Effects of Black Quinoa Wet-Milling Coproducts on the Quality Properties of Bologna-Type Sausages During Cold Storage
Abstract
1. Introduction
2. Materials and Methods
2.1. Plant Materials
2.2. Preparation of Bologna-Type Sausages
2.3. Physicochemical Analysis
2.4. Residual Nitrite Level
2.5. Lipid Oxidation
2.6. Microbiological Analysis
2.7. Statistical Analysis
3. Results
3.1. Physicochemical Analysis
3.2. Residual Nitrite Level
3.3. Lipid Oxidation
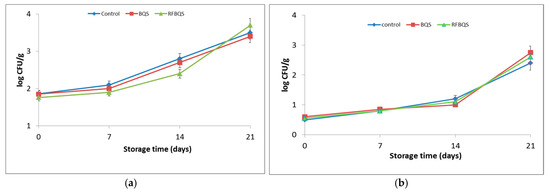
3.4. Microbiological Analysis
4. Conclusions
Author Contributions
Funding
Acknowledgments
Conflicts of Interest
References
- De Almeida, P.L.; de Lima, S.N.; Costa, L.L.; de Oliveira, C.C.; Damasceno, K.A.; dos Santos, B.A.; Campagnol, P.C.B. Effect of jabuticaba peel extract on lipid oxidation, microbial stability and sensory properties of Bologna-type sausages during refrigerated storage. Meat Sci. 2015, 110, 9–14. [Google Scholar] [CrossRef] [PubMed]
- Fernández-López, J.; Lucas-González, R.; Viuda-Martos, M.; Sayas, E.; Navarro, C.; Haros, C.M.; Pérez-Alvarez, J.A. Chia (Salvia hispánica L.) products as ingredients for reformulating frankfurters: Effects on quality properties and shelf-life. Meat Sci. 2019, 156, 139–145. [Google Scholar] [CrossRef] [PubMed]
- Seo, J.K.; Parvin, R.; Yim, D.G.; Zahid, M.A.; Yang, H.S. Effects on quality properties of cooked pork sausages with Caesalpinia sappan L. extract during cold storage. J. Food Sci. Technol. 2019, 56, 4946–4955. [Google Scholar] [CrossRef] [PubMed]
- Essien, E. Sausage Manufacture. Principles and Practice; CRC Press: Boca Ratón, FL, USA, 2003. [Google Scholar]
- Gordillo-Bastidas, E.; Díaz-Rizzolo, D.A.; Roura, E.; Massanés, T.; Gomis, R. Quinoa (Chenopodium quinoa Willd), from nutritional value to potential health benefits: An integrative review. J. Nutr. Food Sci. 2016, 6, 1–10. [Google Scholar]
- Pereira, E.; Encina-Zelada, C.; Barros, L.; González-Barron, U.; Cadavez, V.; Ferrerira, I.C.F.R. Chemical and nutritional characterization of Chenopodium quinoa Willd (quinoa) grains: A good alternative to nutritious food. Food Chem. 2019, 280, 110–114. [Google Scholar] [CrossRef]
- Ramos-Díaz, J.M.; Kirjoranta, S.; Tenitz, S.; Penttillä, P.A.; Serimaa, R.; Lampi, A.M.; Jouppila, K. Use of amaranth, quinoa and kañiwa in extruded corn-based snacks. J. Cereal. Sci. 2013, 58, 59–67. [Google Scholar] [CrossRef]
- Wang, S.; Zhu, F. Formulation and quality attributes of quinoa food products. Food Bioprocess Technol. 2016, 9, 49–68. [Google Scholar] [CrossRef]
- Ballester-Sánchez, J.; Gil, J.V.; Fernández-Espinar, M.T.; Haros, C.M. Quinoa wet-milling: Effect of steeping conditions on starch recovery and quality. Food Hydrocoll. 2019, 89, 837–843. [Google Scholar] [CrossRef]
