Regional Characterization Study of Fatty Acids and Tocopherol in Organic Milk as a Tool for Potential Geographical Identification
Abstract
1. Introduction
2. Materials and Methods
2.1. Solvents and Chemicals
2.2. Organic Milk (OM) Sampling
2.3. Extraction and Saponification of Tocopherol (TOC) Homologs in OM
2.4. Instrumental Analysis of TOC Homologs in OM
2.5. Sample Preparation for Fatty Acid (FA) Analysis in OM
2.6. Fatty Acid Methyl Esters (FAME) Analysis Using Gas Chromatography Instrument Coupled to a Flame Ionization Detector (GC-FID)
2.7. Statistical Analysis
3. Results and Discussion
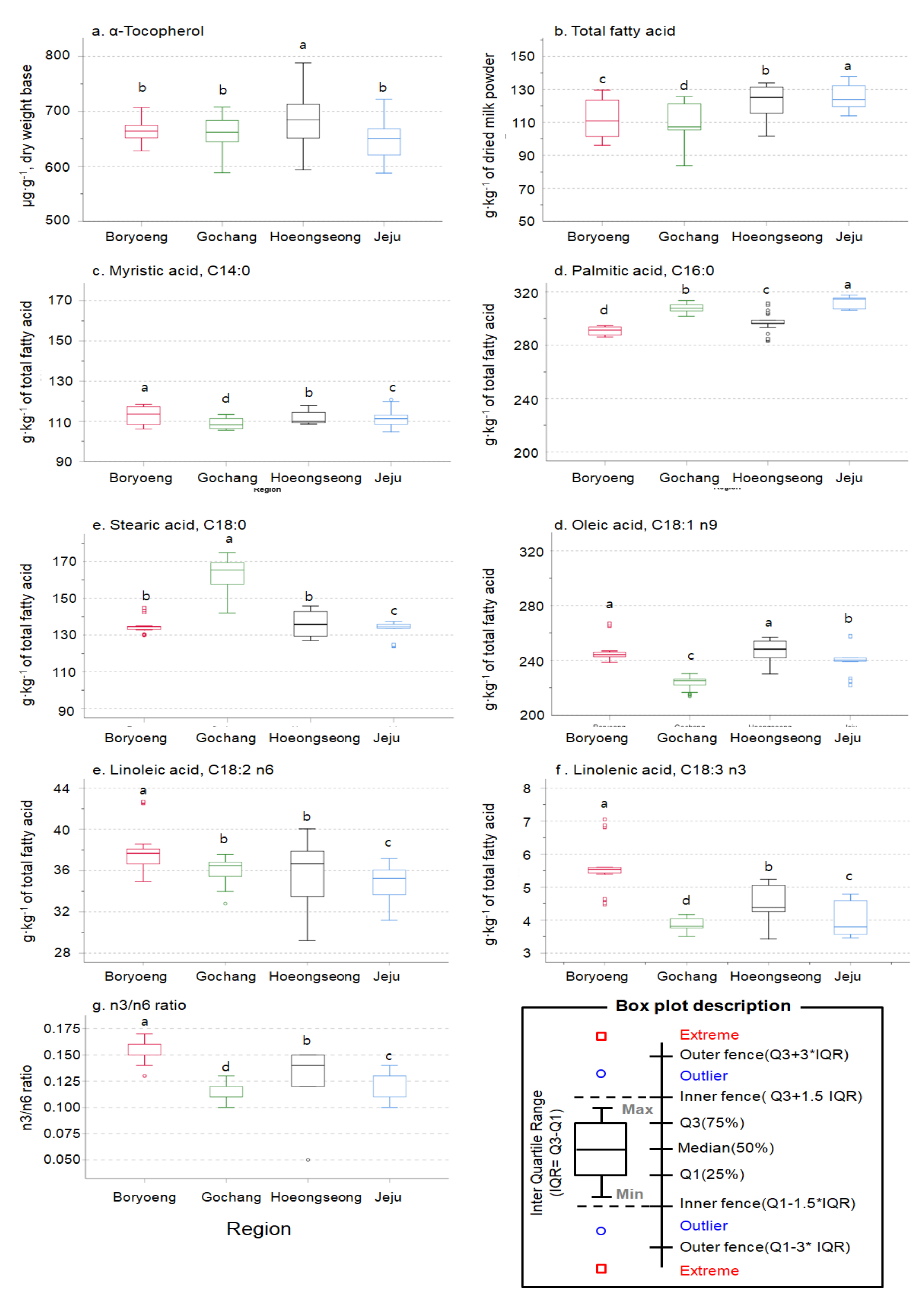
3.1. Regional and Monthly Variations of TOC and FA in OM
3.2. Stepwise Discriminant Analysis of OM Regional Origin and Production Month
4. Conclusions
Supplementary Materials
Author Contributions
Funding
Acknowledgments
Conflicts of Interest
References
- Kelly, S.; Heaton, K.; Hoogewerff, J. Tracing the geographical origin of food: The application of multi-element and multi-isotope analysis. Trends Food Sci. Tech. 2005, 16, 555–567. [Google Scholar] [CrossRef]
- Koubová, J.; Samková, E.; Hasonová, L. Food fraud detection by Czech Agricultural and Food Inspection Authority in retail market. Br. Food J. 2018, 120, 930–938. [Google Scholar] [CrossRef]
- Luykx, D.M.A.M.; Van Ruth, S.M. An overview of analytical methods for determining the geographical origin of food products. Food Chem. 2008, 107, 897–911. [Google Scholar] [CrossRef]
- Chung, I.-M.; Kim, J.-K.; Lee, K.-J.; Son, N.-Y.; An, M.-J.; Lee, J.-H.; An, Y.-J.; Kim, S.-H. Discrimination of organic milk by stable isotope ratio, vitamin E, and fatty acid profiling combined with multivariate analysis: A case study of monthly and seasonal variation in Korea for 2016–2017. Food Chem. 2018, 261, 112–123. [Google Scholar] [CrossRef] [PubMed]
- Peres, B.; Barlet, N.; Loiseau, G.; Montet, D. Review of the current methods of analytical traceability allowing determination of the origin of foodstuffs. Food Control. 2007, 18, 228–235. [Google Scholar] [CrossRef]
- Drivelos, S.A.; Georgiou, C.A. Multi-element and multi-isotope-ratio analysis to determine the geographical origin of foods in the European Union. Trends Analt. Chem. 2012, 40, 38–51. [Google Scholar] [CrossRef]
- Camin, F.; Bontempo, L.; Perini, M.; Piasentier, E. Stable Isotope Ratio Analysis for Assessing the Authenticity of Food of Animal Origin. Compr. Rev. Food Sci. Food Saf. 2016, 15, 868–877. [Google Scholar] [CrossRef]
