Emerging Contaminant Imidacloprid in Mediterranean Soils: The Risk of Accumulation Is Greater than the Risk of Leaching
Abstract
1. Introduction
2. Materials and Methods
2.1. Chemicals, Reagents, and Standards
2.2. Geographical Locations and Soil Samples
2.3. Pesticide Transport Experiments
2.4. Instrumentation and HPLC Analysis Conditions
2.5. Data Evaluation and Statistical Analysis
2.6. Modelling of Column Experimental Data
3. Results and Discussion
3.1. Comparison of Chemical Structure and Sorption Isotherms
3.2. Analysis of Transport Properties
3.2.1. Chromic Luvisol (Terra Rossa)
3.3. Two-Site Nonequilibrium Adsorption Model
3.4. Origins of Nonequilibrium Sorption
3.5. Imidacloprid Accumulation Potential
4. Conclusions
Supplementary Materials
Author Contributions
Funding
Institutional Review Board Statement
Informed Consent Statement
Data Availability Statement
Conflicts of Interest
Appendix A
References
- Borsuah, J.F.; Messer, T.L.; Snow, D.D.; Comfort, S.D.; Mittelstet, A.R. Literature Review: Global Neonicotinoid Insecticide Occurrence in Aquatic Environments. Water 2020, 12, 3388. [Google Scholar] [CrossRef]
- Goulson, D. Review: An Overview of the Environmental Risks Posed by Neonicotinoid Insecticides. J. Appl. Ecol. 2013, 50, 977–987. [Google Scholar] [CrossRef]
- Simon-Delso, N.; Amaral-Rogers, V.; Belzunces, L.P.; Bonmatin, J.M.; Chagnon, M.; Downs, C.; Furlan, L.; Gibbons, D.W.; Giorio, C.; Girolami, V.; et al. Systemic Insecticides (Neonicotinoids and Fipronil): Trends, Uses, Mode of Action and Metabolites. Environ. Sci. Pollut. Res. 2015, 22, 5–34. [Google Scholar] [CrossRef] [PubMed]
- Jeschke, P.; Nauen, R.; Schindler, M.; Elbert, A. Overview of the Status and Global Strategy for Neonicotinoids. J. Agric. Food Chem. 2011, 59, 2897–2908. [Google Scholar] [CrossRef]
- Pan, D.; Wu, X.; Chen, P.; Zhao, Z.; Fan, F.; Wang, Y.; Zhu, M.; Xue, J.; Wang, Y. New Insights into the Interactions between Humic Acid and Three Neonicotinoid Pesticides, with Multiple Spectroscopy Technologies, Two-Dimensional Correlation Spectroscopy Analysis and Density Functional Theory. Sci. Total Environ. 2021, 798, 149237. [Google Scholar] [CrossRef]
- Tomizawa, M.; Casida, J.E. Neonicotinoid Insecticide toxicology: Mechanisms of Selective Action. Annu. Rev. Pharmacol. Toxicol. 2005, 45, 247–268. [Google Scholar] [CrossRef]
- Thompson, D.A.; Lehmler, H.-J.; Kolpin, D.W.; Hladik, M.L.; Vargo, J.D.; Schilling, K.E.; LeFevre, G.H.; Peeples, T.L.; Poch, M.C.; LaDuca, L.E.; et al. A Critical Review on the Potential Impacts of Neonicotinoid Insecticide Use: Current Knowledge of Environmental Fate, Toxicity, and Implications for Human Health. Environ. Sci. Process. Impacts 2020, 22, 1315–1346. [Google Scholar] [CrossRef]
- Kuechle, K.J.; Webb, E.B.; Mengel, D.; Main, A.R. Factors Influencing Neonicotinoid Insecticide Concentrations in Floodplain Wetland Sediments across Missouri. Environ. Sci. Technol. 2019, 53, 10591–10600. [Google Scholar] [CrossRef]
- Mitchell, E.A.D.; Mulhauser, B.; Mulot, M.; Mutabazi, A.; Glauser, G.; Aebi, A. A Worldwide Survey of Neonicotinoids in Honey. Science 2017, 358, 109–111. [Google Scholar] [CrossRef]
- Fournier-Level, A.; Good, R.T.; Wilcox, S.A.; Rane, R.V.; Schiffer, M.; Chen, W.; Battlay, P.; Perry, T.; Batterham, P.; Hoffmann, A.A.; et al. The Spread of Resistance to Imidacloprid Is Restricted by Thermotolerance in Natural Populations of Drosophila Melanogaster. Nat. Ecol. Evol. 2019, 3, 647–656. [Google Scholar] [CrossRef]
- Gill, R.J.; Ramos-Rodriguez, O.; Raine, N.E. Combined Pesticide Exposure Severely Affects Individual- and Colony-Level Traits in Bees. Nature 2012, 491, 105–108. [Google Scholar] [CrossRef] [PubMed]
- Kessler, S.C.; Tiedeken, E.J.; Simcock, K.L.; Derveau, S.; Mitchell, J.; Softley, S.; Radcliffe, A.; Stout, J.C.; Wright, G.A. Bees Prefer Foods Containing Neonicotinoid Pesticides. Nature 2015, 521, 74–76. [Google Scholar] [CrossRef] [PubMed]
- Rundlöf, M.; Andersson, G.K.S.; Bommarco, R.; Fries, I.; Hederström, V.; Herbertsson, L.; Jonsson, O.; Klatt, B.K.; Pedersen, T.R.; Yourstone, J.; et al. Seed Coating with a Neonicotinoid Insecticide Negatively Affects Wild Bees. Nature 2015, 521, 77–80. [Google Scholar] [CrossRef] [PubMed]
- Lämsä, J.; Kuusela, E.; Tuomi, J.; Juntunen, S.; Watts, P.C. Low Dose of Neonicotinoid Insecticide Reduces Foraging Motivation of Bumblebees. Proc. R. Soc. B Biol. Sci. 2018, 285, 20180506. [Google Scholar] [CrossRef]
- European Union. European Commission REGULATION (EU) 2020/1643 2020. Available online: http://data.europa.eu/eli/reg_impl/2020/1643/oj (accessed on 24 June 2022).
