Sensory Analysis in Assessing the Possibility of Using Ethanol Extracts of Spices to Develop New Meat Products
Abstract
1. Introduction
2. Materials and Methods
3. Results
3.1. Consumer Test Results
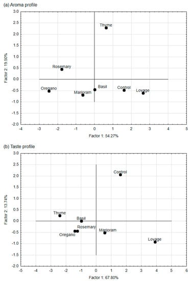
3.2. Sensory Profiling Results
4. Discussion
5. Conclusions
Author Contributions
Funding
Conflicts of Interest
References
- Falowo, A.B.; Fayemi, P.O.; Muchenje, V. Natural antioxidants against lipid-protein oxidative deterioration in meat and meat products: A review. Food Res. Int. 2014, 64, 171–181. [Google Scholar] [CrossRef] [PubMed]
- Wąsowicz, E.; Gramza, A.; Hęś, M.; Jelen, H.H.; Korczak, J.; Małecka, M.; Mildner-Szkudlarz, S.; Rudzinska, M.; Samotyja, U.; Zawirska-Wojtasiak, R. Oxidation of lipids in food. Pol. J. Food Nutr. Sci. 2004, 13, 87–100. [Google Scholar]
- Hęś, M. Protein-lipid interactions in different meat systems in the presence of natural antioxidants—A review. Pol. J. Food Nutr. Sci. 2017, 67, 5–17. [Google Scholar] [CrossRef]
- Kanner, J. Oxidative processes in meat and meat products: Quality implications. Meat Sci. 1994, 36, 169–189. [Google Scholar] [CrossRef]
- Tomovic, V.; Jokanovic, M.; Sojic, B.; Ivic, M. Plants as natural antioxidants for meat products. In Proceedings of the IOP Conference Series: Earth and Environmental Science; IOP Publishing: Bristol, UK, 2017; Volume 85. [Google Scholar]
- Gonzalez-Gallego, J.; Sanchez-Campos, S.; Tunon, M.J. Anti-inflammatory properties of dietary flavonoids. Nutr. Hosp. 2007, 22, 287–293. [Google Scholar]
- Andre, C.M.; Larondelle, Y.; Evers, D. Dietary antioxidants and oxidative stress from a human and plant perspective: A review. Curr. Nutr. Food Sci. 2010, 6, 2–12. [Google Scholar] [CrossRef]
- Yashin, A.; Yashin, Y.; Xia, X.; Nemzer, B. Antioxidant activity of spices and their impact on human health: A review. Antioxidants 2017, 6, 70. [Google Scholar] [CrossRef]
- Nakatani, N. Phenolic antioxidants from herbs and spices. BioFactors 2000, 13, 141–146. [Google Scholar] [CrossRef]
- Nour, V.; Trandafir, I.; Cosmulescu, S. Bioactive compounds, antioxidant activity and nutritional quality of different culinary aromatic herbs. Not. Bot. Horti Agrobot. 2017, 45, 179–184. [Google Scholar] [CrossRef]
- Stanciu, G.; Cristache, N.; Lupsor, S.; Dobrinas, S. Evaluation of antioxidant activity and total phenols content in selected spices. Rev. Chim. 2017, 68, 1429–1434. [Google Scholar]
- Hęś, M.; Gramza-Michałowska, A. Effect of plant extracts on lipid oxidation and changes in nutritive value of protein in frozen-stored meat products. J. Food Process. Preserv. 2017, 41, 1–9. [Google Scholar] [CrossRef]
- Waszkowiak, K.; Dolata, W. The application of collagen preparations as carriers of rosemary extract in the production of processed meat. Meat Sci. 2007, 75, 178–183. [Google Scholar] [CrossRef] [PubMed]
