Acute and Chronic Toxicity of Binary Mixtures of Bisphenol A and Heavy Metals
Abstract
:1. Introduction
2. Materials and Methods
2.1. Bacterial Strains and Contaminants
2.2. Culture Medium and Culture Conditions
2.3. Single Toxicity
2.4. Mixture Toxicity
2.5. Prediction of Mixture Toxicity
2.6. Statistical Analysis
3. Results
3.1. Single Toxicity of BPA and Heavy Metals
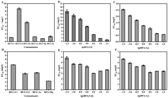
3.2. Toxicities of Binary–Mixtures of BPA and Heavy Metals
3.3. Toxicities of Mixtures of BPA and Heavy Metals Predicted by CA and IA Models
3.4. Joint Effects of BPA and Heavy Metals
3.5. Mechanism of the Synergistic Effects of BPA and Heavy Metals on V. qinghaiensis Q67
4. Discussion
5. Conclusions
Supplementary Materials
Author Contributions
Funding
Institutional Review Board Statement
Informed Consent Statement
Data Availability Statement
Acknowledgments
Conflicts of Interest
References
- Geens, T.; Aerts, D.; Berthot, C.; Bourguignon, J.P.; Goeyens, L.; Lecomte, P.; Maghuin-Rogister, G.; Pironnet, A.M.; Pussemier, L.; Scippo, M.L.; et al. A review of dietary and non-dietary exposure to bisphenol-A. Food Chem. Toxicol. 2012, 50, 3725–3740. [Google Scholar] [CrossRef] [PubMed]
- Caballero-Casero, N.; Lunar, L.; Rubio, S. Analytical methods for the determination of mixtures of bisphenols and derivatives in human and environmental exposure sources and biological fluids. A review. Anal. Chim. Acta 2016, 908, 22–53. [Google Scholar] [CrossRef] [PubMed]
- Mansour, S.A. Monitoring and Health Risk Assessment of Heavy Metal Contamination in Food; John Wiley & Sons: Hoboken, NJ, USA, 2014; pp. 235–255. [Google Scholar]
- Yang, M.; Fan, Z.Q.; Xie, Y.J.; Fang, L.; Wang, X.R.; Yuan, Y.; Li, R.X. Transcriptome analysis of the effect of bisphenol A exposure on the growth, photosynthetic activity and risk of microcystin-LR release by Microcystis aeruginosa. J. Hazard. Mater. 2020, 397, 122746. [Google Scholar] [CrossRef]
- Chen, P.; Yang, J.; Xiao, B.; Zhang, Y.; Liu, S.; Zhu, L. Mechanisms for the impacts of graphene oxide on the developmental toxicity and endocrine disruption induced by bisphenol A on zebrafish larvae. J. Hazard. Mater. 2021, 408, 124867. [Google Scholar] [CrossRef]
- Huang, Y.Q.; Wong, C.K.C.; Zheng, J.S.; Bouwman, H.; Barra, R.; Wahlstrom, B.; Neretin, L.; Wong, M.H. Bisphenol A (BPA) in China: A review of sources, environmental levels, and potential human health impacts. Environ. Int. 2012, 42, 91–99. [Google Scholar] [CrossRef]
- Banaderakhshan, R.; Kemp, P.; Breul, L.; Steinbichl, P.; Hartmann, C.; Furhacker, M. Bisphenol A and its alternatives in Austrian thermal paper receipts, and the migration from reusable plastic drinking bottles into water and artificial saliva using UHPLC-MS/MS. Chemosphere 2022, 286, 131842. [Google Scholar] [CrossRef]
- Liao, C.Y.; Kannan, K. Concentrations and Profiles of Bisphenol A and Other Bisphenol Analogues in Foodstuffs from the United States and Their Implications for Human Exposure. J. Agric. Food Chem. 2013, 61, 4655–4662. [Google Scholar] [CrossRef]
