Reduction of Salt and Fat in Frankfurter Sausages by Addition of Agaricus bisporus and Pleurotus ostreatus Flour
Abstract
1. Introduction
2. Materials and Methods
2.1. Flour Preparation
2.2. Manufacture of Frankfurter-Type Sausages
2.3. Chemical Composition
2.4. Amino Acid Profile
2.5. Lipid Oxidation Analysis
2.6. pH and Microbial Analysis
2.7. Color and Texture Profile
2.8. Sensory Analysis
2.9. Statistical Analysis
3. Results and Discussion
3.1. Chemical Composition
3.2. Amino Acid Profile
3.3. Lipid Oxidation Analysis
3.4. pH and Microbial Results
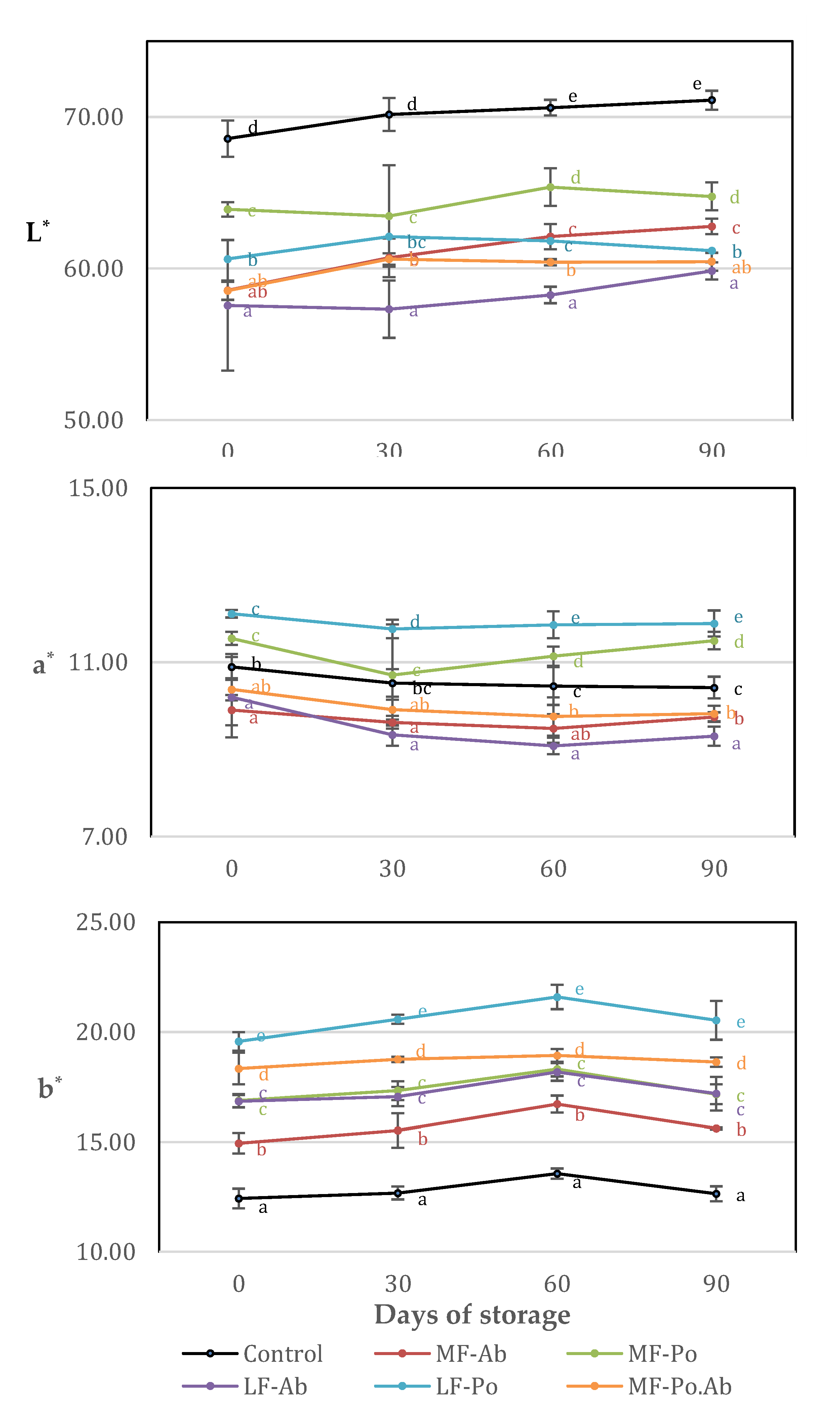
3.5. Color and Texture Profile Analysis
3.6. Sensory Evaluation
4. Conclusions
Author Contributions
Funding
Conflicts of Interest
References
- Hathwar, S.C.; Rai, A.K.; Modi, V.K.; Narayan, B. Characteristics and consumer acceptance of healthier meat and meat product formulations: A review. J. Food Sci. Technol. 2012, 49, 653–664. [Google Scholar] [CrossRef]
- Decker, E.A.; Park, Y. Healthier meat products as functional foods. Meat Sci. 2010, 86, 49–55. [Google Scholar] [CrossRef]
- Ekmekcioglu, C.; Wallner, P.; Kundi, M.; Weisz, U.; Haas, W.; Hutter, H.-P. Read meat, diseases, and healthy alternatives: A critical review. Crit. Rev. Food Sci. Nutr. 2018, 58, 247–261. [Google Scholar] [CrossRef] [PubMed]
- Beriain, M.J.; Gomez, I.; Ibañez, F.C.; Sarries, M.V.; Ordoñez, A.I. Improvement of the functional and healthy properties of meat products. In Food Quality: Balancing Health and Disease, 1st ed.; Holban, A.M., Grumezescu, A.M., Eds.; Academic Press: London, UK, 2018; Volume 13, pp. 1–74. ISBN 9780128114940. [Google Scholar]
- Grasso, S.; Brunton, N.P.; Lyng, J.G.; Lalor, F.; Monahan, F.J. Healthy processed meat products—Regulatory, reformulation and consumer challenges. Trends Food Sci. Technol. 2014, 39, 4–17. [Google Scholar] [CrossRef]
- Zhang, W.; Xiao, S.; Samaraweera, H.; Joo, E.; Ahn, D.U. Improving functional value of meat products. Meat Sci. 2010, 86, 15–31. [Google Scholar] [CrossRef] [PubMed]
- Panagiotopoulou, E.; Moschakis, T.; Katsanidis, E. Sunflower oil organogels and organogel-in-water emulsions (part II): Implementation in frankfurter sausages. LWT Food Sci. Technol. 2016, 73, 351–356. [Google Scholar] [CrossRef]
- Pil-Nam, S.; Park, K.M.; Kang, G.H.; Cho, S.H.; Park, B.Y.; Van-Ba, H. The impact of addition of shiitake on quality characteristics of frankfurter during refrigerated storage. LWT Food Sci. Technol. 2015, 62, 62–68. [Google Scholar] [CrossRef]
- Delgado-Pando, G.; Cofrades, S.; Ruiz-Capillas, C.; Teresa Solas, M.; Jiménez-Colmenero, F. Healthier lipid combination oil-in-water emulsions prepared with various protein systems: An approach for development of functional meat products. Eur. J. Lipid Sci. Technol. 2010, 112, 791–801. [Google Scholar] [CrossRef]