- Poole, R.; Ren, K. Global Organic Milk Production Market; Report 2018; KPMG Australia: Melbourne, AU, USA, 2018; pp. 1–12. [Google Scholar]
- Chun, H.R. Golbal Agricultural Information Network (GAIN) Report: South Korea: Dairy and Products Annual; Service, U.F.A., Ed.; USDA: Washington, DC, USA, 2018. [Google Scholar]
- Slots, T.; Butler, G.; Leifert, C.; Kristensen, T.; Skibsted, L.H.; Nielsen, J.H. Potentials to differentiate milk composition by different feeding strategies. J. Dairy Sci. 2009, 92, 2057–2066. [Google Scholar] [CrossRef]
- Butler, G.; Nielsen, J.H.; Slots, T.; Seal, C.; Eyre, M.D.; Sanderson, R.; Leifert, C. Fatty acid and fat-soluble antioxidant concentrations in milk from high- and low-input conventional and organic systems: Seasonal variation. J. Sci. Food Agric. 2008, 88, 1431–1441. [Google Scholar] [CrossRef]
- Średnicka-Tober, D.; Barański, M.; Seal, C.J.; Sanderson, R.; Benbrook, C.; Steinshamn, H.; Gromadzka-Ostrowska, J.; Rembiałkowska, E.; Skwarło-Sońta, K.; Eyre, M.; et al. Higher PUFA and n-3 PUFA, conjugated linoleic acid, α-tocopherol and iron, but lower iodine and selenium concentrations in organic milk: A systematic literature review and meta- and redundancy analyses. Br. J. Nutr. 2016, 115, 1043–1060. [Google Scholar]
- Butler, G.; Stergiadis, S.; Seal, C.; Eyre, M.; Leifert, C. Fat composition of organic and conventional retail milk in northeast England. J. Dairy Sci. 2011, 94, 24–36. [Google Scholar] [CrossRef] [PubMed]
- Benbrook, C.M.; Butler, G.; Latif, M.A.; Leifert, C.; Davis, D.R. Organic production enhances milk nutritional quality by shifting fatty acid composition: A United States-wide, 18-month study. PLoS ONE 2013, 8, e82429. [Google Scholar] [CrossRef] [PubMed]
- Mogensen, L.; Kristensen, T.; Søegaard, K.; Jensen, S.K.; Sehested, J. Alfa-tocopherol and beta-carotene in roughages and milk in organic dairy herds. Livest. Sci. 2012, 145, 44–54. [Google Scholar] [CrossRef]
- Chung, I.-M.; Kim, J.-K.; Park, I.; Oh, J.-Y.; Kim, S.-H. Effects of milk type, production month, and brand on fatty acid composition: A case study in Korea. Food Chem. 2016, 196, 138–147. [Google Scholar] [CrossRef] [PubMed]
- Chung, I.-M.; Kim, J.-K.; Yang, Y.-J.; An, Y.-J.; Kim, S.-Y.; Kwon, C.; Kim, S.-H. A case study for geographical indication of organic milk in Korea using stable isotope ratios-based chemometric analysis. Food Control. 2020, 107, 106755. [Google Scholar] [CrossRef]
- Nečemer, M.; Potočnik, D.; Ogrinc, N. Discrimination between Slovenian cow, goat and sheep milk and cheese according to geographical origin using a combination of elemental content and stable isotope data. J. Food Compos. Anal. 2016, 52, 16–23. [Google Scholar] [CrossRef]
