Ethanol and Medical Psychotropics Co-Consumption in European Countries: Results from a Three-Year Retrospective Study of Forensic Samples in Spain
Abstract
1. Introduction
2. Materials and Methods
2.1. Study Population
2.2. Toxicological Analysis
2.3. Statistical Analyses
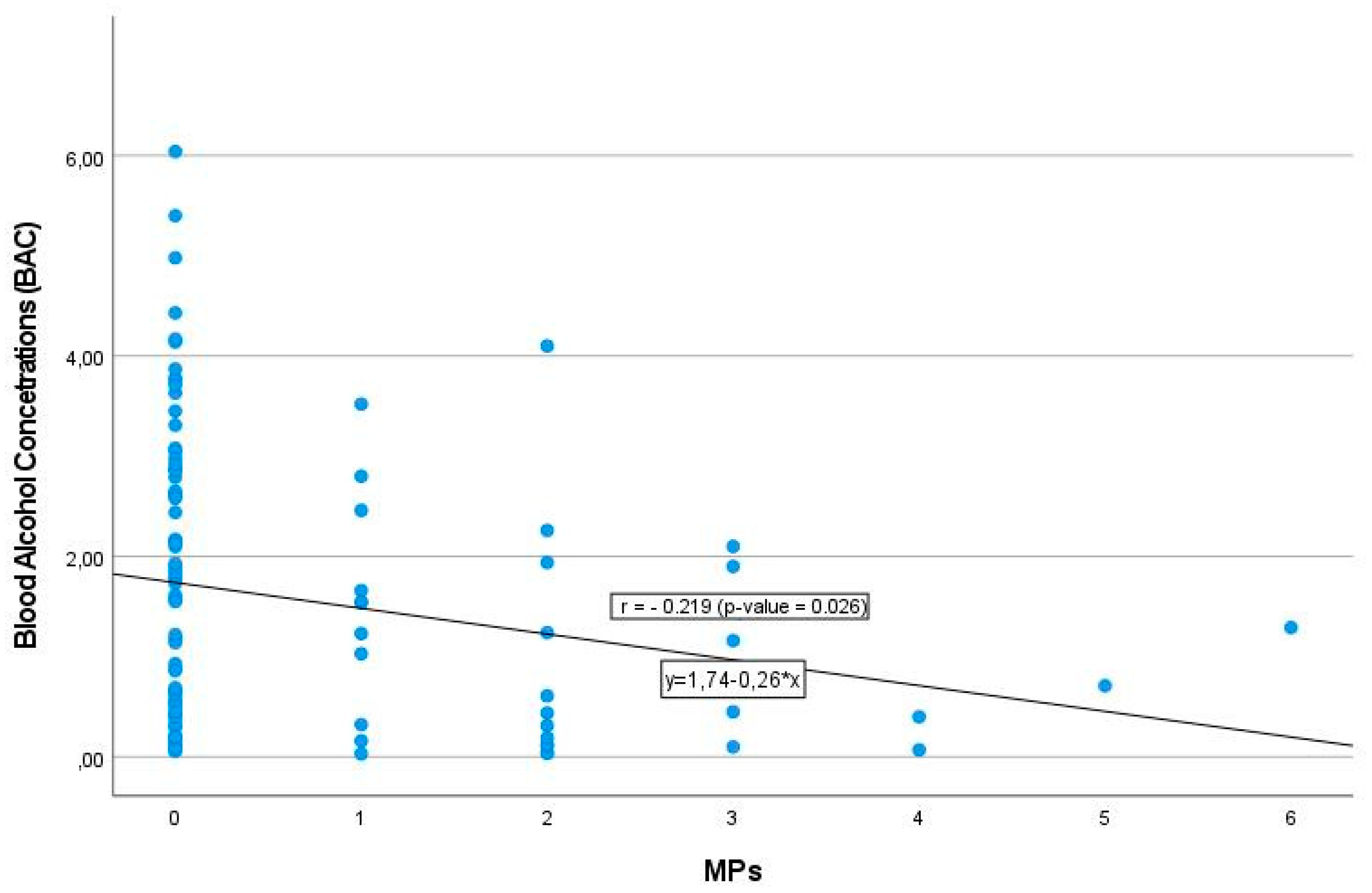
3. Results and Discussion
Author Contributions
Funding
Institutional Review Board Statement
Informed Consent Statement
Data Availability Statement
Conflicts of Interest
References
- McHugh, R.K.; Nielsen, S.; Weiss, R.D. Prescription drug abuse: From epidemiology to public policy. J. Subst. Abus. Treat. 2015, 48, 1–7. [Google Scholar] [CrossRef] [PubMed]
- Gowing, L.R.; Ali, R.L.; Allsop, S.; Marsden, J.; Turf, E.E.; West, R.; Witton, J. Global statistics on addictive behaviours: 2014 status report. Addiction 2015, 110, 904–919. [Google Scholar] [CrossRef] [PubMed]
- WHO. Global Status Report on Alcohol and Health. 2014. Available online: http://www.who.int/substance_abuse/publications/global_alcohol_report/en/ (accessed on 5 June 2022).
