Characteristics of Sunsik, a Cereal-Based Ready-to-Drink Korean Beverage, with Added Germinated Wheat and Herbal Plant Extract
Abstract
1. Introduction
2. Materials and Methods
2.1. Materials
2.2. Experimental Design and Optimization of the Formulation
2.3. Extraction Procedure of Sunsik Samples
2.4. Gamma-Amino Butyric Acid (GABA)
2.5. Total Flavonoid Content (TFC)
2.6. Total Phenolic Content (TPC)
2.7. DPPH Radical Scavenging Capacity
2.8. Trolox Equivalent Antioxidant Capacity (TEAC)
2.9. Water Absorption Index (WAI) and Water Solubility Index (WSI)
2.10. Color Properties
2.11. Apparent viscosity of Sunsik Samples
2.12. Cell Proliferative Effects of Sunsik Samples on Caco-2 and HepG2 Cells
2.13. Data Analysis
3. Results and Discussion
3.1. Fitting the Model and Statistical Analysis
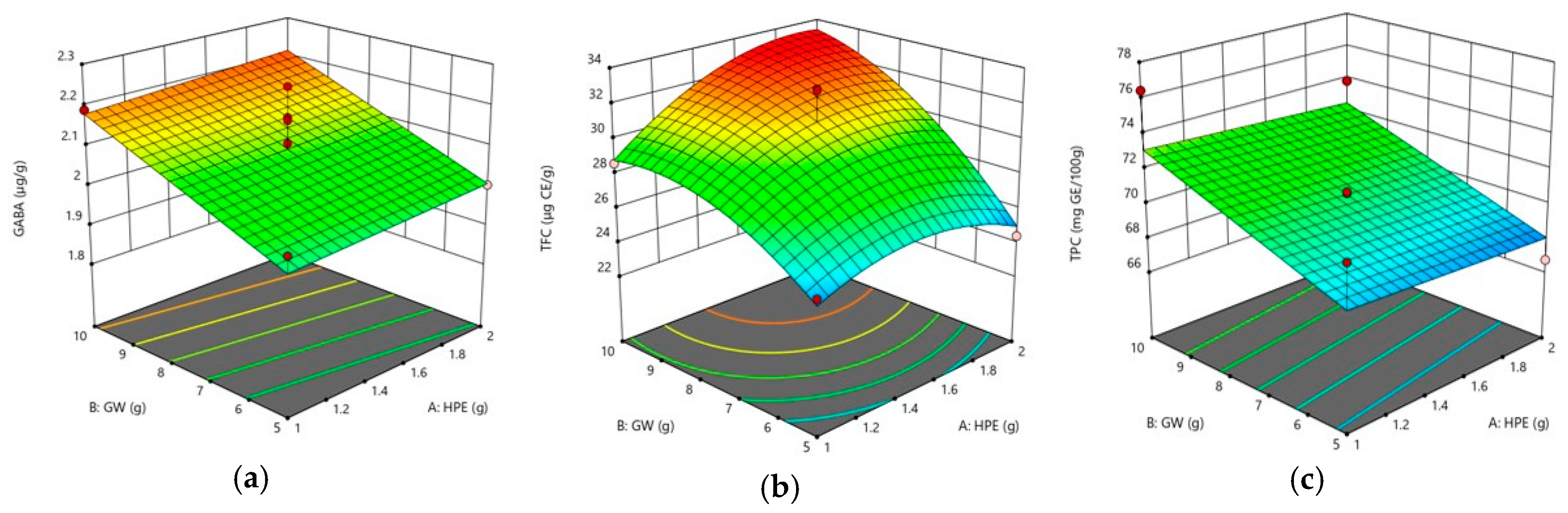
3.2. Effects of Independent Values on Health-Conscious Properties
3.3. Effects of Independent Values on Physicochemical Properties
3.4. Optimization and Validation
3.5. Health-Conscious and Physicochemical Properties of Optimized Sunsik
4. Conclusions
Author Contributions
Funding
Conflicts of Interest
References
- Choi, E.; Kim, B.H. A comparison of the fat, sugar, and sodium contents in ready-to-heat type home meal replacements and restaurant foods in Korea. J. Food Compos. Anal. 2020, 92, 103524. [Google Scholar] [CrossRef]
- Bembem, K.; Agrahar-Murugkar, D. Development of millet based ready-to-drink beverage for geriatric population. J. Food Sci. Technol. 2020, 57, 3278–3283. [Google Scholar] [CrossRef]
- Fernandes, C.G.; Sonawane, S.K.; Arya, S.S. Optimization and modeling of novel multigrain beverage: Effect of food additives on physicochemical and functional properties. J. Food Process. Preserv. 2019, 43, 14151. [Google Scholar] [CrossRef]
- Jung, J.-H.; Lee, S. Microbial Growth in Dry Grain Food (Sunsik) Beverages Prepared with Water, Milk, Soymilk, or Honey-Water. J. Food Sci. 2010, 75, M239–M242. [Google Scholar] [CrossRef] [PubMed]
- Lee, E.-J.; Kim, S.-G.; Yoo, S.-R.; Oh, S.-S.; Hwang, I.-G.; Kwon, G.-S.; Park, J.-H. Microbial contamination by Bacillus cereus, Clostridium perfringens, and Enterobacter sakazakii in sunsik. Food Sci. Biotechnol. 2007, 16, 948–953. [Google Scholar]
- Koh, E.; Jang, K.-H.; Surh, J. Improvement of physicochemical properties of cereal based ready-to-eat Sunsik using fermentation with Bionuruk and Bifidobacterium longum. Food Sci. Biotechnol. 2014, 23, 1977–1985. [Google Scholar] [CrossRef]
- Bang, Y.-S.; Jang, E.H.; Chung, H.-J. Quality and physicochemical characteristics of newly developed Sunsik products with germinated brown rice. Korean J. Food Sci. Technol. 2017, 49, 513–518. [Google Scholar]