- Butler, D. EU Pesticide Review Could Lead to Ban. Nature 2018, 555, 150–151. [Google Scholar] [CrossRef] [PubMed]
- European Union. European Commission REGULATION (EU) 2018/785 2018. Available online: http://data.europa.eu/eli/reg_impl/2018/785/oj (accessed on 24 June 2022).
- Hallmann, C.A.; Foppen, R.P.B.; van Turnhout, C.A.M.; de Kroon, H.; Jongejans, E. Declines in Insectivorous Birds Are Associated with High Neonicotinoid Concentrations. Nature 2014, 511, 341–343. [Google Scholar] [CrossRef]
- Lee Chao, S.; Casida, J.E. Interaction of Imidacloprid Metabolites and Analogs with the Nicotinic Acetylcholine Receptor of Mouse Brain in Relation to Toxicity. Pestic. Biochem. Physiol. 1997, 58, 77–88. [Google Scholar] [CrossRef]
- Matsuda, K.; Ihara, M.; Sattelle, D.B. Neonicotinoid Insecticides: Molecular Targets, Resistance, and Toxicity. Annu. Rev. Pharmacol. Toxicol. 2020, 60, 241–255. [Google Scholar] [CrossRef]
- Poliserpi, M.B.; Cristos, D.S.; Brodeur, J.C. Imidacloprid Seed Coating Poses a Risk of Acute Toxicity to Small Farmland Birds: A Weight-of-Evidence Analysis Using Data from the Grayish Baywing Agelaioides Badius. Sci. Total Environ. 2021, 763, 142957. [Google Scholar] [CrossRef]
- Tomizawa, M.; Lee, D.L.; Casida, J.E. Neonicotinoid Insecticides: Molecular Features Conferring Selectivity for Insect versus Mammalian Nicotinic Receptors. J. Agric. Food Chem. 2000, 48, 6016–6024. [Google Scholar] [CrossRef]
- van Loon, S.; Vicente, V.B.; van Gestel, C.A.M. Long-Term Effects of Imidacloprid, Thiacloprid, and Clothianidin on the Growth and Development of Eisenia Andrei. Environ. Toxicol. Chem. 2022, 41, 1686–1695. [Google Scholar] [CrossRef] [PubMed]
- Yamamuro, M.; Komuro, T.; Kamiya, H.; Kato, T.; Hasegawa, H.; Kameda, Y. Neonicotinoids Disrupt Aquatic Food Webs and Decrease Fishery Yields. Science 2019, 366, 620–623. [Google Scholar] [CrossRef] [PubMed]
- Zhao, Z.; Shi, T.; Chu, Y.; Cao, Y.; Cheng, S.; Na, R.; Wang, Y. Comparison of the Interactions of Flupyrimin and Nitenpyram with Serum Albumins via Multiple Analysis Methods. Chemosphere 2022, 289, 133139. [Google Scholar] [CrossRef] [PubMed]
- Herrero-Hernández, E.; Rodríguez-Cruz, M.S.; Pose-Juan, E.; Sánchez-González, S.; Andrades, M.S.; Sánchez-Martín, M.J. Seasonal Distribution of Herbicide and Insecticide Residues in the Water Resources of the Vineyard Region of La Rioja (Spain). Sci. Total Environ. 2017, 609, 161–171. [Google Scholar] [CrossRef]
- Leiva, J.A.; Nkedi-Kizza, P.; Morgan, K.T.; Qureshi, J.A. Imidacloprid Sorption Kinetics, Equilibria, and Degradation in Sandy Soils of Florida. J. Agric. Food Chem. 2015, 63, 4915–4921. [Google Scholar] [CrossRef]
- Mendes, K.F.; de Sousa, R.N.; Goulart, M.O.; Tornisielo, V.L. Role of Raw Feedstock and Biochar Amendments on Sorption-Desorption and Leaching Potential of Three 3H- and 14C-Labelled Pesticides in Soils. J. Radioanal. Nucl. Chem. 2020, 324, 1373–1386. [Google Scholar] [CrossRef]
- Miranda, G.R.B.; Raetano, C.G.; Silva, E.; Daam, M.A.; Cerejeira, M.J. Environmental Fate of Neonicotinoids and Classification of Their Potential Risks to Hypogean, Epygean, and Surface Water Ecosystems in Brazil. Hum. Ecol. Risk Assess. Int. J. 2011, 17, 981–995. [Google Scholar] [CrossRef]
- PPDB Pesticide Properties Database. Available online: http://sitem.herts.ac.uk/aeru/ppdb/ (accessed on 24 June 2022).
