New Approach Studying Interactions Regarding Trade-Off between Beef Performances and Meat Qualities
Abstract
1. Introduction
2. Materials and Methods
2.1. Data
2.1.1. Animals
2.1.2. Animal Slaughtering Process
2.1.3. Nutritional Quality Measurement
2.1.4. Organoleptic Quality Measurement
2.2. Modelization
2.2.1. Pre-Treatment of the Variables
2.2.2. Variable Relations Modeling
2.2.3. Study of the Relationships Modeled
2.3. Trade-Offs Methodology
2.3.1. Aggregation of the Variable Evaluating the Parameters of Interest
2.3.2. Generation of Virtual Animals
2.3.3. Statistical Analysis
3. Results
3.1. Pre-Treatment of the Variables
3.2. Choice and Quality of the Prediction Models
3.3. Examination of Models Behavior
3.4. Global Relation between Nutritional and Organoleptic Quality
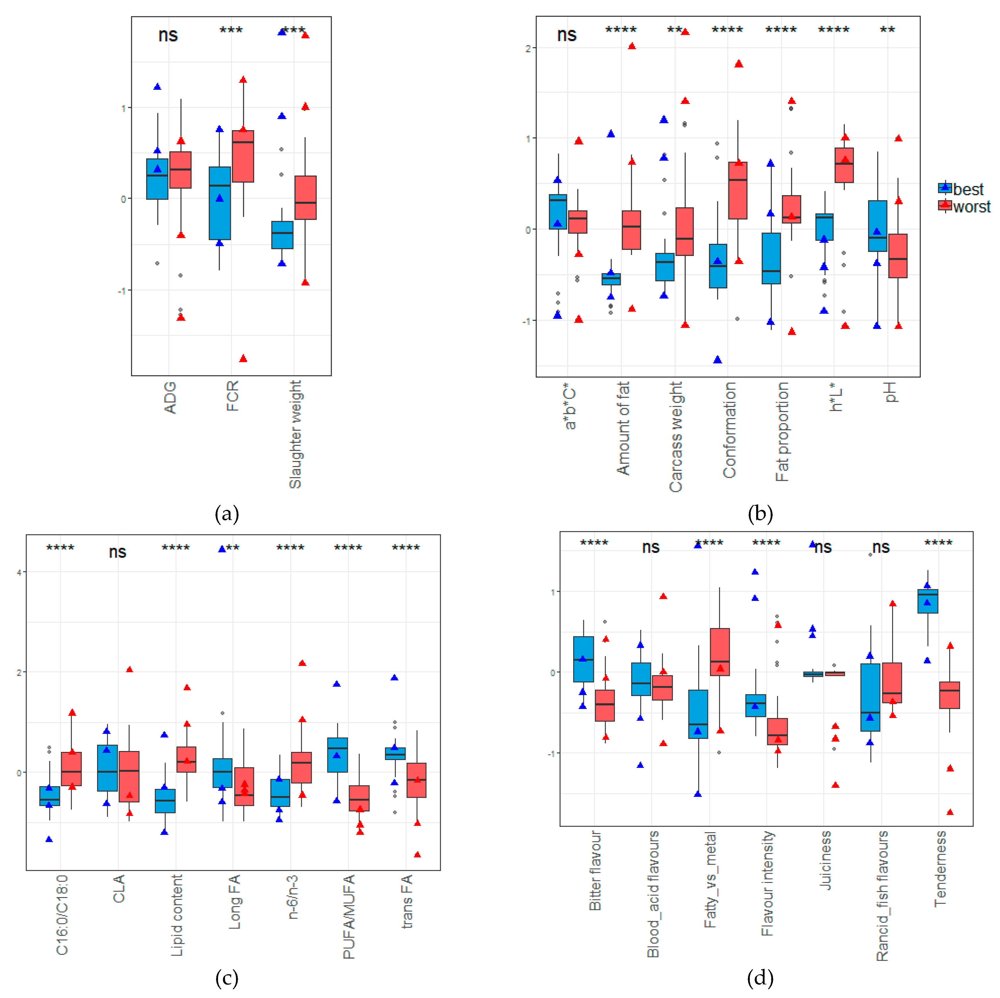
3.5. Comparison between the Best and the Worst Profile
4. Discussion
4.1. Modeling and Analytic Choices
4.2. Outcome from the Holistic Approach
4.3. Limits and Perspectives of the Trade-Off Method
5. Conclusions
Author Contributions
Funding
Acknowledgments
Conflicts of Interest
Appendix A
| Variable | Precision and Units | Cluster Codification | Correlation with the Cluster Synthetic Index |
|---|---|---|---|
| Slaughter weight | Slaughter day weight | - | - |
| ADG | Average daily gain (kg/day) during the fattening period (100 days) | - | - |
| FCR | Feed conversion ratio (DM intake/ADG) | - | - |
| Carcass weight | Carcass weight (kg) | CP1 | −0.96 |
| Conformation | EUROP conformation (from 1 (P−) to 15 (E+)) | CP2 | 1 |
| Body fat score | Body fat score at slaughter (from 1 to 5) | CP3 | −0.74 |
| Pelvis fat | (kg) | CP4 | 0.79 |
| Kidney fat | (kg) | CP4 | 0.92 |
| Trimming fat | (kg) | CP4 | 0.84 |
| Total fat | (kg) | CP4 | 0.99 |
| Eliminated fat | (kg) | CP4 | 0.98 |
| Intramuscular fat score | Score from 3 (no trace of fat) to 12 (extremely fat) | CP5 | −0.75 |
| Intermuscular fat score | Score from 0 (without intermuscular fat) to 5 (high intermuscular fat) | CP5 | −0.87 |
| pH | pH | CP1 | 0.81 |
| Meat color score | Score from 1 (very light) to 4 (very red) | CP3 | 0.74 |
| L* | from black (0) to white (100) of the CIE L*a*b* coordinates system | CP3 | −0.81 |
| a* | from green (−) to red (+) of the CIE L*a*b* coordinates system | CP6 | 0.99 |
| b* | from blue (−) to yellow (+) of the CIE L*a*b* coordinates system | CP6 | 0.98 |
| C* | The chroma of the CIE L*C*h* coordinates system | CP6 | 1 |
| h* | The hue angle of the CIE L*C*h* coordinates system | CP3 | −0.85 |
| Muscle proportion | Muscle proportion into the carcass | CP5 | 0.91 |
| Fat proportion | Fat proportion into the carcass | CP5 | −0.95 |
