Assessment of Thermosonication as Postharvest Treatment Applied on Whole Tomato Fruits: Optimization and Validation †
Abstract
1. Introduction
2. Materials and Methods
2.1. Plant Material
2.2. Thermosonication Treatment
2.3. Experimental Design
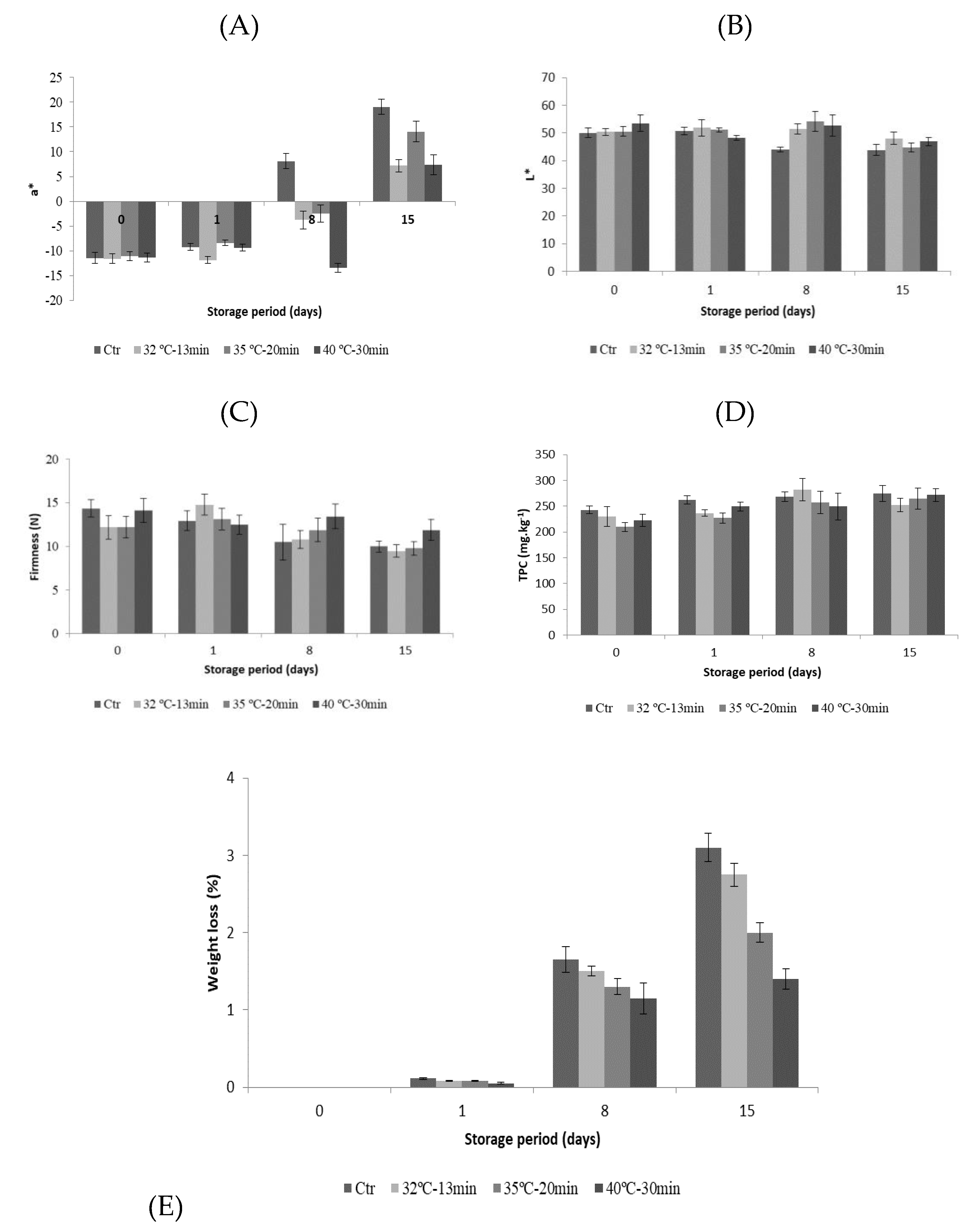
2.4. Evaluation of Optimized Thermosonication Conditions
2.5. Quality Attributes Evaluation
2.5.1. Color
2.5.2. Texture
2.5.3. Total Phenolic Content (TPC)
2.5.4. Weight Loss (WL)
2.5.5. Sensory Analysis
2.6. Statistical Analysis
2.6.1. Model Fitting and Statistical Analysis
2.6.2. Quality Assessment of Untreated Samples and TS-Treated at Optimal Treatment Conditions
3. Results and Discussion
3.1. Model Fitting
3.2. Response Surface Analysis
3.2.1. Effect of Thermosonication on Tomato Color
3.2.2. Effect of Thermosonication on Tomato Texture
3.2.3. Effect of Thermosonication on Tomato Total Phenolic Content
3.2.4. Effect of Thermosonication on Tomato Weight Loss
3.3. Thermosonication Treatment Condition Optimization and Validation
4. Conclusions
Author Contributions
Funding
Conflicts of Interest
References
- International Fresh-Cut Produce Association IFPA. Wash water sanitation. In Food Safety Guidelines for the Fresh-Cut Produce Industry; Gorny, J.R., Ed.; International Fresh-Cut Produce Association: Alexandria, VA, USA, 2001; pp. 121–136. [Google Scholar]
- Soto-Zamora, G.; Yahia, E.M.; Brecht, J.K.; Gardea, A. Effects of postharvest hot air treatments on the quality and antioxidant levels in tomato fruit. J. Food Sci. Tech. 2005, 38, 657–663. [Google Scholar] [CrossRef]
- Fallik, E. Prestorage hot water treatments (immersion, rinsing and brushing). Postharvest Biol. Technol. 2004, 32, 125–134. [Google Scholar] [CrossRef]
- Pinheiro, J.; Silva, C.L.M.; Alegria, C.; Abreu, M.; Sol, M.; Gonçalves, E.M. Impact of water heat treatment on physical-chemical, biochemical and microbiological quality of whole tomato (Solanum Lycopersicum) fruit. Acta Hortic. 2012, 934, 1269–1276. [Google Scholar] [CrossRef]
- Varit, S.; Songsin, P. Effects of hot water treatments on the physiology and quality of ‘Kluai Khai’ banana. Food Res. Int. 2011, 18, 1013–1016. [Google Scholar]
- Dotto, M.C.; Pombo, M.A.; Martínez, G.A.; Civello, P.M. Heat treatments and expansin gene expression in strawberry fruit. Sci. Hortic. 2011, 130, 775–780. [Google Scholar] [CrossRef]