- Potočnik, D.; Nečemer, M.; Perišić, I.; Jagodic, M.; Mazej, D.; Camin, F.; Eftimov, T.; Strojnik, L.; Ogrinc, N. Geographical verification of Slovenian milk using stable isotope ratio, multi-element and multivariate modelling approaches. Food Chem. 2020, 326, 126958. [Google Scholar] [CrossRef]
- Behkami, S.; Zain, S.M.; Gholami, M.; Bakirdere, S. Isotopic ratio analysis of cattle tail hair: A potential tool in building the database for cow milk geographical traceability. Food Chem. 2017, 217, 438–444. [Google Scholar] [CrossRef]
- Crittenden, R.G.; Andrew, A.S.; LeFournour, M.; Young, M.D.; Middleton, H.; Stockmann, R. Determining the geographic origin of milk in Australasia using multi-element stable isotope ratio analysis. Int. Dairy J. 2007, 17, 421–428. [Google Scholar] [CrossRef]
- Renou, J.-P.; Deponge, C.; Gachon, P.; Bonnefoy, J.-C.; Coulon, J.-B.; Garel, J.-P.; Vérité, R.; Ritz, P. Characterization of animal products according to geographic origin and feeding diet using nuclear magnetic resonance and isotope ratio mass spectrometry: Cow milk. Food Chem. 2004, 85, 63–66. [Google Scholar] [CrossRef]
- Palupi, E.; Jayanegara, A.; Ploeger, A.; Kahl, J. Comparison of nutritional quality between conventional and organic dairy products: A meta-analysis. J. Sci. Food Agric. 2012, 92, 2774–2781. [Google Scholar] [CrossRef] [PubMed]
- Dangour, A.D.; Dodhia, S.K.; Hayter, A.; Allen, E.; Lock, K.; Uauy, R. Nutritional quality of organic foods: A systematic review. Am. J. Clin. Nutr. 2009, 90, 680–685. [Google Scholar] [CrossRef] [PubMed]
- Ellis, K.A.; Innocent, G.; Grove-White, D.; Cripps, P.; McLean, W.G.; Howard, C.V.; Mihm, M. Comparing the Fatty Acid Composition of Organic and Conventional Milk. J. Dairy Sci. 2006, 89, 1938–1950. [Google Scholar] [CrossRef]
- Hanuš, O.; Samková, E.; Křížová, L.; Hasoňová, L.; Kala, R. Role of Fatty Acids in Milk Fat and the Influence of Selected Factors on Their Variability—A Review. Molecules 2018, 23, 1636. [Google Scholar] [CrossRef]
- Yasmin, A.; Huma, N.; Butt, M.S.; Zahoor, T.; Yasin, M. Seasonal variation in milk vitamin contents available for processing in Punjab, Pakistan. J. Saudi Soc. Agric. Sci. 2012, 11, 99–105. [Google Scholar] [CrossRef]
- Paolini, M.; Ziller, L.; Laursen, K.H.; Husted, S.; Camin, F. Compound-Specific δ15N and δ13C Analyses of Amino Acids for Potential Discrimination between Organically and Conventionally Grown Wheat. J. Agric. Food Chem. 2015, 63, 5841–5850. [Google Scholar] [CrossRef]
