Next Article in Journal
Factors Influencing the Flavour of Bovine Milk and Cheese from Grass Based versus Non-Grass Based Milk Production Systems
Previous Article in Journal
Effect of Sulfites on Antioxidant Activity, Total Polyphenols, and Flavonoid Measurements in White Wine
 
 
Font Type:
Arial Georgia Verdana
Font Size:
Aa Aa Aa
Line Spacing:
Column Width:
Background:
Article

Optimization of Conditions for Extraction of Polyphenols and the Determination of the Impact of Cooking on Total Polyphenolic, Antioxidant, and Anticholinesterase Activities of Potato

Laboratoire BIOQUAL, Institut de la Nutrition, de l’Alimentation et des Technologies Agro-Alimentaires (I.N.A.T.A.A.), Université Frères Mentouri-Constantine 1, Route de Ain El-Bey, 25000 Constantine, Algeria
*
Author to whom correspondence should be addressed.
Foods 2018, 7(3), 36; https://doi.org/10.3390/foods7030036
Submission received: 21 January 2018 / Revised: 2 March 2018 / Accepted: 6 March 2018 / Published: 9 March 2018
(This article belongs to the Section Food Analytical Methods)

Abstract

In this work we optimized the cooking and extraction conditions for obtaining high yields of total polyphenols from potato and studied the effect of three domestic methods of cooking on total phenols, antioxidant activity, and anticholinesterase activities. The optimization of the experiment was carried out by the experimental designs. The extraction of the polyphenols was carried out by maceration and ultrasonication. Determination of the polyphenols was performed by using the Folin-Ciocalteau reagent method. The antioxidant activity was evaluated by three methods: 1,1-diphenyl-2-picryl-hydrazyl (DPPH), 2,2′-azino-bis(3-ethylbenzothiazoline-6-sulphonic acid) (ABTS), and CUPRAC(Cupric reducing antioxidant capacity), the anticholinesterase activity was evaluated by the method of Elmann. The optimum of total phenolic obtained was: 4.668 × 104, 1.406 × 104, 3357.009, 16,208.99 µg Gallic Acid Equivalent (GAE)/g of dry extract for crude potato, steamed potatoes, in boiling water, and by microwave, respectively. The three modes of cooking cause a decrease in the total polyphenol contents, antioxidant and anticholinesterase activities.

1. Introduction

The appearance and progression of some diseases are clearly due to many lifestyle factors. Nutrition is one of the most important determinants of health, and increasing evidence suggests that diets rich in vegetables and fruits can prevent many diseases [1]. Although the mechanisms of these effects have not been fully elucidated, the presence of secondary metabolites, commonly referred to as phytochemicals, in fruits and vegetables may play a major role [2,3].
Many studies show that the majority of phytochemicals have antioxidant [4,5] and anti-inflammatory [6,7] properties. These activities give them pharmacological properties that may prevent, and possibly even treat, different diseases [8]. Among these abundant compounds in vegetables, phenolic compounds are the most important group of natural antioxidants [9].
Vegetable phenolic compounds have been of great interest because of growing evidence of their beneficial effect on human health. These compounds may have complementary mechanisms of action, including stimulation of the immune system, reduction of platelet aggregation, modulation of lipid and hormone metabolism, and antioxidant, antibacterial, antimutagenic, and antiangiogenic effects, reduction of the initiation of tumors, and the induction of apoptosis [10].
Recent studies have shown the effect of polyphenols against Alzheimer’s disease [11]. These compounds are classified as cholinesterase inhibitors, which are valuable approaches for the treatment of neurodegenerative diseases, because of their role in the maintenance of the neurotransmitter acetylcholine [12]. Neurodegenerative disorders are characterized by reduced cholinergic activity in the brain [13]. The acetylcholinesterase and butyrylcholinesterase enzymes cause the hydrolysis of acetylcholine; therefore, inhibition of these enzymes by polyphenols plays a key role in improving cholinergic activity and preventing Alzheimer’s disease [14]. The potato (Solanum tuberosum L.) is a tuber that contains different bioactive compounds, such as starch, dietary fiber, amino acids, minerals, vitamins, and phenolic compounds. Phenolic compounds are synthetized by the potato plant as a protection response from bacteria, fungi, viruses, and insects. Potato is considered as a food rich in polyphenols, and these antioxidant compounds protect the body’s cells from damage caused by free radicals. The phenolic content of the potato differs considerably depending on the variety, the growing and climatic conditions, and the methods of analysis used [15]. However, potato must be cooked for consumption. According to the recipes and culinary traditions of the various countries, household cooking encompasses a variety of processes, such as boiling, frying, steaming, roasting, and microwaving [16]. Although the cooking of potato has beneficial effects, including the destruction of microorganisms, the inactivation of anti-nutritional factors, the improvement of the digestibility of food, the bioavailability of nutrients, and the formation of desired compounds such as flavoring compounds and antioxidants, it also has negative effects, such as changing the structure of vegetables, leading to nutritional effects. On the other hand, the treatment can damage the quality of food, resulting in undesirable consequences, such as the loss of certain nutrients due to chemical reactions and the formation of undesirable compounds (for example, acrylamide) [10].
Polyphenols of potato include many compounds that behave differently during heat treatment. In recent years, many studies have focused on the various cooking effects on the total polyphenol content of vegetables and their biological activities. Some authors confirm the hypothesis of the reduction of polyphenol content after cooking, while others have shown a positive effect on these compounds. Changes in the content of phenolic compounds by heat treatment of potatoes have been the subject of numerous studies [17,18,19,20,21,22], but optimization of cooking and extraction conditions from potato have not yet been studied.
Optimization of conditions of the cooking process can help the consumer and agri-food industry to improve the nutritional quality of cooked vegetables and avoid or minimize losses of polyphenols.
There is no single, standardized method for extracting polyphenols, particularly because of their diversity. According to several studies the extraction efficiency is, therefore, dependent on numerous factors, like the process conditions, the solvent concentration, the particle size, the nature of the solvent, and the extraction time [23]. Then to extract all the polyphenols from the plant matrix, it is necessary to optimize the extraction conditions.
The objective of this work is to select the factors that have a proven influence on the polyphenol content of raw and cooked potato, using screening experimental design which quantify and classify the effects of each of the factors, After looking for the effect of each parameter, we want to optimize the extraction conditions of the polyphenols of the extraction conditions by the central composite design and determine the impact of cooking on total phenolic, antioxidant, and anticholinesterase activities of potato.

