Multiple Emulsions with Extracts of Cactus Pear Added in A Yogurt: Antioxidant Activity, In Vitro Simulated Digestion and Shelf Life
Abstract
1. Introduction
2. Materials and Method
2.1. Multiple Emulsion Formulation
2.2. Process of Yogurt with the Multiple Emulsions
2.3. Color
2.4. Total Phenols
2.5. Flavonoids
2.6. Betalains
2.7. Antioxidant Activity ABTS
2.8. Antioxidant Activity DPPH
2.9. In Vitro Simulated Digestion
2.10. Microbiology Analysis
2.11. Statistics Analysis
3. Results and Discussion
3.1. Multiple Emulsions
3.2. Characterization of Yogurts with the Multiple Emulsion
3.2.1. Color
3.2.2. Total Phenols, Flavonoids and Betalains
3.2.3. Antioxidant Activity by ABTS and DPPH
3.2.4. LAB Quantification
3.2.5. In Vitro Simulated Digestion
4. Conclusions
Author Contributions
Funding
Conflicts of Interest
References
- Sert, D.; Mercan, E.; Dertli, E. Characterization of lactic acid bacteria from yogurt-like product fermented with pine cone and determination of their role on physicochemical, textural and microbiological properties of product. LWT-Food Sci. Technol. 2017, 78, 70–76. [Google Scholar] [CrossRef]
- Codex Alimentarius. International Food Standards; Standard for Fermented Milks, CXS 243-2003. 2018. Available online: http://www.fao.org/fao-who-codexalimentarius/codex-texts/list-standards/en/ (accessed on 24 November 2018).
- Ye, M.; Ren, L.; Wu, Y.; Wang, Y.; Liu, Y. Quality characteristics and antioxidant activity of hickory-black soybean yogurt. LWT-Food Sci. Technol. 2013, 51, 314–318. [Google Scholar] [CrossRef]
- Moldovana, B.; Iasko, B.; David, L. Antioxidant activity and total phenolic content of some commercial fruit-flavored yogurts. Stud. Univ. Babes-Bolyai Chem. 2016, 61, 101–108. [Google Scholar]
- Jung, J.; Paik, H.D.; Yoon, H.J.; Jang, H.J.; Jeewanthi, R.K.C.; Jee, H.S.; Lee, S.K. Physicochemical characteristics and antioxidant capacity in yogurt fortified with red ginseng extract. Korean J. Food Sci. Anim. 2016, 36, 412–420. [Google Scholar] [CrossRef] [PubMed]
- Su, N.; Ren, L.; Ye, H.; Sui, Y.; Li, J.; Ye, M. Antioxidant activity and flavor compounds of hickory yogurt. Int. J. Food Prop. 2017, 20, 1894–1903. [Google Scholar] [CrossRef]
- Nontasan, S.; Moongngarm, A.; Deeseenthum, S. Application of functional colorant prepared from black rice bran in yogurt. APCBEE Procedia 2012, 2, 62–67. [Google Scholar] [CrossRef]
- Díaz-García, M.C.; Castellar, M.R.; Obón, J.M.; Obón, C.; Alcaraz, F.; Rivera, D. Production of an anthocyanin-rich food colorant from Thymus moroderi and its application in foods. J. Agric. Food Chem. 2015, 95, 1283–1293. [Google Scholar] [CrossRef] [PubMed]
- Benvidi, A.; Abbasi, S.; Gharaghani, S.; Tezerjani, M.D.; Masoum, S. Spectrophotometric determination of synthetic colorants using PSO–GA-ANN. Food Chem. 2017, 220, 377–384. [Google Scholar] [CrossRef] [PubMed]
