Potential Heavy Metals Pollution Contribution from Wash-Off of Urban Road-Dust
Abstract
1. Introduction
2. Materials and Methods
2.1. Study Area Background
2.2. Sampling and Laboratory Analysis
2.2.1. Sample Collection and Rainfall Simulation Experimental Design
2.2.2. Quality Control and Analytical Methods
2.3. Heavy Metals Load Estimation
2.4. RDS Percentage in Surface Runoff Estimation
2.5. Surface Runoff Contribution from Heavy Metals
2.6. Metals Source and Transport Factors in Road-Deposited Sediments
2.6.1. Source Factors
2.6.2. Transport Factors
2.6.3. Factor Ratings for Source and Transport
2.7. RDS Index Calculation
2.7.1. Index Model for Load
2.7.2. Index Model for Pollution Strength
3. Results and Discussions
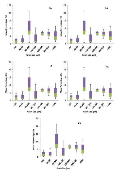
3.1. Concentration of Heavy Metals in RDS
3.2. Heavy Metal Loads of RDS
3.3. Surface Runoff RDS and Heavy Metal Loads Estimation from Simulated Rainfall
3.4. Source and Transport Factors in Road-Deposited Sediments (RDS) Index
3.5. Road-Deposited Sediments (RDS) Index for the Pollutant Load
3.6. Road-Deposited Sediments (RDS) Index for the Pollutant Strength
4. Conclusions
Author Contributions
Funding
Institutional Review Board Statement
Informed Consent Statement
Data Availability Statement
Conflicts of Interest
References
- Faisal, M.; Wu, Z.; Wang, H.; Hussain, Z.; Shen, C. Geochemical Mapping, Risk Assessment, and Source Identification of Heavy Metals in Road Dust Using Positive Matrix Factorization (PMF). Atmosphere 2021, 12, 614. [Google Scholar] [CrossRef]
- Faisal, M.; Wu, Z.; Wang, H.; Hussain, Z.; Azam, M.I. Human Health Risk Assessment of Heavy Metals in the Urban Road Dust of Zhengzhou Metropolis, China. Atmosphere 2021, 12, 1213. [Google Scholar] [CrossRef]
- Faisal, M.; Wu, Z.; Wang, H.; Hussain, Z.; Zhou, Y.; Wang, H. Ecological and Health Risk Assessment of Dissolved Heavy Metals in the Urban Road Dust. Environ. Pollut. Bioavailab. 2022, 34, 102–111. [Google Scholar] [CrossRef]
- Faisal, M.; Wu, Z.; Wang, H.; Hussain, Z.; Azam, M.I.; Muzammil, M. Assessment and Source Apportionment of Water-Soluble Heavy Metals in Road Dust of Zhengzhou, China. Environ. Sci. Pollut. Res. 2022. [Google Scholar] [CrossRef] [PubMed]
- Helmreich, B.; Hilliges, R.; Schriewer, A.; Horn, H. Runoff Pollutants of a Highly Trafficked Urban Road—Correlation Analysis and Seasonal Influences. Chemosphere 2010, 80, 991–997. [Google Scholar] [CrossRef] [PubMed]
- Martínez, L.L.G.; Poleto, C. Assessment of Diffuse Pollution Associated with Metals in Urban Sediments Using the Geoaccumulation Index (Igeo). J. Soils Sediments 2014, 14, 1251–1257. [Google Scholar] [CrossRef]