2. Materials and Methods

2.1. Plant Material

White potato, Spunta variety (1 kg), was harvested from Benibechir, Skikda, Algeria.

2.2. Cooking Vegetables

Potatoes are washed and all non-edible parts removed, peeled, and then they are cut into small pieces of homogeneous shapes and cooked by: boiling, steaming, and microwaving. The cooking waters were recovered.

2.3. Extraction

The polyphenols of raw and cooked potatoes are extracted by maceration and ultrasonication. The raw and cooked raw potatoes were mashed and then extracted with methanol in a beaker and then placed in an ultrasonicator. Then, the extracts were filtered, the mashed potato were re-extracted three times, and the combined extracts were used for the experiments. The solvent was evaporated by a rotary evaporator. The cooking water is analyzed directly, and it requires no treatment other than filtration and evaporation under vacuum.

2.4. Optimization of Cooking and Extraction Conditions

In this work, we attempt to optimize the conditions of cooking and extraction of phenolic compounds to obtain a maximum of polyphenols in the extracts of raw and cooked potatoes. For this, an experimental design has been developed. The methodology used is divided into two stages: a factor screening by the Plackett–Burman design and an optimization by exploiting surfaces plots.

2.4.1. Screening Factors

Plackett–Burman experimental design was chosen to perform the screening of factors (Table 1). Plackett–Burman’s experimental design is used to select the most influential factors on the Y response (total phenolic) where interactions are negligible or thought to be negligible [24].
Factors of cooking (volume of water, time, and cooking temperature (in the case of boiling and steam cooking); volume of water used, time, and power (in the case of microwave cooking)), factors of extraction (the concentration of the extraction solvent, the maceration time, the ultrasonication time), and their levels (minimum (−1) and maximum (+1)) were chosen by reference to preliminary analyses and bibliography. Grinding is also a factor that has a significant effect on the polyphenol content of raw and cooked vegetables according to several studies [25].
The mathematical model is a model without interaction:
Y= b0 + b1X1 + b2X2 + b3X3+ b4X4 + b5X5 + b6X6 + ɛ
where Y is the yield of total phenolics; b0 is the theoretical mean value of the response; b1, b2, b3, b4, b5, b6 are the main effects of the factors X1, X2, X3, X4, X5, X6, respectively; and ɛ is the error term [26].
The model is statistically significant when the coefficient of determination is close to 100% and its probability of nullity α is less than 0.05%.
A factor has a significant effect on total phenolic when its probability of nullity α is less than 0.05%.