- Szymandera-Buszka, K.; Hęś, M.; Waszkowiak, K.; Jędrusek-Golińska, A. Thiamine losses during storage of pasteurised and sterilized model systems of minced chicken meat with addition of fresh and oxidized fat, and antioxidants. Acta Sci. Pol. Technol. Aliment. 2014, 13, 393–401. [Google Scholar] [CrossRef] [PubMed][Green Version]
- Jałosińska, M.; Wilczak, J. Influence of plant extracts on the microbiological shelf life of meat products. Polish J. Food Nutr. Sci. 2009, 59, 303–308. [Google Scholar]
- Nugboon, K.; Intarapichet, K. Antioxidant and antibacterial activities of Thai culinary herb and spice extracts and application in pork meatballs. Int. Food Res. J. 2015, 22, 1788–1800. [Google Scholar]
- Gramatiņa, I.; Sazonova, S.; Kruma, Z.; Skudra, L.; Prieciņa, L. Herbal extracts for ensuring pork meat quality during cold storage. Proc. Latv. Acad. Sci. 2017, 71, 453–460. [Google Scholar] [CrossRef]
- Naveena, B.M.; Vaithiyanathan, S.; Muthukumar, M.; Sen, A.R.; Kumar, Y.P.; Kiran, M.; Shaju, V.A.; Chandran, K.R. Relationship between the solubility, dosage and antioxidant capacity of carnosic acid in raw and cooked ground buffalo meat patties and chicken patties. Meat Sci. 2013, 95, 195–202. [Google Scholar] [CrossRef]
- Sebranek, J.G.; Sewalt, V.J.H.; Robbins, K.L.; Houser, T.A. Comparison of a natural rosemary extract and BHA/BHT for relative antioxidant effectiveness in pork sausage. Meat Sci. 2005, 69, 289–296. [Google Scholar] [CrossRef]
- Bilska, A.; Waszkowiak, K.; Błaszyk, M.; Rudzińska, M.; Kowalski, R. Effect of liver pâté enrichment with flaxseed oil and flaxseed extract on lipid composition and stability. J. Sci. Food Agric. 2018, 98, 4112–4120. [Google Scholar] [CrossRef]
- Rojas, M.C.; Brewer, M.S. Effect of natural antioxidants on oxidative stability of cooked, refrigerated beef and pork. J. Food Sci. 2007, 72, 282–288. [Google Scholar] [CrossRef]
- Rojas, M.C.; Brewer, M.S. Effect of natural antioxidants on oxidative stability of frozen, vacuum-packaged beef and pork. J. Food Qual. 2008, 31, 173–188. [Google Scholar] [CrossRef]
- Sánchez-Escalante, A.; Djenane, D.; Torrescano, G.; Beltrán, J.A.; Roncales, P. Antioxidant action of borage, rosemary, oregano, and ascorbic acid in beef patties packaged in modified atmosphere. J. Food Sci. 2003, 68, 339–344. [Google Scholar] [CrossRef]
- Trindade, R.A.; Lima, A.; Andrade-Wartha, E.R.; Oliveira e Silva, A.M.; Mancini-Filho, J.; Villavicencio, A.L.C.H. Consumer’s evaluation of the effects of gamma irradiation and natural antioxidants on general acceptance of frozen beef burger. Radiat. Phys. Chem. 2009, 78, 293–300. [Google Scholar] [CrossRef]
- Manhani, M.R.; Nicoletti, M.A.; Da Silva Barretto, C.A.; De Jesus, G.R.; Munhoz, C.; De Abreu, G.R.; Zaccarelli-Magalhães, J.; Fukushima, A.R. Antioxidant action of rosemary and oregano extract in pre-cooked meat hamburger. Food Nutr. Sci. 2018, 9, 806–817. [Google Scholar] [CrossRef]