- Almeida-González, M.; Henríquez-Hernández, L.A.; Luzardo, O.P.; Zumbado, M.; Zaragoza, E.; Meilán, M.J.; Camacho, M.; Boada, L.D. Ethanol levels in legally autopsied subjects: Analytical approach and epidemiological relevance in a prospective study in the touristic region of the Canary Islands (Spain). J. Forensic Leg. Med. 2017, 52, 40–45. [Google Scholar] [CrossRef] [PubMed]
- Tominaga, M.; Michiue, T.; Inamori-Kawamoto, O.; Hishmat, A.M.; Oritani, S.; Takama, M.; Ishikawa, T.; Maeda, H. Efficacy of drug screening in forensic autopsy: Retrospective investigation of routine toxicological findings. Leg. Med. 2015, 17, 172–176. [Google Scholar] [CrossRef]
- Júnior, E.F.; dos Santos, J.B.A.; Caldas, E.D. Drugs, pesticides and metabolites in forensic post-mortem blood samples. Med. Sci. Law 2021, 61, 97–104. [Google Scholar] [CrossRef]
- Drummer, O. Benzodiazepines—Effects on Human Performance and Behavior. Forensic Sci. Rev. 2002, 14, 1–14. [Google Scholar]
- Amado-Boccara, I.; Gougoulis, N.; Littré, M.F.P.; Galinowski, A.; Lôo, H. Effects of antidepressants on cognitive functions: A review. Neurosci. Biobehav. Rev. 1995, 19, 479–493. [Google Scholar] [CrossRef]
- Gerardin, M.M.; Guigand, G.; Wainstein, L.; Jolliet, P.; Victorri-Vigneau, C.; Clement, R. Evaluation of problematic psychoactive substances use in people placed in police custody. J. Forensic Leg. Med. 2017, 49, 24–32. [Google Scholar] [CrossRef]
- Almeida-González, M.; Boada, L.D.; Henríquez-Hernández, L.A.; Luzardo, O.P.; Zaragoza, E.; Burillo-Putze, G.; Quintana-Montesdeoca, M.P.; Zumbado, M. Medical Psychotropics in Forensic Autopsies in European Countries: Results from a Three-Year Retrospective Study in Spain. Toxics 2022, 10, 64. [Google Scholar] [CrossRef]
- Frost, J.; Slørdal, L.; Vege, A.; Nordrum, I.S. Forensic autopsies in a naturalistic setting in Norway: Autopsy rates and toxicological findings. Forensic Sci. Int. 2012, 223, 353–358. [Google Scholar] [CrossRef]
- Tanaka, E.; Misawa, S. Pharmacokinetic interactions between acute alcohol ingestion and single doses of benzodiazepines, and tricyclic and tetracyclic antidepressants—An update. J. Clin. Pharm. Ther. 1998, 23, 331–336. [Google Scholar] [CrossRef] [PubMed]
- Van Gorder, P.N.; Hoffman, W.; Baughman, V.; Albrecht, R.F.; Miletich, D.J.; Guzman, F.; Cook, J.M. Midazolam-Ethanol Interactions and Reversal with a Benzodiazepine Antagonist. Anesth. Analg. 1985, 64, 129–135. [Google Scholar] [CrossRef] [PubMed]
- Koski, A.; Vuori, E.; Ojanperä, I. Relation of postmortem blood alcohol and drug concentrations in fatal poisonings involving amitriptyline, propoxyphene and promazine. Hum. Exp. Toxicol. 2005, 24, 389–396. [Google Scholar] [CrossRef]
- McAuley, A.; Matheson, C.; Robertson, J. From the clinic to the street: The changing role of benzodiazepines in the Scottish overdose epidemic. Int. J. Drug Policy 2021, 100, 103512. [Google Scholar] [CrossRef] [PubMed]
- Dai, Z.; Abate, M.A.; Long, D.L.; Smith, G.S.; Halki, T.M.; Kraner, J.C.; Mock, A.R. Quantifying enhanced risk from alcohol and other factors in polysubstance-related deaths. Forensic Sci. Int. 2020, 313, 110352. [Google Scholar] [CrossRef]