- Ronderos-Lara, J.G.; Saldarriaga-Norena, H.; Murillo-Tovar, M.A.; Vergara-Sanchez, J. Optimization and Application of a GC-MS Method for the Determination of Endocrine Disruptor Compounds in Natural Water. Separations 2018, 5, 33. [Google Scholar] [CrossRef] [Green Version]
- Parto, M.; Aazami, J.; Shamsi, Z.; Zamani, A.; Savabieasfahani, M. Determination of bisphenol-A in plastic bottled water in markets of Zanjan, Iran. Int. J. Environ. Sci. Technol. 2021, 19, 3337–3344. [Google Scholar] [CrossRef]
- Iribarne-Duran, L.M.; Peinado, F.M.; Freire, C.; Castillero-Rosales, I.; Artacho-Cordon, F.; Olea, N. Concentrations of bisphenols, parabens, and benzophenones in human breast milk: A systematic review and meta-analysis. Sci. Total Environ. 2022, 806, 150437. [Google Scholar] [CrossRef]
- Balabanic, D.; Filipic, M.; Klemencic, A.K.; Zegura, B. Genotoxic activity of endocrine disrupting compounds commonly present in paper mill effluents. Sci. Total Environ. 2021, 794, 148489. [Google Scholar] [CrossRef] [PubMed]
- Baralic, K.; Jorgovanovic, D.; Zivancevic, K.; Djordjevic, A.B.; Miljakovic, E.A.; Miljkovic, M.; Kotur-Stevuljevic, J.; Antonijevic, B.; Dukic-Cosic, D. Combining in vivo pathohistological and redox status analysis with in silico toxicogenomic study to explore the phthalates and bisphenol A mixture-induced testicular toxicity. Chemosphere 2021, 267, 129296. [Google Scholar] [CrossRef] [PubMed]
- Dagher, J.B.; Hahn-Townsend, C.K.; Kaimal, A.; Al Mansi, M.; Henriquez, J.E.; Tran, D.G.; Laurent, C.R.; Bacak, C.J.; Buechter, H.E.; Cambric, C.; et al. Independent and combined effects of Bisphenol A and Diethylhexyl Phthalate on gestational outcomes and offspring development in Sprague-Dawley rats. Chemosphere 2021, 263, 128307. [Google Scholar] [CrossRef] [PubMed]
- Fu, J.J.; Guo, Y.Y.; Yang, L.H.; Han, J.; Zhou, B.S. Nano-TiO2 enhanced bioaccumulation and developmental neurotoxicity of bisphenol a in zebrafish larvae. Environ. Res. 2020, 187, 109682. [Google Scholar] [CrossRef] [PubMed]
- Guo, J.Q.; Wu, C.H.; Zhang, J.M.; Qi, X.J.; Lv, S.L.; Jiang, S.; Zhou, T.; Lu, D.S.; Feng, C.; Chang, X.L.; et al. Prenatal exposure to mixture of heavy metals, pesticides and phenols and IQ in children at 7 years of age: The SMBCS study. Environ. Int. 2020, 139, 105692. [Google Scholar] [CrossRef]
- Chen, L.G.; Hu, C.Y.; Guo, Y.Y.; Shi, Q.P.; Zhou, B.S. TiO2 nanoparticles and BPA are combined to impair the development of offspring zebrafish after parental coexposure. Chemosphere 2019, 217, 732–741. [Google Scholar] [CrossRef]
- Zhou, R.; Xia, M.; Zhang, L.; Cheng, W.; Yan, J.; Sun, Y.; Wang, Y.; Jiang, H. Individual and combined effects of BPA, BPS and BPAF on the cardiomyocyte differentiation of embryonic stem cells. Ecotoxicol. Environ. Saf. 2021, 220, 112366. [Google Scholar] [CrossRef]
- Gowder, S.J. Nephrotoxicity of bisphenol A (BPA)—An updated review. Curr. Mol. Pharmacol. 2013, 6, 163–172. [Google Scholar] [CrossRef]