- Oi, M. Time-Dependent Sorption of Imidacloprid in Two Different Soils. J. Agric. Food Chem. 1999, 47, 327–332. [Google Scholar] [CrossRef]
- Tišler, T.; Jemec, A.; Mozetič, B.; Trebše, P. Hazard Identification of Imidacloprid to Aquatic Environment. Chemosphere 2009, 76, 907–914. [Google Scholar] [CrossRef]
- Gupta, S.; Gajbhiye, V.T.; Kalpana; Agnihotri, N.P. Leaching Behavior of Imidacloprid Formulations in Soil. Bull. Environ. Contam. Toxicol. 2002, 68, 502–508. [Google Scholar] [CrossRef]
- Sánchez-Bayo, F.; Hyne, R.V. Detection and Analysis of Neonicotinoids in River Waters—Development of a Passive Sampler for Three Commonly Used Insecticides. Chemosphere 2014, 99, 143–151. [Google Scholar] [CrossRef] [PubMed]
- Sequinatto, L.; Reichert, J.M.; dos Santos, D.R.; Reinert, D.J.; Copetti, A.C.C. Occurrence of Agrochemicals in Surface Waters of Shallow Soils and Steep Slopes Cropped to Tobacco. Quím. Nova 2013, 36, 768–772. [Google Scholar] [CrossRef]
- Van Dijk, T.C.; Van Staalduinen, M.A.; Van der Sluijs, J.P. Macro-Invertebrate Decline in Surface Water Polluted with Imidacloprid. PLoS ONE 2013, 8, e62374. [Google Scholar] [CrossRef]
- Sousa, J.C.G.; Ribeiro, A.R.; Barbosa, M.O.; Pereira, M.F.R.; Silva, A.M.T. A Review on Environmental Monitoring of Water Organic Pollutants Identified by EU Guidelines. J. Hazard. Mater. 2018, 344, 146–162. [Google Scholar] [CrossRef]
- European Union. European Commission DECISION (EU) 2018/840 2018. Available online: http://eur-lex.europa.eu/legal-content/EN/TXT/PDF/?uri=CELEX:32018D0840&rid=7 (accessed on 24 June 2022).
- Pietrzak, D.; Kania, J.; Malina, G.; Kmiecik, E.; Wątor, K. Pesticides from the EU First and Second Watch Lists in the Water Environment. CLEAN—Soil Air Water 2019, 47, 1800376. [Google Scholar] [CrossRef]
- Pietrzak, D.; Kania, J.; Kmiecik, E.; Malina, G.; Wątor, K. Fate of Selected Neonicotinoid Insecticides in Soil–Water Systems: Current State of the Art and Knowledge Gaps. Chemosphere 2020, 255, 126981. [Google Scholar] [CrossRef] [PubMed]
- Republic of Croatia, Hrvatske Vode. Effect of Agriculture on Surface Waters and Groundwaters Pollution in Croatia, Report; Utjecaj Poljoprivrede Na Onečišćenje Površinskih i Podzemnih Voda u Republici Hrvatskoj; (In Croatian). Republic of Croatia: Zagreb, Croatia, 2014; Available online: https://www.voda.hr/sites/default/files/dokumenti/utjecaj_poljoprivrede_na_oneciscenje_povrsinskih_i_podzemnih_voda_u_republici_hrvatskoj.pdf (accessed on 24 June 2022).
- European Food Safety Authority Pesticides: EFSA to Examine Emergency Use of Neonicotinoids 2020. Available online: https://www.efsa.europa.eu/en/news/neonicotinoids-efsa-assesses-emergency-uses-sugar-beet-202021 (accessed on 24 June 2022).