- Yuan, Y.; Zhang, W.; Zhang, Y.; Liu, Z.; Shao, S.; Zhou, L.; Rogers, K.M. Differentiating Organically Farmed Rice from Conventional and Green Rice Harvested from an Experimental Field Trial Using Stable Isotopes and Multi-Element Chemometrics. J. Agric. Food Chem. 2018, 66, 2607–2615. [Google Scholar] [CrossRef]
- Mahne Opatić, A.; Nečemer, M.; Lojen, S.; Vidrih, R. Stable isotope ratio and elemental composition parameters in combination with discriminant analysis classification model to assign country of origin to commercial vegetables—A preliminary study. Food Control. 2017, 80, 252–258. [Google Scholar] [CrossRef]
- Pan, R.; Guo, F.; Lu, H.; Feng, W.-W.; Liang, Y.-Z. Development of the chromatographic fingerprint of Scutellaria barbata D. Don by GC–MS combined with Chemometrics methods. J. Pharmaceu. Biomed. Anal. 2011, 55, 391–396. [Google Scholar] [CrossRef]
- Osorio, M.T.; Moloney, A.P.; Schmidt, O.; Monahan, F.J. Multielement Isotope Analysis of Bovine Muscle for Determination of International Geographical Origin of Meat. J. Agric. Food Chem. 2011, 59, 3285–3294. [Google Scholar] [CrossRef]
- Longobardi, F.; Casiello, G.; Sacco, D.; Tedone, L.; Sacco, A. Characterisation of the geographical origin of Italian potatoes, based on stable isotope and volatile compound analyses. Food Chem. 2011, 124, 1708–1713. [Google Scholar] [CrossRef]




| Region | Location | Geographical Features | Distance from the Nearest Coast | April | May | June | July | August | |
|---|---|---|---|---|---|---|---|---|---|
| Boryeong | 36° 51′N, 126° 53′E, ~50m a.s.l. | open ocean, near coast area | ~4.3 km | Mean temperature, °C | 12.1 | 17.2 | 21.4 | 26.7 | 27.6 |
| Total precipitation, mm | 128.1 | 104.5 | 71 | 262.7 | 239.6 | ||||
| Gochang | 35° 45′N, 126° 45′E, ~20 m a.s.l. | open ocean, near coast area | ~1.5 km | Mean temperature, °C | 13 | 17.6 | 21.7 | 26.6 | 27.3 |
| Total precipitation, mm | 102 | 64.2 | 168.4 | 183.7 | 269.6 | ||||
| Jeju | 33° 35′N, 126° 33′E, ~350 m a.s.l. | island, near coast, mountain area | ~10 km | Mean temperature, °C | 15.9 | 19.1 | 22.3 | 27.3 | 28.8 |
| Total precipitation, mm | 112.5 | 98.8 | 211.1 | 48.7 | 376.5 | ||||
| Hoengseong | 37° 46′N, 128° 09′E,~ 320 m a.s.l. | inland, mountain area | ~81 km | Mean temperature, °C | 12 | 17.1 | 22.6 | 26.6 | 27.2 |
| Total precipitation, mm | 143.8 | 268.6 | 101.4 | 204.5 | 300.6 |
| Region (R), n = 25 Per Each Region | Milk Production Month (M), n = 20 Per Each Month | p-Value | ||||||||||||