- Oehlmann, J.; Schulte-Oehlmann, U.; Kloas, W.; Jagnytsch, O.; Lutz, I.; Kusk, K.O.; Wollenberger, L.; Santos, E.M.; Paull, G.C.; Van Look, K.J.W.; et al. A critical analysis of the biological impacts of plasticizers on wildlife. Philos. Trans. R. Soc. B-Biol. Sci. 2009, 364, 2047–2062. [Google Scholar] [CrossRef] [Green Version]
- Riebeling, C.; Luch, A.; Tralau, T. Skin toxicology and 3Rs-Current challenges for public health protection. Exp. Dermatol. 2018, 27, 526–536. [Google Scholar] [CrossRef]
- Kudryasheva, N.S.; Tarasova, A.S. Pollutant toxicity and detoxification by humic substances: Mechanisms and quantitative assessment via luminescent biomonitoring. Environ. Sci. Pollut. Res. 2015, 22, 155–167. [Google Scholar] [CrossRef] [PubMed]
- Abbas, M.; Adil, M.; Ehtisham-ul-Haque, S.; Munir, B.; Yameen, M.; Ghaffar, A.; Shar, G.A.; Tahir, M.A.; Iqbal, M. Vibrio fischeri bioluminescence inhibition assay for ecotoxicity assessment: A review. Sci. Total Environ. 2018, 626, 1295–1309. [Google Scholar] [CrossRef]
- Ma, X.Y.Y.; Wang, X.C.C.; Ngo, H.H.; Guo, W.S.; Wu, M.N.N.; Wang, N. Bioassay based luminescent bacteria: Interferences, improvements, and applications. Sci. Total Environ. 2014, 468, 1–11. [Google Scholar] [CrossRef] [PubMed]
- Thouand, G.; Marks, R. Bioluminescence: Fundamentals and Applications in Biotechnology—Volume 3 Preface. In Bioluminescence: Fundamentals and Applications in Biotechnology; Springer: Berlin/Heidelberg, Germany, 2016; Volume 154. [Google Scholar] [CrossRef] [Green Version]
- Caccamo, D.; Di Cello, F.; Fani, R.; Gugliandolo, C.; Maugeri, T.L. Polyphasic approach to the characterisation of marine luminous bacteria. Res. Microbiol. 1999, 150, 221–230. [Google Scholar] [CrossRef]
- Thouand, G.; Marks, R. (Eds.) Bioluminescence: Fundamentals and Applications in Biotechnology—Volume 2, 2014th ed.; Springer: Berlin/Heidelberg, Germany, 2014; Volume 145. [Google Scholar]
- Ma, M.; Tong, Z.; Wang, Z.; Zhu, W. Acute toxicity bioassay using the freshwater luminescent bacterium Vibrio-qinghaiensis sp. Nov.-Q67. Bull. Environ. Contam. Toxicol. 1999, 62, 247–253. [Google Scholar] [CrossRef]
- Deheyn, D.D.; Bencheikh-Latmani, R.; Latz, M.I. Chemical speciation and toxicity of metals assessed by three bioluminescence-based assays using marine organisms. Environ. Toxicol. 2004, 19, 161–178. [Google Scholar] [CrossRef] [PubMed] [Green Version]
- Hassan, S.H.A.; Oh, S.E. Improved detection of toxic chemicals by Photobacterium phosphoreum using modified Boss medium. J. Photochem. Photobiol. B-Biol. 2010, 101, 16–21. [Google Scholar] [CrossRef] [PubMed]
- Rodea-Palomares, I.; Gonzalez-Garcia, C.; Leganes, F.; Fernandez-Pinas, F. Effect of pH, EDTA, and Anions on Heavy Metal Toxicity Toward a Bioluminescent Cyanobacterial Bioreporter. Arch. Environ. Contam. Toxicol. 2009, 57, 477–487. [Google Scholar] [CrossRef]
- Ankley, G.T.; Hoke, R.A.; Giesy, J.P.; Winger, P.V. Evaluation of the toxicity of marine sediments and dredge spoils with the Microtox bioassay. Chemosphere 1989, 18, 2069–2075. [Google Scholar] [CrossRef]