- Yildirim Kumral, A.; Kumral, N.A.; Kolcu, A.; Maden, B.; Artik, B. Simulation Study for the Degradation of Some Insecticides during Different Black Table Olive Processes. ACS Omega 2020, 5, 14164–14172. [Google Scholar] [CrossRef]
- Broznić, D.; Milin, Č. Imidacloprid—Olive Orchard “Guardian”. Medicina 2009, 45, 119–126. [Google Scholar]
- Sabbour, M.M.; Shaurub, E.-S.H. Toxicity Effect of Imidacloprid and Nano-Imidacloprid Particles in Controlling Bactrocera Oleae(Rossi) (Diptera: Tephritidae) under Laboratory and Field Conditions. Biosci. Res. 2018, 15, 2494–2501. [Google Scholar]
- Hamdan, A.J.S. Bionomics of Olive Fruit Fly, Bactrocera Oleae (Rossi) [Diptera: Tephritidae] Infesting Ten Olive Cultivars in the Southern Highlands of West-Bank, Palestine. Int. J. Sci. Basic Appl. Res. 2016, 27, 194–203. [Google Scholar]
- Broznić, D.; Petković Didović, M.; Rimac, V.; Marinić, J. Sorption and Leaching Potential of Organophosphorus Insecticide Dimethoate in Croatian Agricultural Soils. Chemosphere 2020, 273, 128563. [Google Scholar] [CrossRef] [PubMed]
- Bašić, F.; Jones, R.J.A.; Houškova, B.; Bullock, P.; Montanarella, L.; European Soil Bureau; Institute for Environment & Sustainability JRC Ispra. Soil Resources of Europe, 2nd ed. Available online: https://esdac.jrc.ec.europa.eu/ESDB_Archive/eusoils_docs/esb_rr/n09_EUR20559.pdf (accessed on 24 June 2022).
- European Union. European Commission European Parliament Resolution on Soil Protection 2021/2548(RSP) 2021. Available online: https://eur-lex.europa.eu/legal-content/EN/TXT/?uri=CELEX:52021IP0143 (accessed on 24 June 2022).
- OECD (Organisation for Economic Co-operation and Development). Guidelines for Testing of Chemicals, Proposal for Updating Guideline No312: Leaching in Soil Columns; OECD: Paris, France, 2007; pp. 1–15. [Google Scholar]
- Gaber, H.M.; Inskeep, W.P.; Comfort, S.D.; Wraith, J.M. Nonequilibrium Transport of Atrazine through Large Intact Soil Cores. Soil Sci. Soc. Am. J. 1995, 59, 60–67. [Google Scholar] [CrossRef]
- Šimunek, J.; van Genuchten, M.T.; Šejna, M.; Toride, N.; Leij, F.J. The STANMOD Computer Software for Evaluating Solute Transport in Porous Media Using Analytical Solutions of Convection-Dispersion Equation; Versions 1.0 and 2.0, IGWMC-TPS-71; International Ground Water Modeling Center, Colorado School of Mines: Golden, CO, USA, 1999; 32p. [Google Scholar]
- Toride, N.; Leij, F.J.; van Genuchten, M.T. The CXTFIT Code for Estimating Transport Parameters from Laboratory or Field Tracer Experiments; Version 2.0; Research Report 137; US Salinity Laboratory: Riverside, CA, USA, 1995. [Google Scholar]
- Van Genuchten, M.T. Non-Equilibrium Transport Parameters from Miscible Displacement Experiments; Research Report No. 119; U.S. Dept. of Agriculture, Science and Education Administration, U.S. Salinity Laboratory: Riverside, CA, USA, 1981. [Google Scholar]