|---|---|---|---|---|---|---|---|---|---|---|---|---|---|---|
| Main Factor | Interaction | |||||||||||||
| Boryeong | Gochang | Hoengseong | Jeju | LSD0.05 | APR | MAY | JUN | JUL | AUG | LSD0.05 | R | M | R*M | |
| α-tocopherol, µg·g−1, dry weight base | 664.3 | 660.3 | 685.9 | 648.7 | 16.0 | 681.5 | 651.2 | 665.4 | 654.1 | 671.9 | 17.9 | *** | ** | ** |
| C4:0 | 21.9 | 23.0 | 21.9 | 22.5 | 0.47 | 21.4 | 25.2 | 20.9 | 22.7 | 21.5 | 0.52 | *** | *** | *** |
| C6:0 | 17.8 | 17.5 | 17.7 | 17.8 | 0.26 | 17.4 | 20.1 | 16.9 | 17.6 | 16.4 | 0.30 | ns | *** | *** |
| C8:0 | 11.2 | 10.5 | 11.1 | 11.0 | 0.15 | 11.2 | 12.3 | 10.6 | 10.7 | 10.1 | 0.17 | *** | *** | *** |
| C10:0 | 25.9 | 24.0 | 26.0 | 24.5 | 0.33 | 26.1 | 27.9 | 24.7 | 24.1 | 22.8 | 0.37 | *** | *** | *** |
| C11:0 | 0.55 | 0.53 | 0.57 | 0.46 | 0.03 | 0.52 | 0.72 | 0.51 | 0.46 | 0.43 | 0.04 | *** | *** | *** |
| C12:0 | 31.9 | 29.0 | 32.5 | 33.0 | 0.24 | 32.8 | 34.6 | 31.5 | 30.1 | 29.0 | 0.27 | *** | *** | *** |
| C13:0 | 0.95 | 0.98 | 1.04 | 0.78 | 0.01 | 0.98 | 1.00 | 0.94 | 0.88 | 0.90 | 0.01 | *** | *** | *** |
| C14:0 | 112.7 | 108.9 | 111.9 | 111.3 | 0.53 | 112.6 | 116.7 | 111.8 | 108.1 | 106.7 | 0.59 | *** | *** | *** |
| C14:1 n-5 cis | 9.68 | 6.73 | 8.94 | 9.67 | 0.08 | 9.17 | 9.10 | 8.91 | 8.12 | 8.48 | 0.09 | *** | *** | *** |
| C15:1 n-5 cis | 0.94 | 1.00 | 1.23 | 0.99 | 0.18 | 1.43 | 0.42 | 1.31 | 0.93 | 1.10 | 0.20 | ** | *** | *** |
| C16:0 | 290.9 | 307.7 | 296.6 | 312.2 | 0.68 | 299.8 | 304.6 | 303.2 | 301.8 | 299.8 | 0.77 | *** | *** | *** |
| C16:1 n-7 cis | 15.1 | 12.4 | 15.1 | 14.9 | 0.12 | 14.9 | 14.0 | 14.4 | 13.8 | 14.8 | 0.14 | *** | *** | *** |
| C17:0 | 10.6 | 11.8 | 10.4 | 8.8 | 0.04 | 10.3 | 10.2 | 10.5 | 10.5 | 10.5 | 0.05 | *** | *** | *** |
| C17:1 n-7 cis | 2.62 | 2.49 | 2.43 | 2.54 | 0.26 | 2.68 | 2.29 | 2.38 | 2.58 | 2.68 | 0.29 | ns | * | ** |
| C18:0 | 135.2 | 161.8 | 135.8 | 133.2 | 0.57 | 135.2 | 136.2 | 142.1 | 147.9 | 146.1 | 0.64 | *** | *** | *** |
| C18:1 n-9 cis+trans | 247.7 | 223.7 | 247.3 | 241.4 | 1.40 | 242.9 | 229.6 | 240.8 | 238.5 | 248.5 | 1.57 | *** | *** | *** |
| C18:2 n-6 all cis | 38.3 | 36.1 | 36.0 | 34.9 | 0.35 | 36.4 | 33.8 | 35.4 | 38.8 | 37.0 | 0.39 | *** | *** | *** |
| C18:3 n-6 all cis | 1.27 | 1.29 | 1.15 | 1.14 | 0.03 | 1.22 | 1.18 | 1.22 | 1.23 | 1.23 | 0.03 | *** | ** | *** |
| C18:3 n-3 all cis | 5.61 | 3.88 | 4.55 | 4.03 | 0.07 | 4.81 | 4.04 | 4.28 | 4.72 | 4.74 | 0.08 | *** | *** | *** |
| C20:0 | 2.54 | 2.34 | 2.39 | 1.93 | 0.02 | 2.40 | 2.24 | 2.47 | 2.19 | 2.21 | 0.02 | *** | *** | *** |