- Di Nunno, N.; Esposito, M.; Argo, A.; Salerno, M.; Sessa, F. Pharmacogenetics and Forensic Toxicology: A New Step towards a Multidisciplinary Approach. Toxics 2021, 9, 292. [Google Scholar] [CrossRef]
- Almeida-González, M.; Luzardo, O.P.; Boada, L.D.; Zaragoza, E.; Meilán, M.J.; Zumbado, M.; Henríquez-Hernández, L.A. Ethanol levels in legally autopsied subjects (2016–2017): Update of data and epidemiological implications in relation to violent deaths in Canary Islands (Spain). J. Forensic Leg. Med. 2019, 68, 101868. [Google Scholar] [CrossRef]
- Hansen, S.L.; Klose, M.K.; Linnet, N.K.; Rasmussen, B.S. Simple implementation of muscle tissue into routine workflow of blood analysis in forensic cases—A validated method for quantification of 29 drugs in postmortem blood and muscle samples by UHPLC–MS/MS. Forensic Sci. Int. 2021, 325, 11090. [Google Scholar] [CrossRef]
- Carrasco-Garrido, P.; Jiménez-García, R.; Astasio-Arbiza, P.; Ortega-Molina, P.; de Miguel, A.G. Psychotropics use in the Spanish elderly: Predictors and evolution between years 1993 and 2003. Pharmacoepidemiol. Drug Saf. 2007, 16, 449–457. [Google Scholar] [CrossRef]
- Landolt, S.; Rosemann, T.; Blozik, E.; Brüngger, B.; Huber, C.A. Benzodiazepine and Z-Drug Use in Switzerland: Prevalence, Prescription Patterns and Association with Adverse Healthcare Outcomes. Neuropsychiatr. Dis. Treat. 2021, 17, 1021–1034. [Google Scholar] [CrossRef]
- Lagnaoui, R.; Depont, F.; Fourrier, A.; Abouelfath, A.; Bégaud, B.; Verdoux, H.; Moore, N. Patterns and correlates of benzodiazepine use in the French general population. Eur. J. Clin. Pharmacol. 2004, 60, 523–529. [Google Scholar] [CrossRef] [PubMed]
- Organisation for Economic Co-Operation and Development (OECD). Available online: https://stats.oecd.org/Index.aspx?DataSetCode=HEALTH_PHMC (accessed on 3 April 2022).
- Forsman, J.; Taipale, H.; Masterman, T.; Tiihonen, J.; Tanskanen, A. Comparison of dispensed medications and forensic-toxicological findings to assess pharmacotherapy in the Swedish population 2006 to 2013. Pharmacoepidemiol. Drug Saf. 2006, 27, 1112–1122. [Google Scholar] [CrossRef] [PubMed]
- Hedlund, J.; Forsman, J.; Sturup, J.; Masterman, T. Psychotropic Medications in Swedish Homicide Victims and Offenders: A Forensic-Toxicological Case-Control Study of Adherence and Recreational Use. J. Clin. Psychiatry 2017, 78, e797–e802. [Google Scholar] [CrossRef] [PubMed]
- Darke, S.; Duflou, J.; Torok, M. Drugs and violent death: Comparative toxicology of homicide and non-substance toxicity suicide victims. Addiction 2009, 104, 1000–1005. [Google Scholar] [CrossRef] [PubMed]
- Schumann, J.; Perkins, M.; Dietze, P.D.; Nambiar, B.; Mitra, D.; Gerostamoulos, O.; Drummer, O.P.; Cameron, K.; Smithch, K.; Beck, B. The prevalence of alcohol and other drugs in fatal road crashes in Victoria, Australia. Accid. Anal. Prev. 2021, 153, 105905. [Google Scholar] [CrossRef]
- Masnoon, N.; Shakib, S.; Kalisch-Ellett, L.; Caughey, G.E. What is polypharmacy? A systematic review of definitions. BMC Geriatr. 2017, 17, 230. [Google Scholar] [CrossRef]