- Raddatz-Mota, D.; Pérez-Flores, L.J.; Carrari, F.; Mendoza-Espinoza, J.A.; de León-Sánchez, F.D.; Pinzón-López, L.L.; Rivera-Cabrera, F. Achiote (Bixa orellana L.): A natural source of pigment and vitamin E. J. Food Sci. Technol. 2017, 54, 1729–1741. [Google Scholar] [CrossRef]
- González-Aguilar, G.; Robles-Sánchez, R.M.; Martínez-Téllez, M.A.; Olivas, G.I.; Álvarez-Parrilla, E.; De La Rosa, L.A. Bioactive compounds in fruits: Health benefits and effect of storage conditions. Stewart Postharvest Rev. 2008, 4, 1–10. [Google Scholar] [CrossRef]
- D’Archivio, M.; Filesi, C.; Di Benedetto, R.; Gargiulo, R.; Giovannini, C.; Masella, R. Polyphenols, dietary sources and bioavailability. Ann. Ist. Super. Sanita 2007, 43, 348–361. [Google Scholar] [PubMed]
- Espinosa-Muñoz, V.; Roldán-Cruz, C.A.; Hernández-Fuentes, A.D.; Quintero-Lira, A.; Almaraz-Buendía, I.; Campos-Montiel, R.G. Ultrasonic-Assisted Extraction of Phenols, Flavonoids, and Biocompounds with Inhibitory Effect against Salmonella typhimurium and Staphylococcus aureus from Cactus Pear. J. Food Process Eng. 2017, 40, e12358. [Google Scholar] [CrossRef]
- Cenobio-Galindo, A.J.; Pimentel-González, D.J.; Del Razo-Rodríguez, O.E.; Medina-Pérez, G.; Carrillo-Inungaray, M.L.; Reyes-Munguía, A.; Campos-Montiel, R.G. Antioxidant and antibacterial activities of a starch film with bioextracts microencapsulated from cactus fruits (Opuntia oligacantha). Food Sci. Biotechnol. 2019, 1–9. [Google Scholar] [CrossRef]
- Hernández-Fuentes, A.D.; Trapala-Islas, A.; Gallegos-Vásquez, C.; Campos-Montiel, R.G.; Pinedo-Espinoza, J.M.; Guzmán-Maldonado, S.H. Physicochemical variability and nutritional and functional characteristics of xoconostles (Opuntia spp.) accessions from Mexico. Fruits 2015, 70, 109–116. [Google Scholar] [CrossRef]
- Cilla, A.; Bosch, L.; Barberá, R.; Alegría, A. Effect of processing on the bioaccessibility of bioactive compounds–A review focusing on carotenoids, minerals, ascorbic acid, tocopherols and polyphenols. J. Food Compos. Anal. 2018, 68, 3–15. [Google Scholar] [CrossRef]
- Dias, M.I.; Ferreira, I.C.; Barreiro, M.F. Microencapsulation of bioactives for food applications. Food Funct. 2015, 6, 1035–1052. [Google Scholar] [CrossRef]
- Rodríguez-Huezo, M.E.; Estrada-Fernández, A.G.; García-Almendárez, B.E.; Ludeña-Urquizo, F.; Campos-Montiel, R.G.; Pimentel-González, D.J. Viability of Lactobacillus plantarum entrapped in double emulsion during Oaxaca cheese manufacture, melting and simulated intestinal conditions. LWT-Food Sci. Technol. 2014, 59, 768–773. [Google Scholar] [CrossRef]
- Kreatsouli, K.; Fousteri, Z.; Zampakas, K.; Kerasioti, E.; Veskoukis, A.S.; Mantas, C.; Stagos, D. A Polyphenolic Extract from Olive Mill Wastewaters Encapsulated in Whey Protein and Maltodextrin Exerts Antioxidant Activity in Endothelial Cells. Antioxidants 2019, 8, 280. [Google Scholar] [CrossRef]
