6) | 16 (26.7) | 9 (22.5) | 13 (22.0) | 7 (18.4) | 8 (13.3) | . |
| No | 204 (79.4) | 44 (73.3) | 31 (77.5) | 46 (78.0) | 31 (81.6) | 52 (86.7) | . |
| Passive smoking | . | . | . | . | . | . | 0.966 |
| Yes | 166 (64.6) | 40 (66.7) | 27 (67.5) | 38 (64.4) | 23 (60.5) | 38 (63.3) | . |
| No | 91 (35.4) | 20 (33.3) | 13 (32.5) | 21 (35.6) | 15 (39.5) | 22 (36.7) | . |
| Unknown odor | . | . | . | . | . | . | 0.119 |
| Yes | 155 (60.3) | 42 (70.0) | 28 (70.0) | 30 (50.8) | 23 (60.5) | 32 (53.3) | . |
| No | 102 (39.7) | 18 (30.0) | 12 (30.0) | 29 (49.2) | 15 (39.5) | 28 (46.7) | . |
| Physical activity | . | . | . | . | . | . | <0.001 * |
| Low | 95 (37.0) | 33 (55.0) | 24 (60.0) | 13 (22.0) | 7 (18.4) | 18 (30.0) | . |
| Moderate | 113 (44.0) | 21 (35.0) | 12 (30.0) | 22 (37.3) | 19 (50.0) | 39 (65.0) | . |
| High | 49 (19.0) | 6 (10.0) | 4 (10.0) | 24 (40.7) | 12 (31.6) | 3 (5.0) | . |
| mPAEs/ | n | %>LOD a | GM (95%CI) | Min | Selected Percentiles | Max | p-Value b | |||
|---|---|---|---|---|---|---|---|---|---|---|
| Schools | 25th (95%CI) | 50th (95%CI) | 75th (95%CI) | 95th (95%CI) | ||||||
| MMP | <0.001 *** | |||||||||
| All | 257 | 96.1 | 14.40 (12.28–16.88) | ND | 9.49 (7.87–11.84) | 17.82 (15.68–19.44) | 27.81 (24.46–30.73) | 84.97 (62.56–110.46) | 408.02 | |
| A | 60 | 90.0 | 7.92 (5.17–12.12) | ND | 5.95 (1.57–7.84) | 13.73 (7.84–18.06) | 20.39 (18.06–24.57) | 47.90 (27.69–137.30) | 137.30 | |
| B | 40 | 97.5 | 15.53 (11.37–21.20) | ND | 11.61 (7.33–16.06) | 19.52 (14.53–22.79) | 25.66 (22.06–30.76) | 36.74 (30.76–62.00) | 62.00 | |
| C | 59 | 96.6 | 17.86 (12.88–24.77) | ND | 11.41 (8.08–14.40) | 21.27 (15.06–26.55) | 32.04 (26.85–35.55) | 105.85 (45.31–235.44) | 235.44 | |
| D | 38 | 97.4 | 25.68 (16.21–40.66) | ND | 13.84 (7.87–21.72) | 28.59 (19.22–34.48) | 49.37 (33.39–91.24) | 181.00 (91.24–408.02) | 408.02 | |
| E | 60 | 100 | 13.96 (11.55–16.88) | 2.59 | 9.45 (6.99–12.77) | 15.78 (12.77–18.15) | 20.85 (18.15–25.54) | 31.36 (29.74–83.72) | 83.72 | |
| MEP | 0.413 | |||||||||
| All | 257 | 90.3 | 10.83 (8.61–13.63) | ND | 5.54 (4.12–6.32) | 11.48 (10.02–13.52) | 30.47 (21.78–36.92) | 170.77 (120.72–289.87) | 4746.88 | |
| A | 60 | 86.7 | 10.59 (6.24–17.97) | ND | 5.76 (2.15–9.80) | 13.27 (9.80–19.68) | 32.23 (19.68–39.61) | 176.10 (61.98–1805.85) | 1805.85 | |
| B | 40 | 92.5 | 12.17 (6.82–21.72) | ND | 5.35 (2.51–8.29) | 11.52 (6.91–22.49) | 31.67 (18.63–84.24) | 202.80 (84.24–430.66) | 430.66 | |
| C | 59 | 94.9 | 14.62 (9.52–22.47) | ND | 8.15 (3.98–9.73) | 12.51 (9.76–21.73) | 39.35 (22.90–58.27) | 92.14 (62.94–4746.88) | 4746.88 | |
| D | 38 | 89.5 | 9.29 (4.90–17.60) | ND | 4.18 (2.07–6.30) | 10.52 (5.75–15.82) | 26.38 (13.52–39.85) | 139.43 (39.85–1673.19) | 1673.19 | |
| E | 60 | 88.3 | 8.41 (5.16–13.72) | ND | 4.87 (2.10–6.77) | 10.24 (6.77–13.03) | 18.58 (13.03–31.99) | 160.40 (107.94–876.81) | 876.81 | |