- Park, K.-H. Quality and characteristics of manufacturing Sunsik with edible insect (mealworm). Culin. Sci. Hosp. Res. 2018, 24, 13–23. [Google Scholar]
- Xu, L.; Wang, P.; Ali, B.; Yang, N.; Chen, Y.; Wu, F.; Xu, X. Changes of the phenolic compounds and antioxidant activities in germinated adlay seeds. J. Sci. Food Agric. 2017, 97, 4227–4234. [Google Scholar] [CrossRef] [PubMed]
- Gawlik-Dziki, U.; Dziki, D.; Nowak, R.; Świeca, M.; Olech, M.; Pietrzak, W. Influence of sprouting and elicitation on phenolic acids profile and antioxidant activity of wheat seedlings. J. Cereal Sci. 2016, 70, 221–228. [Google Scholar] [CrossRef]
- Kim, M.J.; Kwak, H.S.; Kim, S.S. Effects of Germination on Protein, γ-Aminobutyric Acid, Phenolic Acids, and Antioxidant Capacity in Wheat. Molecules 2018, 23, 2244. [Google Scholar] [CrossRef] [PubMed]
- Dziki, D.; Gawlik-Dziki, U.; Różyło, R.; Miś, A. Drying and Grinding Characteristics of Four-Day-Germinated and Crushed Wheat: A Novel Approach for Producing Sprouted Flour. Cereal Chem. J. 2015, 92, 312–319. [Google Scholar] [CrossRef]
- Dhillon, B.; Choudhary, G.; Sodhi, N.S. A study on physicochemical, antioxidant and microbial properties of germinated wheat flour and its utilization in breads. J. Food Sci. Technol. 2020, 57, 2800–2808. [Google Scholar] [CrossRef] [PubMed]
- Chen, Z.; Yu, L.; Wang, X.; Gu, Z.; Beta, T. Changes of phenolic profiles and antioxidant activity in canaryseed (Phalaris canariensis L.) during germination. Food Chem. 2016, 194, 608–618. [Google Scholar] [CrossRef]
- Koehler, P.; Hartmann, G.; Wieser, H.; Rychlik, M. Changes of Folates, Dietary Fiber, and Proteins in Wheat as Affected by Germination. J. Agric. Food Chem. 2007, 55, 4678–4683. [Google Scholar] [CrossRef]
- Li, T.S. Taiwanese Native Medicinal Plants: Phytopharmacology and Therapeutic Values; CRC Press: Boca Raton, FL, USA, 2006. [Google Scholar]
- Park, C.H.; Lee, A.Y.; Kim, J.H.; Seong, S.H.; Jang, G.Y.; Cho, E.J.; Choi, J.S.; Kwon, J.; Kim, Y.O.; Lee, S.W.; et al. Protective Effect of Safflower Seed on Cisplatin-Induced Renal Damage in Mice via Oxidative Stress and Apoptosis-Mediated Pathways. Am. J. Chin. Med. 2018, 46, 157–174. [Google Scholar] [CrossRef]
- Kim, K.-W.; Suh, S.-J.; Lee, T.-K.; Ha, K.T.; Kim, J.-K.; Kim, K.-H.; Kim, D.-I.; Jeon, J.H.; Moon, T.-C.; Kim, C.-H. Effect of safflower seeds supplementation on stimulation of the proliferation, differentiation and mineralization of osteoblastic MC3T3-E1 cells. J. Ethnopharmacol. 2008, 115, 42–49. [Google Scholar] [CrossRef]