- Pimentel-González, D.J.; Aguilar-García, M.E.; Aguirre-Álvarez, G.; Salcedo-Hernández, R.; Guevara-Arauza, J.C.; Campos-Montiel, R.G. The Process and Maturation Stability of Chihuahua Cheese with Antioxidants in Multiple Emulsions. J. Food Process. Preserv. 2015, 39, 1027–1035. [Google Scholar] [CrossRef]
- Jiménez-Alvarado, R.; Aguirre-Álvarez, G.; Campos-Montiel, R.G.; Contreras-Esquivel, J.C.; Pinedo-Espinoza, J.M.; González-Aguayo, E.; Hernández-Fuentes, A.D. Effect of high-pulsed electric fields on the extraction yield and quality of juices obtained from the endocarp of nine prikly pear (Opuntia spp.) varieties. Jokull 2015, 65, 414–435. [Google Scholar]
- Ainsworth, E.A.; Gillespie, K.M. Estimation of total phenolic content and other oxidation substrates in plant tissues using Folin–Ciocalteu reagent. Nat. Protoc. 2007, 2, 875–877. [Google Scholar] [CrossRef] [PubMed]
- Pothitirat, W.; Chomnawang, M.T.; Supabphol, R.; Gritsanapan, W. Comparison of bioactive compounds content, free radical scavenging and anti-acne inducing bacteria activities of extracts from the mangosteen fruit rind at two stages of maturity. Fitoterapia 2009, 80, 442–447. [Google Scholar] [CrossRef] [PubMed]
- Castellanos-Santiago, E.; Yahia, E.M. Identification and quantification of betalains from the fruits of 10 Mexican prickly pear cultivars by high-performance liquid chromatography and electrospray ionization mass spectrometry. J. Agric. Food Chem. 2008, 56, 5758–5764. [Google Scholar] [CrossRef] [PubMed]
- Nenadis, N.; Wang, L.F.; Tsimidou, M.; Zhang, H.Y. Estimation of scavenging activity of phenolic compounds using the ABTS•+ assay. J. Agric. Food Chem. 2004, 52, 4669–4674. [Google Scholar] [CrossRef] [PubMed]
- Reyes-Munguía, A.; Azúara-Nieto, E.; Beristain, C.I.; Cruz-Sosa, F.; Vernon-Carter, E.J. Purple maguey (Rhoeo discolor) antioxidant properties. CyTA-J. Food 2009, 7, 209–216. [Google Scholar] [CrossRef]
- Rufián-Henares, J.A.; Morales, F.J. Effect of in vitro enzymatic digestion on antioxidant activity of coffee melanoidins and fractions. J. Agric. Food Chem. 2007, 55, 10016–10021. [Google Scholar] [CrossRef] [PubMed]
- Dickinson, E. Double emulsions stabilized by food biopolymers. Food Biophys. 2011, 6, 1–11. [Google Scholar] [CrossRef]
- Di Battista, C.A.; Constenla, D.; Ramírez-Rigo, M.V.; Piña, J. The use of arabic gum, maltodextrin and surfactants in the microencapsulation of phytosterols by spray drying. Powder Technol. 2015, 286, 193–201. [Google Scholar] [CrossRef]
- Rodríguez-Barahona, C.M.; Corrales-García, J.E.; Hernández-Montes, A.; Ybarra-Moncada, M.C.; García-Mateos, M.R. Contenido fitoquímico de jugo de noni (Morinda citrifolia) microencapsulado en emulsiones W/O/W. Rev. CENIC Cienc. Quím. 2015, 46, 26–30. [Google Scholar]