| MBzP | <0.001 *** | |||||||||
| All | 257 | 42.8 | 0.76 (0.59–0.97) | ND | ND (ND-ND) | ND (ND-ND) | 4.39 (3.31–5.78) | 16.16 (12.76–32.92) | 589.17 | |
| A | 60 | 65.0 | 2.20 (1.24–3.92) | ND | ND (ND-2.05) | 3.79 (2.05–5.58) | 9.17 (5.58–11.63) | 70.28 (19.08–589.17) | 589.17 | |
| B | 40 | 12.5 | 0.24 (0.16–0.35) | ND | ND (ND-ND) | ND (ND-ND) | ND (ND-ND) | 3.52 (ND-26.01) | 26.01 | |
| C | 59 | 45.8 | 0.72 (0.45–1.17) | ND | ND (ND-ND) | ND (ND-2.34) | 3.09 (2.43–4.66) | 14.29 (8.33–84.25) | 84.25 | |
| D | 38 | 15.8 | 0.26 (0.17–0.40) | ND | ND (ND-ND) | ND (ND-ND) | ND (ND-3.37) | 4.41 (3.37–13.12) | 13.12 | |
| E | 60 | 55.0 | 1.17 (0.71–1.95) | ND | ND (ND-ND) | 2.17 (ND-4.26) | 7.07 (4.26–10.13) | 15.15 (11.17–32.92) | 32.92 | |
| MiBP | 0.003 ** | |||||||||
| All | 257 | 94.6 | 11.04 (9.19–13.26) | ND | 6.00 (5.12–7.12) | 9.95 (8.77–11.72) | 22.07 (18.11–26.90) | 163.88 (98.98–222.38) | 528.62 | |
| A | 60 | 85.0 | 12.21 (6.95–21.45) | ND | 7.81 (ND-9.65) | 16.33 (9.65–29.07) | 36.19 (29.07–61.52) | 307.14 (98.98–528.62) | 528.62 | |
| B | 40 | 100 | 12.22 (9.47–15.77) | 2.73 | 7.82 (4.58–8.63) | 9.48 (8.52–15.36) | 21.32 (11.72–26.80) | 40.97 (26.80–117.90) | 117.90 | |
| C | 59 | 93.2 | 7.18 (4.99–10.32) | ND | 5.15 (3.64–5.59) | 7.82 (5.68–8.65) | 12.48 (8.70–14.04) | 48.85 (20.87–209.63) | 209.63 | |
| D | 38 | 97.4 | 15.03 (9.25–24.41) | ND | 6.09 (3.97–9.84) | 12.17 (8.39–19.25) | 33.63 (17.93–95.64) | 153.16 (95.64–420.27) | 420.27 | |
| E | 60 | 100 | 11.72 (9.08–15.12) | 2.29 | 6.69 (4.67–7.80) | 10.10 (7.80–13.72) | 17.63 (13.72–21.76) | 114.64 (22.35–310.12) | 310.12 | |
| MnBP | 0.003 ** | |||||||||
| All | 257 | 97.3 | 17.63 (15.08–20.60) | ND | 9.75 (8.38–11.21) | 18.12 (15.32–19.73) | 29.26 (27.45–34.28) | 176.20 (103.51–228.57) | 1218.8 | |
| A | 60 | 88.3 | 15.71 (9.36–26.38) | ND | 10.06 (6.09–12.70) | 21.15 (12.70–29.04) | 35.14 (29.04–86.84) | 183.74 (109.11–1218.8) | 1218.8 | |
| B | 40 | 100 | 19.16 (14.53–25.26) | 3.68 | 11.24 (6.91–15.79) | 18.88 (14.38–23.01) | 28.54 (20.94–37.23) | 46.81 (37.23–425.77) | 425.77 | |
| C | 59 | 100 | 12.69 (10.58–15.22) | 3.00 | 8.27 (7.05–9.75) | 11.62 (9.98–15.13) | 18.36 (15.13–21.89) | 30.89 (27.66–186.05) | 186.05 | |
| D | 38 | 100 | 24.42 (16.66–35.81) | 3.52 | 9.01 (5.54–19.72) | 25.47 (17.49–31.81) | 36.01 (28.12–99.10) | 156.33 (99.10–552.53) | 552.53 | |
| E | 60 | 100 | 21.02 (16.39–26.95) | 4.80 | 11.87 (7.14–14.36) | 18.17 (14.36–23.11) | 29.28 (23.11–37.81) | 194.68 (38.46–379.87) | 379.87 | |
| MEHP | <0.001 *** | |||||||||
| All | 257 | 82.1 | 17.10 (12.33–23.71) | ND | 6.87 (2.94–8.95) | 18.95 (15.57–28.10) | 147.92 (133.73–170.30) | 342.11 (266.53–510.44) | 37,009 | |