- Seymour, I.J.; Burfoot, D.; Smith, R.L.; Cox, L.A.; Lockwood, A. Ultrasound decontamination of minimally processed fruit and vegetables. Int. J. Food Sci. Tech. 2002, 37, 547–557. [Google Scholar] [CrossRef]
- Huang, T.; Xu, C.; Walker, K.; West, P.; Zhang, S.; Weese, J. Decontamination efficacy of combined chlorine dioxide with ultrasonication on apples and lettuce. J. Food Sci. 2006, 71, 134–139. [Google Scholar] [CrossRef]
- Chen, Z.; Zhu, C. Combined effects of aqueous chlorine dioxide and ultrasonic treatments on postharvest storage quality of plum fruit (Prunus salicina L.). Postharvest Biol. Technol. 2011, 61, 117–123. [Google Scholar] [CrossRef]
- Bhat, R.; Kamaruddin, N.S.B.C.; Min-Tze, L.; Karim, A.A. Sonication improves kasturi lime (Citrus microcarpa) juice quality. Ultrason. Sonochem. 2011, 18, 1295–1300. [Google Scholar] [CrossRef]
- Alegria, C.; Pinheiro, J.; Gonçalves, E.M.; Fernandes, I.; Moldão, M.; Abreu, M. Quality attributes of shredded carrot (Daucus carota L. cv. Nantes) as affected by alternative decontamination processes to chlorine. Innov. Food Sci. Emerg. Technol. 2009, 10, 61–69. [Google Scholar] [CrossRef]
- D´Amico, D.J.; Todd, M.S.; Wu, J.; Mingruo, G. Inactivation of microorganisms in milk and apple cider treated with ultrasound. J. Food Prot. 2006, 69, 556–563. [Google Scholar] [CrossRef] [PubMed]
- Cao, S.; Hu, Z.; Pang, B. Optimization of postharvest ultrasonic treatment of strawberry fruit. Postharvest Biol. Technol. 2010, 55, 150–153. [Google Scholar] [CrossRef]
- Meng, X.; Zhang, M.; Adhikari, B. The effects of ultrasound treatment and nano-zinc oxide coating on the physiological activities of fresh-cut kiwifruit. Food Bioprocess. Tech. 2014, 7, 126–132. [Google Scholar] [CrossRef]
- Scouten, A.J.; Beuchat, L.R. Combined effects of chemical, heat and ultrasound treatments to kill Salmonella and Escherichia coli O157:H7 on alfalfa seeds. J. Appl. Microbiol. 2002, 92, 668–674. [Google Scholar] [CrossRef] [PubMed]
- Alexandre, E.M.C.; Brandão, T.R.S.; Silva, C.L.M. Impact of non-thermal technologies and sanitizer solutions on microbial load reduction and quality factor retention of frozen red bell peppers. Innov. Food Sci. Emerg. Technol. 2013, 17, 199–205. [Google Scholar] [CrossRef]
- Cruz, R.M.S.; Vieira, M.C.; Silva, C.L.M. Effect of heat and thermosonication treatments on watercress (Nasturtium officinale) vitamin C degradation kinetics. Innov. Food Sci. Emerg. Technol. 2008, 9, 483–488. [Google Scholar] [CrossRef]