| C20:1 n-9 cis | 4.01 | 3.39 | 3.53 | 3.04 | 0.13 | 3.21 | 3.58 | 3.43 | 3.62 | 3.64 | 0.15 | *** | *** | *** |
| C20:2 n-6 all cis | 0.57 | 0.63 | 0.60 | 0.53 | 0.04 | 0.60 | 0.49 | 0.59 | 0.67 | 0.56 | 0.05 | *** | *** | *** |
| C20:3 n-6 all cis | 1.83 | 1.89 | 1.84 | 1.65 | 0.03 | 1.83 | 1.67 | 1.86 | 1.92 | 1.73 | 0.03 | *** | *** | *** |
| C20:4 n-6 all cis | 2.09 | 2.09 | 2.15 | 2.08 | 0.05 | 2.15 | 1.91 | 2.14 | 2.26 | 2.04 | 0.05 | * | *** | *** |
| C20:3 n-3 all cis | 0.27 | 0.18 | 0.27 | 0.23 | 0.03 | 0.24 | 0.21 | 0.29 | 0.23 | 0.21 | 0.04 | *** | *** | * |
| C20:5 n-3 all cis | 0.55 | 0.42 | 0.47 | 0.42 | 0.03 | 0.52 | 0.40 | 0.46 | 0.48 | 0.46 | 0.03 | *** | *** | *** |
| C22:0 | 1.39 | 1.22 | 1.27 | 1.04 | 0.02 | 1.32 | 1.17 | 1.38 | 1.14 | 1.15 | 0.02 | *** | *** | *** |
| C22:1 n-9 cis | 1.60 | 0.43 | 1.08 | 0.20 | 0.06 | 1.15 | 0.78 | 1.35 | 0.29 | 0.55 | 0.07 | *** | *** | *** |
| C22:2 n-6 all cis | 1.40 | 1.67 | 1.50 | 1.44 | 0.35 | 2.03 | 1.41 | 0.84 | 1.19 | 2.03 | 0.39 | ns | *** | ns |
| C23:0 | 0.75 | 0.72 | 0.71 | 0.72 | 0.06 | 0.80 | 0.56 | 0.80 | 0.66 | 0.82 | 0.07 | ns | *** | ** |
| C24:0 | 1.63 | 1.47 | 0.33 | 1.35 | 0.08 | 1.29 | 0.94 | 1.37 | 1.21 | 1.17 | 0.09 | *** | *** | *** |
| C22:6 n3 all cis | 0.38 | 0.22 | 0.33 | 0.23 | 0.04 | 0.34 | 0.26 | 0.36 | 0.23 | 0.26 | 0.04 | *** | *** | *** |
| Total (g·kg−1 of dried milk powder) † | 112.1 | 109.6 | 122.2 | 125.0 | 2.27 | 129.2 | 104.8 | 112.3 | 115.3 | 124.7 | 2.53 | *** | *** | *** |
| Calculated value, g·kg−1 of total fatty acids | ||||||||||||||
| ∑ SFA | 666.1 | 701.5 | 670.3 | 680.6 | 1.76 | 674.1 | 694.6 | 679.7 | 680.1 | 669.7 | 1.97 | *** | *** | *** |
| ∑ UFA | 333.9 | 298.5 | 328.5 | 319.4 | 1.75 | 325.6 | 305.2 | 320.0 | 319.6 | 330.0 | 1.96 | *** | *** | *** |
| ∑ MUFA | 281.7 | 250.2 | 279.6 | 272.8 | 1.53 | 275.4 | 259.7 | 272.5 | 267.9 | 279.7 | 1.71 | *** | *** | *** |
| ∑ PUFA | 52.2 | 48.3 | 48.9 | 46.6 | 0.50 | 50.2 | 45.4 | 47.5 | 51.7 | 50.3 | 0.56 | *** | *** | *** |
| PUFA/MUFA | 0.19 | 0.19 | 0.18 | 0.17 | 0.003 | 0.18 | 0.18 | 0.17 | 0.19 | 0.18 | 0.003 | *** | *** | *** |
| ∑ n-6 PUFA | 43.4 | 41.3 | 41.2 | 39.8 | 0.41 | 41.6 | 38.6 | 40.7 | 44.2 | 42.0 | 0.46 | *** | *** | *** |
| ∑ n-3 PUFA | 6.80 | 4.71 | 5.52 | 4.91 | 0.20 | 5.91 | 4.77 | 5.40 | 5.66 | 5.68 | 0.22 | *** | *** | *** |
| n3/n6 | 0.16 | 0.11 | 0.13 | 0.12 | 0.01 | 0.14 | 0.12 | 0.13 | 0.13 | 0.14 | 0.01 | *** | *** | *** |
| ∑ Short/Medium (4–12) | 109.4 | 104.5 | 109.8 | 109.3 | 1.32 | 109.4 | 120.9 | 105.1 | 105.6 | 100.3 | 1.47 | *** | *** | *** |