| A | 60 | 46.7 | 2.03 (0.93–4.40) | ND | ND (ND-ND) | ND (ND-14.33) | 29.01 (14.33–89.52) | 245.69 (137.50–450.07) | 450.07 | |
| B | 40 | 100 | 18.06 (12.77–25.53) | 4.61 | 9.03 (6.87–11.05) | 14.43 (10.12–17.37) | 24.40 (15.71–101.09) | 135.87 (101.09–395.58) | 395.58 | |
| C | 59 | 89.8 | 18.42 (10.86–31.26) | ND | 9.18 (5.65–11.36) | 18.11 (11.39–32.42) | 128.65 (38.02–143.91) | 161.95 (147.92–309.86) | 309.86 | |
| D | 38 | 78.9 | 5.82 (2.85–11.87) | ND | 2.56 (ND-8.00) | 9.57 (5.46–16.03) | 20.06 (13.19–27.29) | 129.36 (27.29–147.80) | 147.80 | |
| E | 60 | 100 | 255.7 (193.2–338.6) | 39.9 | 156.7 (139.3–172.0) | 208.9 (172.0–223.2) | 287.1 (223.2–355.9) | 970.2 (384.9–37,009) | 37,009 | |
| MEHHP | 0.552 | |||||||||
| All | 257 | 98.4 | 26.24 (22.56–30.52) | ND | 14.96 (12.78–16.70) | 24.62 (21.90–25.91) | 46.67 (35.33–84.23) | 186.76 (164.11–215.20) | 680.01 | |
| A | 60 | 93.3 | 23.35 (14.54–37.50) | ND | 14.11 (6.73–18.94) | 26.79 (18.94–36.19) | 79.30 (36.19–138.29) | 191.05 (175.39–221.48) | 221.48 | |
| B | 40 | 100 | 26.97 (19.94–36.49) | 6.10 | 14.86 (10.05–20.18) | 24.16 (16.74–27.73) | 33.37 (26.51–85.24) | 128.84 (85.24–680.01) | 680.01 | |
| C | 59 | 100 | 25.17 (19.96–31.72) | 2.79 | 16.08 (13.10–18.58) | 24.90 (19.78–26.80) | 33.03 (27.95–38.35) | 156.49 (75.29–263.28) | 263.28 | |
| D | 38 | 100 | 23.28 (16.29–33.27) | 2.05 | 12.17 (7.12–15.84) | 20.64 (14.30–26.24) | 35.08 (23.19–96.92) | 172.75 (96.92–259.08) | 259.08 | |
| E | 60 | 100 | 32.54 (25.07–42.23) | 4.56 | 16.65 (10.81–18.88) | 24.47 (18.88–35.10) | 85.97 (35.10–125.73) | 180.32 (126.52–201.20) | 201.20 | |
| MEOHP | <0.001 *** | |||||||||
| All | 257 | 92.6 | 10.56 (8.84–12.62) | ND | 7.07 (5.44–8.64) | 14.36 (11.94–16.11) | 23.92 (20.72–27.11) | 62.04 (37.85–108.89) | 121.55 | |
| A | 60 | 86.7 | 12.02 (7.34–19.67) | ND | 9.68 (2.04–13.85) | 22.30 (13.85–26.70) | 32.42 (26.70–48.04) | 109.32 (61.81–121.55) | 121.55 | |
| B | 40 | 77.5 | 3.67 (1.87–6.05) | ND | 2.58 (ND-4.28) | 5.25 (3.52–8.94) | 14.12 (6.39–20.46) | 26.89 (20.46–38.97) | 38.97 | |
| C | 59 | 98.3 | 14.61 (11.66–18.31) | ND | 10.63 (8.29–13.65) | 16.79 (14.52–19.24) | 21.87 (19.27–27.35) | 34.41 (31.93–93.82) | 93.82 | |
| D | 38 | 97.4 | 10.58 (7.46–15.01) | ND | 6.72 (4.27–9.08) | 11.29 (8.78–15.26) | 17.79 (13.16–25.11) | 40.85 (25.11–109.30) | 109.30 | |
| E | 60 | 100 | 14.44 (11.59–17.99) | 2.68 | 8.25 (5.57–9.86) | 14.18 (9.86–19.18) | 24.64 (19.18–32.35) | 85.14 (34.31–118.38) | 118.38 | |
| MECPP | <0.001 *** | |||||||||
| All | 257 | 97.3 | 33.29 (27.90–39.72) | ND | 16.83 (14.75–19.56) | 29.91 (25.98–31.77) | 88.37 (62.08–117.64) | 296.82 (243.38–380.21) | 621.22 | |
| A | 60 | 88.3 | 30.20 (16.70–54.61) | ND | 15.72 (5.36–26.95) | 39.08 (26.95–77.19) | 185.27 (77.19–245.94) | 336.72 (277.63–523.22) | 523.22 | |