- Comunian, T.A.; Ravanfar, R.; de Castro, I.A.; Dando, R.; Favaro-Trindade, C.S.; Abbaspourrad, A. Improving oxidative stability of echium oil emulsions fabricated by Microfluidics: Effect of ionic gelation and phenolic compounds. Food Chem. 2017, 233, 125–134. [Google Scholar] [CrossRef]
- Otálora, M.C.; Carriazo, J.G.; Iturriaga, L.; Nazareno, M.A.; Osorio, C. Microencapsulation of betalains obtained from cactus fruit (Opuntia ficus-indica) by spray drying using cactus cladode mucilage and maltodextrin as encapsulating agents. Food Chem. 2015, 187, 174–181. [Google Scholar] [CrossRef] [PubMed]
- Kanakdande, D.; Bhosale, R.; Singhal, R.S. Stability of cumin oleoresin microencapsulated in different combination of gum arabic, maltodextrin and modified starch. Carbohydr. Polym. 2007, 67, 536–541. [Google Scholar] [CrossRef]
- Munguía, A.R.; Castillo, J.I.M.; Elorza, A.V. Determinación De Actividad Antioxidante y Microencapsulación De Compuestos Activos De Opuntia Ficus-Indica. Tlatemoani 2014, 16, 1989–9300. [Google Scholar]
- Mendoza-Corvis, F.A.; Arteaga, M.; Pérez, O. Comportamiento de la vitamina C en un producto a base de lactosuero y pulpa de mango variedad Magdalena River (Mangífera indica.) durante el secado por aspersión. Rev. Chil. Nutr. 2016, 43, 159–166. [Google Scholar] [CrossRef]
- Muniandy, P.; Shori, A.B.; Baba, A.S. Influence of green, white and black tea addition on the antioxidant activity of probiotic yogurt during refrigerated storage. Food Packag. Shelf Life 2016, 8, 1–8. [Google Scholar] [CrossRef]
- Chouchouli, V.; Kalogeropoulos, N.; Konteles, S.J.; Karvela, E.; Makris, D.P.; Karathanos, V.T. Fortification of yoghurts with grape (Vitis vinifera) seed extracts. LWT-Food Sci. Technol. 2013, 53, 522–529. [Google Scholar] [CrossRef]
- Saenz, C.; Gomez, H.; Fabry, A.M.; Cancino, B.; Vergara, C.; Paz, R. Soft-drinks prepared with pulp, ultrafiltrated and nanofiltrated purple cactus pear microparticles: Betalains stability. Acta Hortic. 2015, 1067, 343–348. [Google Scholar] [CrossRef]
- Amirdivani, S.; Baba, A.S. Changes in yogurt fermentation characteristics, and antioxidant potential and in vitro inhibition of angiotensin-1 converting enzyme upon the inclusion of peppermint, dill and basil. LWT-Food Sci. Technol. 2011, 44, 1458–1464. [Google Scholar] [CrossRef]
- Mahrous, H.; Abd-El-Salam, R. Production of a functional frozen yoghurt fortified with omega-3 and vitamin E. Am. J. Food Nutr. 2014, 2, 77–84. [Google Scholar] [CrossRef]
- Schulz, M.; Biluca, F.C.; Gonzaga, L.V.; Borges, G.D.S.C.; Vitali, L.; Micke, G.A.; Costa, A.C.O. Bioaccessibility of bioactive compounds and antioxidant potential of juçara fruits (Euterpe edulis Martius) subjected to in vitro gastrointestinal digestion. Food Chem. 2017, 228, 447–454. [Google Scholar] [CrossRef]