- Wijesiri, B.; Egodawatta, P.; McGree, J.; Goonetilleke, A. Influence of Uncertainty Inherent to Heavy Metal Build-up and Wash-off on Stormwater Quality. Water Res. 2016, 91, 264–276. [Google Scholar] [CrossRef]
- Kumar, M.; Furumai, H.; Kurisu, F.; Kasuga, I. Potential Mobility of Heavy Metals through Coupled Application of Sequential Extraction and Isotopic Exchange: Comparison of Leaching Tests Applied to Soil and Soakaway Sediment. Chemosphere 2013, 90, 796–804. [Google Scholar] [CrossRef]
- Stagge, J.H.; Davis, A.P.; Jamil, E.; Kim, H. Performance of Grass Swales for Improving Water Quality from Highway Runoff. Water Res. 2012, 46, 6731–6742. [Google Scholar] [CrossRef]
- Maniquiz-Redillas, M.; Kim, L.-H. Fractionation of Heavy Metals in Runoff and Discharge of a Stormwater Management System and Its Implications for Treatment. J. Environ. Sci. 2014, 26, 1214–1222. [Google Scholar] [CrossRef]
- Bian, B.; Zhu, W. Particle Size Distribution and Pollutants in Road-Deposited Sediments in Different Areas of Zhenjiang, China. Environ. Geochem. Health 2009, 31, 511–520. [Google Scholar] [CrossRef] [PubMed]
- Aksoy, H.; Unal, N.E.; Cokgor, S.; Gedikli, A.; Yoon, J.; Koca, K.; Inci, S.B.; Eris, E. A Rainfall Simulator for Laboratory-Scale Assessment of Rainfall-Runoff-Sediment Transport Processes over a Two-Dimensional Flume. CATENA 2012, 98, 63–72. [Google Scholar] [CrossRef]
- Egodawatta, P.; Ziyath, A.M.; Goonetilleke, A. Characterising Metal Build-up on Urban Road Surfaces. Environ. Pollut. 2013, 176, 87–91. [Google Scholar] [CrossRef] [PubMed]
- Sutherland, R.A.; Tack, F.M.G.; Tolosa, C.A.; Verloo, M.G. Operationally Defined Metal Fractions in Road Deposited Sediment, Honolulu, Hawaii. J. Environ. Qual. 2000, 29, 1431–1439. [Google Scholar] [CrossRef]
- Zhu, W.; Bian, B.; Li, L. Heavy Metal Contamination of Road-Deposited Sediments in a Medium Size City of China. Environ. Monit. Assess. 2008, 147, 171–181. [Google Scholar] [CrossRef]
- Zhao, H.; Li, X.; Wang, X.; Tian, D. Grain Size Distribution of Road-Deposited Sediment and Its Contribution to Heavy Metal Pollution in Urban Runoff in Beijing, China. J. Hazard. Mater. 2010, 183, 203–210. [Google Scholar] [CrossRef]
- Aryal, R.; Kandasamy, J.; Vigneswaran, S.; Naidu, R.; Lee, S.H. Review of Stormwater Quality, Quantity and Treatment Methods Part 1: Stormwater Quantity Modelling. Environ. Eng. Res. 2009, 14, 71–78. [Google Scholar] [CrossRef][Green Version]
- Xiang, L.; Li, Y.; Yang, Z.; Shi, J. Seasonal Difference and Availability of Heavy Metals in Street Dust in Beijing. J. Environ. Sci. Health Part A Toxic/Hazard. Subst. Environ. Eng. 2010, 45, 1092–1100. [Google Scholar] [CrossRef]
- Sartor, J.D.; Boyd, G.B. Water Pollution Aspects of Street Surface Contaminants; Office of Research and Monitoring U.S. Enviromental Protection Agency: Washington, DC, USA, 1972.