| B | 40 | 100 | 23.84 (18.38–30.91) | 6.63 | 14.91 (9.90–19.63) | 21.74 (17.28–26.41) | 31.60 (24.98–35.77) | 109.45 (35.77–621.22) | 621.22 | |
| C | 59 | 100 | 27.48 (21.72–34.77) | 2.68 | 15.93 (11.35–20.82) | 25.98 (20.84–30.58) | 34.63 (30.63–64.08) | 210.12 (82.48–256.64) | 256.64 | |
| D | 38 | 100 | 29.16 (20.47–41.53) | 3.93 | 15.00 (10.15–19.66) | 24.14 (18.82–30.28) | 32.83 (28.22–101.68) | 279.61 (101.68–339.74) | 339.74 | |
| E | 60 | 100 | 60.19 (45.05–80.42) | 8.21 | 23.67 (16.95–30.62) | 80.77 (30.62–98.97) | 153.63 (98.97–210.92) | 339.18 (234.05–504.30) | 504.30 | |
| MCMHP | <0.001 *** | |||||||||
| All | 257 | 94.6 | 10.64 (8.90–12.73) | ND | 5.59 (4.45–6.34) | 11.67 (9.09–14.37) | 24.25 (21.25–29.44) | 98.62 (60.50–169.48) | 393.04 | |
| A | 60 | 90.0 | 13.12 (8.47–20.31) | ND | 10.41 (7.63–14.37) | 19.67 (14.37–24.97) | 33.85 (24.97–36.38) | 62.85 (38.18–364.15) | 364.15 | |
| B | 40 | 95.0 | 4.80 (3.41–6.74) | ND | 3.44 (2.53–3.69) | 5.38 (3.65–6.35) | 7.44 (6.07–10.26) | 13.16 (10.26–109.03) | 109.03 | |
| C | 59 | 96.6 | 8.55 (6.20–11.79) | ND | 4.72 (3.71–5.21) | 7.46 (5.24–9.50) | 16.37 (10.59–28.35) | 61.50 (29.44–240.95) | 240.95 | |
| D | 38 | 94.7 | 20.91 (11.80–37.05) | ND | 10.29 (4.04–16.77) | 22.89 (14.56–31.99) | 37.14 (28.77–114.52) | 322.69 (114.52–393.04) | 393.04 | |
| E | 60 | 96.7 | 11.88 (8.79–16.06) | ND | 7.37 (4.79–9.01) | 13.84 (9.01–17.54) | 21.31 (17.54–28.27) | 81.77 (34.39–101.69) | 101.69 | |
| MiNP | <0.001 *** | |||||||||
| All | 257 | 36.6 | 0.79 (0.59–1.04) | ND | ND (ND-ND) | ND (ND-ND) | 8.37 (4.29–11.13) | 37.46 (28.67–134.00) | 462.14 | |
| A | 60 | 70.0 | 3.63 (2.01–6.53) | ND | ND (ND-2.73) | 8.67 (2.73–14.44) | 18.83 (14.44–24.87) | 42.47 (28.82–230.50) | 230.50 | |
| B | 40 | 7.5 | 0.19 (0.14–0.26) | ND | ND (ND-ND) | ND (ND-ND) | ND (ND-ND) | 2.36 (ND-7.57) | 7.57 | |
| C | 59 | 11.9 | 0.26 (0.17–0.41) | ND | ND (ND-ND) | ND (ND-ND) | ND (ND-ND) | 10.68 (ND-346.37) | 346.37 | |
| D | 38 | 18.4 | 0.30 (0.18–0.50) | ND | ND (ND-ND) | ND (ND-ND) | ND (ND-5.59) | 8.56 (5.59–14.67) | 14.67 | |
| E | 60 | 58.3 | 2.33 (1.22–4.48) | ND | ND (ND-ND) | 4.24 (ND-11.13) | 16.99 (11.13–30.64) | 118.47 (37.67–462.14) | 462.14 | |
| ΣDEHPm (nmole/mL) c | <0.001 *** | |||||||||
| All | 257 | 0.54 (0.46–0.63) | <0.01 | 0.25 (0.22–0.29) | 0.56 (0.44–0.67) | 1.17 (1.00–1.42) | 2.96 (2.57–4.26) | 133.14 | ||
| A | 60 | 0.43 (0.29–0.64) | <0.01 | 0.22 (0.16–0.27) | 0.43 (0.27–0.71) | 1.52 (0.71–1.99) | 2.67 (2.16–4.74) | 4.74 | ||
| B | 40 | 0.31 (0.23–0.41) | 0.09 | 0.17 (0.12–0.22) | 0.27 (0.20–0.37) | 0.51 (0.32–0.69) | 1.33 (0.69–5.24) | 5.24 | ||
| C | 59 | 0.46 (0.37–0.57) | 0.03 | 0.29 (0.23–0.33) | 0.52 (0.33–0.69) | 0.74 (0.70–0.93) | 1.72 (1.07–2.00) | 2.00 | ||
| D | 38 | 0.36 (0.25–0.52) | 0.03 | 0.20 (0.13–0.25) | 0.30 (0.23–0.38) | 0.56 (0.37–1.17) | 2.83 (1.17–4.07) | 4.07 | ||