- Ambreen, M.; Mirza, S.A. Evaluation of anti-inflammatory and wound healing potential of tannins isolated from leaf callus cultures of Achyranthes aspera and Ocimum basilicum. Pak. J. Pharm. Sci. 2020, 33, 361–369. [Google Scholar]
- Li, T.; Ferns, K.; Yan, Z.-Q.; Yin, S.-Y.; Kou, J.-J.; Li, D.; Zeng, Z.; Yin, L.; Wang, X.; Bao, H.-X.; et al. Acanthopanax senticosus: Photochemistry and Anticancer Potential. Am. J. Chin. Med. 2016, 44, 1543–1558. [Google Scholar] [CrossRef]
- Wang, H.; Li, D.; Du, Z.; Huang, M.-T.; Cui, X.; Lu, Y.; Li, C.; Woo, S.L.; Conney, A.H.; Zheng, X.; et al. Antioxidant and anti-inflammatory properties of Chinese ilicifolius vegetable (Acanthopanax trifoliatus (L.) Merr) and its reference compounds. Food Sci. Biotechnol. 2015, 24, 1131–1138. [Google Scholar] [CrossRef]
- Yadav, E.; Singh, D.; Yadav, P.; Verma, A. Attenuation of dermal wounds via downregulating oxidative stress and inflammatory markers by protocatechuic acid rich n-butanol fraction of Trianthema portulacastrum Linn. in wistar albino rats. Biomed. Pharmacother. 2017, 96, 86–97. [Google Scholar] [CrossRef] [PubMed]
- Kim, J.-H.; Park, J.-H.; Park, S.-D.; Choi, S.-Y.; Seong, J.-H.; Moon, K.-D. Preparation and antioxidant activity of health drink with extract powders from safflower (Carthamus tinctorius L.) seed. Korean J. Food Sci. Technol. 2002, 34, 617–624. [Google Scholar]
- Kwak, D.-Y.; Kim, J.-H.; Choi, M.-S.; Shin, S.-R.; Moon, K.-D. Effect of hot water extract powder from safflower (Carthamus tinctorius L.) seed on quality of noodle. J. Korean Soc. Food Sci. Nutr. 2002, 31, 460–464. [Google Scholar]
- Yu, S.-Y.; Lee, Y.-J.; Kim, J.-D.; Kang, S.-N.; Lee, S.-K.; Jang, J.-Y.; Lee, H.-K.; Lim, J.-H.; Lee, O.-H. Phenolic Composition, Antioxidant Activity and Anti-Adipogenic Effect of Hot Water Extract from Safflower (Carthamus tinctorius L.) Seed. Nutrients 2013, 5, 4894–4907. [Google Scholar] [CrossRef] [PubMed]
- Boo, K.-H.; Lee, D.; Jeon, G.L.; Ko, S.H.; Cho, S.K.; Kim, J.H.; Park, S.P.; Hong, Q.; Lee, S.-H.; Lee, D.-S.; et al. Distribution and Biosynthesis of 20-Hydroxyecdysone in Plants of Achyranthes japonica Nakai. Biosci. Biotechnol. Biochem. 2010, 74, 2226–2231. [Google Scholar] [CrossRef] [PubMed]
- Da-Sol, K.; Ki-Soo, S.; Min-Sung, P.; Mi-Kyoung, K.; Kyoung-Eun, P.; Yeon-Ju, K.; Geum-Joung, Y.; Hyung-Joon, K.; Moon-Kyoung, b.; Soo-Kyung, B.; et al. The Effect of Natural-Herb Mixture Extract on Osteogenic Differentiation in Human Mesenchymal Stem cells. Korean J. Oral Maxillofac. Pathol. 2019, 43, 171–178. [Google Scholar] [CrossRef]