| ∑ Long (13–21) | 883.4 | 889.8 | 883.7 | 885.7 | 1.36 | 883.3 | 873.7 | 888.5 | 889.3 | 893.4 | 1.52 | *** | *** | *** |
| ∑ Very long (≥ 22) | 7.15 | 5.73 | 5.23 | 4.98 | 0.38 | 6.94 | 5.13 | 6.09 | 4.73 | 5.99 | 0.43 | *** | *** | *** |
| Predicted Group Membership | Total | ||||||
|---|---|---|---|---|---|---|---|
| Boryeong | Gochang | Hoengseong | Jeju | ||||
| Original | Count | Boryeong | 25 | 0 | 0 | 0 | 25 |
| Gochang | 0 | 25 | 0 | 0 | 25 | ||
| Hoengseong | 0 | 0 | 25 | 0 | 25 | ||
| Jeju | 0 | 0 | 0 | 25 | 25 | ||
| % | Boryeong | 100 | 0 | 0 | 0 | 100 | |
| Gochang | 0 | 100 | 0 | 0 | 100 | ||
| Hoengseong | 0 | 0 | 100 | 0 | 100 | ||
| Jeju | 0 | 0 | 0 | 100 | 100 | ||
| Cross-Validated c | Count | Boryeong | 25 | 0 | 0 | 0 | 25 |
| Gochang | 0 | 25 | 0 | 0 | 25 | ||
| Hoengseong | 0 | 0 | 25 | 0 | 25 | ||
| Jeju | 0 | 0 | 0 | 25 | 25 | ||
| % | Boryeong | 100 | 0 | 0 | 0 | 100 | |
| Gochang | 0 | 100 | 0 | 0 | 100 | ||
| Hoengseong | 0 | 0 | 100 | 0 | 100 | ||
| Jeju | 0 | 0 | 0 | 100 | 100 | ||
Publisher’s Note: MDPI stays neutral with regard to jurisdictional claims in published maps and institutional affiliations. |
© 2020 by the authors. Licensee MDPI, Basel, Switzerland. This article is an open access article distributed under the terms and conditions of the Creative Commons Attribution (CC BY) license (http://creativecommons.org/licenses/by/4.0/).
Share and Cite
Chung, I.-M.; Kim, Y.-J.; Moon, H.-S.; Kwon, C.; Chi, H.-Y.; Kim, S.-H. Regional Characterization Study of Fatty Acids and Tocopherol in Organic Milk as a Tool for Potential Geographical Identification. Foods 2020, 9, 1743. https://doi.org/10.3390/foods9121743
Chung I-M, Kim Y-J, Moon H-S, Kwon C, Chi H-Y, Kim S-H. Regional Characterization Study of Fatty Acids and Tocopherol in Organic Milk as a Tool for Potential Geographical Identification. Foods. 2020; 9(12):1743. https://doi.org/10.3390/foods9121743
Chicago/Turabian StyleChung, Ill-Min, Yun-Ju Kim, Hee-Sung Moon, Chang Kwon, Hee-Youn Chi, and Seung-Hyun Kim. 2020. "Regional Characterization Study of Fatty Acids and Tocopherol in Organic Milk as a Tool for Potential Geographical Identification" Foods 9, no. 12: 1743. https://doi.org/10.3390/foods9121743
APA StyleChung, I.-M., Kim, Y.-J., Moon, H.-S., Kwon, C., Chi, H.-Y., & Kim, S.-H. (2020). Regional Characterization Study of Fatty Acids and Tocopherol in Organic Milk as a Tool for Potential Geographical Identification. Foods, 9(12), 1743. https://doi.org/10.3390/foods9121743