- Mufari, J.R.; Miranda-Villa, P.M.; Calandri, E.I. Quinoa germ and starch separation by wet milling, performance and characterization of the fractions. LWT Food Sci. Technol. 2018, 96, 527–534. [Google Scholar] [CrossRef]
- Fernández-Diez, A.; Caro, I.; Castro, A.; Salvá, B.K.; Ramos, D.D.; Mateo, J. Partial fat replacement by boiled quinoa on the quality characteristics of a dry-cured sausage. J. Food Sci. 2016, 81, C1891–C1898. [Google Scholar] [CrossRef]
- Baioumy, A.A.; Bobreneva, I.V.; Tvorogova, A.A.; Shobanova, T.V. Possibility of using quinoa seeds (Chenopodium quinoa) in meat products and its impact on nutritional and organoleptic characteristics. Biosci. Res. 2018, 15, 3307–3315. [Google Scholar]
- Rizzi, G.Z.; Pereira, T.; de Souza, E.L.; Soares, F.A.A.S.M. Preparation and evaluation of tuscan sausage of chicken meat with the addition of quinoa. Anuário Pesqui. E Extensão Unoesc Videira 2017, 2, e13271. [Google Scholar]
- Shokry, A.M. The usage of quinoa flour as a potential ingredient in production of meat burger with functional properties. Middle East J. Appl. Sci. 2016, 6, 1128–1137. [Google Scholar]
- Bagdatli, A. The influence of quinoa (Chenopodium quinoa Willd.) flour on the physicochemical, textural and sensorial properties of beef meatball. Ital. J. Food Sci. 2018, 30, 280–288. [Google Scholar]
- Hleap-Zapata, J.I.; Rodríguez de la Pava, G.C. Physicochemical analysis of frankfurter type sausages made with red tilapia fillet waste (Oreochromis sp.) and quinoa flour (Chenopodium quinoa W.). Braz. J. Food Technol. 2018, 21, e2016103. [Google Scholar]
- Verma, A.K.; Rajkumar, V.; Kumar, S. Effect of amaranth and quinoa seed flour on rheological and physicochemical properties of goat meat nuggets. J. Food Sci. Technol. 2019, 56, 5027–5035. [Google Scholar] [CrossRef]
- Fernández-López, J.; Lucas-González, R.; Viuda-Martos, M.; Sayas-Barberá, E.; Ballester-Sánchez, J.; Haros, C.M.; Martínez-Mayoral, A.; Pérez-Álvarez, J.A. Chemical and technological properties of bologna-type sausages with added black quinoa wet-milling coproducts as binder replacer. Food Chem. 2020, 310, 125936. [Google Scholar] [CrossRef]
- Vargas-Zambrano, P.; Riera-González, G.; Cruz-Viera, L. Quinoa as gelling agent in a mortadella formulation. Intern. Food Res. J. 2019, 26, 1069–1077. [Google Scholar]
- Özer, C.O.; Seçen, S.M. Effects of quinoa flour on lipid and protein oxidation in raw and cooked beef burger during long term frozen storage. Food Sci. Technol. 2018, 38, 221–227. [Google Scholar] [CrossRef]
- AMSA. Meat Color Measurement Guidelines; American Meat Science Association: Savoy, IL, USA, 2012. [Google Scholar]
- ISO/DIS 2918.26, International Standard 2918. Meat and Meat Products: Determination of Nitrite Content. Ref. No. ISO 2918:1975; International Organization for Standardization: Genevè, Switzerland, 1975.