| E | 60 | 1.52 (1.16–2.00) | 0.20 | 0.87 (0.67–1.04) | 1.22 (1.04–1.43) | 2.05 (1.43–2.67) | 4.96 (2.98–133.14) | 133.14 | ||
| ΣDBPm (nmole/mL) d | <0.001 *** | |||||||||
| All | 257 | 0.14 (0.12–0.17) | <0.01 | 0.08 (0.07–0.09) | 0.14 (0.12–0.15) | 0.23 (0.22–0.27) | 1.50 (0.90–2.42) | 5.93 | ||
| A | 60 | 0.16 (0.09–0.26) | <0.01 | 0.09 (0.05–0.13) | 0.21 (0.13–0.25) | 0.41 (0.25–0.70) | 2.78 (0.90–5.93) | 5.93 | ||
| B | 40 | 0.15 (0.12–0.19) | 0.04 | 0.10 (0.06–0.12) | 0.14 (0.11–0.17) | 0.22 (0.16–0.28) | 0.72 (0.28–2.28) | 2.28 | ||
| C | 59 | 0.10 (0.08–0.12) | 0.01 | 0.06 (0.05–0.07) | 0.09 (0.07–0.12) | 0.15 (0.12–0.19) | 0.52 (0.20–1.75) | 1.75 | ||
| D | 38 | 0.20 (0.14–0.30) | 0.02 | 0.09 (0.04–0.14) | 0.20 (0.11–0.27) | 0.44 (0.22–0.79) | 1.61 (0.79–3.34) | 3.34 | ||
| E | 60 | 0.15 (0.12–0.20) | 0.03 | 0.09 (0.05–0.11) | 0.14 (0.11–0.16) | 0.22 (0.16–0.25) | 1.43 (0.57–2.42) | 2.42 | ||
| Index | n | >1 (%) | GM (95%CI) | Min | Selected Percentiles | Max | p-Value a | |||
|---|---|---|---|---|---|---|---|---|---|---|
| 25th (95% CI) | 50th (95% CI) | 75th (95% CI) | 95th (95% CI) | |||||||
| HQDEHP | <0.001 *** | |||||||||
| All | 257 | 1.6 | 0.11 (0.10–0.13) | <0.01 | 0.05 (0.05–0.06) | 0.11 (0.09–0.13) | 0.24 (0.20–0.27) | 0.55 (0.47–0.70) | 53.51 | |
| A | 60 | 0 | 0.08 (0.06–0.12) | <0.01 | 0.05 (0.03–0.07) | 0.11 (0.07–0.15) | 0.21 (0.15–0.27) | 0.43 (0.30–0.68) | 0.68 | |
| B | 40 | 0 | 0.07 (0.06–0.08) | 0.01 | 0.05 (0.03–0.05) | 0.06 (0.05–0.09) | 0.09 (0.08–0.13) | 0.17 (0.13–0.51) | 0.51 | |
| C | 59 | 0 | 0.09 (0.07–0.11) | 0.01 | 0.05 (0.04–0.05) | 0.08 (0.06–0.11) | 0.15 (0.11–0.22) | 0.30 (0.24–0.55) | 0.55 | |
| D | 38 | 0 | 0.08 (0.06–0.11) | 0.03 | 0.05 (0.03–0.05) | 0.06 (0.05–0.09) | 0.13 (0.08–0.27) | 0.38 (0.27–0.93) | 0.93 | |
| E | 60 | 6.7 | 0.33 (0.25–0.43) | 0.05 | 0.18 (0.14–0.23) | 0.27 (0.23–0.36) | 0.46 (0.36–0.56) | 1.41 (0.65–53.51) | 53.51 | |
| HQDnBP | <0.001 *** | |||||||||
| All | 257 | 1.2 | 0.05 (0.04–0.05) | <0.01 | 0.03 (0.03–0.03) | 0.04 (0.04–0.05) | 0.07 (0.06–0.08) | 0.32 (0.20–0.51) | 1.42 | |
| A | 60 | 1.7 | 0.04 (0.02–0.06) | <0.01 | 0.03 (0.02–0.04) | 0.06 (0.04–0.06) | 0.13 (0.06–0.16) | 0.32 (0.17–1.04) | 1.04 | |
| B | 40 | 2.5 | 0.05 (0.04–0.07) | 0.01 | 0.03 (0.03–0.04) | 0.05 (0.04–0.06) | 0.07 (0.05–0.10) | 0.14 (0.10–1.16) | 1.16 | |
| C | 59 | 0 | 0.03 (0.03–0.04) | 0.01 | 0.02 (0.02–0.03) | 0.03 (0.03–0.03) | 0.04 (0.03–0.05) | 0.07 (0.05–0.34) | 0.34 | |
| D | 38 | 2.6 | 0.07 (0.05–0.10) | 0.02 | 0.03 (0.03–0.04) | 0.06 (0.04–0.08) | 0.10 (0.08–0.17) | 0.50 (0.17–1.42) | 1.42 | |
| E | 60 | 0 | 0.06 (0.05–0.07) | 0.02 | 0.04 (0.03–0.04) | 0.05 (0.04–0.06) | 0.07 (0.06–0.13) | 0.25 (0.17–0.96) | 0.96 | |
| HQDiBP | <0.001 *** | |||||||||