| Bone proportion | Bone proportion into the carcass | CP1 | 0.97 |
| Lipid content | Lipid content into LT muscle | - | - |
| C16:0 | (%/total FA) | NQ3 | −0.88 |
| C18:0 | (%/total FA) | NQ2 | 0.95 |
| SFA | (%/total FA) | NQ3 | -0.86 |
| C18:1 cis9 | (%/total FA) | NQ4 | −0.94 |
| MUFA cis | Sum of all MUFAcis (%/total FA) | NQ4 | −0.93 |
| C18:1 tr9 | (%/total FA) | NQ5 | 0.61 |
| C18:1 tr10 | (%/total FA) | NQ6 | 0.98 |
| C18:1 tr11 | (%/total FA) | NQ5 | 0.92 |
| MUFA trans | Sum of all MUFA trans (%/total FA) | NQ6 | 0.98 |
| Total MUFA | Sum of all MUFA (%/total FA) | NQ4 | −0.92 |
| LA | Linoleic acid C18:2 n-6 en (%/total FA) | NQ4 | 0.95 |
| C20:4 n-6 | C20:4 n-6 (%/total FA) | NQ4 | 0.80 |
| Total n-6 | Sum of all PUFA n-6 (%/total FA) | NQ4 | 0.97 |
| ALA | Linolenic acid C18:3 n-3 (%/total FA) | NQ3 | 0.92 |
| EPA | C14:0 (%/total FA) | NQ4 | 0.93 |
| DPA | C14:0 (%/total FA) | NQ4 | 0.89 |
| Total n-3 LC | Sum of all long-chain FA n-3 (%/total FA) | NQ4 | 0.91 |
| Total n-3 | Sum of all FA n-3 (%/total FA) | NQ3 | 0.90 |
| LC FA content | Content of all the long-chain FA | NQ1 | 0.98 |
| LC FA prop | Sum of all the long chain FA (%/total FA) | NQ1 | 0.98 |
| CLA | Conjugated linoleic acid C18:2 9cis 11trans (%/total FA) | NQ5 | 0.97 |
| total CLA | Sum of all the conjugated FA (%/total FA) | NQ5 | 0.96 |
| Total PUFA | Sum of PUFA (%/total FA) | NQ4 | 0.94 |
| n-6/n-3 | n-6 PUFA/n-3 PUFA ratio (%/total FA) | NQ3 | −0.89 |
| LA/ALA | C18:2 n-6/C18:3 n-3 ratio (%/total FA) | NQ3 | −0.87 |
| PUFA /SFA | PUFA/SFA ratio (%/total FA) | NQ4 | 0.93 |
| C16:0/C18:0 | C16:0/C18:0 ratio (%/total FA) | NQ2 | −0.95 |
| Tenderness intensity | Score from 1 (very hard) to 100 (very tender) | - | - |
| Juiciness intensity | Score from 1 (very dry) to 100 (very juicy) | - | - |
| Flavor intensity | Score from 1 (low intensity) to 100 (high intensity) | OQ1 | −0.82 |
| Sweet | Score from 1 (not sweet) to 100 (very sweet) | OQ1 | −0.82 |
| Acid | Score from 1 (not acid) to 100 (very acid) | OQ5 | −0.85 |
| Bitter | Score from 1 (no bitter) to 100 (very bitter) | OQ2 | 1 |
| Metallic taste | Score from 1 (low metallic taste) to 100 (strong metallic taste) | OQ4 | 0.80 |
| Rancid taste | Score from 1 (low rancid taste) to 100 (strong rancid taste) | OQ3 | 0.88 |
| Fat taste | Score from 1 (low metallic fat) to 100 (strong fat taste) | OQ4 | −0.80 |
| Fish taste | Score from 1 (low fish taste) to 100 (strong fish taste) | OQ3 | 0.88 |
| Blood taste | Score from 1 (low blood taste) to 100 (strong blood taste) | OQ5 | −0.85 |
Appendix B

References