- Gullon, B.; Pintado, M.E.; Fernández-López, J.; Pérez-Álvarez, J.A.; Viuda-Martos, M. In vitro gastrointestinal digestion of pomegranate peel (Punica granatum) flour obtained from co-products: Changes in the antioxidant potential and bioactive compounds stability. J. Funct. Foods 2015, 19, 617–628. [Google Scholar] [CrossRef]
- Frontela-Saseta, C.; López-Nicolás, R.; González-Bermúdez, C.A.; Peso-Echarri, P.; Ros-Berruezo, G.; Martínez-Graciá, C.; Virgili, F. Evaluation of antioxidant activity and antiproliferative effect of fruit juices enriched with Pycnogenol® in colon carcinoma cells. The effect of in vitro gastrointestinal digestion. Phytother. Res. 2011, 25, 1870–1875. [Google Scholar] [CrossRef] [PubMed]
- Zudaire, L.; Viñas, I.; Abadias, M.; Simó, J.; Echeverria, G.; Plaza, L.; Aguiló-Aguayo, I. Quality and bioaccessibility of total phenols and antioxidant activity of calçots (Allium cepa L.) stored under controlled atmosphere conditions. Postharvest Biol. Technol. 2017, 129, 118–128. [Google Scholar] [CrossRef]
- Bohn, T.; McDougall, G.J.; Alegría, A.; Alminger, M.; Arrigoni, E.; Aura, A.M.; Brito, C.; Cilla, A.; El, S.N.; Karakaya, S.; et al. Mind the gap—Deficits in our knowledge of aspects impacting the bioavailability of phytochemicals and their metabolites—A position paper focusing on carotenoids and polyphenols. Mol. Nutr. Food Res. 2015, 59, 1307–1323. [Google Scholar] [CrossRef] [PubMed]
- Jia, Z.; Dumont, M.J.; Orsat, V. Encapsulation of phenolic compounds present in plants using protein matrices. Food Biosci. 2016, 15, 87–104. [Google Scholar] [CrossRef]
- Ydjedd, S.; Bouriche, S.; López-Nicolás, R.; Saánchez-Moya, T.; Frontela-Saseta, C.; Ros-Berruezo, G.; Rezgui, F.; Louaileche, H.; Kati, D.E. Effect of in vitro gastrointestinal digestion on encapsulated and nonencapsulated phenolic compounds of carob (Ceratonia siliqua L.) pulp extracts and their antioxidant capacity. J. Agric. Food Chem. 2017, 65, 827–835. [Google Scholar] [CrossRef]
- Martins, A.; Barros, L.; Carvalho, A.M.; Santos-Buelga, C.; Fernandes, I.P.; Barreiro, F.; Ferreira, I.C. Phenolic extracts of Rubus ulmifolius Schott flowers: Characterization, microencapsulation and incorporation into yogurts as nutraceutical sources. Food Funct. 2014, 5, 1091–1100. [Google Scholar] [CrossRef] [PubMed]
- Caldas-Cueva, J.P.; Morales, P.; Ludeña, F.; Betalleluz-Pallardel, I.; Chirinos, R.; Noratto, G.; Campos, D. Stability of betacyanin pigments and antioxidants in ayrampo (Opuntia soehrensii Britton and Rose) seed extracts and as a yogurt natural colorant. J. Food Process. Preserv. 2016, 40, 541–549. [Google Scholar] [CrossRef]
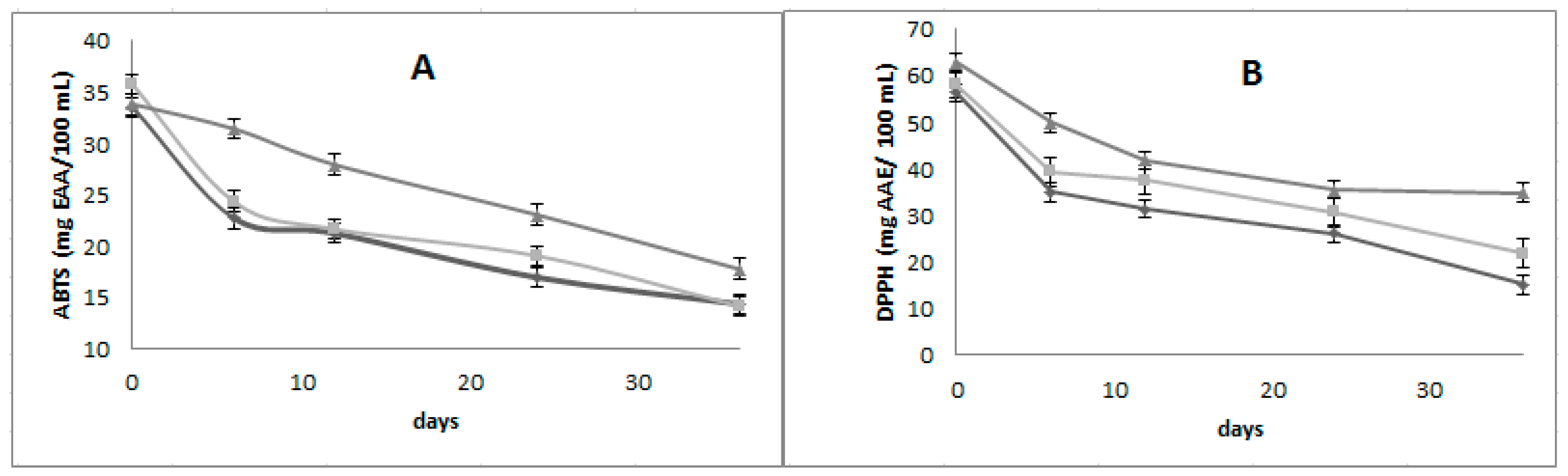
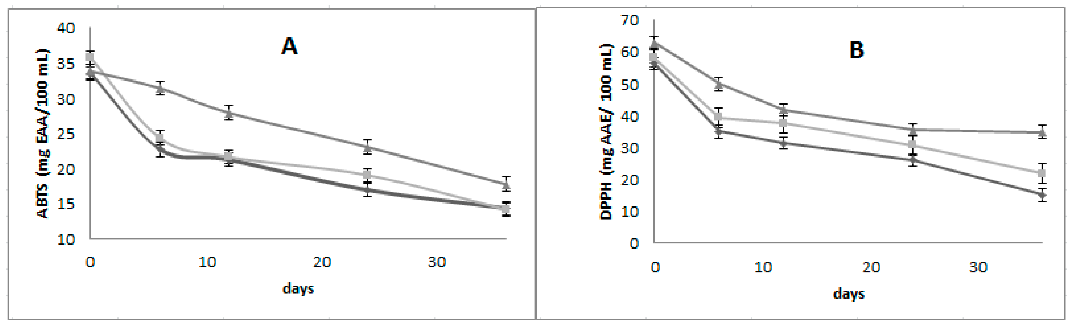
), AG50%-MD50% (
) and AG60%-MD40% (
) during storage for 36 days.
), AG50%-MD50% (
) and AG60%-MD40% (
) during storage for 36 days.