- Brett, J.; Pearson, S.; Daniels, B.; Wylie, C.E.; Buckley, N.A. A cross sectional study of psychotropic medicine use in Australia in 2018: A focus on polypharmacy. Br. J. Clin. Pharmacol. 2021, 87, 1369–1377. [Google Scholar] [CrossRef]
- Hernández-Rodríguez, M.; Sempere-Verdú, E.; Vicens-Caldentey, C.; González-Rubio, F.; Miguel-García, F.; Palop-Larrea, V.; Orueta-Sánchez, R.; Esteban-Jiménez, O.; Sempere-Manuel, M.; Arroyo-Aniés, M.; et al. Drug Prescription Profiles in Patients with Polypharmacy in Spain: A Large-Scale Pharmacoepidemiologic Study Using Real-World Data. Int. J. Environ. Res. Public Health 2021, 18, 4754. [Google Scholar] [CrossRef]
- Zitoun, S.; Baudouin, E.; Corruble, E.; Vidal, J.S.; Becquemont, L.; Duron, E. Use of potentially driver-impairing drugs among older drivers. BMC Geriatr. 2022, 22, 4. [Google Scholar] [CrossRef]
- Cox, D.E.; Sadler, D.W.; Pounder, D.J. Alcohol estimation at necropsy: Epidemiology, economics, and the elderly. J. Clin. Pathol. 1997, 50, 197–201. [Google Scholar] [CrossRef]
- Bedford, D.; O’Farrell, A.; Howell, F. Blood alcohol levels in persons who died from accidents and suicide. Ir. Med. J. 2006, 99, 80–83. [Google Scholar]
- Škibin, L.; Bilban, M.; Balažic, J. Harmful alcohol use of those who died a violent death (the extended region of Ljubljana 1995–1999). Forensic Sci. Int. 2005, 147, S49–S52. [Google Scholar] [CrossRef] [PubMed]
- Martia, V.; Augsburgerb, M.; Widmerb, C.; Lardi, C. Significant postmortem diffusion of ethanol: A case report. Forensic Sci. Int. 2021, 328, 111046. [Google Scholar] [CrossRef] [PubMed]
- Cone, E.J.; Fant, R.V.; Rohay, J.M.; Caplan, Y.H.; Ballina, M.; Reder, R.F.; Haddox, J.D. Oxycodone Involvement in Drug Abuse Deaths. II. Evidence for Toxic Multiple Drug-Drug Interactions. J. Anal. Toxicol. 2004, 28, 616–624. [Google Scholar] [CrossRef] [PubMed]
- Buhagiar, L.M.; Casha, M.; Grech, A.; Inglott, A.S.; LaFerla, G. The interplay between pharmacogenetics, concomitant drugs and blood levels of amitriptyline and its main metabolites. Pers. Med. 2022, 19, 113–123. [Google Scholar] [CrossRef] [PubMed]
- Koski, A.; Ojanperä, I.; Vuori, E. Interaction of alcohol and drugs in fatal poisonings. Hum. Exp. Toxicol. 2003, 22, 281–287. [Google Scholar] [CrossRef]
- Wolf, C.R.; Smith, G.; Smith, R.L. Pharmacogenetics. BMJ 2000, 320, 987. [Google Scholar] [CrossRef]
- Thomasson, H.R.; Beard, J.D.; Li, T.-K. ADH2 Gene Polymorphisms Are Determinants of Alcohol Pharmacokinetics. Alcohol. Clin. Exp. Res. 1995, 19, 1494–1499. [Google Scholar] [CrossRef]
- Erol, A.; Karpyak, V.M. Sex and gender-related differences in alcohol use and its consequences: Contemporary knowledge and future research considerations. Drug Alcohol. Depend. 2015, 156, 1–13. [Google Scholar] [CrossRef]
- McCarthy, M. Antidepressant use has doubled in rich nations in past 10 years. BMJ 2013, 347, f7261. [Google Scholar] [CrossRef]
- Albano, G.D.; Malta, G.; La Spina, C.; Rifiorito, A.; Provenzano, V.; Triolo, V.; Vaiano, F.; Bertol, E.; Zerbo, S.; Argo, A. Toxicological Findings of Self-Poisoning Suicidal Deaths: A Systematic Review by Countries. Toxics 2022, 10, 654. [Google Scholar] [CrossRef]