- Broznić, D.; Marinić, J.; Tota, M.; Jurešić, G.Č.; Petković, O.; Milin, Č. Hysteretic Behavior of Imidacloprid Sorption-Desorption in Soils of Croatian Coastal Regions. Soil Sediment Contam. Int. J. 2014, 21, 850–871. [Google Scholar] [CrossRef]
- Anderson, N.L.; Harmon-Threatt, A.N. Chronic Contact with Realistic Soil Concentrations of Imidacloprid Affects the Mass, Immature Development Speed, and Adult Longevity of Solitary Bees. Sci. Rep. 2019, 9, 3724. [Google Scholar] [CrossRef] [PubMed]
- Anhalt, J.C.; Moorman, T.B.; Koskinen, W.C. Degradation and Sorption of Imidacloprid in Dissimilar Surface and Subsurface Soils. J. Environ. Sci. Health Part B 2008, 43, 207–213. [Google Scholar] [CrossRef] [PubMed]
- Helling, C.S. Pesticide Mobility in Soils III. Influence of Soil Properties. Soil Sci. Soc. Am. J. 1971, 35, 743–748. [Google Scholar] [CrossRef]
- Moreira, A.A.G.; De Lima-Neto, P.; Caetano, E.W.S.; Barroso-Neto, I.L.; Freire, V.N. Computational Electronic Structure of the Bee Killer Insecticide Imidacloprid. New J. Chem. 2016, 40, 10353–10362. [Google Scholar] [CrossRef]
- Cox, L.; Koskinen, W.C.; Celis, R.; Hermosin, M.C.; Cornejo, J.; Yen, P.Y. Sorption of Imidacloprid on Soil Clay Mineral and Organic Components. Soil Sci. Soc. Am. J. 1998, 62, 911–915. [Google Scholar] [CrossRef]
- Giles, C.H.; MacEwan, T.H.; Nakhwa, S.N.; Smith, D. 786. Studies in Adsorption. Part XI. A System of Classification of Solution Adsorption Isotherms, and Its Use in Diagnosis of Adsorption Mechanisms and in Measurement of Specific Surface Areas of Solids. J. Chem. Soc. Resumed 1960, 3973. [Google Scholar] [CrossRef]
- González-Pradas, E.; Ureña-Amate, M.D.; Flores-Céspedes, F.; Fernández-Pérez, M.; Garratt, J.; Wilkins, R. Leaching of Imidacloprid and Procymidone in a Greenhouse of Southeast of Spain. Soil Sci. Soc. Am. J. 2002, 66, 1821–1828. [Google Scholar] [CrossRef]
- Ping, L.; Zhang, C.; Zhu, Y.; Wu, M.; Dai, F.; Hu, X.; Zhao, H.; Li, Z. Imidacloprid Adsorption by Soils Treated with Humic Substances under Different pH and Temperature Conditions. Afr. J. Biotechnol. 2010, 9, 1935–1940. [Google Scholar] [CrossRef][Green Version]
- Cox, L.; Koskinen, W.C.; Yen, P.Y. Changes in Sorption of Imidacloprid with Incubation Time. Soil Sci. Soc. Am. J. 1998, 62, 342–347. [Google Scholar] [CrossRef]
- Calvet, R. Adsorption of Organic Chemicals in Soils. Environ. Health Perspect. 1989, 83, 145–177. [Google Scholar] [CrossRef]
- Sheng, G.; Johnston, C.T.; Teppen, B.J.; Boyd, S.A. Potential Contributions of Smectite Clays and Organic Matter to Pesticide Retention in Soils. J. Agric. Food Chem. 2001, 49, 2899–2907. [Google Scholar] [CrossRef] [PubMed]
- Wauchope, R.D.; Yeh, S.; Linders, J.B.H.J.; Kloskowski, R.; Tanaka, K.; Rubin, B.; Katayama, A.; Kördel, W.; Gerstl, Z.; Lane, M.; et al. Pesticide Soil Sorption Parameters: Theory, Measurement, Uses, Limitations and Reliability. Pest Manag. Sci. 2002, 58, 419–445. [Google Scholar] [CrossRef] [PubMed]