- FranceAgriMer. Les Filières Animales Terrestres et Aquatiques Bilan 2013 Perspectives 2014; FranceAgriMer: Paris, France, 2014. [Google Scholar]
- Ellies-Oury, M.P.; Cantalapiedra-Hijar, G.; Durand, D.; Gruffat, D.; Listrat, A.; Micol, D.; Ortigues-Marty, I.; Hocquette, J.F.; Chavent, M.; Saracco, J. An innovative approach combining animal performances, nutritional value and sensory quality of meat. Meat Sci. 2016, 122, 163–172. [Google Scholar] [CrossRef] [PubMed]
- Jeremiah, L.E.; Dugan, M.E.R.; Aalhus, J.L.; Gibson, L.L. Assessment of the relationship between chemical components and palatability of major beef muscles and muscle groups. Meat Sci. 2003, 65, 1013–1019. [Google Scholar] [CrossRef]
- Thompson, J.M. The effects of marbling on flavour and juiciness scores of cooked beef, after adjusting to a constant tenderness. Austral. J. Exp. Agric. 2004, 44, 645–652. [Google Scholar] [CrossRef]
- Wood, J.D.; Enser, M.; Fisher, A.V.; Nute, G.R.; Sheard, P.R.; Richardson, R.I.; Hughes, S.I.; Whittington, F.M. Fat deposition, fatty acid composition and meat quality: A review. Meat Sci. 2008, 78, 343–358. [Google Scholar] [CrossRef] [PubMed]
- Tables Inra. Alimentation des Bovins, Ovins et Caprins. Besoin des Animaux—Valeurs des Aliments; Quae: Versailles, France, 2007. [Google Scholar]
- FranceAgriMer. Pesée/Classement/Marquage; Guide Technique et Reglementaire; FranceAgriMer: Paris, France, 2010. [Google Scholar]
- Robelin, J.; Geay, Y.; Jailler, R.; Cuylle, G. Estimation de la composition des carcasses de jeunes bovins à partir de la composition d’un morceau monocostal prélevé au niveau de la 11e côte. I.—Composition anatomique de la carcasse. Ann. Zootech. 1975, 24, 391–402. [Google Scholar] [CrossRef]
- Wellington, G.H.; Stouffer, J.R. Beef Marbling: Its Estimation and Influence on Tenderness and Juiciness, 941; Cornell University Agricultural Experiment Station: Ithaca, NY, USA, 1959. [Google Scholar]
- Hunt, M.C.; Acton, J.C.; Benedict, R.C.; Calkins, C.R.; Cornforth, D.P.; Jeremiah, L.E.; Olson, D.G.; Salm, C.P.; Savell, J.W.; Shivas, S.D. Guidelines for Meat Color Evaluation; American Meat Science Association, Kansas State University: Manhattan, KS, USA, 1991; pp. 1–17. [Google Scholar]
- McLaren, K. An introduction to instrumental shade passing and sorting and a review of recent developments. J. Soc. Dye. Colour. 1976, 92, 317–326. [Google Scholar] [CrossRef]
- Habeanu, M.; Thomas, A.; Bispo, E.; Gobert, M.; Gruffat, D.; Durand, D.; Bauchart, D. Extruded linseed and rapeseed both influenced fatty acid composition of total lipids and their polar and neutral fractions in longissimus thoracis and semitendinosus muscles of finishing Normand cows. Meat Sci. 2014, 96, 99–107. [Google Scholar] [CrossRef]