| Category | n (%) | |
|---|---|---|
| Whole series | 380 (100%) | |
| Date (year) | ||
| 2015 | 121 (31.8%) | |
| 2016 | 103 (27.1%) | |
| 2017 | 156 (41.1%) | |
| Gender | ||
| Male | 285 (75.0%) | |
| Female | 95 (25.0%) | |
| Age (years) | ||
| ≤45 | 129 (33.9%) | |
| >45 | 238 (62.5%) | |
| Cause of death | ||
| Traffic accident | 42 (11.1%) | |
| Violent death a | 103 (27.1%) | |
| Suicide | 81 (21.3%) | |
| Other b | 154 (40.5%) |
| Group | Compound | n (%) | Mean (SD) | Median (IR) | LOD | LOQ |
|---|---|---|---|---|---|---|
| Benzodiazepines (BZDs) | 96 (25.3) | |||||
| Midazolam | 17 (4.5) | 367.6 (455.9) | 180.6 (621.4) | 1.50 | 4.50 | |
| Alprazolam | 18 (4.7) | 226.7 (201.4) | 163.7 (254.9) | 1.50 | 4.50 | |
| Bromazepam | 0 | - | - | 6.25 | 18.75 | |
| Clonazepam | 0 | - | - | 6.25 | 18.75 | |
| Lorazepam | 6 (1.6) | 61.5 (33) | 57.1 (63.8) | 6.25 | 18.75 | |
| Oxazepam | 15 (3.9) | 279.5 (288.5) | 183.1 (297.2) | 6.25 | 18.75 | |
| Temazepam | 16 (4.2) | 534.0 (654.8) | 258.2 (484.0) | 1.50 | 4.50 | |
| Lormetazepam | 6 (1.6) | 273.2 (396.5) | 112.8 (382.4) | 1.75 | 6.25 | |
| Nordiazepam | 55 (14.5) | 1566.2 (3004.2) | 600.0 (1561.7) | 1.50 | 4.50 | |
| Clordiazepoxide | 1 (0.3) | 43.34 (-) | - | 1.50 | 4.50 | |
| Diazepam | 35 (9.2) | 288.0 (318.7) | 160.1 (289.1) | 1.00 | 3.00 | |
| Flurazepam | 1 (0.3) | 459.0 (-) | - | 1.50 | 4.50 | |
| Z-Drugs | 7 (1.8) | |||||
| Zolpidem | 5 (1.3) | 110.9 (228.0) | 7.9 (265.5) | 1.00 | 3.00 | |
| Zoplicone | 2 (0.5) | 180.5 (223.5) | 180.5 (-) | 6.25 | 18.75 | |
| Antidepressants (ADPs) | 41 (10.8) | |||||
| Amitriptiline | 8 (2.1) | 821.0 (769.9) | 705.2 (1501.3) | 1.00 | 3.00 | |
| Nortriptiline | 9 (2.4) | 265.0 (308.3) | 193.7 (400.4) | 1.00 | 3.00 | |
| Maprotiline | 6 (1.6) | 667.8 (789.9) | 366.0 (1504.2) | 1.00 | 3.00 | |
| Paroxetine | 12 (3.2) | 350.9 (514.8) | 143.7 (333.3) | 6.25 | 18.75 | |
| Sertraline | 8 (2.1) | 399.3 (383.2) | 249.3 (571.1) | 1.00 | 3.00 | |
| Citalopram | 15 (3.9) | 232.5 (148.8) | 223.8 (184.6) | 1.00 | 3.00 | |
| Medical Opiates (MOs) | 90 (24.2) | |||||
| Morphine | 33 (8.7) | 143.0 (215.0) | 71.6 (88.6) | 1.00 | 3.00 | |
| Tramadol | 32 (8.4) | 1132.3 (3395.9) | 174.6 (614.8) | 1.00 | 3.00 | |
| Codeine | 7 (1.8) | 118.2 (155.7) | 23.1 (188.6) | 1.00 | 3.00 | |
| Fentanyl | 8 (2.1) | 20.5 (36.8) | 5.1 (22.7) | 0.50 | 1.50 | |
| Methadone | 29 (7.6) | 459.3 (474.0) | 327.1 (379.0) | 1.00 | 3.00 | |
| Antipsychotics | 16 (4.2) | |||||
| Haloperidol | 1 (0.3) | 16.8 (-) | 1.0 | 3.00 | ||
| Olanzapine | 0 | - | - | 1.5 | 4.50 | |
| Quetiapine | 15 (3.9) | 163.9 (184.0) | - | 1.5 | 4.50 | |
| Risperidone | 1 (0.3) | 28.0 (-) | - | 1.0 | 3.00 | |
| Barbiturates | 1 (0.3) | |||||
| Phenobarbital | 1 (0.3) | 352.5 (-) | 1.00 | 3.00 | ||
| Ethanol (g/L) | 136 (35.8) | 1.6 (1.4) | 1.5 (2.3) | 0.01 | 0.05 |
| Drugs Detected | Gender | Cause of Death | ||||||
|---|---|---|---|---|---|---|---|---|
| Women | Men | p* | Traffic Accident | Violent Death | Suicide | Other | p ** | |