- Cofrades, S.; Benedí, J.; Garcimartin, A.; Sánchez-Muniz, F.J.; Jimenez-Colmenero, F. A comprehensive approach to formulation of seaweed-enriched meat products: From technological development to assessment of healthy properties. Food Res. Int. 2017, 99, 1084–1094. [Google Scholar] [CrossRef]
- Pintado, T.; Herrero, A.M.; Jiménez-Colmenero, F.; Ruiz-Capillas, C. Strategies for incorporation of chia (Salvia hispanica L.) in frankfurters as a health-promoting ingredient. Meat Sci. 2016, 114, 75–84. [Google Scholar] [CrossRef]
- Henning, S.S.C.; Tshalibe, P.; Hoffman, L.C. Physico-chemical properties of reduced-fat beef species sausage with pork back fat replaced by pineapple dietary fibres and water. LWT Food Sci. Technol. 2016, 74, 92–98. [Google Scholar] [CrossRef]
- Choi, Y.S.; Kim, H.W.; Hwang, K.E.; Song, D.H.; Jeong, T.J.; Kim, Y.B.; Kim, C.J. Effects of fat levels and rice bran fiber on the chemical, textural, and sensory properties of frankfurters. Food Sci. Biotechnol. 2015, 24, 489–495. [Google Scholar] [CrossRef]
- Özvural, E.B.; Vural, H. Which is the best grape seed additive for frankfurters: Extract, oil or flour? J. Sci. Food Agric. 2014, 94, 792–797. [Google Scholar] [CrossRef]
- Alvarez, D.; Xiong, Y.L.; Castillo, M.; Payne, F.A.; Garrido, M.D. Textural and viscoelastic properties of pork frankfurters containing canola-olive oils, rice bran, and walnut. Meat Sci. 2012, 92, 8–15. [Google Scholar] [CrossRef]
- Delgado-Pando, G.; Cofrades, S.; Ruiz-Capillas, C.; Solas, M.T.; Triki, M.; Jiménez-Colmenero, F. Low-fat frankfurters formulated with a healthier lipid combination as functional ingredient: Microstructure, lipid oxidation, nitrite content, microbiological changes and biogenic amine formation. Meat Sci. 2011, 89, 65–71. [Google Scholar] [CrossRef]
- Bach, F.; Helm, C.V.; Bellettini, M.B.; Maciel, G.M.; Haminiuk, C.W.I. Edible mushrooms: A potential source of essential amino acids, glucans and minerals. Int. J. Food Sci. Technol. 2017, 52, 2382–2392. [Google Scholar] [CrossRef]
- Deepalakshmi, K.; Mirunalini, S. Pleurotus ostreatus: An oyster mushroom with nutritional and medicinal properties. J. Biochem. Technol. 2014, 5, 718–726. [Google Scholar]
- Dermiki, M.; Phanphensophon, N.; Mottram, D.S.; Methven, L. Contributions of non-volatile and volatile compounds to the umami taste and overall flavour of shiitake mushroom extracts and their application as flavour enhancers in cooked minced meat. Food Chem. 2013, 141, 77–83. [Google Scholar] [CrossRef]
- Phat, C.; Moon, B.; Lee, C. Evaluation of umami taste in mushroom extracts by chemical analysis, sensory evaluation, and an electronic tongue system. Food Chem. 2016, 192, 1068–1077. [Google Scholar] [CrossRef]