2.4.2. Optimization of Responses

A central composite experiment design was used to optimize the effects of factors selected by the screening plan on the response of the noted polyphenol content. This experiment design is based on the surface plot method. It consists in modeling the results in the form of polynomial functions of the second degree, which is a quadratic model [27]. We have assigned for each coded variable (Xi) three levels: −1, 0 and +1. ±α represents the extreme values (max, min). For the design to be orthogonal and rotatable, the value of α was fixed by the software STATISTICA 7.0 (StatSoft, Inc., Tulsa, OK, USA) at 1.414.
The mathematical model of the second degree of composite centered design is:
Y = a0 + ΣaiXi + ΣaiiXi2 + ΣaijXiXj
ai: regression coefficients of linear effects; aii: regression coefficients of quadratic effects; Xi and Xj: coded experimental variables [27].

2.5. Determination of Total Polyphenols (TP)

The polyphenols are determined using the Folin–Ciocalteu reagent method [28].

2.6. LC-MS/MS Analysis

Analysis of the LC-MS/MS phenolic compounds was performed using a Shimadzu Nexera model CLUHP coupled to a tandem MS instrument (Shimadzu, Kyoto, Japan). The liquid chromatography is equipped with LC-30AD binary pumps, a DGU-20A3R degasser, a UDC CTO-10A column, and a SIL-30AC sampler. The chromatographic automatic separation was performed on an ODS-4 reverse phase C18 analytical column (150 mm × 4, 6 mm, 3 μm). The temperature of the column was set at 40 °C. The elution gradient was composed of amobile phase A (water, 5 mM ammonium formate, and 0.1% formic acid) and aphase mobile B (methanol, 5 mM ammonium formate, and 0.1% formic acid). The gradient program with the following proportions of solvent B was applied (t (min), %B) (0.40) (20.90), (23.99, 90), (24.40). The solvent flow rate was maintained at 0.5 mL/min and the injection volume was adjusted to 4 μL. The MS detection was performed using a Shimadzu LCMS 8040 quadrupole model LCMS mass spectrometer equipped with an ESI source operating in both positive and negative ionization modes. LC-MS/MS data was collected and processed by Lab Solutions software (Shimadzu, Kyoto, Japan). Multiple reactions (MRM) mode was used to quantify the analytes: the compounds tested were assayed in two or three transitions for each component, the first for quantitative purposes and the second and/or third for the confirmation.
In this study, twenty-four phenolic compounds (flavonoids, flavonoid glycosides, phenolic acids, phenol aldehyde, coumarin) and three non-phenolic organic acids that are widely distributed in food materials were qualified and quantified in potato

2.7. Antioxidant Activity

Evaluation of the antioxidant activity is carried 1,1-diphenyl-2-picryl-hydrazyl (DPPH), 2,2′-azino-bis(3-ethylbenzothiazoline-6-sulphonic acid) (ABTS), and cupric reducing antioxidant capacity (CUPRAC) methods.

2.7.1. DPPH Method

The evaluation of the antioxidant activity was carried out by the method of Blois [29].

2.7.2. ABTS Method

The evaluation of the antioxidant activity was carried out by the ABTS free radical scavenging method described by Re et al. [30].

2.7.3. CUPRAC Method

The evaluation of the antioxidant activity was carried out by the method of Özyürek et al. [31].

2.8. Anticholinesterase Activity

Anticholinesterase activity is carried out according to the method of Ellman [32].

2.9. Statistical Analysis

The means plus or minus the standard deviation of the three replicates of determination of total polyphenol content, evaluation of antioxidant activity, and anticholinesterase activity, as well as graphic representations, were performed with Excel 2013 (Microsoft Excel Version 3. 2013, Microsoft Corp., Redmond, WA, USA). Means were compared by single factor analysis of variance (ANOVA) analysis followed by a post-hoc Tukey test using STATISTICA 7.0 software (StatSoft, Inc., Tulsa, OK, USA). The superscript letters a, b, c, d, and e indicate a significant difference at the 0.05 significance level. The generation of the test matrices, the analysis of the results of the two experimental designs (Plackett–Burman and the central composite design) are generated with Minitab 17 software (Minitab Inc., State College, PA ,USA). The generation of surface plots and the optimization of the factors were made by STATISTICA 07.0 software (StatSoft, Inc., Tulsa, OK, USA).