- El-Alim, S.S.L.A.; Lugasi, A.; Hóvári, J.; Dworschák, E. Culinary herbs inhibit lipid oxidation in raw and cooked minced meat patties during storage. J. Sci. Food Agric. 1999, 79, 277–285. [Google Scholar] [CrossRef]
- Sariçoban, C.; Yilmaz, M.T. Effect of thyme/cumin essential oils and butylated hydroxyl anisole/butylated hydroxyl toluene on physicochemical properties and oxidative/microbial stability of chicken patties. Poult. Sci. 2014, 93, 456–463. [Google Scholar] [CrossRef]
- Hęś, M.; Gliszczyńska-Świgło, A.; Gramza-Michałowska, A. The effect of antioxidants on quantitative changes of lysine and methionine in linoleic acid emulsions at different pH conditions. Acta Sci. Pol. Technol. Aliment. 2017, 16, 1–15. [Google Scholar]
- Jongberg, S.; Torgngren, M.A.; Gunvig, A.; Skibsted, L.H.; Lund, M.N. Effect of green tea or rosemary extract on protein oxidation in Bologna type sausages prepared from oxidatively stressed pork. Meat Sci. 2013, 93, 538–546. [Google Scholar] [CrossRef]
- Opara, E.I. Culinary herbs and spices: What can human studies tell us about their role in the prevention of chronic non-communicable diseases? J. Sci. Food Agric. 2019, 99, 4511–4517. [Google Scholar] [CrossRef]
- Vázquez-Fresno, R.; Rosana, A.R.R.; Sajed, T.; Onookome-Okome, T.; Wishart, N.A.; Wishart, D.S. Herbs and spices—Biomarkers of intake based on human intervention studies—A systematic review. Genes Nutr. 2019, 18, 1–27. [Google Scholar] [CrossRef]
- Hathwar, S.C.; Rai, A.K.; Modi, V.K.; Narayan, B. Characteristics and consumer acceptance of healthier meat and meat product formulations—A review. J. Food Sci. Technol. 2012, 49, 653–664. [Google Scholar] [CrossRef] [PubMed]
- Haugaard, P.; Hansen, F.; Jensen, M.; Grunert, K.G. Consumer attitudes toward new technique for preserving organic meat using herbs and berries. Meat Sci. 2014, 96, 126–135. [Google Scholar] [CrossRef] [PubMed]
- Halagarda, M.; Suwała, G. Sensory optimisation in new food product development: A case study of polish apple juice. Ital. J. Food Sci. 2018, 30, 317. [Google Scholar]
- Baryłko-Pikielna, N.; Matuszewska, I. Sensory Food Studies; Scientific Publishing House PTTŻ: Krakow, Poland, 2013; pp. 1–375. [Google Scholar]
- Ulewicz-Magulska, B.; Wesolowski, M. Total phenolic contents and antioxidant potential of herbs used for medical and culinary purposes. Plant Foods Hum. Nutr. 2019, 74, 61–67. [Google Scholar] [CrossRef]
- Commission Regulation (EU) No 723/2013 of 26 July 2013 amending Annex II to Regulation (EC) No 1333/2008 of the European Parliament and of the Council as regards the use of extracts of rosemary (E 392) in certain low fat meat and fish products. 2013. Available online: https://eur-lex.europa.eu/legal-content/EN/TXT/?uri=celex%3A32013R0723 (accessed on 17 November 2019).
- ISO 8589: 2009 Sensory Analysis—General Guidance for the Design of Test Rooms; ISO: Geneva, Switzerland, 2009.
- ISO 6564: 1985 Sensory Analysis—Methodology—Flavour Profile Methods; ISO: Geneva, Switzerland, 1985.