- Poojary, M.M.; Orlien, V.; Passamonti, P.; Olsen, K. Improved extraction methods for simultaneous recovery of umami compounds from six different mushrooms. J. Food Compos. Anal. 2017, 63, 171–183. [Google Scholar] [CrossRef]
- Michael, H.W.; Bultosa, G.; Pant, L.M. Nutritional contents of three edible oyster mushrooms grown on two substrates at Haramaya, Ethiopia, and sensory properties of boiled mushroom and mushroom sauce. Int. J. Food Sci. Technol. 2011, 46, 732–738. [Google Scholar] [CrossRef]
- Olawuyi, I.F.; Lee, W.Y. Quality and antioxidant properties of functional rice muffins enriched with shiitake mushroom and carrot pomace. Int. J. Food Sci. Technol. 2019, 54, 2321–2328. [Google Scholar] [CrossRef]
- Gaglio, R.; Guarcello, R.; Venturella, G.; Palazzolo, E.; Francesca, N.; Moschetti, G.; Gargano, M.L. Microbiological, chemical and sensory aspects of bread supplemented with different percentages of the culinary mushroom Pleurotus eryngii in powder form. Int. J. Food Sci. Technol. 2019, 54, 1197–1205. [Google Scholar] [CrossRef]
- Lu, X.; Brennan, M.A.; Serventi, L.; Mason, S.; Brennan, C.S. How the inclusion of mushroom powder can affect the physicochemical characteristics of pasta. Int. J. Food Sci. Technol. 2016, 51, 2433–2439. [Google Scholar] [CrossRef]
- Novakovic, S.; Djekic, I.; Klaus, A.; Vunduk, J.; Djordjevic, V.; Tomovic, V.; Sojic, B.; Kocic-Tanackov, S.; Lorenzo, J.M.; Barba, F.; et al. The effect of Cantharellus cibarius addition on quality characteristics of frankfurter during refrigerated storage. Foods 2019, 8, 635. [Google Scholar] [CrossRef]
- Fernandes, Â.; Barros, L.; Martins, A.; Herbert, P.; Ferreira, I.C.F.R. Nutritional characterisation of Pleurotus ostreatus (Jacq. ex Fr.) P. Kumm. produced using paper scraps as substrate. Food Chem. 2015, 169, 396–400. [Google Scholar] [CrossRef]
- ISO. International Standards Meat and Meat Products-Determination of Moisture Content: 1442; International Organization for Standarization: Geneva, Switzerland, 1997. [Google Scholar]
- ISO. International Standards Meat and Meat Products-Determination of Ash Content: 936; International Organization for Standarization: Geneva, Switzerland, 1998. [Google Scholar]
- ISO. International Standards Meat and Meat Products-Determination of Nitrogen Content: 937; International Organization for Standarization: Geneva, Switzerland, 1978. [Google Scholar]
- AOCS. Official Procedure, Approved Procedure Am 5-04. Rapid Determination of Oil/Fat Utilizing High Temperature Solvent Extraction; American Oil Chemists’ Society: Urbana, IL, USA, 2005. [Google Scholar]
- AOAC. Official Methods of Analysis AOAC, 15th ed.; AOAC: Washington, DC, USA, 1996. [Google Scholar]
- Marti-Quijal, F.J.; Zamuz, S.; Tomašević, I.; Rocchetti, G.; Lucini, L.; Marszałek, K.; Lorenzo, J.M. A chemometric approach to evaluate the impact of pulses, Chlorella and Spirulina on proximate composition, amino acid, and physicochemical properties of turkey burgers. J. Sci. Food Agric. 2019, 99, 3672–3680. [Google Scholar] [CrossRef]