- Cruz, R.M.S.; Vieira, M.C.; Silva, C.L.M. Modelling kinetics of watercress (Nasturtium officinale) colour changes due to heat and thermosonication treatments. Innov. Food Sci. Emerg. Technol. 2007, 8, 244–252. [Google Scholar] [CrossRef]
- Wu, J.; Gamage, T.V.; Vilkhu, K.S.; Simons, L.K.; Mawson, R. Effect of thermosonication on quality improvement of tomato juice. Innov. Food Sci. Emerg. Technol. 2008, 9, 186–195. [Google Scholar] [CrossRef]
- Aguilar, K.; Garvin, A.; Ibarz, A.; Agusto, P.E.D. Ascorbic acid stability in fruit juices during thermosonication. Ultrason. Sonochem. 2017, 37, 375–381. [Google Scholar] [CrossRef]
- Cruz, R.M.S.; Vieira, M.C.; Silva, C.L.M. Effect of heat and thermosonication treatments on peroxidase inactivation kinetics in watercress (Nasturtium officinale). J. Food Eng. 2006, 72, 8–15. [Google Scholar] [CrossRef]
- Rawson, A.; Tiwari, B.K.; Patras, A.; Brunton, N.; Brennan, C.; Cullen, P.J.; O’Donnell, C. Effect of thermosonication on bioactive compounds in watermelon juice. Food Res. Int. 2011, 44, 1168–1173. [Google Scholar] [CrossRef]
- Muñoz, A.; Palgan, I.; Noci, F.; Morgan, D.J.; Cronin, D.A.; Whyte, P.; Lyng, J.G. Combinations of high intensity light pulses and thermosonication for the inactivation of Escherichia coli in orange juice. Food Microbiol. 2011, 28, 1200–1204. [Google Scholar] [CrossRef]
- Muñoz, A.; Caminiti, I.M.; Palgan, I.; Pataro, G.; Noci, F.; Morgan, D.J.; Cronin, D.A.; Whyte, P.; Ferrari, G.; Lyng, J.G. Effects on Escherichia coli inactivation and quality attributes in apple juice treated by combinations of pulsed light and thermosonication. Food Res. Int. 2012, 45, 299–305. [Google Scholar] [CrossRef]
- Abid, M.; Jabbar, S.; Hu, B.; Hashim, M.M.; Wu, T.; Lei, S.; Khan, M.A.; Zeng, X. Thermosonication as a potential quality enhancement technique of apple juice. Ultrason. Sonochem. 2014, 21, 984–990. [Google Scholar] [CrossRef]
- Xu, X.; Gao, Y.X.; Liu, G.M.; Wang, Q.; Zhao, J. Optimization of supercritical carbon dioxide extraction of sea buckthorn (Hippopha thamnoides L.) oil using response surface methodology. LWT-Food Sci. Technol. 2008, 4, 1223–1231. [Google Scholar] [CrossRef]
- USDA. United States Standard for Grades of Fresh Tomatoes; United States Department of Agriculture, Agricultural Marketing Service: Washington, DC, USA, 1991. [Google Scholar]