- Sabokbar, N.; Khodaiyan, F.; Moosavi-Nasab, M. Optimization of processing conditions to improve antioxidant activities of apple juice and whey based novel beverage fermented by kefir grains. J. Food Sci. Technol. 2014, 52, 1–11. [Google Scholar] [CrossRef]
- Sharma, S.; Saxena, D.C.; Riar, C.S. Changes in the GABA and polyphenols contents of foxtail millet on germination and their relationship with in vitro antioxidant activity. Food Chem. 2018, 245, 863–870. [Google Scholar] [CrossRef]
- Dahl, L.K. Salt and hypertension. Am. J. Clin. Nutr. 1972, 25, 231–244. [Google Scholar] [CrossRef]
- De La Rosa, L.A.; Álvarez-Parrilla, E.; Shahidi, F. Phenolic Compounds and Antioxidant Activity of Kernels and Shells of Mexican Pecan (Carya illinoinensis). J. Agric. Food Chem. 2011, 59, 152–162. [Google Scholar] [CrossRef]
- Wong, S.P.; Leong, L.P.; Koh, J.H.W. Antioxidant activities of aqueous extracts of selected plants. Food Chem. 2006, 99, 775–783. [Google Scholar] [CrossRef]
- Simsek, S.; El, S.N. In Vitro starch digestibility, estimated glycemic index and antioxidant potential of taro (Colocasia esculenta L. Schott) corm. Food Chem. 2015, 168, 257–261. [Google Scholar] [CrossRef] [PubMed]
- Du, S.-K.; Jiang, H.; Yu, X.; Jane, J.-l. Physicochemical and functional properties of whole legume flour. LWT-Food Sci. Technol. 2014, 55, 308–313. [Google Scholar] [CrossRef]
- Marand, M.A.; Amjadi, S.; Marand, M.A.; Roufegarinejad, L.; Jafari, S.M. Fortification of yogurt with flaxseed powder and evaluation of its fatty acid profile, physicochemical, antioxidant, and sensory properties. Powder Technol. 2020, 359, 76–84. [Google Scholar] [CrossRef]
- Zambrano-Zaragoza, M.D.L.L.; Mercado-Silva, E.; Del Real Lopez, A.; Gutiérrez-Cortez, E.; Cornejo-Villegas, M.; Quintanar-Guerrero, D. The effect of nano-coatings with α-tocopherol and xanthan gum on shelf-life and browning index of fresh-cut “Red Delicious” apples. Innov. Food Sci. Emerg. Technol. 2014, 22, 188–196. [Google Scholar] [CrossRef]
- Kim, M.J.; Kim, S.S. Antioxidant and antiproliferative activities in immature and mature wheat kernels. Food Chem. 2016, 196, 638–645. [Google Scholar] [CrossRef]
- Kim, M.J.; Kim, S.S. Utilisation of immature wheat flour as an alternative flour with antioxidant activity and consumer perception on its baked product. Food Chem. 2017, 232, 237–244. [Google Scholar] [CrossRef]
- Chen, Z.; Wang, P.; Weng, Y.; Ma, Y.; Gu, Z.; Yang, R. Comparison of phenolic profiles, antioxidant capacity and relevant enzyme activity of different Chinese wheat varieties during germination. Food Biosci. 2017, 20, 159–167. [Google Scholar] [CrossRef]