| ETOH (n = 136) | 1.71 (2.25) (n = 32) | 1.23 (2.29) (n = 104) | 0.445 | 1.58 (2.07) (n = 18) | 2.13 (2.23) (n = 44) | 0.70 (1.60) (n = 30) | 0.84 (2.30) (n = 44) | 0.009 |
| MPs + ETOH (n = 47) | 1.7 (1.46) (n = 15) | 0.87 (1.67) (n = 32) | 0.057 | 1.14 (1.19) (n = 4) | 2.13 (1.0) (n = 16) | 0.32 (1.38) (n = 14) | 0.71 (1.29) (n = 13) | 0.007 |
| BZDs + ETOH (n = 33) | 1.86 (1.59) (n = 12) | 0.71 (1.85) (n = 21) | 0.089 | 1.03 (-) (n = 3) | 2.13 (1.02) (n = 12) | 0.19 (1.77) (n = 9) | 0.71 (1.05) (n = 9) | 0.060 |
| ADPs + ETOH (n = 12) | 2.01 (1.72) (n = 5) | 0.46 (1.04) (n = 7) | 0.042 | - | 1.96 (1.97) (n = 6) | 0.45 (1.20) (n = 5) | 0.31 (-) (n = 1) | 0.208 |
| MOs + ETOH (n = 21) | 2.16 (2.37) (n = 5) | 0.66 (1.33) (n = 16) | 0.117 | 1.39 (-) (n = 2) | 2.46 (1.47) (n = 5) | 0.29 (0.92) (n = 6) | 0.57 (1.35) (n = 8) | 0.039 |
| ≥3 MPs + ETOH (n = 17) | 1.93 (1.31) (n = 8) | 0.71 (1.35) (n = 9) | 0.012 | - | 2.16 (0.92) (n = 7) | 0.65 (1.14) (n = 6) | 1.00 (0.99) (n = 4) | 0.003 |
Disclaimer/Publisher’s Note: The statements, opinions and data contained in all publications are solely those of the individual author(s) and contributor(s) and not of MDPI and/or the editor(s). MDPI and/or the editor(s) disclaim responsibility for any injury to people or property resulting from any ideas, methods, instructions or products referred to in the content. |
© 2022 by the authors. Licensee MDPI, Basel, Switzerland. This article is an open access article distributed under the terms and conditions of the Creative Commons Attribution (CC BY) license (https://creativecommons.org/licenses/by/4.0/).
Share and Cite
Almeida-González, M.; Boada, L.D.; Burillo-Putze, G.; Henríquez-Hernández, L.A.; Luzardo, O.P.; Quintana-Montesdeoca, M.P.; Zumbado, M. Ethanol and Medical Psychotropics Co-Consumption in European Countries: Results from a Three-Year Retrospective Study of Forensic Samples in Spain. Toxics 2023, 11, 45. https://doi.org/10.3390/toxics11010045
Almeida-González M, Boada LD, Burillo-Putze G, Henríquez-Hernández LA, Luzardo OP, Quintana-Montesdeoca MP, Zumbado M. Ethanol and Medical Psychotropics Co-Consumption in European Countries: Results from a Three-Year Retrospective Study of Forensic Samples in Spain. Toxics. 2023; 11(1):45. https://doi.org/10.3390/toxics11010045
Chicago/Turabian StyleAlmeida-González, Maira, Luis D. Boada, Guillermo Burillo-Putze, Luis A. Henríquez-Hernández, Octavio P. Luzardo, María P. Quintana-Montesdeoca, and Manuel Zumbado. 2023. "Ethanol and Medical Psychotropics Co-Consumption in European Countries: Results from a Three-Year Retrospective Study of Forensic Samples in Spain" Toxics 11, no. 1: 45. https://doi.org/10.3390/toxics11010045
APA StyleAlmeida-González, M., Boada, L. D., Burillo-Putze, G., Henríquez-Hernández, L. A., Luzardo, O. P., Quintana-Montesdeoca, M. P., & Zumbado, M. (2023). Ethanol and Medical Psychotropics Co-Consumption in European Countries: Results from a Three-Year Retrospective Study of Forensic Samples in Spain. Toxics, 11(1), 45. https://doi.org/10.3390/toxics11010045