- Pinheiro, J.; Alegria, C.; Abreu, M.; Gonçalves, E.M.; Silva, C.L.M. Kinetics of changes in the physical quality parameters of fresh tomato fruit (Solanum lycopersicum, cv. ‘Zinac’) during storage. J. Food Eng. 2013, 114, 338–345. [Google Scholar] [CrossRef]
- Montgomery, D.C. Introduction to Statistical Quality Control, 6th ed.; John Wiley & Sons, Inc.: Montgomery, NY, USA, 2009. [Google Scholar]
- Pinheiro, J.; Alegria, C.; Abreu, M.; Gonçalves, E.M.; Silva, C.L.M. Use of UV-C postharvest treatment for extending fresh whole tomato (Solanum lycopersicum, cv. Zinac) shelf-life. J. Food Sci. Technol. 2015, 52, 506. [Google Scholar] [CrossRef]
- Singleton, V.L.; Rossi, J.A. Colorimetry of total phenolics with phosphomolybdic-phosphotungstic acid reagents. Am. J. Enol. Viticult. 1965, 16, 144–158. [Google Scholar]
- Van Dijk, C.V.; Boeriu, C.; Peter, F.; Stolle-Smits, T.; Tijskens, L.M.M. The firmness of stored tomatoes (cv. Tradiro). 1. Kinetic and near infrared models to describe firmness and moisture loss. J. Food Eng. 2006, 77, 575–584. [Google Scholar] [CrossRef]
- Pinheiro, J.; Alegria, C.; Abreu, M.; Gonçalves, E.M.; Silva, C.L.M. Evaluation of alternative preservation treatments (water heat treatment, ultrasounds, thermosonication and UV-C radiation) to improve safety and quality of whole tomato. Food Bioprocess Tech. 2016, 9, 924–935. [Google Scholar] [CrossRef]
- International Organization for Standardization (ISO). ISO 8586-1. Sensory Analysis—General Guidance for the Selection, Training and Monitoring of Assessors; ISO: Geneva, Switzerland, 1993. [Google Scholar]
- International Organization for Standardization (ISO). ISO 13299. Sensory Analysis—Methodology—General Guidance for Establishing a Sensory Profile; ISO: Geneva, Switzerland, 1995. [Google Scholar]
- StatSoft Inc. STATISTICA (Data Analysis Software System), version 8; StatSoft Inc.: Tulsa, OK, USA, 2007. [Google Scholar]
- Cheong, L.Z.; Tan, C.P.; Long, K.; Yusoff, M.S.A.; Lo, S.K.; Lai, O.M. Production of a diacylglycerol-enriched palm olein using lipase-catalyzed partial hydrolysis: Optimization using response surface methodology. Food Chem. 2007, 105, 1614–1622. [Google Scholar] [CrossRef]
- Lurie, S. The effect of high temperature treatment on quality of fruit and vegetables. Acta Hortic. 2006, 712, 165–174. [Google Scholar] [CrossRef]
- Tiwari, B.K.; Patras, A.; Brunton, N.; Cullen, P.J.; O’Donnell, C.P. Effect of ultrasound processing on anthocyanins and color of red grape juice. Ultrason. Sonochem. 2010, 17, 598–604. [Google Scholar] [CrossRef]