- Güner, A.; Kızılşahin, S.; Nalbantsoy, A.; Yavaşoğlu, N.; Ülkü, K. Apoptosis-inducing activity of safflower (Carthamus tinctorius L.) seed oil in lung, colorectal and cervix cancer cells. Biologia 2020, 75, 1465–1471. [Google Scholar] [CrossRef]
- Lin, T.-K.; Zhong, L.; Santiago, J.L. Anti-Inflammatory and Skin Barrier Repair Effects of Topical Application of Some Plant Oils. Int. J. Mol. Sci. 2017, 19, 70. [Google Scholar] [CrossRef]
- Affandi, N.; Zzaman, W.; Yang, T.A.; Easa, A.M. Production of Nigella sativa Beverage Powder under Foam Mat Drying Using Egg Albumen as a Foaming Agent. Beverages 2017, 3, 9. [Google Scholar] [CrossRef]
- Spence, C. Background colour & its impact on food perception & behaviour. Food Qual. Prefer. 2018, 68, 156–166. [Google Scholar] [CrossRef]



| Experiment No. | Coded Levels | Actual Values | |||
|---|---|---|---|---|---|
| X1 (HPE, g) | X2 (GW, g) | X1 (HPE, g) | X2 (GW, g) | Sunsik (g) | |
| 1 | −1 | −1 | 1 | 5 | 44 |
| 2 | 1 | −1 | 2 | 5 | 43 |
| 3 | −1 | 1 | 1 | 10 | 39 |
| 4 | 1 | 1 | 2 | 10 | 38 |
| 5 | α(−) | 0 | 0.79 | 7.5 | 41.71 |
| 6 | α(+) | 0 | 2.21 | 7.5 | 40.29 |
| 7 | 0 | α(−) | 1.5 | 3.96 | 44.54 |
| 8 | 0 | α(+) | 1.5 | 11.04 | 37.46 |
| 9 | 0 | 0 | 1.5 | 7.5 | 41 |
| 10 | 0 | 0 | 1.5 | 7.5 | 41 |
| 11 | 0 | 0 | 1.5 | 7.5 | 41 |
| 12 | 0 | 0 | 1.5 | 7.5 | 41 |
| 13 | 0 | 0 | 1.5 | 7.5 | 41 |
| Health Conscious Properties | Physicochemical Properties | |||||||||
|---|---|---|---|---|---|---|---|---|---|---|
| GABA | TFC | TPC | DPPH | TEAC | WAI | WSI | ΔΕ | BI | ||
| Constant | β0 | 2.09 | 30.99 | 70.57 | 106.59 | 120.16 | 1.85 | 48.44 | 0.2224 | 20.02 |
| Linear | β1 | 0.0170 | 1.11 | −0.32 | 3.71 ** | 1.34 | 0.0068 | −0.3332 * | −0.2736 ** | 0.2590 ** |
| β2 | 0.1031 ** | 3.03 *** | 2.21 * | 3.32 ** | 3.39 ** | −0.0196 * | 4.52 | 0.1071 * | 0.0150 | |
| Quadratic | β11 | 1.18 * | 2.39 ** | −0.0394 | 0.0882 * | −0.0362 *** | −0.1831 | |||
| β22 | −1.45 * | −3.46 ** | 0.0140 * | −4.61 | 0.2708 ** | −0.0531 | ||||
| Interaction | β12 | −1.47 | −2.80 | 0.0263 ** | −2.03 | 0.1384 | 0.0061 | |||
| R2 | 0.546 | 0.889 | 0.487 | 0.886 | 0.563 | 0.828 | 0.583 | 0.952 | 0.702 | |
| Adjusted R2 | 0.455 | 0.809 | 0.384 | 0.804 | 0.476 | 0.805 | 0.285 | 0.917 | 0.489 | |
| Lack of Fit (p value) | 0.196 | 0.745 | 0.052 | 0.094 | 0.228 | 0.533 | 0.041 | 0.452 | 0.193 | |
| p value | 0.019 | 0.003 | 0.004 | 0.003 | 0.015 | 0.013 | 0.203 | 0.0002 | 0.075 | |
| Experiment No. | GABA ** (Y1, µg/g) | TFC *** (Y2, µg CE/g) | TPC *** (Y3, µg GE/100 g) | DPPH * (Y4, µM TE/100 g) | TEAC * (Y5, mM TE/100 g) | |||
|---|---|---|---|---|---|---|---|---|
| HPE (g) | GW (g) | Sunsik (g) | ||||||