- Al-Khashman, O.A. Determination of Metal Accumulation in Deposited Street Dusts in Amman, Jordan. Environ. Geochem. Health 2007, 29, 1–10. [Google Scholar] [CrossRef]
- Herngren, L.; Goonetilleke, A.; Ayoko, G.A. Understanding Heavy Metal and Suspended Solids Relationships in Urban Stormwater Using Simulated Rainfall. J. Environ. Manag. 2005, 76, 149–158. [Google Scholar] [CrossRef]
- Zhao, H.; Li, X.; Wang, X. Heavy Metal Contents of Road-Deposited Sediment along the Urban–Rural Gradient around Beijing and Its Potential Contribution to Runoff Pollution. Environ. Sci. Technol. 2011, 45, 7120–7127. [Google Scholar] [CrossRef] [PubMed]
- Egodawatta, P.; Thomas, E.; Goonetilleke, A. Mathematical Interpretation of Pollutant Wash-off from Urban Road Surfaces Using Simulated Rainfall. Water Res. 2007, 41, 3025–3031. [Google Scholar] [CrossRef] [PubMed]
- Shaw, S.B.; Walter, M.T.; Steenhuis, T.S. A Physical Model of Particulate Wash-off from Rough Impervious Surfaces. J. Hydrol. 2006, 327, 618–626. [Google Scholar] [CrossRef]
- Sharpley, A.N.; Kleinman, P.J.A.; Heathwaite, A.L.; Gburek, W.J.; Weld, J.L.; Folmar, G.J. Integrating Contributing Areas and Indexing Phosphorus Loss from Agricultural Watersheds. J. Environ. Qual. 2008, 37, 1488–1496. [Google Scholar] [CrossRef] [PubMed]
- Buczko, U.; Kuchenbuch, R.O. Phosphorus Indices as Risk-Assessment Tools in the U.S.A. and Europe—A Review. J. Plant Nutr. Soil Sci. 2007, 170, 445–460. [Google Scholar] [CrossRef]
- Zhao, H.; Li, X. Risk Assessment of Metals in Road-Deposited Sediment along an Urban–Rural Gradient. Environ. Pollut. 2013, 174, 297–304. [Google Scholar] [CrossRef]
- Eaton, A.D.; Clesceri, L.S.; Greenberg, A.E.; Franson, M.A.H.; American Public Health Association; American Water Works Association; Water Environment Federation. Standard Methods for the Examination of Water and Wastewater; American Public Health Association: Washington, DC, USA, 1998; ISBN 978-0-87553-235-6. [Google Scholar]
- Tessier, A.; Campbell, P.G.C.; Bisson, M. Sequential Extraction Procedure for the Speciation of Particulate Trace Metals. Anal. Chem. 1979, 51, 844–851. [Google Scholar] [CrossRef]
- Sutherland, R.A. Lead in Grain Size Fractions of Road-Deposited Sediment. Environ. Pollut. 2003, 121, 229–237. [Google Scholar] [CrossRef]
- Stephen, S. A Simple, Physical Model of Particulate Wash-off from Impervious Urban Surfaces. Cornell University, NewYork, US, 2005. Available online: https://ecommons.cornell.edu/handle/1813/643 (accessed on 15 July 2022).
- Buchanan, B.P.; Walter, T.; Shaw, S.B.; Easton, Z.M. A Phosphorus Index That Combines Critical Source Areas and Transport Pathways Using a Travel Time Approach. J. Hydrol. 2013, 486, 123–135. [Google Scholar] [CrossRef]