- Hinwood, A.L.; Hinwood, A.L.; McCormick, M.J.; McCormick, M.J. The effect of ionic solutes on EC50 values measured using the microtox test. Toxic. Assess. 1987, 2, 449–461. [Google Scholar] [CrossRef]
- Zhou, R.; Cheng, W.; Feng, Y.; Wei, H.Y.; Liang, F.; Wang, Y. Interactions between three typical endocrine-disrupting chemicals (EDCs) in binary mixtures exposure on myocardial differentiation of mouse embryonic stem cell. Chemosphere 2017, 178, 378–383. [Google Scholar] [CrossRef]
- De Oliveira, K.M.G.; Carvalho, E.H.D.; dos Santos, R.; Sivek, T.W.; Tha, E.L.; de Souza, I.R.; Coelho, L.D.D.; Pimenta, M.E.B.; de Oliveira, G.A.R.; de Oliveira, D.P.; et al. Single and mixture toxicity evaluation of three phenolic compounds to the terrestrial ecosystem. J. Environ. Manag. 2021, 296, 113226. [Google Scholar] [CrossRef] [PubMed]
- Liu, S.; Xu, G.F.; Huang, M.Q.; Fu, L.; Jiang, X.; Yang, M. Bisphenol A and bisphenol AF co-exposure induces apoptosis in human granulosa cell line KGN through intracellular stress-dependent mechanisms. Arab. J. Chem. 2021, 14, 103399. [Google Scholar] [CrossRef]
- Jatkowska, N.; Kudlak, B.; Lewandowska, P.; Liu, W.; Williams, M.J.; Schioth, H.B. Identification of synergistic and antagonistic actions of environmental pollutants: Bisphenols A, S and F in the presence of DEP, DBP, BADGE and BADGE center dot 2HCl in three component mixtures. Sci. Total Environ. 2021, 767, 144286. [Google Scholar] [CrossRef] [PubMed]
- Li, D.; Chen, H.X.; Bi, R.; Xie, H.B.; Zhou, Y.; Luo, Y.J.; Xie, L.T. Individual and binary mixture effects of bisphenol A and lignin-derived bisphenol in Daphnia magna under chronic exposure. Chemosphere 2018, 191, 779–786. [Google Scholar] [CrossRef]
- Parsai, T.; Kumar, A. Effect of seawater acidification and plasticizer (Bisphenol-A) on aggregation of nanoparticles. Environ. Res. 2021, 201, 111498. [Google Scholar] [CrossRef]
- Li, X.H.; Yin, P.H.; Zhao, L. Effects of individual and combined toxicity of bisphenol A, dibutyl phthalate and cadmium on oxidative stress and genotoxicity in HepG 2 cells. Food Chem. Toxicol. 2017, 105, 73–81. [Google Scholar] [CrossRef]
- Ribeiro, E.; Ladeira, C.; Viegas, S. EDCs Mixtures: A Stealthy Hazard for Human Health? Toxics 2017, 5, 5. [Google Scholar] [CrossRef] [Green Version]
- M’Rabet, C.; Pringault, O.; Zmerli-Triki, H.; Ben Gharbia, H.; Couet, D.; Yahia, O.K.D. Impact of two plastic-derived chemicals, the Bisphenol A and the di-2-ethylhexyl phthalate, exposure on the marine toxic dinoflagellate Alexandrium pacificum. Mar. Pollut. Bull. 2018, 126, 241–249. [Google Scholar] [CrossRef]
- Baralic, K.; Zivancevic, K.; Javorac, D.; Djordjevic, A.B.; Andelkovic, M.; Jorgovanovic, D.; Miljakovic, E.A.; Curcic, M.; Bulat, Z.; Antonijevic, B.; et al. Multi-strain probiotic ameliorated toxic effects of phthalates and bisphenol A mixture in Wistar rats. Food Chem. Toxicol. 2020, 143, 111540. [Google Scholar] [CrossRef]