- Adekunte, A.O.; Tiwari, B.K.; Cullen, P.J.; Scannell, A.G.M.; O’Donnell, C.P. Effect of sonication on colour, ascorbic acid and yeast inactivation in tomato juice. Food Chem. 2010, 122, 500–507. [Google Scholar] [CrossRef]
- Alexandre, E.M.C.; Santos-Pedro, D.M.; Brandão, T.R.S.; Silva, C.L.M. Study on thermosonication and ultraviolet radiation processes as an alternative to blanching for some fruit and vegetables. Food Bioprocess Tech. 2011, 4, 1012–1019. [Google Scholar] [CrossRef]
- Aday, M.S.; Temizkan, R.; Büyükcan, M.B.; Caner, C. An innovative technique for extending shelf life of strawberry: Ultrasound. LWT-Food Sci. Technol. 2013, 52, 93–101. [Google Scholar] [CrossRef]
- Jacobo-Velázquez, D.A.; Cisneros-Zevallos, L. An alternative use of horticultural crops: Stressed plants as biofactories of bioactive phenolic compounds. Agriculture 2012, 2, 259–271. [Google Scholar] [CrossRef]
- Valero, D.; Diaz-Mula, H.M.; Zapata, P.J.; Castillo, S.; Guillen, F.; Martinez-Romero, D.; Serrano, M. Postharvest treatments with saliylic acid, acetylsalicylic, acid oxalic acid delayed ripening and enhanced bioactive compounds and antioxidant capacity in sweet cherry. J. Agric. Food Chem. 2011, 59, 5483–5489. [Google Scholar] [CrossRef]
- Cantwell, M.I.; Nie, X.; Hong, G. Impact of storage conditions on grape tomato quality. In Proceedings of the 6th ISHS Postharvest Symposium, Antalya, Turkey, 8–12 April 2009. [Google Scholar]
- Ben-Yehoshua, S.; Rodov, V. Transpiration and water stress. In Postharvest Physiology and Pathology of Vegetables; Bartz, J.A., Brecht, J.K., Eds.; Marcel Dekker: New York City, NY, USA, 2003; pp. 111–159. [Google Scholar]
- Nguyen, M.; Francis, D.; Schwartz, S. Thermal isomerisation susceptibility of carotenoids in different tomato varieties. J. Sci. Food Agric. 2001, 81, 910–917. [Google Scholar] [CrossRef]
- Abushita, A.A.; Hebshi, E.A.; Daood, H.G.; Biacs, P.A. Determination of antioxidant vitamins in tomatoes. Food Chem. 1997, 60, 207–212. [Google Scholar] [CrossRef]





| Quality Attributes | Storage Days | |
|---|---|---|
| 0 | 15 | |
| Color parameters | ||
| L* | 50.1 ± 1.7 | 43.8 ± 2.0 |
| a* | −11.5 ± 1.2 | 19.1 ± 1.6 |
| b* | 21.5 ± 2.2 | 26.8 ± 1.6 |
| °h | 118.1 ± 1.8 | 54.4 ± 2.7 |
| Texture | ||
| Firmness (N) | 14.4 ± 1.0 | 9.9 ± 0.6 |
| Total phenolic content | ||
| TPC (mg.kg−1) | 242.8 ± 7.7 | 274.1 ± 15.5 |
| Weight loss | ||
| WL (%) | 0.0 ± 0.0 | 3.1 ± 0.1 |