3. Results and Discussion

3.1. Experiment Design

3.1.1. Screening Design

Raw potato: Design analysis shows that the coefficient of determination values and the adjusted coefficient of determination are close to 100%. The probability is less than 0.05, which indicates that the mathematical model of this plan is significant. The p values obtained for each factor showed that the maceration time and the ultasonication time had significant effects on the response total phenolic (Figure 1). The polynomial equation for the response is:
TP = 14685 + 242A + 242B − 1259C + 4257D
Steaming: Analysis of the p values shows that cooking time and the cooking temperature had a significant effect on the response (Figure 2). The coefficient of determination indicates that 99.3% of the response variability could be explained by the model. The polynomial model equation is:
TP = 6049 + 531A − 5530B + 291C − 92D − 274E + 169F − 27G
Boiling: The coefficient of determination is close to 100% and p is less than 0.05, indicating that the model is significant. Among the variables tested, the cooking time and the cooking temperature had a significant effect on the response (Figure 3). The polynomial equation for the response is:
TP = 1408 − 567A + 615B + 163C + 107D + 101E − 99F + 156G
Microwaving: The coefficient of determination values and the adjusted coefficient of determination are close to 100% and the value of p obtained for this model is less than 0.05, which indicates that the model is significant. The variables having a significant effect on the response are cooking time and power (Figure 4). The polynomial equation for the response is:
TP = 10224 + 5058A + 2593B − 425C + 749D + 1181E − 1497F − 1348G

3.1.2. Central Composite Design

Raw Potato
After looking for the effect of each parameter, we want to optimize the extraction conditions of the polyphenols. The level of polyphenols depends on two factors of m = 2 factors (maceration time and ultrasonication time).
Both the coefficient of determination and the adjusted coefficient are close to 100% and the p value for the model was 0.000, indicating that the model was extremely significant. The quadratic polynomial equation is:
TP = 14626 + 36.85A − 745B + 0.00591AA + 22.03BB − 1.331AB
The linear terms (maceration time (A), ultrasonication (B)), the quadratic terms (square of maceration time (AA) and ultrasonication time (BB) and the interaction between the two-factor (AB) were extremely significant.
Surface plot illustrating the evolution of the response according to the levels of maceration time and ultrasonication was plotted (Figure 5).
The maximum accuracy is obtained for a desirability close to 1. Prediction of optimal conditions was: maceration time: 60 min, and ultrasonication time, 60 min, and predicted polyphenol content is 4.667 × 104 µg Gallic Acid Equivalent (GAE)/g of extract (Figure 6)..
The results of the optimization are confirmed by the determination of the total polyphenols with the factors selected at the optimum point (Table 2). There is not a significant difference between measured and predicted values which confirms the validation of the model.
Steaming
Factors selected by the screening design (cooking time and cooking temperature) are optimized. The p-value for the model was 0.0007, indicating that the model was highly significant. Linear terms (cooking time (A), and cooking temperature (B) and the quadratic terms (square of cooking time (AA) and square of cooking temperature (BB) were extremely significant. Interaction between the two factors (AB) is not significant. The coefficient of determination value is 94.79%.
The polynomial equation is:
TP = 524 + 1961A + 2162B + 5527AA + 3629BB − 391AB
The surface plot and isoresponse curve were plotted according to the two factors (Figure 7).
The optimum conditions were set as follows: cooking temperature: 91.9192 °C and the cooking time: 30 min. The predicted polyphenol content is 1.416 × 104 µg GAE/g of extract (Figure 8).
The results of the optimization are confirmed by the determination of the total polyphenols with the factors selected at the optimum point (Table 3). There is not a significant difference between measured and predicted values, which confirms the validation of the model.
Cooking in Water
The two factors of cooking time and cooking temperature are optimized. The coefficients of determination obtained are high, indicating that the model is significant. Therefore, time (A) and temperature (B) significantly affected the total polyphenol content. The second-order effect of cooking time (AA) and the second-order effect of cooking temperature (BB) significantly affected the responses. Analysis of the interactions between the two factors showed that AB had a significant effect on the response.The quadratic polynomial equation is:
TP = 917.4 − 483.9A + 153.9B + 275.6AA + 472.0BB + 546.4AB
The surfaceplot illustrating the evolution of the response as a function of the levels of the two selected factors was plotted (Figure 9).
The optimum conditions for achieving the best polyphenol content are: time: 10 min and temperature: 80 °C, and predicted polyphenol content is 3356.08 GAE/g of extract (Figure 10).
The optimum conditions obtained were applied to the laboratory to confirm the validity of the model (Table 4). There is no significant difference between the measured and predicted values, which confirms the validation of the model.
Microwave Cooking
The two factors cooking time and power factors were used for optimizing the total polyphenol response. The probability obtained for this model is <0.0001 which indicates that the mathematical model corresponds to the response. The coefficients of determination obtained are high, indicating that the model is significant. Therefore, time (A) and power (B) significantly affected the total polyphenol content. The second-order effect of cooking time (AA) significantly affected the response, while the second-order effect of power (BB) did not show any significant difference. Analysis of the interactions between the two factors showed that AB had a significant. The polynomial equation obtained for the response is:
TP = 14570 + 4418A + 1803B − 3050AA − 373BB − 2344AB
The surface plot and iso-response curve are shown in Figure 11.
The optimum conditions obtained are as follows: cooking time: 13.23 min, power: 448.48 Watts (Figure 12), and the predicted polyphenol content is 16,210 µg GAE.
The optimum values obtained were verified experimentally (Table 5). There is no significant difference between the measured and predicted values, which confirms the validation of the model.