- Folch, J.; Lees, M.; Stanley, G.H.S. A simple method for the isolation and purification of total lipides from animal tissues. J. Biol. Chem. 1957, 226, 497–509. [Google Scholar]
- Bauchart, D.; Gobert, M.; Habeanu, M.; Parafita, E.; Gruffat, D.; Durand, D. Influence des acides gras polyinsaturés n-3 et des antioxydants alimentaires sur les acides gras de la viande et la lipoperoxydation chez le bovin en finition. Cah. Nutr. Diététique 2010, 45, 301–309. [Google Scholar] [CrossRef]
- Scislowski, V.; Durand, D.; Gruffat, D.; Bauchart, D. Dietary linoleic acid-induced hypercholesterolemia and accumulation of very light HDL in steers. Lipids 2004, 39, 125–133. [Google Scholar] [CrossRef]
- Chavent, M.; Kuentz-Simonet, V.; Liquet, B.; Saracco, J. ClustOfVar: An R Package for the Clustering of Variables. J. Stat. Softw. 2012, 50, 1–16. [Google Scholar] [CrossRef]
- Monteils, V.; Sibra, C.; Ellies-Oury, M.P.; Botreau, R.; de la Torre, A.; Laurent, C. A set of indicators to better characterize beef carcasses at the slaughterhouse level in addition to the EUROP system. Livest. Sci. 2017, 202, 44–51. [Google Scholar] [CrossRef]
- Pereira, P.M.C.C.; Vicente, A.F.R.B. Meat nutritional composition and nutritive role in the human diet. Meat Sci. 2013, 93, 586–592. [Google Scholar] [CrossRef]
- Williams, C.M. Dietary fatty acids and human health. Ann. Zootech. 2000, 49, 165–180. [Google Scholar] [CrossRef]
- Williams, C.M. Nutritional composition of red meat. Nutr. Diet. 2007. [Google Scholar] [CrossRef]
- Polkinghorne, R.; Philpott, J.; Gee, A.; Doljanin, A.; Innes, J. Development of a commercial system to apply the Meat Standards Australia grading model to optimise the return on eating quality in a beef supply chain. Austral. J. Exp. Agric. 2008, 48, 1451–1458. [Google Scholar] [CrossRef]
- Ellies-Oury, M.P.; Chavent, M.; Conanec, A.; Bonnet, M.; Picard, B.; Saracco, J. A relevant way based on variable importance for biomarkers selection to predict meat tenderness. Sci. Rep. 2019. under review. [Google Scholar]
- Harrell, F.; Lee, K.; Mark, D. Multivariable prognostic models: issues in developing models, evaluating assumptions and adequacy, and measuring and reducing errors. Stat. Med. 1996, 15, 361–387. [Google Scholar] [CrossRef]
- Sobol, I. Global sensitivity indices for nonlinear mathematical models and their Monte Carlo estimates. Math. Comput. Simul. 2001, 55, 271–280. [Google Scholar] [CrossRef]
- Iooss, B.; Janon, A.; Pujol, G. Sensitivity: Global Sensitivity Analysis of Model Outputs. R Package Version 1.15.2. Available online: https://CRAN.R-project.org/package=sensitivity (accessed on 6 June 2019).