- Hakanson, L. An Ecological Risk Index for Aquatic Pollution Control.a Sedimentological Approach. Water Res. 1980, 14, 975–1001. [Google Scholar] [CrossRef]
- Cheng, H.; Li, K.; Li, M.; Yang, K.; Liu, F.; Cheng, X. Background and benchmark values of chemical elements in urban soils in China. Earth Sci. Front. 2014, 21, 265. [Google Scholar] [CrossRef]
- Kastury, F.; Smith, E.; Karna, R.R.; Scheckel, K.G.; Juhasz, A.L. Methodological Factors Influencing Inhalation Bioaccessibility of Metal(Loid)s in PM2.5 Using Simulated Lung Fluid. Environ. Pollut. 2018, 241, 930–937. [Google Scholar] [CrossRef] [PubMed]
- Sansalone, J.J.; Buchberger, S.G.; Al-Abed, S.R. Fractionation of Heavy Metals in Pavement Runoff. Sci. Total Environ. 1996, 189–190, 371–378. [Google Scholar] [CrossRef]








| Mweighted | 0–30 g/m2 | 31–60 g/m2 | 61–90 g/m2 | 91–140 g/m2 | 141–190 g/m2 | >190 g/m2 |
| Ratings | 1 | 1.75 | 2.5 | 3 | 3.5 | 3.75 |
| Transport Factor | RDS Grain Size Fraction (µm) | ||||||
|---|---|---|---|---|---|---|---|
| <40 | 40–60 | 60–100 | 100–150 | 150–300 | 300–500 | >500 | |
| Fwi, weighted | 17 | 10 | 4.5 | 4.3 | 2.9 | 1.5 | 1 |
| Heavy Metals | Functional Areas | Grain Size Fraction of RDS (μm) | ||||||
|---|---|---|---|---|---|---|---|---|
| <40 | 40–60 | 60–100 | 100–150 | 150–300 | 300–500 | >500 | ||
| Cr | EA | 48.47 | 48.76 | 40.71 | 45.72 | 33.99 | 28.96 | 24.63 |
| RA | 106.96 | 107.6 | 89.84 | 100.9 | 75.01 | 63.92 | 54.36 | |
| IA | 55.35 | 55.68 | 46.49 | 52.21 | 38.82 | 33.07 | 28.13 | |
| PA | 74.94 | 75.4 | 62.95 | 70.7 | 52.56 | 44.78 | 38.09 | |
| CA | 89.9 | 90.45 | 75.52 | 84.81 | 63.05 | 53.72 | 45.7 | |
| Cu | EA | 57.67 | 50.64 | 40.68 | 44.29 | 32.97 | 19.15 | 13.5 |
| RA | 108.62 | 95.37 | 76.62 | 83.43 | 62.11 | 36.07 | 25.43 | |
| IA | 51.52 | 45.24 | 36.34 | 39.57 | 29.46 | 17.11 | 12.06 | |
| PA | 56.92 | 49.98 | 40.15 | 43.72 | 32.55 | 18.9 | 13.32 | |
| CA | 112.01 | 98.34 | 79.01 | 86.03 | 64.04 | 37.19 | 26.22 | |
| Ni | EA | 19.86 | 16.21 | 12.8 | 13.75 | 11.34 | 9.47 | 8.58 |
| RA | 46.21 | 37.71 | 29.78 | 31.99 | 26.38 | 22.04 | 19.96 | |
| IA | 13.67 | 11.16 | 8.81 | 9.46 | 7.8 | 6.52 | 5.91 | |
| PA | 22.63 | 18.47 | 14.58 | 15.67 | 12.92 | 10.79 | 9.78 | |
| CA | 34.77 | 28.37 | 22.4 | 24.07 | 19.85 | 16.58 | 15.02 | |
| Zn | EA | 332.28 | 285.74 | 204.63 | 183.58 | 133.17 | 156.44 | 85.61 |
| RA | 542.34 | 466.37 | 334 | 299.64 | 217.36 | 255.34 | 139.74 | |
| IA | 132.24 | 113.72 | 81.44 | 73.06 | 53 | 62.26 | 34.07 | |
| PA | 671.5 | 577.44 | 413.54 | 371 | 269.12 | 316.15 | 173.02 | |
| CA | 371.93 | 320.52 | 229.54 | 205.93 | 149.38 | 175.48 | 96.03 | |
| Pb | EA | 76.63 | 50.39 | 40.83 | 37.8 | 40.11 | 34.87 | 45.18 |