| Coded Independent Variables | Decoded Independent Variables | ||||
|---|---|---|---|---|---|
| X1 | X2 | X3 | Temperature (°C) (T) | Time (min) (t) | Storage Period (days) (Sp) |
| −1 | −1 | −1 | 35 | 20 | 4 |
| 0 | 0 | 0 | 40 | 30 | 8 |
| 0 | 0 | 0 | 40 | 30 | 8 |
| −1.68179 | 0 | 0 | 32 | 30 | 8 |
| 1 | −1 | 1 | 45 | 20 | 12 |
| 1.68179 | 0 | 0 | 48 | 30 | 8 |
| 1 | 1 | −1 | 45 | 40 | 4 |
| 0 | 1.68179 | 0 | 40 | 47 | 8 |
| −1 | −1 | 1 | 35 | 20 | 12 |
| 1 | −1 | −1 | 45 | 20 | 4 |
| 0 | 0 | −1.68179 | 40 | 30 | 1 |
| 1 | 1 | 1 | 45 | 40 | 12 |
| 0 | −1.68179 | 0 | 40 | 13 | 8 |
| −1 | 1 | 1 | 35 | 40 | 12 |
| −1 | 1 | −1 | 35 | 40 | 4 |
| 0 | 0 | 1.68179 | 40 | 30 | 15 |
| Effect | Source | SS | df | MS | F-ratio (Model Significance) | p |
|---|---|---|---|---|---|---|
| L* | Regression | 74.11 | 5 | 14.82 | 7.57 a | 0.0035 |
| Residual | 19.58 | 10 | 1.96 | |||
| Lack-of-fit | 19.43 | 9 | 2.16 | 13.80 b | 0.21 | |
| Pure Error | 0.16 | 1 | 0.16 | |||
| Total | 93.7 | 15 | ||||
| Firmness | Regression | 22.62 | 2 | 1.31 | 6.72 a | 0.01 |
| Residual | 21.87 | 13 | 1.68 | |||
| Lack-of-fit | 21.81 | 12 | 1.82 | 32.63 b | 0.14 | |
| Pure Error | 0.056 | 1 | 0.056 | |||
| Total | 44.49 | 15 | ||||
| TPC | Regression | 5897.98 | 2 | 2948.99 | 268.25 | 0.04 |
| Residual | 3761.23 | 13 | 289.32 | |||
| Lack-of-fit | 3750.21 | 12 | 312.52 | 28.43 | 0.15 | |
| Pure Error | 10.99 | 1 | 10.99 | |||
| Total | 9659.21 | 15 | ||||
| WL | Regression | 33.05 | 3 | 11.02 | 13.21 a | 0.000 |
| Residual | 10.01 | 12 | 0.83 | |||
| Lack-of-fit | 10.01 | 11 | 0.91 | 406.71 b | 0.04 | |
| Pure Error | 0.002 | 1 | 0.002 | |||
| Total | 43.06 | 15 |
| Run | Variables | L* | Firmness | TPC | |||||
|---|---|---|---|---|---|---|---|---|---|
| T (°C) | t (min) | Sp (days) | Predicted | Observed a | Predicted | Observed a | Predicted | Observed a | |
| 1 | 30 | 20 | 2 | 53.4 | 49.8 ± 0.6 | 14.0 | 13.4 ± 0.4 | 251.7 | 245.1 ± 1.9 |
| 2 | 33 | 18 | 6 | 53.5 | 52.2 ± 0.4 | 13.3 | 12.5 ± 0.3 | 259.9 | 257.0 ± 3.3 |
| 3 | 35 | 15 | 10 | 52.2 | 50.4 ± 0.3 | 12.5 | 11.9 ± 0.1 | 278.0 | 283.4 ± 6.9 |
| 4 | 37 | 25 | 5 | 52.0 | 50.4 ± 0.4 | 13.0 | 11.6 ± 0.1 | 247.9 | 235.5 ± 4.8 |
| 5 | 38 | 7 | 8 | 52.8 | 51.7 ± 0.3 | 13.0 | 11.7 ± 0.3 | 276.2 | 275.2 ± 4.6 |
| 6 | 42 | 16 | 15 | 46.1 | 45.6 ± 0.4 | 10.8 | 9.4 ± 0.4 | 305.4 | 300.1 ± 2.0 |
| 7 | 44 | 22 | 22 | 39.1 | 34.8 ± 0.2 | 8.4 | 7.8 ± 0.2 | 362.4 | 304.8 ± 3.3 |