- Yang, X.J.; Albrecht, E.; Ender, K.; Zhao, R.Q.; Wegner, J. Computer image analysis of intramuscular adipocytes and marbling in the longissimus muscle of cattle. J. Anim. Sci. 2006, 84, 3251–3258. [Google Scholar] [CrossRef]
- Mancini, R.A.; Hunt, M. Current research in meat color. Meat Sci. 2005, 71, 100–121. [Google Scholar] [CrossRef]
- ANSES. Actualisation des Apports Nutritionnels Conseillés Pour les Acides Gras; 2006-SA-0359; ANC AG; ANSES: Maisons-Alfort, France, 2006. [Google Scholar]
- Breiman, L. Random forests. Mach. Learn. 2001, 45, 5–32. [Google Scholar] [CrossRef]
- Warren, H.E.; Scollan, N.D.; Enser, M.; Hughes, S.I.; Richardson, R.I.; Wood, J.D. Effects of breed and a concentrate or grass silage diet on beef quality in cattle of 3 ages. I: Animal performance, carcass quality and muscle fatty acid composition. Meat Sci. 2008, 78, 256–269. [Google Scholar] [CrossRef] [PubMed]
- De Smet, S.; Raes, K.; Demeyer, D. Meat fatty acid composition as affected by fatness and genetic factors: A review. Anim. Res. 2004, 53, 81–98. [Google Scholar] [CrossRef]
- Bonny, S.P.F.; Hocquette, J.-F.; Pethick, D.W.; Farmer, L.J.; Legrand, I.; Wierzbicki, J.; Allen, P.; Polkinghorne, R.J.; Gardner, G.E. The variation in the eating quality of beef from different sexes and breed classes cannot be completely explained by carcass measurements. Animal 2016, 10, 987–995. [Google Scholar] [CrossRef]
- Maniaval, O. Une Nouvelle Utilisation Zootechnique de L’échographie: Estimation de L’état Corporel des Bovins; Application sur Quarante Blondes D’aquitaine en Période D’engraissement. Ph.D. Thesis, Ecole Nationale Vétérinaire de Toulouse—ENVT, Toulouse, France, 2008. [Google Scholar]
- Roy, B. The outranking approach and the foundations of ELECTRE methods. In Readings in Multiple Criteria Decision Aid; Springer: London, UK, 1990; pp. 155–183. ISBN 978-3-642-75935-2. [Google Scholar]






| Parameter of Interest NQ | Weights | Parameter of Interest OQ | Weights |
|---|---|---|---|
| lipid content | −0.15 | tenderness | +0.425 |
| long FA | +0.05 | juiciness | +0.150 |
| C16:0/C18:0 ratio | −0.15 | flavor intensity | +0.175 |
| n-6/n-3 ratio | −0.25 | bitter flavor | −0.025 |
| PUFA/MUFA ratio | +0.25 | rancid and fish flavors | −0.125 |
| CLA | 0.1 | fatty vs. metal | −0.050 |
| trans FA | −0.05 | blood and acid flavors | −0.050 |
| Total (in absolute value) | 1 | Total (in absolute value) | 1 |
| PI | Cluster Codification | Output Variables Name/Abbreviation | Output Variables Description |
|---|---|---|---|
| Animal Performances (AP) | - | Slaughter weight | Slaughter weight |
| - | ADG | Average daily gain during the finishing period | |
| - | FCR | Feed conversion ratio (ADG/feed intake (DM)) | |
| Carcass properties (CP) | CP1 | Carcass weight | Carcass weight |
| pH | Ultimate pH at 24 h post mortem | ||