- Rosmini, M.R.; Perlo, F.; Pérez-Alvarez, J.A.; Pagán-Moreno, M.J.; Gago-Gago, A.; López-Santoveña, F.; Aranda-Catalá, V. TBA test by an extractive method applied to paté. Meat Sci. 1996, 42, 103–110. [Google Scholar] [CrossRef]
- Ranucci, D.; Roila, R.; Andoni, E.; Braconi, P.; Branciari, R. Punica granatum and Citrus spp. extract mix affects spoilage microorganisms growth rate in vacuum-packaged cooked sausages made from pork meat, emmer wheat (Triticum dicoccum Schübler), almond (Prunus dulcis Mill.) and hazelnut (Corylus avellana L.). Foods 2019, 8, 664. [Google Scholar] [CrossRef] [PubMed]
- Sakata, R. Studies on physicochemical characteristics of red pigments in meat products. Anim. Sci. J. 2000, 71, 1–16. [Google Scholar]
- Fernández-Ginés, J.M.; Fernández-López, J.; Sayas-Barberá, M.E.; Sendra, E.; Pérez-Alvarez, J.A. Effect of storage conditions on quality characteristics of Bologna sausages made with citrus fiber. J. Food Sci. 2003, 68, 710–714. [Google Scholar] [CrossRef]
- Jongberg, S.; Torngren, M.A.; Gunvig, A.; Skibsted, L.H.; Lund, M.N. Effect of green tea or rosemary extract on protein oxidation in Bologna type sausages prepared from oxidatively stressed pork. Meat Sci. 2013, 93, 538–546. [Google Scholar] [CrossRef] [PubMed]
- Kulkarni, S.; De Santos, F.A.; Kattamuri, S.; Rossi, S.J.; Brewer, M.S. Effect of grape seed extract on oxidative, color and sensory stability of a pre-cooked, frozen, re-heated beef sausage model system. Meat Sci. 2011, 88, 139–144. [Google Scholar] [CrossRef] [PubMed]
- Martínez, J.A.; Melgosa, M.; Pérez, M.; Hita, E.; Negueruela, A.I. Visual and instrumental color evaluation in red wines. Food Sci. Technol. Intern. 2001, 7, 439–444. [Google Scholar] [CrossRef]
- Liu, Y.; Chen, Y.R. Analysis of visible reflectance spectra of stored, cooked and diseased chicken meats. Meat Sci. 2001, 58, 395–401. [Google Scholar] [CrossRef]
- Gandía-Herrero, F.; García-Carmona, F. Biosynthesis of betalains: Yellow and violet plant pigments. Trends Plant. Sci. 2013, 18, 334–343. [Google Scholar] [CrossRef]
- EC, Commission Regulation (EU) No 601/2014 of 4 June 2014 amending Annex II to Regulation (EC) No 1333/2008 of the European Parliament and of the Council as regards the food categories of meat and the use of certain food additives in meat preparations. Off. J. Eur. Union 2014, L166. Available online: https://eur-lex.europa.eu/legal-content/EN/TXT/?uri=CELEX%3A32014R0601 (accessed on 10 February 2020).
- EFSA, EFSA panel on food additives and nutrient sources added to food (ANS); Statement on nitrites in meat products. EFSA J. 2010, 8, 1538. Available online: www.efsa.europa.eu (accessed on 10 February 2020).