- Li, H.; Teppen, B.J.; Laird, D.A.; Johnston, C.T.; Boyd, S.A. Geochemical Modulation of Pesticide Sorption on Smectite Clay. Environ. Sci. Technol. 2004, 38, 5393–5399. [Google Scholar] [CrossRef] [PubMed]
- Kuisi, M.A. Adsorption of Dimethoate and 2,4-D on Jordan Valley Soils and Their Environmental Impacts. Environ. Geol. 2002, 42, 666–671. [Google Scholar] [CrossRef]
- Liu, W.; Zheng, W.; Ma, Y.; Liu, K. Sorption and Degradation of Imidacloprid in Soil and Water. J. Environ. Sci. Health B 2006, 41, 623–634. [Google Scholar] [CrossRef]
- Wang, X.; Yue, Y.; Zhang, Y.; Wang, Z.; Liu, J.; Tang, Q. Probing the Interaction of Pepsin with Imidacloprid via DFT Calculation, Spectroscopic Approaches and Molecular Docking. J. Mol. Struct. 2019, 1197, 210–216. [Google Scholar] [CrossRef]
- Aseperi, A.K.; Busquets, R.; Hooda, P.S.; Cheung, P.C.W.; Barker, J. Behaviour of Neonicotinoids in Contrasting Soils. J. Environ. Manag. 2020, 276, 111329. [Google Scholar] [CrossRef]
- Farenhorst, A. Importance of Soil Organic Matter Fractions in Soil-Landscape and Regional Assessments of Pesticide Sorption and Leaching in Soil. Soil Sci. Soc. Am. J. 2006, 70, 1005–1012. [Google Scholar] [CrossRef]
- Chen, P.; Shi, M.; Liu, X.; Wang, X.; Fang, M.; Guo, Z.; Wu, X.; Wang, Y. Comparison of the Binding Interactions of 4-Hydroxyphenylpyruvate Dioxygenase Inhibitor Herbicides with Humic Acid: Insights from Multispectroscopic Techniques, DFT and 2D-COS-FTIR. Ecotoxicol. Environ. Saf. 2022, 239, 113699. [Google Scholar] [CrossRef] [PubMed]
- Kurwadkar, S.; Wheat, R.; McGahan, D.G.; Mitchell, F. Evaluation of Leaching Potential of Three Systemic Neonicotinoid Insecticides in Vineyard Soil. J. Contam. Hydrol. 2014, 170, 86–94. [Google Scholar] [CrossRef] [PubMed]
- Gustafson, D.I. Groundwater Ubiquity Score: A Simple Method for Assessing Pesticide Leachability. Environ. Toxicol. Chem. 1989, 8, 339–357. [Google Scholar] [CrossRef]
- Yaalon, D.H. Soils in the Mediterranean Region: What Makes Them Different? Catena 1997, 28, 157–169. [Google Scholar] [CrossRef]
- Peh, Z.; Miko, S.; Bukovec, D. The Geochemical Background in Istrian Soils. Nat. Croat. 2003, 12, 195–232. [Google Scholar]
- Schwertmann, U. Goethite and Hematite Formation in the Presence of Clay Minerals and Gibbsite at 25 °C. Soil Sci. Soc. Am. J. 1988, 52, 288–291. [Google Scholar] [CrossRef]
- Schwertmann, U.; Friedl, J.; Stanjek, H.; Schulze, D.G. The Effect of Clay Minerals on the Formation of Goethite and Hematite from Ferrihydrite after 16 Years’ Ageing at 25 °C and pH 4–7. Clay Miner. 2000, 35, 613–623. [Google Scholar] [CrossRef]
- Celis, R.; Cornejo, J.; Hermosin, M.C.; Koskinen, W.C. Sorption of Atrazine and Simazine by Model Associations of Soil Colloids. Soil Sci. Soc. Am. J. 1998, 62, 165–171. [Google Scholar] [CrossRef]