| CP2 | Conformation | Carcass conformation | |
| CP3 | h*L* | Aggregation of hue (h*), luminosity (L*) of carcass lean, and expert evaluation of carcass muscle color | |
| CP4 | Fat development | Aggregation of several fat tissues (in the fifth quarter, carcass fat, etc.) | |
| CP5 | Fat proportion | Fat percentage relative to the other components of the carcass (bone and muscle), aggregate with intermuscular and intramuscular fat score | |
| CP6 | a*b*C* | a*, b*, and chroma (C*) of carcass lean | |
| Nutritional Quality of meat (NQ) | - | Lipid content | Lipid content |
| NQ1 | Long FA | Long-chain fatty acid amount and proportion | |
| NQ2 | C16:0/C18:0 | C16:0/C18:0 ratio | |
| NQ3 | n-6/n-3 | n-6/n-3 ratio | |
| NQ4 | PUFA/MUFA | Polyunsaturated fatty acids/Monounsaturated fatty acids ratio | |
| NQ5 | CLA | Conjugated linoleic acids | |
| NQ6 | Trans FA | Trans fatty acids | |
| Organoleptic Quality (OQ) | - | Tenderness | Tenderness |
| - | Juiciness | Juiciness | |
| OQ1 | Flavor intensity | Flavor intensity | |
| OQ2 | Bitter flavor | Bitter flavor | |
| OQ3 | Rancid fish | Flavors rancid and fish flavors | |
| OQ4 | Fatty vs metal | Fatty versus metallic flavors | |
| OQ5 | Blood acid flavors | Blood acid flavors |
© 2019 by the authors. Licensee MDPI, Basel, Switzerland. This article is an open access article distributed under the terms and conditions of the Creative Commons Attribution (CC BY) license (http://creativecommons.org/licenses/by/4.0/).
Share and Cite
Conanec, A.; Picard, B.; Durand, D.; Cantalapiedra-Hijar, G.; Chavent, M.; Denoyelle, C.; Gruffat, D.; Normand, J.; Saracco, J.; Ellies-Oury, M.-P. New Approach Studying Interactions Regarding Trade-Off between Beef Performances and Meat Qualities. Foods 2019, 8, 197. https://doi.org/10.3390/foods8060197
Conanec A, Picard B, Durand D, Cantalapiedra-Hijar G, Chavent M, Denoyelle C, Gruffat D, Normand J, Saracco J, Ellies-Oury M-P. New Approach Studying Interactions Regarding Trade-Off between Beef Performances and Meat Qualities. Foods. 2019; 8(6):197. https://doi.org/10.3390/foods8060197
Chicago/Turabian StyleConanec, Alexandre, Brigitte Picard, Denis Durand, Gonzalo Cantalapiedra-Hijar, Marie Chavent, Christophe Denoyelle, Dominique Gruffat, Jérôme Normand, Jérôme Saracco, and Marie-Pierre Ellies-Oury. 2019. "New Approach Studying Interactions Regarding Trade-Off between Beef Performances and Meat Qualities" Foods 8, no. 6: 197. https://doi.org/10.3390/foods8060197
APA StyleConanec, A., Picard, B., Durand, D., Cantalapiedra-Hijar, G., Chavent, M., Denoyelle, C., Gruffat, D., Normand, J., Saracco, J., & Ellies-Oury, M.-P. (2019). New Approach Studying Interactions Regarding Trade-Off between Beef Performances and Meat Qualities. Foods, 8(6), 197. https://doi.org/10.3390/foods8060197