- Vyncke, W. Evaluation of the Direct Thiobarbituric Acid Extraction Method for Determining Oxidative Rancidity in Mackerel (Scomber scombrus L.). Fette Seifen Anstrichmittel 1975, 77, 239–240. [Google Scholar] [CrossRef]
- ISO. Sensory Analysis e General Guidance for the Selection, Training and Monitoring of Assessors e Part 1: Selected Assessors, ISO 8586:201; International Organization for Standardization: Geneva, Switzerland, 2012. [Google Scholar]
- Ceron-Guevara, M.I.; Rangel-Vargas, E.; Lorenzo, J.M.; Bermúdez, R.; Pateiro, M.; Rodriguez, J.A.; Santos, E.M. Effect of the addition of edible mushroom flours (Agaricus bisporus and Pleurotus ostreatus) on physicochemical and sensory properties of cold-stored beef patties. J. Food Process. Preserv. 2020, 44, 14351. [Google Scholar] [CrossRef]
- Carrasco-González, J.A.; Serna-Saldívar, S.O.; Gutiérrez-Uribe, J.A. Nutritional composition and nutraceutical properties of the Pleurotus fruiting bodies: Potential use as food ingredient. J. Food Compos. Anal. 2017, 58, 69–81. [Google Scholar] [CrossRef]
- Elleuch, M.; Bedigian, D.; Roiseux, O.; Besbes, S.; Blecker, C.; Attia, H. Dietary fibre and fibre-rich by-products of food processing: Characterisation, technological functionality and commercial applications: A review. Food Chem. 2011, 124, 411–421. [Google Scholar] [CrossRef]
- Figuerola, F.; Hurtado, M.L.; Estévez, A.M.; Chiffelle, I.; Asenjo, F. Fibre concentrates from apple pomace and citrus peel as potential fibre sources for food enrichment. Food Chem. 2005, 91, 395–401. [Google Scholar] [CrossRef]
- Salcedo-Sandoval, L.; Cofrades, S.; Pérez, C.R.C.; Solas, M.T.; Jiménez-Colmenero, F. Healthier oils stabilized in konjac matrix as fat replacers in n-3 PUFA enriched frankfurters. Meat Sci. 2013, 93, 757–766. [Google Scholar] [CrossRef] [PubMed]
- Reis, F.S.; Barros, L.; Martins, A.; Ferreira, I.C.F.R. Chemical composition and nutritional value of the most widely appreciated cultivated mushrooms: An inter-species comparative study. Food Chem. Toxicol. 2012, 50, 191–197. [Google Scholar] [CrossRef]
- Cheung, P.C.K. Mini-review on edible mushrooms as source of dietary fiber: Preparation and health benefits. Food Sci. Hum. Wellness 2013, 2, 162–166. [Google Scholar] [CrossRef]
- Corrêa, R.C.G.; Brugnari, T.; Bracht, A.; Peralta, R.M.; Ferreira, I.C.F.R. Biotechnological, nutritional and therapeutic uses of Pleurotus spp. (Oyster mushroom) related with its chemical composition: A review on the past decade findings. Trends Food Sci. Technol. 2016, 50, 103–117. [Google Scholar] [CrossRef]
- Choi, Y.S.; Choi, J.H.; Han, D.J.; Kim, H.Y.; Lee, M.A.; Jeong, J.Y.; Kim, C.J. Effects of replacing pork back fat with vegetable oils and rice bran fiber on the quality of reduced-fat frankfurters. Meat Sci. 2010, 84, 557–563. [Google Scholar] [CrossRef]