- Tekień, A.; Gutkowska, K.; Żakowska-Biemans, S.; Jóźwik, A.; Krotki, M. Using cluster analysis and choice-based conjoint in research on consumers preferences towards animal origin food products. Theoretical review, results and recommendations. Anim. Sci. Pap. Rep. 2018, 36, 171–184. [Google Scholar]
- Halagarda, M. Decomposition analysis and consumer research as essential elements of the new food product development process. Brit. Food J. 2017, 119, 511–526. [Google Scholar] [CrossRef]
- Mattsson, J.; Helmersson, H. Food product development. A consumer-led text analytic approach to generate preference structures. Brit. Food J. 2007, 3, 249–259. [Google Scholar]
- Lord, J.B. New product failure and success. In Developing New Food Products for a Changing Marketplace; Brody, A.L., Lord, J.B., Eds.; CRC Press: Boca Raton, FL, USA, 2008; pp. 47–74. [Google Scholar]
- Grunert, K.G. Current issues in the understanding of consumer food choice. Trends Food Sci. Tech. 2002, 13, 275–285. [Google Scholar] [CrossRef]
- Karre, L.; Lopez, K.; Getty, K.J.K. Natural antioxidants in meat and poultry products. Meat Sci. 2013, 94, 220–227. [Google Scholar] [CrossRef]
- Essid, I.; Smeti, S.; Atti, N. Effect of rosemary powder on the quality of dry ewe sausages. Ital. J. Food Sci. 2018, 30, 641–649. [Google Scholar]
- Schilling, M.W.; Pham, A.J.; Dhowlaghar, N.; Campbell, Y.L.; Williams, J.B.; Xiong, Y.L.; Perez, S.M.; Kin, S. Effects of rosemary (Rosmarinus Officinalis L.) and green tea (Camellia Sinensis L.) extracts on sensory properties and shelf-life of fresh pork sausage during long-term frozen storage and subsequent retail display. Meat Muscle Biol. 2018, 2, 375–390. [Google Scholar] [CrossRef]
- Sutha, M.; Selvaraj, R.; Kulkarni, V.V.; Chandirasekaran, V.; Edwin, S.C.; Malmarugan, S. Effect of rosemary essential oil on the quality characteristics of chicken nuggets. Int. J. Curr. Microbiol. Appl. Sci. 2018, 7, 4686–4693. [Google Scholar] [CrossRef]
- Roger, W.W. The flavors of herbs and foods—Commonly overlooked, but crucial to your health. Herb. Rev. 2019, 1, 1–4. [Google Scholar]
- Gedikoğlu, A.; Sökmen, M.; Çivit, A. Evaluation of Thymus vulgaris and Thymbra spicata essential oils and plant extracts for chemical composition, antioxidant, and antimicrobial properties. Food Sci. Nutr. 2019, 7, 1704–1714. [Google Scholar] [CrossRef]