| 1 | 1 | 5 | 44 | 2.01 ± 0.09 ab | 26 ± 2.30 bc | 71 ± 2.23 cd | 96 ± 3.7 b | 113 ± 3.93 b |
| 2 | 2 | 5 | 43 | 2.00 ± 0.08 ab | 24 ± 1.21 c | 67 ± 0.44 f | 102 ± 2.9 ab | 114 ± 3.70 b |
| 3 | 1 | 10 | 39 | 2.19 ± 0.13 a | 29 ± 3.68 abc | 76 ± 0.88 a | 95 ± 3.1 ab | 122 ± 5.48 ab |
| 4 | 2 | 10 | 38 | 2.14 ± 0.16 a | 32 ± 3.34 ab | 74 ± 0.97 b | 110 ± 9.2 ab | 122 ± 3.30 ab |
| 5 | 0.79 | 7.5 | 41.71 | 1.98 ± 0.06 ab | 26 ± 0.92 abc | 69 ± 0.70 de | 96 ± 6.9 b | 116 ± 4.27 b |
| 6 | 2.21 | 7.5 | 40.29 | 2.12 ± 0.04 a | 31 ± 2.80 abc | 72 ± 0.09 c | 103 ± 9.4 b | 123 ± 2.86 ab |
| 7 | 1.5 | 3.96 | 44.54 | 1.81 ± 0.15 b | 22 ± 2.00 c | 68 ± 0.40 ef | 94 ± 6.9 ab | 119 ± 3.60 ab |
| 8 | 1.5 | 11.04 | 37.46 | 2.17 ± 0.08 a | 33 ± 3.48 abc | 72 ± 0.88 c | 107 ± 8.3 a | 127 ± 5.22 a |
| 9 | 1.5 | 7.5 | 41 | 2.09 ± 0.04 a | 30 ± 2.54 ab | 69 ± 0.99 de | 108 ± 8.8 ab | 120 ± 2.36 ab |
| 10 | 1.5 | 7.5 | 41 | 2.11 ± 0.11 a | 30 ± 1.43 ab | 68 ± 0.02 ef | 106 ± 1.8 ab | 123 ± 4.42 ab |
| 11 | 1.5 | 7.5 | 41 | 2.17 ± 0.11 a | 30 ± 1.90 abc | 69 ± 0.71 de | 105 ± 2.5 ab | 124 ± 4.95 ab |
| 12 | 1.5 | 7.5 | 41 | 2.16 ± 0.20 a | 33 ± 3.64 abc | 71 ± 0.07 cd | 105 ± 3.7 ab | 122 ± 4.76 ab |
| 13 | 1.5 | 7.5 | 41 | 2.25 ± 0.12 a | 33 ± 2.32 abc | 71 ± 0.94 cd | 109 ± 8.5 ab | 119 ± 7.35 ab |
| Experiment No. | WAI | WSI (%) *** | ΔΕ *** | BI ** | |||
|---|---|---|---|---|---|---|---|
| HPE (g) | GW (g) | Sunsik (g) | |||||
| 1 | 1 | 5 | 44 | 1.88 ± 0.06 | 42 ± 1.92 d | 0.72 ± 0.18 ab | 19.4 ± 0.35 c |
| 2 | 2 | 5 | 43 | 1.95 ± 0.04 | 41 ± 1.01 d | 0.22 ± 0.06 bc | 20.2 ± 0.38 ab |
| 3 | 1 | 10 | 39 | 1.91 ± 0.02 | 41 ± 0.49 d | 1.12 ± 0.24 abc | 20.0 ± 0.39 abc |
| 4 | 2 | 10 | 38 | 1.82 ± 0.12 | 40 ± 0.33 d | 0.48 ± 0.08 b | 20.1 ± 0.20 ab |
| 5 | 0.79 | 7.5 | 41.71 | 1.86 ± 0.04 | 41 ± 1.17 d | 1.13 ± 0.27 ab | 19.5 ± 0.34 bc |
| 6 | 2.21 | 7.5 | 40.29 | 1.91 ± 0.02 | 40 ± 1.26 d | 0.39 ± 0.12 b | 20.4 ± 0.32 a |
| 7 | 1.5 | 3.96 | 44.54 | 1.92 ± 0.08 | 32 ± 0.23 e | 0.43 ± 0.04 b | 20.3 ± 0.31 ab |
| 8 | 1.5 | 11.04 | 37.46 | 1.89 ± 0.02 | 59 ± 0.63 a | 0.56 ± 0.16 b | 19.9 ± 0.23 abc |
| 9 | 1.5 | 7.5 | 41 | 1.86 ± 0.06 | 49 ± 1.12 c | 0.23 ± 0.02 bc | 20.2 ± 0.23 ab |
| 10 | 1.5 | 7.5 | 41 | 1.89 ± 0.05 | 53 ± 2.11 b | 0.06 ± 0.03 c | 20.2 ± 0.05 ab |
| 11 | 1.5 | 7.5 | 41 | 1.83 ± 0.05 | 46 ± 1.89 c | 0.24 ± 0.04 bc | 20.0 ± 0.11 abc |
| 12 | 1.5 | 7.5 | 41 | 1.83 ± 0.01 | 48 ± 1.95 c | 0.29 ± 0.07 bc | 19.8 ± 0.09 abc |
| 13 | 1.5 | 7.5 | 41 | 1.84 ± 0.08 | 46 ± 1.93 c | 0.30 ± 0.06 bc | 19.9 ± 0.01 abc |
| Responses | Optimized Formulation | |||
|---|---|---|---|---|
| Goal | Predicted Values | Actual Values | Error (%) | |