- Gasecka, M.; Siwulski, M.; Mleczek, M. Evaluation of bioactive compounds content and antioxidant properties of soil-growing and wood-growing edible mushrooms. J. Food Process. Preserv. 2018, 42, 1–10. [Google Scholar] [CrossRef]
- González-Palma, I.; Escalona-Buendía, H.B.; Ponce-Alquicira, E.; Téllez-Téllez, M.; Gupta, V.K.; Díaz-Godínez, G.; Soriano-Santos, J. Evaluation of the antioxidant activity of aqueous and methanol extracts of Pleurotus ostreatus in different growth stages. Front. Microbiol. 2016, 7, 1099. [Google Scholar] [CrossRef]
- Papastergiadis, A.; Mubiru, E.; Van Langenhove, H.; De Meulenaer, B. Malondialdehyde measurement in oxidized foods: Evaluation of the spectrophotometric thiobarbituric acid reactive substances (TBARS) test in various foods. J. Agric. Food Chem. 2012, 60, 9589–9594. [Google Scholar] [CrossRef]
- Fernandes, R.P.P.; Trindade, M.A.; Lorenzo, J.M.; de Melo, M.P. Assesment of the stability of sheep sausages with the addition of different concentrations of Origanum vulgare extract during storage. Meat Sci. 2018, 137, 244–257. [Google Scholar] [CrossRef] [PubMed]
- Wolfer, T.L.; Acevedo, N.C.; Prusa, K.J.; Sebranek, J.G.; Tarté, R. Replacement of pork fat in frankfurter-type sausages by soybean oil oleogels structured with rice bran wax. Meat Sci. 2018, 145, 352–362. [Google Scholar] [CrossRef] [PubMed]
- Vilar, E.G.; Ouyang, H.; O´Sullivan, M.G.; Kerry, J.P.; Hamill, R.M.; O’Grady, M.N.; Mohammed, H.O.; Kilcawley, K.N. Effect of salt reduction and inclusion of 1% edible seaweeds on the chemical, sensory and volatile component profile of reformulated frankfurters. Meat Sci. 2020, 161, 108001. [Google Scholar] [CrossRef]
- Jimenez-Colmenero, F.; Sánchez-Muniz, F.J.; Olmedilla-Alonso, B. Design and development of meat-based functional foods with walnut: Technological, nutritional and health impact. Food Chem. 2010, 123, 959–967. [Google Scholar] [CrossRef]
- Mercadante, A.Z.; Capitani, C.D.; Decker, E.A.; Castro, I.A. Effect of natural pigments on the oxidative stability of sausages stored under refrigeration. Meat Sci. 2010, 84, 718–726. [Google Scholar] [CrossRef]
- Stephan, A.; Ahlborn, J.; Zajul, M.; Zorn, H. Edible mushroom mycelia of Pleurotus sapidus as novel protein sources in a vegan boiled ssusage analog system: Functionality and sensory tests in comparison to commercial proteins and meat sausages. Eur. Food Res. Technol. 2018, 244, 913–924. [Google Scholar] [CrossRef]
- Cofrades, S.; Serrano, A.; Ayo, J.; Solas, M.T.; Carballo, J.; Jiménez Colmenero, F. Restructured beef with different proportions of walnut as affected by meat particle size. Eur. Food Res. Technol. 2004, 218, 230–236. [Google Scholar] [CrossRef]