- Baralic, K.; Djordjevic, A.B.; Zivancevic, K.; Antonijevic, E.; Andelkovic, M.; Javorac, D.; Curcic, M.; Bulat, Z.; Antonijevic, B.; Dukic-Cosic, D. Toxic Effects of the Mixture of Phthalates and Bisphenol A-Subacute Oral Toxicity Study in Wistar Rats. Int. J. Environ. Res. Public Health 2020, 17, 746. [Google Scholar] [CrossRef] [PubMed] [Green Version]
- Suteau, V.; Briet, C.; Lebeault, M.; Gourdin, L.; Henrion, D.; Rodien, P.; Munier, M. Human amniotic fluid-based exposure levels of phthalates and bisphenol A mixture reduce INSL3/RXFP2 signaling. Environ. Int. 2020, 138, 105585. [Google Scholar] [CrossRef] [PubMed]
- Dokmeci, A.H.; Karaboga, I.; Guzel, S.; Erboga, Z.F.; Yilmaz, A. Toxicological assessment of low-dose bisphenol A, lead and endosulfan combination: Chronic toxicity study in male rats. Environ. Sci. Pollut. Res. 2021, 29, 10558–10574. [Google Scholar] [CrossRef]
- Zhu, X.L.; Wu, G.L.; Xing, Y.; Wang, C.Z.; Yuan, X.; Li, B.K. Evaluation of single and combined toxicity of bisphenol A and its analogues using a highly-sensitive micro-biosensor. J. Hazard. Mater. 2020, 381, 120908, Erratum in J. Hazard. Mater. 2021, 403, 123924. [Google Scholar] [CrossRef] [PubMed]
- Yang, J.; Hu, S.L.; Liao, A.Q.; Weng, Y.T.; Liang, S.L.; Lin, Y. Preparation of freeze-dried bioluminescent bacteria and their application in the detection of acute toxicity of bisphenol A and heavy metals. Food Sci. Nutr. 2022, 1–13. [Google Scholar] [CrossRef]
- Zhao, J.; Zeng, S.Q.; Xia, Y.; Xia, L.M. Expression of a thermotolerant laccase from Pycnoporus sanguineus in Trichoderma reesei and its application in the degradation of bisphenol A. J. Biosci. Bioeng. 2018, 125, 371–376. [Google Scholar] [CrossRef]
- Zhu, X.W.; Liu, S.S.; Ge, H.L.; Liu, Y. Comparison between the short-term and the long-term toxicity of six triazine herbicides on photobacteria Q67. Water Res. 2009, 43, 1731–1739. [Google Scholar] [CrossRef]
- Zou, X.M.; Lin, Z.F.; Deng, Z.Q.; Yin, D.Q.; Zhang, Y.L. The joint effects of sulfonamides and their potentiator on Photobacterium phosphoreum: Differences between the acute and chronic mixture toxicity mechanisms. Chemosphere 2012, 86, 30–35. [Google Scholar] [CrossRef]
- Chen, F.; Wu, L.G.; Xiao, X.Y.; Rong, L.L.; Li, M.; Zou, X.M. Mixture toxicity of zinc oxide nanoparticle and chemicals with different mode of action upon Vibrio fischeri. Environ. Sci. Eur. 2020, 32, 41. [Google Scholar] [CrossRef]
- Backhaus, T.; Froehner, K.; Altenburger, R.; Grimme, L.H. Toxicity testing with Vibrio fischeri: A comparison between the long term (24 h) and the short term (30 min) bioassay. Chemosphere 1997, 35, 2925–2938. [Google Scholar] [CrossRef]
- Broderius, S.J.; Kahl, M.D.; Hoglund, M.D. Use of joint toxic response to define the primary mode of toxic action for diverse industrial organic chemicals. Environ. Toxicol. Chem. 1995, 14, 1591–1605. [Google Scholar] [CrossRef]
- Xu, S.; Nirmalakhandan, N. Use of QSAR models in predicting joint effects in multi-component mixtures of organic chemicals. Water Res. 1998, 32, 2391–2399. [Google Scholar] [CrossRef]