- Andrée, S.; Jira, W.; Schwind, K.H.; Wagner, H.; Schwägele, F. Chemical safety of meat and meat products. Meat Sci. 2010, 86, 38–48. [Google Scholar] [CrossRef] [PubMed]
- Chetty, A.A.; Prasad, S.; Castro-Pinho, O.; Medeiros de Morais, C. Estimated dietary intake of nitrate and nitrite from meat consumed in Fiji. Food Chem. 2019, 278, 630–635. [Google Scholar] [CrossRef] [PubMed]
- Santarelli, R.L.; Pierre, F.; Corpet, D.E. Processed meat and colorectal cancer: A review of epidemiologic and experimental evidence. Nutr. Cancer 2008, 60, 131–144. [Google Scholar] [CrossRef] [PubMed]
- Viuda-Martos, M.; Fernández-López, J.; Sayas-Barbera, E.; Sendra, E.; Navarro, C.; Pérez-Álvarez, J.A. Citrus co-products as technological strategy to reduce residual nitrite content in meat products. J. Food Sci. 2009, 74, R93–R100. [Google Scholar] [CrossRef] [PubMed]
- Hmelak-Gorenjak, A.; Cencic, A. Nitrate in vegetables and their impact on human health. A review. Acta Aliment. 2013, 42, 158–172. [Google Scholar] [CrossRef]
- Gutiérrez-Larrazabal, A.; Soto-Hernández, M.; López-Castañeda, C.; Mendoza-Martínez, G.D.; García-Velázquez, A.; Mendoza-Castillo, M.A. Nitrates, oxalates and alkaloids in two phenological stages of quinoa (Chenopodium quinoa Willd) in irrigated and rainfed conditions. Rev. Fitotec. Mex. 2004, 27, 313–322. [Google Scholar]
- Escamez, A.; Viuda-Martos, V.; Fernández-López, J.; Sayas-Barberá , E.; Navarro, C.; Martínez-Mayoral, A.; Pérez-Alvarez, J.A. ¿Quinoa (Chenopodium quinoa), un nuevo ingrediente para los productos cárnicos crudo-curados? In Proceedings of the IX Congreso CyTA-CESIA, Madrid, Spain, 16–18 May 2017; Servicio de Publicaciones: Madrid, Spain; p. 150. [Google Scholar]
- Pellegrini, M.; Lucas-González, R.; Sayas, E.; Fernández-López, J.; Pérez-Alvarez, J.A.; Viuda-Martos, M. Quinoa (Chenopodium quinoa Willd) paste as partial fat replacer in the development of reduced fat cooked meat product type pâté: Effect on quality and safety. CyTA J. Food 2018, 16, 1076–1088. [Google Scholar] [CrossRef]
- Hill, L.H.; Webb, N.B.; Moncol, L.D.; Adams, A.T. Changes in residual nitrite in sausage and luncheon meat products during storage. J. Milk Food Technol. 1973, 36, 515–519. [Google Scholar] [CrossRef]
- Viuda-Martos, M.; Ruiz-Navajas, Y.; Fernández-López, J.; Pérez-Álvarez, J.A. Effect of orange dietary fibre, oregano essential oil and packaging conditions on shelf-life of bologna sausages. Food Control. 2010, 21, 436–443. [Google Scholar] [CrossRef]
- Viuda-Martos, M.; Ruiz-Navajas, Y.; Fernández-López, J.; Pérez-Álvarez, J.A. Effect of added citrus fibre and spice essential oils on quality characteristics and shelf-life of mortadella. Meat Sci. 2010, 85, 568–576. [Google Scholar] [CrossRef]
- EFSA, Opinion of the scientific panel on biological hazards on the request from the Commission related to the effects of nitrites/nitrates on the microbiological safety of meat products. EFSA J. 2003, 14, 1–31.