- Miyaki, T.; Retiveau-Krogmann, A.; Byrnes, E.; Takehana, S. Umami increases consumer acceptability, and perception of sensory and emotional benefits without compromising health benefit perception. J. Food Sci. 2016, 81, S483–S493. [Google Scholar] [CrossRef]





| Control 1 | MF-Ab | MF-Po | LF-Ab | LF-Po | MF-PoAb | |
|---|---|---|---|---|---|---|
| Lean meat | 2500 | 2500 | 2500 | 2500 | 2500 | 2500 |
| Flour Agaricus bisporus | 0 | 125 | 0 | 250 | 0 | 125 |
| Flour Pleurotus ostreatus | 0 | 0 | 125 | 0 | 250 | 125 |
| Pork backfat | 1250 | 875 | 875 | 625 | 625 | 875 |
| Sodium caseinate | 100 | 50 | 50 | 50 | 50 | 50 |
| Sodium chloride | 75 | 37.5 | 37.5 | 37.5 | 37.5 | 37.5 |
| Water | 1000 | 1346 | 1346 | 1471 | 1471 | 1471 |
| Potato starch | 50 | 50 | 50 | 50 | 50 | 50 |
| Di-tri phosphates | 25 | 12.5 | 12.5 | 12.5 | 12.5 | 12.5 |
| Sodium nitrite | 1.5 | 1.5 | 1.5 | 1.5 | 1.5 | 1.5 |
| Sodium ascorbate | 2.5 | 2.5 | 2.5 | 2.5 | 2.5 | 2.5 |
| Control | MF-Ab | MF-Po | LF-Ab | LF-Po | MF-PoAb | |
|---|---|---|---|---|---|---|
| Moisture | 61.05 ± 0.17 a | 64.34 ± 0.13 b | 65.91 ± 0.21 d | 66.34 ± 0.50 de | 66.48 ± 0.30 e | 65.37 ± 0.55 c |
| Fat | 19.16 ± 0.42 f | 16.28 ± 0.33 e | 15.18 ± 0.29 d | 12.99 ± 0.30 b | 11.79 ± 0.06 a | 14.04 ± 0.47c |
| Protein | 14.39 ± 0.14 b | 14.70 ± 0.27 b | 13.62 ± 0.22 a | 15.41 ± 0.54 c | 14.59 ± 0.33 b | 14.29 ± 0.24 b |
| Ash | 2.08 ± 0.05 d | 1.30 ± 0.04 a | 1.36 ± 0.06 ab | 1.36 ± 0.08 ab | 1.81 ± 0.03 c | 1.41 ± 0.05 b |
| Carbohydrates | 3.32 ± 0.25 a | 3.37 ± 0.39 a | 3.93 ± 0.31 b | 3.90 ± 0.19 b | 5.33 ± 0.04 d | 4.88 ± 0.21 c |
| Dietary fiber | 0.05 ± 0.09 a | 0.57 ± 0.06 b | 1.09 ± 0.11 c | 1.14 ± 0.09 c | 2.18 ± 0.25 e | 1.58 ± 0.17 d |
| Na (mg/100g) | 686.30 ± 37.10 c | 338.69 ± 40.53 a | 336.46 ± 17.97 a | 345.22 ± 30.47 a | 405.19 ± 12.53 b | 347.48 ± 4.07 a |
| Control | MF-Ab | MF-Po | LF-Ab | LF-Po | MF-PoAb | |
|---|---|---|---|---|---|---|
| OH-Proline | 0.21 ± 0.01 | 0.18 ± 0.01 | 0.15 ± 0.01 | 0.18 ± 0.01 | 0.18 ± 0.06 | 0.19 ± 0.02 |
| Aspactic acid | 1.44 ± 0.20 | 1.52 ± 0.03 | 1.49 ± 0.01 | 1.66 ± 0.20 | 1.44 ± 0.29 | 1.62 ± 0.19 |
| Serine | 0.65 ± 0.07 | 0.64 ± 0.03 | 0.64 ± 0.01 | 0.72 ± 0.06 | 0.65 ± 0.11 | 0.73 ± 0.03 |
| Glutamic acid | 2.67 ± 0.37 | 2.65 ± 0.01 | 2.59 ± 0.01 | 2.81 ± 0.29 | 2.58 ± 0.55 | 2.84 ± 0.26 |
| Glycine | 0.95 ± 0.06 | 0.85 ± 0.01 | 0.92 ± 0.01 | 0.95 ± 0.05 | 1.00 ± 0.21 | 1.01 ± 0.01 |
| Alanine | 0.88 ± 0.10 | 0.88 ± 0.01 | 0.91 ± 0.03 | 0.93 ± 0.10 | 0.90 ± 0.23 | 0.95 ± 0.08 |
| Cysteine | 0.10 ± 0.01 | 0.09 ± 0.01 | 0.09 ± 0.02 | 0.11 ± 0.01 | 0.11 ± 0.02 | 0.12 ± 0.01 |
| * Valine | 0.91 ± 0.14 | 0.89 ± 0.04 | 0.90 ± 0.06 | 0.96 ± 0.12 | 0.92 ± 0.24 | 0.98 ± 0.04 |
| Methionine | 0.40 ± 0.05 | 0.40 ± 0.01 | 0.38 ± 0.01 | 0.41 ± 0.10 | 0.42 ± 0.09 | 0.48 ± 0.06 |