| All | 257 | 0.8 | 0.04 (0.03–0.04) | <0.01 | 0.02 (0.02–0.02) | 0.03 (0.03–0.04) | 0.07 (0.06–0.09) | 0.42 (0.22–0.59) | 2.78 | |
| A | 60 | 1.7 | 0.04 (0.02–0.06) | <0.01 | 0.02 (<0.01–0.04) | 0.06 (0.04–0.08) | 0.12 (0.08–0.15) | 0.59 (0.28–1.30) | 1.30 | |
| B | 40 | 0 | 0.04 (0.03–0.05) | 0.01 | 0.02 (0.02–0.04) | 0.04 (0.04–0.05) | 0.06 (0.04–0.09) | 0.19 (0.09–0.27) | 0.27 | |
| C | 59 | 0 | 0.02 (0.02–0.03) | <0.01 | 0.01 (0.01–0.02) | 0.02 (0.02–0.03) | 0.03 (0.03–0.04) | 0.13 (0.06–0.45) | 0.45 | |
| D | 38 | 2.6 | 0.05 (0.03–0.08) | <0.01 | 0.02 (0.01–0.03) | 0.04 (0.03–0.06) | 0.09 (0.05–0.27) | 0.60 (0.27–2.78) | 2.78 | |
| E | 60 | 0 | 0.04 (0.03–0.05) | 0.01 | 0.02 (0.02–0.03) | 0.03 (0.03–0.04) | 0.04 (0.04–0.09) | 0.20 (0.13–0.84) | 0.84 | |
| HQDiNP | <0.001 *** | |||||||||
| All | 257 | 5.4 | 0.02 (0.01–0.03) | <0.01 | <0.01 (<0.01–<0.01) | 0.01 (0.01–0.01) | 0.16 (0.09–0.27) | 1.12 (0.61–2.84) | 7.44 | |
| A | 60 | 6.7 | 0.08 (0.05–0.15) | <0.01 | 0.01 (<0.01–0.06) | 0.18 (0.06–0.36) | 0.47 (0.36–0.55) | 1.09 (0.74–6.15) | 6.15 | |
| B | 40 | 0 | <0.01 (<0.01–0.01) | <0.01 | <0.01 (<0.01–<0.01) | <0.01 (<0.01–0.01) | 0.01 (0.01–0.01) | 0.06 (0.01–0.09) | 0.09 | |
| C | 59 | 3.4 | 0.01 (<0.01–0.01) | <0.01 | <0.01 (<0.01–<0.01) | <0.01 (<0.01–<0.01) | 0.01 (0.01–0.01) | 0.21 (0.01–7.02) | 7.02 | |
| D | 38 | 0 | 0.01 (<0.01–0.01) | <0.01 | <0.01 (<0.01–<0.01) | <0.01 (<0.01–0.01) | 0.01 (0.01–0.09) | 0.22 (0.09–0.49) | 0.49 | |
| E | 60 | 13.3 | 0.06 (0.03–0.11) | <0.01 | 0.01 (<0.01–0.01) | 0.09 (0.01–0.23) | 0.42 (0.23–0.64) | 2.88 (1.41–7.44) | 7.44 | |
| HQBBzP | <0.001 *** | |||||||||
| All | 257 | 0 | 4.4 × 10−4 (3.6 × 10−4–5.7 × 10−4) | 3.1 × 10−5 | 9.4 × 10−5 (7.4 × 10−5–1.1 × 10−4) | 1.9 × 10−4 (1.5 × 10−4–3.2 × 10−4) | 2.5 × 10−3 (1.7 × 10−3–3.1 × 10−3) | 9.2 × 10−3 (6.7 × 10−3–1.5 × 10−2) | 2.2 × 10−1 | |
| A | 60 | 0 | 1.2 × 10−3 (7.3 × 10−4–2.1 × 10−3) | 4.8 × 10−5 | 1.5 × 10−4 (9.6 × 10−5–6.5 × 10−4) | 2.1 × 10−3 (6.5 × 10−4–3.1 × 10−3) | 5.8 × 10−3 (3.1 × 10−3–7.2 × 10−3) | 3.2 × 10−2 (9.2 × 10−3–2.2 × 10−1) | 2.2 × 10−1 | |
| B | 40 | 0 | 1.5 × 10−4 (1.0 × 10−4–2.2 × 10−4) | 3.2 × 10−5 | 7.3 × 10−5 (6.2 × 10−5–9.2 × 10−5) | 1.1 × 10−4 (8.7 × 10−5–1.3 × 10−4) | 1.7 × 10−4 (1.3 × 10−4–3.0 × 10−4) | 2.6 × 10−3 (3.0 × 10−4–6.1 × 10−3) | 6.1 × 10−3 | |
| C | 59 | 0 | 3.9 × 10−4 (2.4 × 10−4–6.3 × 10−4) | 4.0 × 10−5 | 7.1 × 10−5 (5.9 × 10−5–1.1 × 10−4) | 1.7 × 10−4 (1.1 × 10−4–9.0 × 10−4) | 1.7 × 10−3 (1.2 × 10−3–2.7 × 10−3) | 6.6 × 10−3 (3.6 × 10−3–2.8 × 10−2) | 2.8 × 10−2 | |
| D | 38 | 0 | 1.7 × 10−4 (1.1 × 10−4–2.6 × 10−4) | 3.3 × 10−5 | 7.7 × 10−5 (5.3 × 10−5–9.4 × 10−5) | 1.1 × 10−4 (9.0 × 10−5–1.6 × 10−4) | 2.1 × 10−4 (1.4 × 10−4–9.3 × 10−4) | 3.0 × 10−3 (9.3 × 10−4–5.3 × 10−3) | 5.3 × 10−3 | |