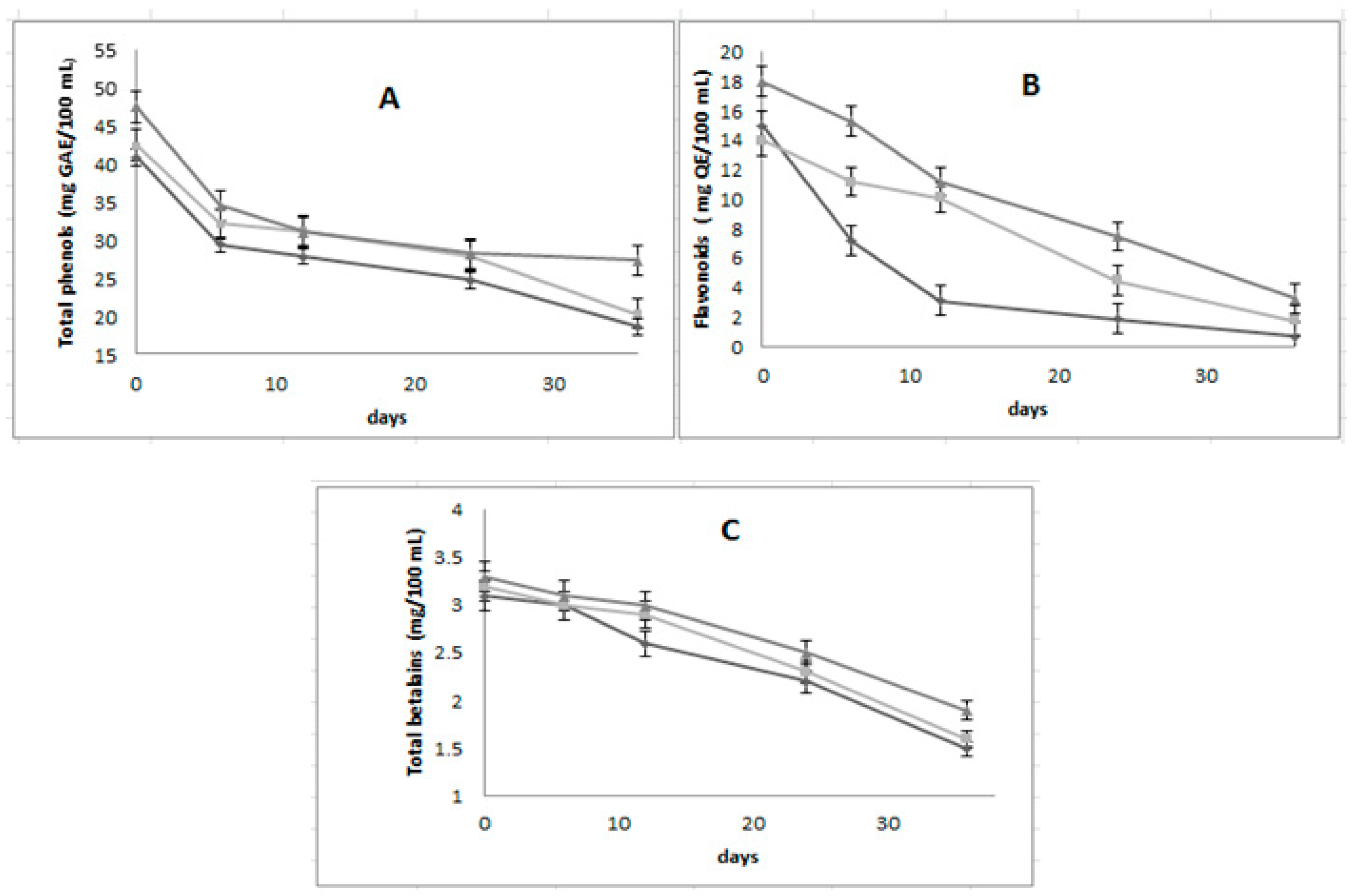
), AG50%-MD50% (
) and AG60%-MD40% (
) during 36 days of storage.
), AG50%-MD50% (
) and AG60%-MD40% (
) during 36 days of storage.
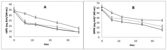
), AG50%-MD50% (
) and AG60%-MD40% (
) during 36 days.
), AG50%-MD50% (
) and AG60%-MD40% (
) during 36 days.
| Days/Yogurts | Y0 | Y10 | Y20 | Y30 |
|---|---|---|---|---|
| L | ||||
| 0 | 66.4 ± 0.2 cA | 66.5 ± 0.3 cA | 67.6 ± 0.3 cB | 68.8 ± 0.5 cC |
| 12 | 64.4 ± 0.4 cC | 62.7 ± 0.8 bB | 60.3 ± 0.2 bA | 60.8 ± 0.2 bA |
| 24 | 62.1 ± 0.2 bB | 61.9 ± 0.4 bB | 60.5 ± 0.4 bA | 60.0 ± 0.1 bA |
| 36 | 60.2 ± 0.1 aC | 59.9 ± 0.1 aC | 58.9 ± 0.1 aB | 58.5 ± 0.2 aA |
| a | ||||
| 0 | −1.2 ± 0.1 aA | 1.2 ± 0.05 bB | 1.6 ± 0.05 cC | 2.1 ± 0.01 cD |
| 12 | −1.2 ± 0.05 aA | 1.2 ± 0.04 bB | 1.5 ± 0.02 bcC | 2.0 ± 0.12 bcD |
| 24 | −0.2 ± 0.01 bA | 1.2 ± 0.03 bB | 1.4 ± 0.04 bC | 1.9 ± 0.09 bD |
| 36 | −0.1 ± 0.03 bA | 1.1 ± 0.01 aB | 1.2 ± 0.03a C | 1.7 ± 0.03 aD |
| b | ||||
| 0 | 6.3 ± 0.05 aA | 7.3 ± 0.04 aB | 7.4 ± 0.02 aCD | 7.4 ± 0.02 aD |
| 12 | 6.5 ± 0.5 aA | 8.1 ± 0.1 bC | 8.2 ± 0.2 bC | 7.7 ± 0.5 abBC |
| 24 | 7.50.3 bA | 9.1 ± 0.1 cC | 8.8 ± 0.2 cC | 8.25 ± 0.1 bB |
| 36 | 7.6 ± 0.1 bA | 9.31 ± 0.2 dD | 8.91 ± 0.1 cC | 8.35 ± 0.1 bB |
| Days/Yogurts | Y0 | Y10 | Y20 | Y30 |
|---|---|---|---|---|
| Total phenols (mg GAE/100 mL) | ||||
| 0 | ND | 17.9 ± 0.1 dA | 38.5 ± 0.4 dB | 50.7 ± 0.1 cC |
| 12 | ND | 12.7 ± 0.2 cA | 20.1 ± 0.1 cB | 23.1 ± 0.1 bC |
| 24 | ND | 7.7 ± 0.1 bA | 10.3 ± 0.5 bB | 14.5 ± 0.1 aC |
| 36 | ND | 6.4 ± 0.2 aA | 8.6 ± 0.3 aB | 9.9 ± 0.2 aC |
| Flavonoids (mg QE/100 mL) | ||||
| 0 | ND | 19.9 ± 0.1 dA | 25.1 ± 0.5 cB | 23.8 ± 0.1 cC |
| 12 | ND | 18.2 ± 0.2 cA | 21.1 ± 0.5 bB | 28.3 ± 0.3 bC |
| 24 | ND | 16.8 ± 0.5 bA | 19.1 ± 0.3 aB | 26.1 ± 0.7 aC |
| 36 | ND | 15.9 ± 0.2 aA | 18.5 ± 0.5 aB | 25.1 ± 0.5 aC |
| Total betalains (mg/100 mL) | ||||
| 0 | ND | 0.52 ± 0.01 cA | 1.1 ± 0.04 cB | 1.4 ± 0.06 bC |
| 12 | ND | 0.5 ± 0.05 bcA | 1.0 ± 0.03 bB | 1.3 ± 0.04 bC |