- Tang, Y.; Li, X.; Zhang, B.; Chen, P.X.; Liu, R.; Tsao, R. Characterisation of phenolics: Betanins and antioxidant activities in seeds of three Chenopodium quinoa Willd genotypes. Food Chem 2015, 166, 380–388. [Google Scholar] [CrossRef] [PubMed]
- Ockerman, H.W. Quality Control of Post Mortem Muscle and Tissue; Department of Animal Science, Ohio State University: Columbus, OH, USA, 1976. [Google Scholar]
- ICMSF. Microorganisms in Foods 2. Sampling for Microbiological Analysis: Principles and Specific Applications, 2nd ed.; University of Toronto Press: Toronto, ON, Canada, 1986. [Google Scholar]
- Ranucci, D.; Miraglia, D.; Branciari, R.; Morganti, G.; Roila, R.; Zhou, K.; Braconi, P. Frankfurters made with pork meat, emmer wheat (Triticum dicoccum Schübler) and almonds nut (Prunus dulcis Mill.): Evaluation during storage of a novel food from an ancient recipe. Meat Sci. 2018, 145, 440–446. [Google Scholar] [CrossRef] [PubMed]


| Ingredients (%) | Control | BQS | RFBQS |
|---|---|---|---|
| Lean pork | 41.4 | 41.4 | 41.4 |
| Pork backfat | 41.4 | 41.4 | 41.4 |
| Salt | 2.1 | 2.1 | 2.1 |
| Crushed ice | 12.1 | 12.1 | 12.1 |
| Potato starch | 2.5 | - | - |
| Black quinoa seeds | - | 2.5 | |
| Fibre-rich fraction from quinoa wet-milling process | - | - | 2.5 |
| Sodium tripolyphosphate | 0.03 | 0.03 | 0.03 |
| Sodium nitrite | 0.015 | 0.015 | 0.015 |
| Sodium ascorbate | 0.042 | 0.042 | 0.042 |
| Black pepper | 0.16 | 0.16 | 0.16 |
| Nutmeg | 0.04 | 0.04 | 0.04 |
| Garlic | 0.083 | 0.083 | 0.083 |
| TOTAL | 100 | 100 | 100 |
| Day 0 | Day 7 | Day 14 | Day 21 | ||
|---|---|---|---|---|---|
| pH | |||||
| Control | 6.40 ± 0.02 aw | 6.42 ± 0.02 aw | 6.43 ± 0.02 aw | 6.43 ± 0.02 aw | |
| BQS | 6.44 ± 0.01 aw | 6.45 ± 0.01 aw | 6.46 ± 0.02 aw | 6.44 ± 0.01 aw | |
| RFBQS | 6.42 ± 0.02 aw | 6.43 ± 0.01 aw | 6.45 ± 0.02 aw | 6.44 ± 0.01 aw | |
| L* | |||||
| Control | 64.10 ± 1.72 aw | 64.00 ± 1.02 aw | 63.99 ± 1.89 aw | 63.66 ± 2.50 aw | |
| BQS | 64.25 ± 1.69 aw | 64.12 ± 2.02 aw | 64.00 ± 1.56 aw | 63.88 ± 2.22 aw | |
| RFBQS | 58.86 ± 2.00 by | 60.56 ± 2.00 bx | 61.05 ± 1.11 bx | 63.79 ± 2.01 aw | |
| a* | |||||
| Control | 6.02 ± 0.43 aw | 6.25 ± 0.56 aw | 5.96 ± 1.14 aw | 5.76 ± 0.71 aw | |
| BQS | 4.96 ± 0.69 bw | 5.22 ± 1.47 aw | 5.26 ± 2.00 aw | 5.55 ± 0.99 aw | |
| RFBQS | 3.08 ± 1.04 cx | 3.56 ± 1.23 bx | 5.39 ± 2.10 aw | 5.58 ± 1.00 aw | |
| b* | |||||
| Control | 10.12 ± 0.54 aw | 9.89 ± 2.00 aw | 9.78 ± 1.56 aw | 10.02 ± 0.75 aw | |
| BQS | 10.22 ± 1.16 aw | 9.72 ± 1.10 aw | 10.23 ± 1.87 aw | 10.02 ± 0.73 aw | |
| RFBQS | 7.14 ± 0.80 bx | 7.56 ± 1.54 bx | 9.59 ± 1.03 aw | 9.96 ± 0.78 aw | |
| C* | |||||
| Control | 11.78 ± 0.65 aw | 11.60 ± 0.35 aw | 11.45 ± 0.39 aw | 11.58 ± 1.00 aw | |