| RA | 184.77 | 121.49 | 98.46 | 91.15 | 96.71 | 84.09 | 108.94 | |
| IA | 41.45 | 27.25 | 22.09 | 20.45 | 21.69 | 18.86 | 24.44 | |
| PA | 461.42 | 303.39 | 245.88 | 227.64 | 241.52 | 210 | 272.06 | |
| CA | 143.29 | 94.21 | 76.35 | 70.69 | 75 | 65.21 | 84.49 | |
| RDS Mass | Rainfall Intensity | Rainfall Duration | Grain Size Fraction of RDS (μm) | ||||||
|---|---|---|---|---|---|---|---|---|---|
| <40 | 40–60 | 60–100 | 100–150 | 150–300 | 300–500 | >500 | |||
| 10 (g/m2) | 10.0 (mm/h) | 0–60 (min) | 17.16 | 9.87 | 4.26 | 3.98 | 2.84 | 1.35 | 0.99 |
| 10 (g/m2) | 46.8 (mm/h) | 0–60 (min) | 42.71 | 28.51 | 24.59 | 6.13 | 4.55 | 2.58 | 2.32 |
| 20 (g/m2) | 53.0 (mm/h) | 0–60 (min) | 52.65 | 39.94 | 29.06 | 7.86 | 7.08 | 4.09 | 3.46 |
| 20 (g/m2) | 70.4 (mm/h) | 0–60 (min) | 54.68 | 46.82 | 46.74 | 16.61 | 9.25 | 5.39 | 4.12 |
| 50 (g/m2) | 77.2 (mm/h) | 0–60 (min) | 65.59 | 70.45 | 53.01 | 31.89 | 10.4 | 5.55 | 4.79 |
| 50 (g/m2) | 120.3 (mm/h) | 0–60 (min) | 77.21 | 63.8 | 43.54 | 39.84 | 16.39 | 6.15 | 3.98 |
| Functional Areas | Rainfall Intensity (mm/h) | |||||
|---|---|---|---|---|---|---|
| 10 | 46.8 | 53 | 70.4 | 77.2 | 120.3 | |
| EA | 29.9 | 107 | 119.2 | 190.3 | 247.1 | 300.1 |
| RA | 51.2 | 200.1 | 189.6 | 335.9 | 434.1 | 609.3 |
| IA | 98.3 | 372 | 402.1 | 701.3 | 790.7 | 910 |
| PA | 41.3 | 140.2 | 162.3 | 268.5 | 322.9 | 367.5 |
| CA | 50.3 | 250.3 | 333.9 | 389.1 | 403.2 | 578 |
Publisher’s Note: MDPI stays neutral with regard to jurisdictional claims in published maps and institutional affiliations. |
© 2022 by the authors. Licensee MDPI, Basel, Switzerland. This article is an open access article distributed under the terms and conditions of the Creative Commons Attribution (CC BY) license (https://creativecommons.org/licenses/by/4.0/).
Share and Cite
Faisal, M.; Wu, Z.; Wang, H.; Lin, X.; Hussain, Z.; Azam, M.I. Potential Heavy Metals Pollution Contribution from Wash-Off of Urban Road-Dust. Toxics 2022, 10, 397. https://doi.org/10.3390/toxics10070397
Faisal M, Wu Z, Wang H, Lin X, Hussain Z, Azam MI. Potential Heavy Metals Pollution Contribution from Wash-Off of Urban Road-Dust. Toxics. 2022; 10(7):397. https://doi.org/10.3390/toxics10070397
Chicago/Turabian StyleFaisal, Muhammad, Zening Wu, Huiliang Wang, Xiaoying Lin, Zafar Hussain, and Muhammad Imran Azam. 2022. "Potential Heavy Metals Pollution Contribution from Wash-Off of Urban Road-Dust" Toxics 10, no. 7: 397. https://doi.org/10.3390/toxics10070397
APA StyleFaisal, M., Wu, Z., Wang, H., Lin, X., Hussain, Z., & Azam, M. I. (2022). Potential Heavy Metals Pollution Contribution from Wash-Off of Urban Road-Dust. Toxics, 10(7), 397. https://doi.org/10.3390/toxics10070397