| * Isoleucine | 0.81 ± 0.15 | 0.80 ± 0.05 | 0.79 ± 0.04 | 0.85 ± 0.12 | 0.79 ± 0.19 | 0.87 ± 0.04 |
| * Leucine | 1.35 ± 0.24 | 1.33 ± 0.09 | 1.31 ± 0.08 | 1.41 ± 0.19 | 1.31 ± 0.32 | 1.43 ± 0.06 |
| Tyrosine | 0.40 ± 0.05 | 0.40 ± 0.02 | 0.38 ± 0.04 | 0.46 ± 0.04 | 0.42 ± 0.07 | 0.44 ± 0.03 |
| * Phenylalanine | 0.69 ± 0.10 | 0.67 ± 0.06 | 0.67 ± 0.04 | 0.73 ± 0.08 | 0.69 ± 0.13 | 0.73 ± 0.01 |
| * Hystidine | 0.54 ± 0.03 | 0.51 ± 0.01 | 0.52 ± 0.01 | 0.57 ± 0.06 | 0.56 ± 0.11 | 0.58 ± 0.01 |
| * Lysine | 1.45 ± 0.20 | 1.50 ± 0.04 | 1.46 ± 0.01 | 1.54 ± 0.12 | 1.38 ± 0.28 | 1.53 ± 0.22 |
| * Arginine | 0.93 ± 0.09 | 0.92 ± 0.03 | 0.90 ± 0.01 | 0.97 ± 0.05 | 0.90 ± 0.14 | 0.97 ± 0.12 |
| Proline | 1.05 ± 0.17 | 0.97 ± 0.04 | 0.96 ± 0.07 | 1.02 ± 0.13 | 0.94 ± 0.34 | 1.05 ± 0.02 |
| Taurine | <0.01 | <0.01 | <0.01 | <0.01 | <0.01 | <0.01 |
| * Threonine | 0.73 ± 0.08 | 0.73 ± 0.03 | 0.71 ± 0.02 | 0.78 ± 0.04 | 0.72 ± 0.12 | 0.80 ± 0.07 |
| Total | 16.16 ± 2.09 | 15.94 ± 0.39 | 15.79 ± 0.29 | 17.07 ± 1.77 | 15.93 ± 3.51 | 17.35 ± 1.06 |
| Essential (E) | 7.81 ± 1.09 | 7.74 ± 0.27 | 7.64 ± 0.20 | 8.22 ± 0.88 | 7.70 ± 1.63 | 8.38 ± 0.51 |
| Non-essential (Ne) | 8.35 ± 1.00 | 8.19 ± 0.12 | 8.14 ± 0.09 | 8.85 ± 0.89 | 8.23 ± 1.88 | 8.97 ± 0.55 |
| E/Ne | 0.93 ± 0.02 | 0.94 ± 0.02 | 0.94 ± 0.01 | 0.93 ± 0.01 | 0.94 ± 0.02 | 0.93 ± 0.01 |
| Texture Parameter | Days of Storage | |||
|---|---|---|---|---|
| 0 | 30 | 60 | 90 | |
| Hardness (N) | ||||
| Control | 20.56 ± 1.01 d,X | 25.12 ± 2.79 c,Y | 24.18 ± 0.06 d,XY | 27.84 ± 3.90 c,Y |
| MF-Ab | 15.33 ± 2.63 c,X | 15.15 ± 0.94 ab,X | 16.33 ± 1.83 c,X | 17.46 ± 1.46 b,X |
| MF-Po | 13.53 ± 2.26 bc,X | 16.83 ± 1.69 b,Y | 16.40 ± 2.15 c,XY | 14.75 ± 1.98 ab,XY |
| LF-Ab | 12.07 ± 1.25 ab,X | 16.42 ± 1.17 b,Y | 13.67 ± 1.83 ab,X | 16.09 ± 1.05 b,Y |
| LF-Po | 10.84 ± 0.44 a,X | 13.41 ± 1.62 a,Y | 12.52 ± 1.40 a,XY | 13.09 ± 0.69 ab,Y |
| MF-PoAb | 11.50 ± 0.95 ab,X | 13.02 ± 0.66 a,X | 16.08 ± 1.68 bc,Y | 14.93 ± 1.25 ab,Y |
| Springiness (mm) | ||||
| Control | 0.78 ± 0.03 c,X | 0.82 ± 0.01 c,Y | 0.81 ± 0.01 e,Y | 0.81 ± 0.01 c,Y |
| MF-Ab | 0.70 ± 0.04 b,X | 0.73 ± 0.04 b,XY | 0.75 ± 0.02 d,Y | 0.74 ± 0.03 bc,XY |
| MF-Po | 0.59 ± 0.04 a,X | 0.65 ± 0.05 a,X | 0.64 ± 0.05 ab,X | 0.63 ± 0.03 a,X |
| LF-A | 0.66 ± 0.02 b,X | 0.74 ± 0.02 b,Y | 0.71 ± 0.03 cd,Y | 0.75 ± 0.02 c,Y |
| LF-Po | 0.55 ± 0.02 a,X | 0.68 ± 0.08 ab,Y | 0.62 ± 0.04 a,XY | 0.69 ± 0.05 b,Y |
| MF-PoAb | 0.59 ± 0.03 a,X | 0.65 ± 0.05 a,XY | 0.69 ± 0.03 bc,Y | 0.70 ± 0.05 bc,Y |
| Cohesiveness (mm/mm) | ||||
| Control | 0.38 ± 0.01 c,X | 0.44 ± 0.06 c,Y | 0.42 ± 0.02 d,XY | 0.39 ± 0.01 e,XY |
| MF-Ab | 0.34 ± 0.01 bc,X | 0.34 ± 0.01 ab,X | 0.36 ± 0.01 c,X | 0.36 ± 0.02 cd,X |
| MF-Po | 0.29 ± 0.03 a,X | 0.31 ± 0.03 a,X | 0.31 ± 0.01 a,X | 0.29 ± 0.02 a,X |