| 24 | ND | 0.5 ± 0.1 bcA | 0.9 ± 0.01 aB | 1.1 ± 0.1 aC |
| 36 | ND | 0.46 ± 0.01 aA | 0.9 ± 0.02 aB | 1.0 ± 0.02 aC |
| Days/Yogurts | Y0 | Y10 | Y20 | Y30 |
|---|---|---|---|---|
| ABTS (mg AAE/100 mL) | ||||
| 0 | 15.8 ± 1.6 bA | 15.8 ± 1.6 bA | 16.3 ± 1.4 cA | 21.0 ± 1.3 cB |
| 12 | 1.8 ± 0.1 aA | 14.0 ± 0.5 bB | 14.7 ± 1.4 cB | 17.9 ± 0.3 bC |
| 24 | 1.6 ± 0.1 aA | 10.1 ± 0.8 bA | 11.8 ± 0.6 bB | 16.8 ± 0.3 aC |
| 36 | 1.6 ± 0.01 aA | 10.1 ± 1.4 aB | 9.1 ± 0.3 aB | 14.9 ± 0.3 aC |
| DPPH (mg AAE/100 mL) | ||||
| 0 | 2.1 ± 0.02 aA | 51.2 ± 0.2 dA | 52.7 ± 0.8 dB | 52.9 ± 0.3 cC |
| 12 | 2.1 ± 0.04 aA | 18.2 ± 0.9 bB | 29.8 ± 0.2 cD | 26.1 ± 0.7 bC |
| 24 | 2.0 ± 0.03 aA | 12.5 ± 01 aB | 17.7 ± 0.3 bC | 11.0 ± 1.9 aB |
| 36 | 1.8 ± 0.1 bA | 11.1 ± 0.2 aC | 9.9 ± 0.3 aB | 9.3 ± 0.3 aB |
| Lactic acid bacteria (LAB) (CFU × 10 6 mL) | ||||
| 0 | 31.7 ± 0.6 cA | 31.3 ± 0.5 cA | 31.6 ± 0.7 cA | 31.3 ± 0.5 cA |
| 12 | 28.3 ± 1.5 bcC | 25.1 ± 0.1 bB | 24.6 ± 0.5 bB | 21.3 ± 0.6 bA |
| 24 | 25.3 ± 0.5 bc | 16.3 ± 1.1 aB | 13.4 ± 0.6 aA | 12.3 ± 0.5 aA |
| 36 | 18.3 ± 2.4 aC | 14.7 ± 1.5 aB | 12.6 ± 1.7 aA | 11.9 ± 0.7 aA |
| Yogurts | Total Phenols (mg GAE/ 100 mL) | Flavonoids (mg QE/100 mL) | ||||
|---|---|---|---|---|---|---|
| Without treatment | Gastric digestion | Intestinal digestion | Without treatment | Gastric digestion | Intestinal digestion | |
| Y0 | ND | ND | ND | ND | ND | ND |
| Y10 | 19.9 ± 0.3 cA | 17.5 ± 0.1 bA | 16.4 ± 0.2 aA | 17.9 ± 0.3 bA | 18.2 ± 0.4 bA | 17.4 ± 0.2 aA |
| Y20 | 39.6 ± 0.2 cB | 38.2 ± 0.1 bB | 37.1 ± 0.3 aB | 28.5 ± 0.5 bB | 28.9 ± 0.3 bB | 27.1 ± 0.4 aB |
| Y30 | 51.9 ± 0.3 cC | 50.1 ± 0.2 bC | 49.2 ± 0.2 aC | 30.5 ± 0.2 bC | 31.1 ± 0.2 bC | 29.5 ± 0.3 aC |
| ABTS (mg AAE/100 mL) | DPPH (mg AAE/100 mL) | |||||
| Without treatment | Gastric digestion | Intestinal digestion | Without treatment | Gastric digestion | Intestinal digestion | |
| Y0 | 1.8 ± 0.01 A | ND | ND | 2.0 ± 0.02 A | ND | ND |