- Drewnowski, A.; Gomez-Carneros, C. Bitter taste, phytonutrients, and the consumer: A review. Am. J. Clin. Nutr. 2000, 72, 1424–1435. [Google Scholar] [CrossRef]
- Drewnowski, A. Taste preferences and food intake. Annu. Rev. Nutr. 1997, 17, 237–253. [Google Scholar] [CrossRef]
- Feng, Y.; Tapia, M.A.; Okada, K.; Lazo, N.B.; Chapman-Novakofski, K.; Phillips, C.; Lee, S.-Y. Consumer acceptance comparison between seasoned and unseasoned vegetables. J. Food Sci. 2018, 83, 446–453. [Google Scholar] [CrossRef]
- Drewnowski, A. The science and complexity of bitter taste. Nutr. Rev. 2001, 59, 163–169. [Google Scholar] [CrossRef]
- Makita, Y.; Tomoko, I.; Kobayashi, N.; Fujio, M.; Fujimoto, K.; Moritomo, R.; Fujita, J.; Fujiwara, S. Evaluation of the bitterness-masking effect of powdered roasted soybeans. Foods 2016, 5, 44. [Google Scholar] [CrossRef]
- Szymandera-Buszka, K.; Jędrusek-Golińska, A.; Waszkowiak, K.; Hęś, M. Sensory sensitivity to sour and bitter taste among people with Crohn’s disease and folic acid supplementation. J. Sens. Stud. 2020, 35, e12550. [Google Scholar] [CrossRef]
- Vecchio, R.; Cavallo, C.; Cicia, G.; Del Giudice, T. Are (all) consumers averse to bitter taste? Nutrients 2019, 11, 323. [Google Scholar] [CrossRef] [PubMed]




| Consumer Desirability | Addition of Spice Ethanol Extracts | ||||||
|---|---|---|---|---|---|---|---|
| Rosemary | Thyme | Lovage | Marjoram | Basil | Oregano | Control | |
| Meatballs | |||||||
| aroma | 4.8 ± 0.98 a | 5.1 ± 1.00 a | 7.6 ± 0.98 b | 6.9 ± 0.98 ab | 6.4 ± 0.92 ab | 6.3 ± 0.92 a | 6.6 ± 0.88 ab |
| taste | 4.9 ± 0.94 a | 5.1 ± 0.95 a | 7.7 ± 0.96 b | 7.0 ± 0.96 ab | 5.7 ± 0.88 a | 5.8 ± 0.98 a | 6.5 ± 0.91 ab |
| overall | 4.9 ± 0.94 a | 5.1 ± 0.95 a | 7.7 ± 1.02 b | 7.0 ± 1.02 ab | 5.9 ± 0.94 ab | 5.8 ± 1.06 ab | 6.5 ± 0.91 ab |
| Hamburgers | |||||||
| aroma | 5.2 ± 0.95 a | 5.1 ± 0.98 a | 7.6 ± 0.97 b | 6.9 ± 1.00 ab | 6.0 ± 0.89 ab | 5.6 ± 0.88 ab | 6.8 ± 1.00 ab |
| taste | 5.4 ± 0.94 a | 5.1 ± 0.95 a | 7.6 ± 1.00 b | 7.0 ± 0.98 ab | 6.0 ± 0.92 a | 5.7 ± 1.10 a | 6.9 ± 1.04 ab |
| overall | 4.9 ± 0.96 a | 5.1 ± 0.95 a | 7.7 ± 1.03 b | 7.0 ± 1.07 ab | 5.7 ± 0.97 ab | 5.8 ± 1.15 ab | 6.5 ± 1.01 ab |
| Sensory Attributes | Addition of Spice Ethanol Extracts | ||||||
|---|---|---|---|---|---|---|---|
| Rosemary | Thyme | Lovage | Marjoram | Basil | Oregano | Control | |
| Meatballs | |||||||
| Aroma | |||||||
| meat | 5.0 ± 0.3 a | 5.6 ± 0.2 ba | 5.9 ± 0.3 b | 5.1 ± 0.4 a | 5.0 ± 0.4 a | 5.0 ± 0.4 a | 5.6 ± 0.4 ba |