| LF-Ab | 0.34 ± 0.01 bc,X | 0.37 ± 0.01 b,YZ | 0.34 ± 0.02 bc,XY | 0.38 ± 0.02 de,Z |
| LF-Po | 0.31 ± 0.02 ab.X | 0.34 ± 0.02 ab,Y | 0.33 ± 0.01 ab,XY | 0.33 ± 0.02 b,XY |
| MF-PoAb | 0.31 ± 0.03 ab,X | 0.32 ± 0.01 a,X | 0.33 ± 0.02 ab,X | 0.34 ± 0.01 bc,X |
| Gumminess (N) | ||||
| Control | 7.73 ± 0.32 c,X | 10.79 ± 1.44 c,Y | 10.06 ± 0.30 d,Y | 10.81 ± 1.53 d,Y |
| MF-Ab | 5.24 ± 1.27 b,X | 5.14 ± 0.45 ab,X | 5.86 ± 0.78 c,X | 6.29 ± 0.63 c,X |
| MF-Po | 3.99 ± 1.03 a,X | 5.22 ± 0.74 ab,Y | 5.11 ± 0.52 abc,XY | 4.34 ± 0.80 a,XY |
| LF-Ab | 4.10 ± 0.53 ab,X | 6.00 ± 0.27 b,Y | 4.73 ± 0.84 ab,X | 6.04 ± 0.46 bc,Y |
| LF-Po | 3.39 ± 0.26 a,X | 4.59 ± 0.72 a,Y | 4.13 ± 0.47 a,Y | 4.30 ± 0.20 a,Y |
| MF-PoAb | 3.66 ± 0.71 a,X | 4.18 ± 0.45 a,XY | 5.32 ± 0.88 bc,Z | 5.05 ± 0.34 ab,YZ |
| Chewiness (N·mm) | ||||
| Control | 6.01 ± 0.46 c,X | 8.80 ± 1.09 d,Y | 8.21 ± 0.13 d,Y | 8.82 ± 1.17 c,Y |
| MF-Ab | 3.67 ± 0.98 b,X | 3.77 ± 0.29 bc,X | 4.41 ± 0.75 c,X | 4.65 ± 0.61 b,X |
| MF-Po | 2.37 ± 0.75 a,X | 3.41 ± 0.75 ab,Y | 3.31 ± 0.59 ab,XY | 2.71 ± 0.42 a,XY |
| LF-Ab | 2.70 ± 0.34 a,X | 4.46 ± 0.31 c,Y | 3.40 ± 0.73 ab,X | 4.52 ± 0.48 b,Y |
| LF-Po | 1.87 ± 0.20 a,X | 3.15 ± 0.82 ab,Y | 2.58 ± 0.41 a,XY | 2.98 ± 0.33 a,Y |
| MF-PoAb | 2.17 ± 0.51 a,X | 2.74 ± 0.45 a,XY | 3.70 ± 0.80 bc,Z | 3.56 ± 0.39 a,YZ |
© 2020 by the authors. Licensee MDPI, Basel, Switzerland. This article is an open access article distributed under the terms and conditions of the Creative Commons Attribution (CC BY) license (http://creativecommons.org/licenses/by/4.0/).
Share and Cite
Cerón-Guevara, M.I.; Rangel-Vargas, E.; Lorenzo, J.M.; Bermúdez, R.; Pateiro, M.; Rodríguez, J.A.; Sánchez-Ortega, I.; Santos, E.M. Reduction of Salt and Fat in Frankfurter Sausages by Addition of Agaricus bisporus and Pleurotus ostreatus Flour. Foods 2020, 9, 760. https://doi.org/10.3390/foods9060760
Cerón-Guevara MI, Rangel-Vargas E, Lorenzo JM, Bermúdez R, Pateiro M, Rodríguez JA, Sánchez-Ortega I, Santos EM. Reduction of Salt and Fat in Frankfurter Sausages by Addition of Agaricus bisporus and Pleurotus ostreatus Flour. Foods. 2020; 9(6):760. https://doi.org/10.3390/foods9060760
Chicago/Turabian StyleCerón-Guevara, Magdalena I., Esmeralda Rangel-Vargas, José M. Lorenzo, Roberto Bermúdez, Mirian Pateiro, Jose A. Rodríguez, Irais Sánchez-Ortega, and Eva M. Santos. 2020. "Reduction of Salt and Fat in Frankfurter Sausages by Addition of Agaricus bisporus and Pleurotus ostreatus Flour" Foods 9, no. 6: 760. https://doi.org/10.3390/foods9060760
APA StyleCerón-Guevara, M. I., Rangel-Vargas, E., Lorenzo, J. M., Bermúdez, R., Pateiro, M., Rodríguez, J. A., Sánchez-Ortega, I., & Santos, E. M. (2020). Reduction of Salt and Fat in Frankfurter Sausages by Addition of Agaricus bisporus and Pleurotus ostreatus Flour. Foods, 9(6), 760. https://doi.org/10.3390/foods9060760