| E | 60 | 0 | 7.2 × 10−4 (4.5 × 10−4–1.2 × 10−3) | 3.1 × 10−5 | 1.3 × 10−4 (9.2 × 10−5–1.9 × 10−4) | 9.7 × 10−4 (1.9 × 10−4–1.8 × 10−3) | 4.2 × 10−3(1.8 × 10−3–5.6 × 10−3) | 9.4 × 10−3 (6.4 × 10−3–2.7 × 10−2) | 2.7 × 10−2 | |
| HQDEP | 0.493 | |||||||||
| All | 257 | 0 | 6.4 × 10−4 (5.1 × 10−4–7.9 × 10−4) | 5.1 × 10−6 | 3.2 × 10−4 (2.6 × 10−4–3.7 × 10−4) | 6.5 × 10−4 (5.6 × 10−4–7.9 × 10−4) | 1.6 × 10−3 (1.3 × 10−3–2.3 × 10−3) | 7.7 × 10−3 (5.7 × 10−3–1.4 × 10−2) | 4.3 × 10−1 | |
| A | 60 | 0 | 5.9 × 10−4 (3.5 × 10−4–1.0 × 10−3) | 5.1 × 10−6 | 2.8 × 10−4 (1.2 × 10−4–5.5 × 10−4) | 8.3 × 10−4 (5.5 × 10−4–1.3 × 10−3) | 1.6 × 10−3 (1.3 × 10−3–2.8 × 10−3) | 6.8 × 10−3 (3.5 × 10−3–5.1 × 10−2) | 5.1 × 10−2 | |
| B | 40 | 0 | 7.7 × 10−4 (4.4 × 10−4–1.3 × 10−3) | 6.2 × 10−6 | 3.6 × 10−4 (2.2 × 10−4–5.9 × 10−4) | 7.8 × 10−4 (4.6 × 10−4–1.2 × 10−3) | 2.1 × 10−3 (1.1 × 10−3–4.1 × 10−3) | 8.0 × 10−3 (4.1 × 10−3–3.3 × 10−2) | 3.3 × 10−2 | |
| C | 59 | 0 | 7.9 × 10−4 (5.3 × 10−4–1.2 × 10−3) | 2.5 × 10−5 | 3.7 × 10−4 (3.1 × 10−4–4.4 × 10−4) | 6.7 × 10−4 (4.7 × 10−4–9.7 × 10−4) | 2.2 × 10−3 (1.1 × 10−3–2.9 × 10−3) | 5.1 × 10−3 (3.1 × 10−3–4.3 × 10−1) | 4.3 × 10−1 | |
| D | 38 | 0 | 6.0 × 10−4 (3.2 × 10−4–1.1 × 10−3) | 5.7 × 10−6 | 2.6 × 10−4 (1.6 × 10−4–4.4 × 10−4) | 5.2 × 10−4 (3.4 × 10−4–9.8 × 10−4) | 1.2 × 10−3 (8.2 × 10−4–4.7 × 10−3) | 7.9 × 10−3 (4.7 × 10−3–7.8 × 10−2) | 7.8 × 10−2 | |
| E | 60 | 0 | 5.1 × 10−4 (3.3 × 10−4–8.0 × 10−4) | 1.1 × 10−5 | 3.1 × 10−4 (1.3 × 10−4–3.6 × 10−4) | 5.2 × 10−4 (3.6 × 10−4–6.8 × 10−4) | 9.6 × 10−4 (6.8 × 10−4–2.0 × 10−3) | 7.8 × 10−3 (4.2 × 10−3–3.6 × 10−2) | 3.6 × 10−2 | |
| HIhep b | <0.001 *** | |||||||||
| All | 257 | 13.2 | 0.33 (0.28–0.38) | <0.01 | 0.15 (0.13–0.17) | 0.32 (0.26–0.41) | 0.66 (0.58–0.75) | 1.79 (1.37–2.67) | 133.78 | |
| A | 60 | 8.3 | 0.30 (0.21–0.43) | <0.01 | 0.19 (0.10–0.26) | 0.43 (0.26–0.49) | 0.61 (0.49–0.84) | 1.78 (0.94–2.67) | 2.67 | |
| B | 40 | 2.5 | 0.17 (0.14–0.21) | 0.03 | 0.12 (0.09–0.14) | 0.15 (0.13–0.22) | 0.23 (0.20–0.32) | 0.44 (0.32–1.29) | 1.29 | |
| C | 59 | 3.4 | 0.24 (0.19–0.30) | 0.02 | 0.13 (0.10–0.17) | 0.25 (0.18–0.28) | 0.42 (0.29–0.60) | 0.79 (0.69–2.47) | 2.47 | |
| D | 38 | 5.3 | 0.22 (0.17–0.29) | 0.07 | 0.13 (0.08–0.16) | 0.17 (0.14–0.23) | 0.33 (0.19–0.68) | 0.96 (0.68–2.33) | 2.33 | |
| E | 60 | 40.0 | 0.96 (0.73–1.28) | 0.13 | 0.52 (0.46–0.61) | 0.72 (0.61–1.09) | 1.37 (1.09–1.69) | 3.85 (1.85–133.78) | 133.78 | |
| HIrep | <0.001 *** | |||||||||
| All | 257 | 7.8 | 0.24 (0.21–0.28) | <0.01 | 0.14 (0.12–0.15) | 0.24 (0.21–0.27) | 0.41 (0.37–0.48) | 1.19 (0.94–1.97) | 53.81 | |
| A | 60 | 11.7 | 0.22 (0.15–0.32) | <0.01 | 0.15 (0.10–0.23) | 0.32 (0.23–0.39) | 0.48 (0.39–0.54) | 1.19 (0.70–1.97) | 1.97 | |
| B | 40 | 2.5 | 0.18 (0.15–0.23) | 0.04 | 0.12 (0.10–0.15) | 0.17 (0.13–0.21) | 0.25 (0.20–0.29) | 0.60 (0.29–1.53) | 1.53 | |