| peppery | 0.8 ± 0.2 a | 0.6 ± 0.2 a | 0.7 ± 0.3 a | 0.8 ± 0.2 a | 0.8 ± 0.2 a | 1.0 ± 0.2 a | 1.0 ± 0.2 a |
| fried | 0.4 ± 0.3 a | 0.2 ± 0.2 a | 0.2 ± 0.2 a | 0.2 ± 0.1 a | 0.0 ± 0.0 a | 0.2 ± 0.1 a | 0.2 ± 0.2 a |
| spicy | 1.9 ± 0.2 bc | 0.8 ± 0.2 ab | 0.4 ± 0.2 a | 2.0 ± 0.4 bc | 1.7 ± 0.4 bc | 2.2 ± 0.3 c | 0.2 ± 0.1 a |
| essential oil | 2.8 ± 0.2 c | 0.2 ± 0.2 a | 0.2 ± 0.2 a | 0.2 ± 0.1 a | 0.7 ± 0.2 ab | 1.4 ± 0.2 bc | 0.0 ± 0.0 a |
| bitter | 0.4 ± 0.2 ab | 1.20 ± 0.3b | 0.0 ± 0.0 a | 0.0 ± 0.0 a | 0.2 ± 0.2 a | 0.2 ± 0.2 a | 0.2 ± 0.1 a |
| Taste | |||||||
| meat | 4.9 ± 0.3 a | 5.2 ± 0.3 a | 6.4 ± 0.3 b | 5.4 ± 0.3 a | 5.2 ± 0.3 a | 5.0 ± 0.3 a | 5.6 ± 0.3 ab |
| salty | 2.0 ± 0.2 a | 2.0 ± 0.2 a | 3.0 ± 0.3 a | 2.4 ± 0.3 a | 2.0 ± 0.2 a | 2.4 ± 0.2 a | 2.3 ± 0.3 a |
| broth | 1.9 ± 0.3 a | 1.8 ± 0.3 a | 3.5 ± 0.3b | 2.0 ± 0.3 a | 2.3 ± 0.3 a | 1.9 ± 0.3 a | 2.8 ± 0.4 ab |
| fried | 0.1 ± 0.2 a | 0.2 ± 0.2 a | 0.0 ± 0.0 a | 0.2 ± 0.2 a | 0.2 ± 0.2 a | 0.1 ± 0.1 a | 0.2 ± 0.2 a |
| spicy | 4.9 ± 0.3 c | 5.0 ± 0.3 c | 2.8 ± 0.2 ab | 4.0 ± 0.2 bc | 3.8 ± 0.3 abc | 4.0 ± 0.3 bc | 2.0 ± 0.3 a |
| essential oil | 1.5 ± 0.3 b | 1.5 ± 0.2 b | 0.2 ± 0.2 a | 1.0 ± 0.3 ab | 0.6±0.2 a | 1.2 ± 0.4 b | 0.0 ± 0.1 a |
| bitter | 0.4 ± 0.2 a | 1.7 ± 0.3 b | 0.2 ± 0.2 a | 1.0 ± 0.2 ab | 1.8±0.2b | 1.2 ± 0.3 b | 0.4 ± 0.2 a |
| Hamburgers | |||||||
| Aroma | |||||||
| meat | 5.7 ± 0.3 a | 6.1 ± 0.4 a | 6.9 ± 0.3 a | 5.8 ± 0.4 a | 6.2 ± 0.3 a | 5.7 ± 0.3 a | 6.7 ± 0.3 a |
| peppery | 3.4 ± 0.3 a | 3.4 ± 0.3 a | 3.6 ± 0.3 a | 3.3 ± 0.3 a | 3.2 ± 0.2 a | 3.0 ± 0.3 a | 3.4 ± 0.3 a |
| fried | 2.6 ± 0.3 a | 2.7 ± 0.3 a | 2.9 ± 0.3 a | 2.7 ± 0.3 a | 2.9 ± 0.2 a | 2.5 ± 0.2 a | 2.7 ± 0.2 a |
| spicy | 1.7 ± 0.3 b | 0.2 ± 0.2 a | 0.4 ± 0.2 a | 1.9 ± 0.2 b | 1.8 ± 0.2 b | 1.8 ± 0.2 b | 0.2 ± 0.2 a |
| essential oil | 2.2 ± 0.4 c | 0.4 ± 0.2 a | 0.2 ± 0.2 a | 0.2 ± 0.2 a | 0.5 ± 0.2 a | 1.2 ± 0.2 b | 0.0 ± 0.0 a |
| bitter | 0.5 ± 0.3 ab | 1.7 ± 0.3 b | 0.0 ± 0.0 a | 0.2 ± 0.2 a | 0.6 ± 0.3 ab | 0.2 ± 0.2 a | 0.0 ± 0.0 a |
| Taste | |||||||
| meat | 5.7 ± 0.2 a | 6.1 ± 0.3 ab | 7.4 ± 0.3 b | 6.5 ± 0.3 a | 6.0 ± 0.2 ab | 5.8 ± 0.3 a | 6.5 ± 0.3 ab |
| salty | 3.1 ± 0.2 ab | 2.9 ± 0.2 a | 4.2 ± 0.2 b | 3.8 ± 0.3 ab | 2.9 ± 0.2 a | 3.1 ± 0.2 ab | 3.3 ± 0.3 ab |
| broth | 4.9 ± 0.3 a | 5.3 ± 0.3 a | 7.3 ± 0.3 b | 5.2 ± 0.3 a | 4.9 ± 0.2 a | 4.9 ± 0.3 a | 7.0 ± 0.2 b |