- Dzade, N.; Roldan, A.; de Leeuw, N. A Density Functional Theory Study of the Adsorption of Benzene on Hematite (α-Fe2O3) Surfaces. Minerals 2014, 4, 89–115. [Google Scholar] [CrossRef]
- Henderson, M.A.; Joyce, S.A.; Rustad, J.R. Interaction of Water with the (1 × 1) and (2 × 1) Surfaces of α-Fe2O3. Surf.Sci. 1998, 417, 66–81. [Google Scholar] [CrossRef]
- Beentjes, P.C.J.; van den Brand, J.; de Wit, J.H.W. Interaction of Ester and Acid Groups Containing Organic Compounds with Iron Oxide Surfaces. J. Adhes. Sci. Technol. 2006, 20, 1–18. [Google Scholar] [CrossRef]
- Leiva, J.A.; Nkedi-Kizza, P.; Morgan, K.T.; Kadyampakeni, D.M. Imidacloprid Transport and Sorption Nonequilibrium in Single and Multilayered Columns of Immokalee Fine Sand. PLoS ONE 2017, 12, e0183767. [Google Scholar] [CrossRef]
- Flores-Céspedes, F.; González-Pradas, E.; Fernández-Pérez, M.; Villafranca-Sánchez, M.; Socías-Viciana, M.; Ureña-Amate, M.D. Effects of Dissolved Organic Carbon on Sorption and Mobility of Imidacloprid in Soil. J. Environ. Qual. 2002, 31, 880–888. [Google Scholar] [CrossRef] [PubMed]
- Silva, V.; Mol, H.G.J.; Zomer, P.; Tienstra, M.; Ritsema, C.J.; Geissen, V. Pesticide Residues in European Agricultural Soils—A Hidden Reality Unfolded. Sci. Total Environ. 2019, 653, 1532–1545. [Google Scholar] [CrossRef] [PubMed]
- Brusseau, M.L.; Rao, P.S.C. Sorption Kinetics of Organic Chemicals: Methods, Models and Mechanisms. In SSSA Special Publications; Sparks, D.L., Suarez, D.L., Eds.; Soil Science Society of America: Madison, WI, USA, 1991; pp. 281–302. ISBN 978-0-89118-922-0. [Google Scholar]






| Properties | Imidacloprid | Dimethoate |
|---|---|---|
| Chemical structure | ![]() | ![]() |
| IUPAC name | (E)-1-(6-chloro-3-pyridylmethyl)-N-nitroimidazolidin-2-ylideneamine | 2-dimethoxyphosphinothioylthio-N-methylacetamide |
| Molecular formula | C9H10ClN5O2 | C5H12NO3PS2 |
| Molar mass (g/mol) | 255 | 229 |
| Melting point (°C) | 143 | 43–45 |
| Vapour pressure (mPa) | 2.00 × 10−4 (20 °C) | 0.25 (25 °C) |
| Water solubility (g/L) | 0.61 (20 °C) | 39.8 (21 °C) |
| Log KOW | 0.57 (20 °C) | 0.70 (20 °C) |
| Parameters | Soil | ||||
|---|---|---|---|---|---|
| S1 | S2 | S3 | S4 | S5 | |
| Location | Pag | Brač | Istria | Dubrovnik | Krk |
| GCS 1 | 44°41′19″ N 14°45′11″ W | 43°21′03″ N 16°44′34″ W | 45°18′02″ N 13°37′13″ W | 42°37′31″ N 18°11′06″ W | 45°21′24″ N 14°37′43″ W |
| Textural classes | clay | loam | clay | sandy loam | clay |
| Sand | 39.3 | 47.7 | 19.7 | 55.8 | 33.6 |
| Silt | 23.7 | 35.6 | 18.3 | 32.6 | 23.7 |
| Clay | 37.0 | 16.7 | 62.0 | 11.6 | 42.7 |
| pH 2 | 6.42 | 7.13 | 4.34 | 6.74 | 6.69 |
| HA (cmol/kg) 3 | 5.65 | 2.98 | 94.0 | 4.17 | 16.2 |
| CEC (cmol/kg) 4 | 34.2 | 25.7 | 105 | 28.0 | 49.2 |
| Ca2+(mg/100 g) | 13.0 | 17.4 | 7.10 | 15.8 | 24.8 |
| Mg2+ (mg/100 g) | 5.97 | 1.49 | 2.35 | 1.53 | 3.50 |