| C | 59 | 0 | 0.16 (0.13–0.19) | 0.05 | 0.09 (0.07–0.11) | 0.15 (0.11–0.20) | 0.27 (0.20–0.30) | 0.41 (0.35–0.84) | 0.84 | |
| D | 38 | 7.9 | 0.26 (0.19–0.35) | 0.06 | 0.14 (0.11–0.17) | 0.18 (0.15–0.31) | 0.36 (0.29–0.62) | 2.11 (0.62–3.16) | 3.16 | |
| E | 60 | 15.0 | 0.47 (0.36–0.61) | 0.12 | 0.25 (0.21–0.29) | 0.41 (0.29–0.49) | 0.62 (0.49–0.79) | 1.97 (1.03–53.81) | 53.81 | |
| Daily Intakes/Index | A (n = 60) | B (n = 40) | C (n = 59) | D (n = 38) | E (n = 60) | p Value a |
|---|---|---|---|---|---|---|
| Mean b | ||||||
| DEHP | 7.48 | 4.30 | 5.87 | 6.45 | 80.44 | 0.011 * |
| DnBP | 0.99 | 0.94 | 0.39 | 1.41 | 0.91 | 0.924 |
| DiBP | 1.37 | 0.58 | 0.43 | 1.76 | 0.68 | 0.358 |
| DEP | 1.24 | 1.25 | 4.28 | 1.79 | 1.04 | 0.864 |
| DMP | 0.39 | 0.57 | 0.67 | 1.28 | 0.50 | 0.013 * |
| HQDEHP | 0.15 | 0.09 | 0.12 | 0.13 | 1.61 | 0.011 * |
| HQDnBP | 0.10 | 0.09 | 0.04 | 0.14 | 0.09 | 0.924 |
| HQDiBP | 0.14 | 0.06 | 0.04 | 0.18 | 0.07 | 0.358 |
| HQDEP | 0.002 | 0.003 | 0.009 | 0.004 | 0.002 | 0.864 |
| HIhep | 0.53 | 0.22 | 0.35 | 0.34 | 4.22 | 0.010 * |
| HIrep | 0.39 | 0.24 | 0.20 | 0.45 | 1.77 | 0.014 * |
Disclaimer/Publisher’s Note: The statements, opinions and data contained in all publications are solely those of the individual author(s) and contributor(s) and not of MDPI and/or the editor(s). MDPI and/or the editor(s) disclaim responsibility for any injury to people or property resulting from any ideas, methods, instructions or products referred to in the content. |
© 2023 by the authors. Licensee MDPI, Basel, Switzerland. This article is an open access article distributed under the terms and conditions of the Creative Commons Attribution (CC BY) license (https://creativecommons.org/licenses/by/4.0/).
Share and Cite
Wang, C.-W.; Cheng, P.-K.; Ponnusamy, V.K.; Chiang, H.-C.; Chang, W.-T.; Huang, P.-C. Exposure Characteristics and Cumulative Risk Assessment for Phthalates in Children Living near a Petrochemical Complex. Toxics 2023, 11, 57. https://doi.org/10.3390/toxics11010057
Wang C-W, Cheng P-K, Ponnusamy VK, Chiang H-C, Chang W-T, Huang P-C. Exposure Characteristics and Cumulative Risk Assessment for Phthalates in Children Living near a Petrochemical Complex. Toxics. 2023; 11(1):57. https://doi.org/10.3390/toxics11010057
Chicago/Turabian StyleWang, Chih-Wen, Po-Keng Cheng, Vinoth Kumar Ponnusamy, Hung-Che Chiang, Wan-Ting Chang, and Po-Chin Huang. 2023. "Exposure Characteristics and Cumulative Risk Assessment for Phthalates in Children Living near a Petrochemical Complex" Toxics 11, no. 1: 57. https://doi.org/10.3390/toxics11010057
APA StyleWang, C.-W., Cheng, P.-K., Ponnusamy, V. K., Chiang, H.-C., Chang, W.-T., & Huang, P.-C. (2023). Exposure Characteristics and Cumulative Risk Assessment for Phthalates in Children Living near a Petrochemical Complex. Toxics, 11(1), 57. https://doi.org/10.3390/toxics11010057