| fried | 0.5 ± 0.2 a | 0.2 ± 0.2 a | 0.9 ± 0.2 a | 0.5 ± 0.3 a | 0.5 ± 0.2 a | 0.5 ± 0.2 a | 0.2 ± 0.2 a |
| spicy | 4.7 ± 0.3 c | 4.9 ± 0.2 c | 2.9 ± 0.3 a | 3.6 ± 0.3 ab | 3.4 ± 0.3 ab | 4.2 ± 0.2 ab | 2.9 ± 0.3 a |
| essential oil | 1.2 ± 0.2 bc | 1.7 ± 0.2 c | 0.1 ± 0.1 a | 0.8 ± 0.2 b | 0.8 ± 0.2 b | 1.1 ± 0.3 bc | 0.1 ± 0.1 a |
| bitter | 0.2 ± 0.2 a | 1.4 ± 0.3bc | 0.2 ± 0.2 a | 0.7 ± 0.2 ab | 1.5 ± 0.3 c | 1.2 ± 0.3b | 0.2 ± 0.1 a |
| Sensory Attributes | Hamburgers | Meatballs | ||
|---|---|---|---|---|
| F1 | F2 | F1 | F2 | |
| Aroma | ||||
| meat | 0.948 * | −0.185 | 0.918 * | −0.082 |
| peppery | −0.770 * | 0.198 | −0.475 | 0.560 |
| fried | 0.759 | −0.164 | −0.300 | −0.665 |
| spicy | −0.891 * | −0.408 | −0.892 * | −0.001 |
| essential oil | −0.738 * | 0.159 | −0.804 * | −0.467 |
| bitter | −0.066 | 0.937 * | 0.291 | −0.744 * |
| Taste | ||||
| meat | 0.917 * | −0.078 | 0.921 * | 0.078 |
| salty | 0.884 * | −0.347 | 0.871 * | 0.347 |
| broth | 0.873 * | −0.336 | 0.967 * | −0.091 |
| fried | 0.585 | 0.760 * | −0.560 | −0.767 * |
| spicy | −0.845 * | 0.255 | −0.835 * | 0.482 |
| essential oil | −0.913 * | 0.258 | −0.839 * | 0.525 |
| bitter | −0.688 | 0.110 | −0.704 | −0.349 |
© 2020 by the authors. Licensee MDPI, Basel, Switzerland. This article is an open access article distributed under the terms and conditions of the Creative Commons Attribution (CC BY) license (http://creativecommons.org/licenses/by/4.0/).
Share and Cite
Szymandera-Buszka, K.; Waszkowiak, K.; Jędrusek-Golińska, A.; Hęś, M. Sensory Analysis in Assessing the Possibility of Using Ethanol Extracts of Spices to Develop New Meat Products. Foods 2020, 9, 209. https://doi.org/10.3390/foods9020209
Szymandera-Buszka K, Waszkowiak K, Jędrusek-Golińska A, Hęś M. Sensory Analysis in Assessing the Possibility of Using Ethanol Extracts of Spices to Develop New Meat Products. Foods. 2020; 9(2):209. https://doi.org/10.3390/foods9020209
Chicago/Turabian StyleSzymandera-Buszka, Krystyna, Katarzyna Waszkowiak, Anna Jędrusek-Golińska, and Marzanna Hęś. 2020. "Sensory Analysis in Assessing the Possibility of Using Ethanol Extracts of Spices to Develop New Meat Products" Foods 9, no. 2: 209. https://doi.org/10.3390/foods9020209
APA StyleSzymandera-Buszka, K., Waszkowiak, K., Jędrusek-Golińska, A., & Hęś, M. (2020). Sensory Analysis in Assessing the Possibility of Using Ethanol Extracts of Spices to Develop New Meat Products. Foods, 9(2), 209. https://doi.org/10.3390/foods9020209