| 8 | 46 | 15 | 16 | 43.0 | 43.6 ± 0.3 | 10.2 | 9.6 ± 0.2 | 312.7 | 304.6 ± 4.9 |
| 9 | 47 | 5 | 5 | 46.2 | 44.7 ± 0.3 | 13.4 | 12.5 ± 0.2 | 267.2 | 256.6 ± 2.3 |
| 10 | 49 | 3 | 8 | 42.2 | 42.5 ± 0.6 | 12.5 | 10.6 ± 0.2 | 279.5 | 275.9 ± 4.6 |
| Sensory Analysis | Storage Period (days) | Ctr | 32 °C-13 min | 35 °C-20 min | 40 °C-30 min |
|---|---|---|---|---|---|
| Color | 0 | 1.0 a ± 0.0 | 1.0 a ± 0.0 | 1.0 a ± 0.0 | 1.0 a ± 0.0 |
| 1 | 2.8 c ± 0.3 | 1.0 a ± 0.3 | 1.0 a ± 0.3 | 1.0 a ± 0.3 | |
| 8 | 5.8 f ± 0.3 | 3.8 e ± 0.3 | 5.8 f ± 0.3 | 3.7 e ± 0.3 | |
| 15 | 6.0 f ± 0.0 | 6.0 f ± 0.0 | 6.0 f ± 0.0 | 5.8 f ± 0.3 | |
| Global acceptability | 0 | 1.0 a ± 0.0 | 1.0 a ± 0.0 | 1.0 a ± 0.0 | 1.0 a ± 0.0 |
| 1 | 1.0 a ± 0.0 | 1.0 a ± 0.0 | 1.0 a ± 0.0 | 1.0 a ± 0.0 | |
| 8 | 2.1 bc ± 0.2 | 1.0 a ± 0.2 | 2.0 bc ± 0.2 | 2.0 b ± 0.2 | |
| 15 | 2.5 d ± 0.1 | 2.1 bc ± 0.2 | 2.3 cd ± 0.2 | 2.1 bc ± 0.1 | |
| Deterioration index | 0 | 0.0 a ± 0.0 | 0.0 a ± 0.0 | 0.0 a ± 0.0 | 0.0 a ± 0.0 |
| 1 | 0.0 a ± 0.0 | 0.0 a ± 0.0 | 0.0 a ± 0.0 | 0.0 a ± 0.0 | |
| 8 | 0.6 d ± 0.1 | 0.5 cd ± 0.1 | 0.58 bc ± 0.0 | 0.3 b ± 0.1 | |
| 15 | 1.5 g ± 0.1 | 1.3 f ± 0.1 | 1.2 f ± 0.1 | 0.9 e ± 0.1 |
© 2019 by the authors. Licensee MDPI, Basel, Switzerland. This article is an open access article distributed under the terms and conditions of the Creative Commons Attribution (CC BY) license (http://creativecommons.org/licenses/by/4.0/).
Share and Cite
Pinheiro, J.; Ganhão, R.; M. Gonçalves, E.; L.M. Silva, C. Assessment of Thermosonication as Postharvest Treatment Applied on Whole Tomato Fruits: Optimization and Validation. Foods 2019, 8, 649. https://doi.org/10.3390/foods8120649
Pinheiro J, Ganhão R, M. Gonçalves E, L.M. Silva C. Assessment of Thermosonication as Postharvest Treatment Applied on Whole Tomato Fruits: Optimization and Validation. Foods. 2019; 8(12):649. https://doi.org/10.3390/foods8120649
Chicago/Turabian StylePinheiro, Joaquina, Rui Ganhão, Elsa M. Gonçalves, and Cristina L.M. Silva. 2019. "Assessment of Thermosonication as Postharvest Treatment Applied on Whole Tomato Fruits: Optimization and Validation" Foods 8, no. 12: 649. https://doi.org/10.3390/foods8120649
APA StylePinheiro, J., Ganhão, R., M. Gonçalves, E., & L.M. Silva, C. (2019). Assessment of Thermosonication as Postharvest Treatment Applied on Whole Tomato Fruits: Optimization and Validation. Foods, 8(12), 649. https://doi.org/10.3390/foods8120649