| Y10 | 15.76 ± 0.03 cA | 13.3 ± 0.03 bA | 10.7 ± 0.15 aA | 51.56 ± 0.01 cB | 49.5 ± 0.14 bA | 47.25 ± 0.06 aA |
| Y20 | 16.3 ± 0.09 cB | 14.3 ± 0.14 bB | 12.1 ± 0.02 aB | 52.06 ± 0.02 cC | 50.11 ± 0.11 bB | 48.33 ± 0.11 aB |
| Y30 | 21.0 ± 0.11 cC | 19.2 ± 0.07 bC | 16.3 ± 0.05 aC | 52.84 ± 0.05 cD | 51.68 ± 0.16 bC | 49.18 ± 0.08 aC |
© 2019 by the authors. Licensee MDPI, Basel, Switzerland. This article is an open access article distributed under the terms and conditions of the Creative Commons Attribution (CC BY) license (http://creativecommons.org/licenses/by/4.0/).
Share and Cite
Cenobio-Galindo, A.d.J.; Díaz-Monroy, G.; Medina-Pérez, G.; Franco-Fernández, M.J.; Ludeña-Urquizo, F.E.; Vieyra-Alberto, R.; Campos-Montiel, R.G. Multiple Emulsions with Extracts of Cactus Pear Added in A Yogurt: Antioxidant Activity, In Vitro Simulated Digestion and Shelf Life. Foods 2019, 8, 429. https://doi.org/10.3390/foods8100429
Cenobio-Galindo AdJ, Díaz-Monroy G, Medina-Pérez G, Franco-Fernández MJ, Ludeña-Urquizo FE, Vieyra-Alberto R, Campos-Montiel RG. Multiple Emulsions with Extracts of Cactus Pear Added in A Yogurt: Antioxidant Activity, In Vitro Simulated Digestion and Shelf Life. Foods. 2019; 8(10):429. https://doi.org/10.3390/foods8100429
Chicago/Turabian StyleCenobio-Galindo, Antonio de Jesús, Gilberto Díaz-Monroy, Gabriela Medina-Pérez, M. Jesús Franco-Fernández, Fanny Emma Ludeña-Urquizo, Rodolfo Vieyra-Alberto, and Rafael Germán Campos-Montiel. 2019. "Multiple Emulsions with Extracts of Cactus Pear Added in A Yogurt: Antioxidant Activity, In Vitro Simulated Digestion and Shelf Life" Foods 8, no. 10: 429. https://doi.org/10.3390/foods8100429
APA StyleCenobio-Galindo, A. d. J., Díaz-Monroy, G., Medina-Pérez, G., Franco-Fernández, M. J., Ludeña-Urquizo, F. E., Vieyra-Alberto, R., & Campos-Montiel, R. G. (2019). Multiple Emulsions with Extracts of Cactus Pear Added in A Yogurt: Antioxidant Activity, In Vitro Simulated Digestion and Shelf Life. Foods, 8(10), 429. https://doi.org/10.3390/foods8100429