| Na+ (mg/100 g) | 2.24 | 0.28 | 0.15 | 0.24 | 0.98 |
| K+ (mg/100 g) | 3.59 | 3.38 | 1.20 | 3.76 | 2.20 |
| OM (%) 5 | 3.61 | 2.06 | 1.60 | 2.87 | 4.74 |
| CoxHa (%) 6 | 1.37 | 0.70 | 0.53 | 1.10 | 1.85 |
| CoxFa (%) 7 | 0.48 | 0.24 | 0.19 | 0.38 | 0.65 |
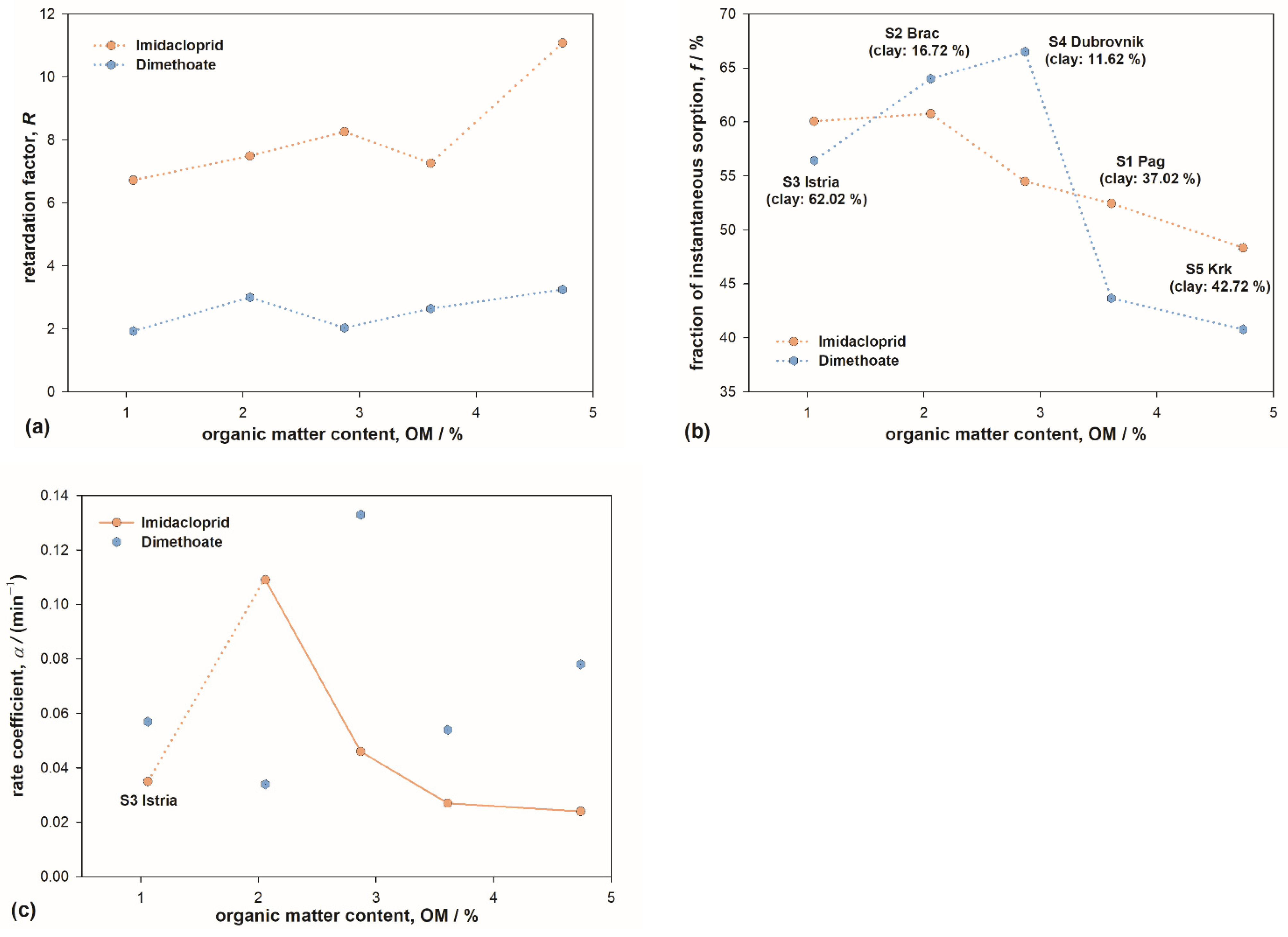
| Parameters | Soil | |||||||||
|---|---|---|---|---|---|---|---|---|---|---|
| S1 | S2 | S3 | S4 | S5 | S1 | S2 | S3 | S4 | S5 | |
| Imidacloprid | Dimethoate | |||||||||
| R 1 | 7.26 | 7.49 | 6.72 | 8.26 | 11.08 | 2.64 | 3.00 | 1.93 | 2.03 | 3.25 |
| Β 2 | 0.59 | 0.66 | 0.66 | 0.60 | 0.53 | 0.65 | 0.76 | 0.79 | 0.83 | 0.59 |
| f (%) 3 | 52.5 | 60.8 | 60.1 | 54.5 | 48.3 | 43.7 | 64.0 | 56.4 | 66.5 | 40.8 |
| ω 4 | 0.65 | 2.38 | 0.70 | 1.31 | 1.04 | 0.41 | 0.21 | 0.20 | 0.40 | 0.74 |
| α (1/min) 5 | 0.027 | 0.109 | 0.035 | 0.046 | 0.024 | 0.054 | 0.034 | 0.057 | 0.133 | 0.078 |
| R2 6 | 0.990 | 0.958 | 0.976 | 0.993 | 0.985 | 0.946 | 0.970 | 0.978 | 0.954 | 0.986 |
| SRMSE 7 | 0.079 | 0.102 | 0.118 | 0.057 | 0.076 | 0.290 | 0.192 | 0.201 | 0.281 | 0.176 |
| χ2-error 8 | 7.27 | 9.15 | 10.6 | 5.08 | 6.85 | 25.9 | 17.1 | 18.2 | 25.3 | 16.1 |
| Parameters | Soil Properties | |||||||
|---|---|---|---|---|---|---|---|---|
| OM 1 | Clay Content | CEC 2 | pH | |||||
| IMI | DIM | IMI | DIM | IMI | DIM | IMI | DIM | |
| R3 | 0.60 | 0.60 | −0.40 | 0.00 | −0.20 | −0.20 | 0.43 | 0.43 |
| f4 | −0.60 | −0.40 | −0.20 | −0.60 | −0.40 | −0.40 | 0.14 | −0.05 |
| α5 | −0.80 | 0.20 | −0.40 | 0.00 | −0.60 | 0.20 | 0.32 | 0.14 |
Publisher’s Note: MDPI stays neutral with regard to jurisdictional claims in published maps and institutional affiliations. |
© 2022 by the authors. Licensee MDPI, Basel, Switzerland. This article is an open access article distributed under the terms and conditions of the Creative Commons Attribution (CC BY) license (https://creativecommons.org/licenses/by/4.0/).
Share and Cite
Petković Didović, M.; Kowalkowski, T.; Broznić, D. Emerging Contaminant Imidacloprid in Mediterranean Soils: The Risk of Accumulation Is Greater than the Risk of Leaching. Toxics 2022, 10, 358. https://doi.org/10.3390/toxics10070358
Petković Didović M, Kowalkowski T, Broznić D. Emerging Contaminant Imidacloprid in Mediterranean Soils: The Risk of Accumulation Is Greater than the Risk of Leaching. Toxics. 2022; 10(7):358. https://doi.org/10.3390/toxics10070358
Chicago/Turabian StylePetković Didović, Mirna, Tomasz Kowalkowski, and Dalibor Broznić. 2022. "Emerging Contaminant Imidacloprid in Mediterranean Soils: The Risk of Accumulation Is Greater than the Risk of Leaching" Toxics 10, no. 7: 358. https://doi.org/10.3390/toxics10070358
APA StylePetković Didović, M., Kowalkowski, T., & Broznić, D. (2022). Emerging Contaminant Imidacloprid in Mediterranean Soils: The Risk of Accumulation Is Greater than the Risk of Leaching. Toxics, 10(7), 358. https://doi.org/10.3390/toxics10070358