| GABA (Y1, μg/g) | Maximize | 2.21 | 2.23 ± 0.04 | 0.9 |
| TFC (Y2, μg CE g) | Maximize | 33.39 | 33.75 ± 0.25 | 1.07 |
| TPC (Y3, μg GE/100g) | Maximize | 72.56 | 73.26 ± 0.46 | 0.97 |
| DPPH (Y4, µM TE/100g) | Maximize | 110 | 112 ± 0.58 | 2.12 |
| TEAC (Y5, mM TE/100g) | Maximize | 124 | 125 ± 0.58 | 0.54 |
| WAI (Y6) | Minimize | 1.84 | 1.80 ± 0.03 | 2.44 |
| WSI (Y7) | Maximize | 49.2 | 48.52 ± 1.28 | 0.25 |
| ∆E (Y8) | Minimize | 0.38 | 0.25 ± 0.03 | 11.71 |
| BI (Y9) | Minimize | 20.06 | 20.42 ± 0.12 | 1.61 |
| Commercial Sunsik | Optimized Sunsik | ||
|---|---|---|---|
| Health conscious properties | GABA (μg/g) *** | 1.7 ± 0.09 b | 2.23 ± 0.04 a |
| TFC (μg CE/g) *** | 19.8 ± 1.72 b | 33.75 ± 0.25 a | |
| TPC (μg GE/100g) *** | 54.4 ± 3.57 b | 73.26 ± 0.46 a | |
| DPPH (µM TE/100g) *** | 77.3 ± 2.06 b | 112 ± 0.58 a | |
| TEAC (mM TE/100g) *** | 96.9 ± 3.27 b | 125 ± 0.58 a | |
| EC50 for Caco-2 cell (mg/mL) *** | 97.4 ± 4.2 a | 45.7 ± 1.6 b | |
| EC50 for HepG2 cell (mg/mL) *** | 76.2 ± 3.8 a | 35.2 ± 2.5 b | |
| Physicochemical properties | WAI *** | 3.6 ± 0.03 a | 1.80 ± 0.03 b |
| WSI (%) *** | 7.4 ± 0.1 b | 48.52 ± 1.28 a | |
| Apparent viscosity (cP) *** | 294 ± 2.87 a | 47 ± 4.42 b | |
Publisher’s Note: MDPI stays neutral with regard to jurisdictional claims in published maps and institutional affiliations. |
© 2020 by the authors. Licensee MDPI, Basel, Switzerland. This article is an open access article distributed under the terms and conditions of the Creative Commons Attribution (CC BY) license (http://creativecommons.org/licenses/by/4.0/).
Share and Cite
Kim, B.R.; Park, S.S.; Youn, G.-J.; Kwak, Y.J.; Kim, M.J. Characteristics of Sunsik, a Cereal-Based Ready-to-Drink Korean Beverage, with Added Germinated Wheat and Herbal Plant Extract. Foods 2020, 9, 1654. https://doi.org/10.3390/foods9111654
Kim BR, Park SS, Youn G-J, Kwak YJ, Kim MJ. Characteristics of Sunsik, a Cereal-Based Ready-to-Drink Korean Beverage, with Added Germinated Wheat and Herbal Plant Extract. Foods. 2020; 9(11):1654. https://doi.org/10.3390/foods9111654
Chicago/Turabian StyleKim, Bo Ram, Seung Soo Park, Geum-Joung Youn, Yeon Ju Kwak, and Mi Jeong Kim. 2020. "Characteristics of Sunsik, a Cereal-Based Ready-to-Drink Korean Beverage, with Added Germinated Wheat and Herbal Plant Extract" Foods 9, no. 11: 1654. https://doi.org/10.3390/foods9111654
APA StyleKim, B. R., Park, S. S., Youn, G.-J., Kwak, Y. J., & Kim, M. J. (2020). Characteristics of Sunsik, a Cereal-Based Ready-to-Drink Korean Beverage, with Added Germinated Wheat and Herbal Plant Extract. Foods, 9(11), 1654. https://doi.org/10.3390/foods9111654