- Wang, D.; Wang, S.; Bai, L.M.; Nasir, M.S.; Li, S.S.; Yan, W. Mathematical Modeling Approaches for Assessing the Joint Toxicity of Chemical Mixtures Based on Luminescent Bacteria: A Systematic Review. Front. Microbiol. 2020, 11, 1651. [Google Scholar] [CrossRef] [PubMed]
- Ding, K.K.; Lu, L.P.; Wang, J.Y.; Wang, J.P.; Zhou, M.Q.; Zheng, C.W.; Liu, J.S.; Zhang, C.L.; Zhuang, S.L. In vitro and in silico investigations of the binary-mixture toxicity of phthalate esters and cadmium (II) to Vibrio qinghaiensis sp.-Q67. Sci. Total Environ. 2017, 580, 1078–1084. [Google Scholar] [CrossRef] [PubMed]
- Zhang, J.; Ding, T.T.; Dong, X.Q.; Bian, Z.Q. Time-dependent and Pb-dependent antagonism and synergism towards Vibrio qinghaiensis sp.-Q67 within heavy metal mixtures. RSC Adv. 2018, 8, 26089–26098. [Google Scholar] [CrossRef] [Green Version]
- Czarny, K.; Krawczyk, B.; Szczukocki, D. Toxic effects of bisphenol A and its analogues on cyanobacteria Anabaena variabilis and Microcystis aeruginosa. Chemosphere 2021, 263, 128299. [Google Scholar] [CrossRef]
- Elersek, T.; Notersberg, T.; Kovacic, A.; Heath, E.; Filipic, M. The effects of bisphenol A, F and their mixture on algal and cyanobacterial growth: From additivity to antagonism. Environ. Sci. Pollut. Res. 2021, 28, 3445–3454. [Google Scholar] [CrossRef]
- Vilas-Boas, J.A.; Cardoso, S.J.; Senra, M.V.X.; Rico, A.; Dias, R.J.P. Ciliates as model organisms for the ecotoxicological risk assessment of heavy metals: A meta-analysis. Ecotoxicol. Environ. Saf. 2020, 199, 110669. [Google Scholar] [CrossRef]
- McGrath, S.P.; Chaudri, A.M.; Giller, K.E. Long-term effects of metals in sewage sludge on soils, microorganisms and plants. J. Ind. Microbiol. 1995, 14, 94–104. [Google Scholar] [CrossRef]





Publisher’s Note: MDPI stays neutral with regard to jurisdictional claims in published maps and institutional affiliations. |
© 2022 by the authors. Licensee MDPI, Basel, Switzerland. This article is an open access article distributed under the terms and conditions of the Creative Commons Attribution (CC BY) license (https://creativecommons.org/licenses/by/4.0/).
Share and Cite
Yang, J.; Liao, A.; Hu, S.; Zheng, Y.; Liang, S.; Han, S.; Lin, Y. Acute and Chronic Toxicity of Binary Mixtures of Bisphenol A and Heavy Metals. Toxics 2022, 10, 255. https://doi.org/10.3390/toxics10050255
Yang J, Liao A, Hu S, Zheng Y, Liang S, Han S, Lin Y. Acute and Chronic Toxicity of Binary Mixtures of Bisphenol A and Heavy Metals. Toxics. 2022; 10(5):255. https://doi.org/10.3390/toxics10050255
Chicago/Turabian StyleYang, Jun, Anqi Liao, Shulin Hu, Yiwen Zheng, Shuli Liang, Shuangyan Han, and Ying Lin. 2022. "Acute and Chronic Toxicity of Binary Mixtures of Bisphenol A and Heavy Metals" Toxics 10, no. 5: 255. https://doi.org/10.3390/toxics10050255
APA StyleYang, J., Liao, A., Hu, S., Zheng, Y., Liang, S., Han, S., & Lin, Y. (2022). Acute and Chronic Toxicity of Binary Mixtures of Bisphenol A and Heavy Metals. Toxics, 10(5), 255. https://doi.org/10.3390/toxics10050255