| BQS | 11.38 ± 1.22 aw | 11.03 ± 1.00 aw | 11.50 ± 0.88 aw | 11.47 ± 1.10 aw | |
| RFBQS | 7.81 ± 1.09 bx | 8.35 ± 0.56 bx | 11.00 ± 0.99 aw | 11.43 ± 1.05 aw | |
| H* | |||||
| Control | 59.29 ± 1.20 cw | 57.67 ± 1.13 cx | 58.63 ± 2.08 bwx | 60.30 ± 2.23 aw | |
| BQS | 64.10 ± 2.99 bw | 61.73 ± 2.22 bx | 62.73 ± 1.56 ax | 61.21 ± 2.33 ax | |
| RFBQS | 67.11 ± 5.10 aw | 64.74 ± 2.08 ax | 60.67 ± 1.39 ay | 60.96 ± 3.02 ay | |
| ΔE* | |||||
| Control | |||||
| BQS | 1.07 bw | 1.05 bw | 0.83 bw | 0.31 aw | |
| RFBQS | 6.71 aw | 4.94 ax | 3.00 ay | 0.24 az |
| Day 0 | Day 7 | Day 14 | Day 21 | ||
| Residual Nitrite Level (mg NaNO2/kg) | |||||
| Control | 32.86 ± 1.86 cw | 30.76 ± 1.01 cw | 24.91 ± 0.85 cx | 23.01 ± 0.65 cx | |
| BQS | 36.20 ± 0.23 bw | 34.36 ± 1.09 bw | 30.09 ± 1.22 bx | 26.95 ± 0.99 by | |
| RFBQS | 43.64 ± 0.21 aw | 42.08 ± 0.99 aw | 36.71 ± 1.30 ax | 32.74 ± 1.20 ay | |
| TBARS (mg MA/kg) | |||||
| Control | 0.44 ± 0.03 az | 0.52 ± 0.02 ay | 0.59 ± 0.03 ax | 0.68 ± 0.01 aw | |
| BQS | 0.22 ± 0.03 cx | 0.25 ± 0.01 cx | 0.29 ± 0.03 cw | 0.30 ± 0.02 cw | |
| RFBQS | 0.30 ± 0.02 bx | 0.33 ± 0.02 bx | 0.37 ± 0.02 bw | 0.38 ± 0.02 bw |
© 2020 by the authors. Licensee MDPI, Basel, Switzerland. This article is an open access article distributed under the terms and conditions of the Creative Commons Attribution (CC BY) license (http://creativecommons.org/licenses/by/4.0/).
Share and Cite
Fernández-López, J.; Lucas-González, R.; Roldán-Verdú, A.; Viuda-Martos, M.; Sayas-Barberá, E.; Ballester-Sánchez, J.; Haros, C.M.; Pérez-Álvarez, J.A. Effects of Black Quinoa Wet-Milling Coproducts on the Quality Properties of Bologna-Type Sausages During Cold Storage. Foods 2020, 9, 274. https://doi.org/10.3390/foods9030274
Fernández-López J, Lucas-González R, Roldán-Verdú A, Viuda-Martos M, Sayas-Barberá E, Ballester-Sánchez J, Haros CM, Pérez-Álvarez JA. Effects of Black Quinoa Wet-Milling Coproducts on the Quality Properties of Bologna-Type Sausages During Cold Storage. Foods. 2020; 9(3):274. https://doi.org/10.3390/foods9030274
Chicago/Turabian StyleFernández-López, Juana, Raquel Lucas-González, Alba Roldán-Verdú, Manuel Viuda-Martos, Estrella Sayas-Barberá, Jaime Ballester-Sánchez, Claudia Monika Haros, and José Angel Pérez-Álvarez. 2020. "Effects of Black Quinoa Wet-Milling Coproducts on the Quality Properties of Bologna-Type Sausages During Cold Storage" Foods 9, no. 3: 274. https://doi.org/10.3390/foods9030274
APA StyleFernández-López, J., Lucas-González, R., Roldán-Verdú, A., Viuda-Martos, M., Sayas-Barberá, E., Ballester-Sánchez, J., Haros, C. M., & Pérez-Álvarez, J. A. (2020). Effects of Black Quinoa Wet-Milling Coproducts on the Quality Properties of Bologna-Type Sausages During Cold Storage. Foods, 9(3), 274. https://doi.org/10.3390/foods9030274