3.2. Effect of Cooking on Total Polyphenol Content

There is a significant difference (p < 0.05) between the total polyphenol contents of raw potato, steam cooked, cooked in water, and microwaved (Figure 13).
These results indicate the richness of the potato in polyphenols, which has been proved by several studies [20,33,34,35]. The results obtained show that the three modes of cooking cause a decrease in the total polyphenol contents. The polyphenols are lost to different degrees according to the method of cooking, the classification of the polyphenol contents places the microwave in the first position, then comes the steam cooking and lastly the cooking in the water. The analysis of the cooking waters showed the presence of the phenolic compounds but at very low levels. The boiling water contains a high total polyphenol content relative to that obtained from steam cooking, and this is confirmed by the analysis of the variance where a significant difference was obtained between the two grades.
Several studies have shown that the cooking method reduces total phenolic content [20,21,36,37]. This decrease may be due to the thermal destruction of these compounds [17,38,39] and the solubilization of certain phenolic compounds in cooking water [40,41].
The chemical structure strongly influences the loss of total polyphenols, which may explain the differences between the three modes of cooking, as polyphenols are grouped into subclasses with common chemical skeletons, components of the same sub-class are affected differently by cooking. These variations can be explained by the hydroxylation scheme, sugar bonding, molecular size, polarity, and solubility of these compounds [21].
The decrease in polyphenol content during microwaving may be caused by the breakdown of weak hydrogen bonds by dipolar rotation of molecules [42]. This treatment accelerates the breakdown of the cells by causing a rapid increase in temperature and internal pressure in the walls of plant cells, which can lead to thermal destruction of polyphenols [43,44].
Referring to the bibliography, the results obtained on the effect of cooking on some phenolic compounds are contradictory. Several studies have confirmed that different cooking methods reduce phenolic compounds in potatoes, regardless of the cooking conditions: high cooking temperature levels, long duration, or a combination of factors [20], which is used to describe the temperature of the baking process [36,45].
Perla et al. [20] studied the impact of boiling and microwave cooking methods on potato phenolic compounds of five varieties with different skin and flesh colors after six months of storage. The level of phenolic compounds was reduced by both cooking methods, but boiling minimized these losses.
Mulinacci et al. [46] studied the effect of two cooking methods (boiling and microwave) on the phenolic and anthocyanin content of three varieties of potato.
Burgos et al. [47] showed that cooking of unpeeled potatoes did not cause any loss of phenolic compounds.
However, some authors have reported that cooking increases the content of these compounds, and this increase is attributed to the facilitated release of phenolic compounds previously bound to the cellular constituents during cooking. This release would compensate for any thermal degradation loss [48]. Navarre et al. [49] demonstrated that cooking in water lasting 18 min results in an increase in total polyphenol contents.
According to Faller and Fialho [22], cooking of the potato for 6.5 min increases the content of hydrolysable polyphenols. On the other hand it reduces the rate of soluble fractions. This result may explain the decrease in the phenolic acid and tannin content of the potato.

3.3. LC-MS/MS Analysis

Changes in the contents of 27 components were measured after boiling, steaming and microwaving of potato (Table 6). LC-MS/MS analysis showed that the potato contains considerable amounts of tr-caffeic acid, apigenin, rhamnetin and chrysin. The cooking waters have small amounts of phenolic compounds. Analysis of the steaming water showed the presence of quinic acid, malic acid, chlorogenic acid, protocatechuic acid, tannic acid, and tr-caffeic acid with the appearance of two phenolic compounds which have not been detected in the plant matrix and are: 4-OH benzoic acid and quercetin. The identification and quantification of the phenolic compounds before and after cooking confirmed the spectrophotometric assay results. The three modes of cooking cause a decrease in the phenolic compounds; the microwave mode was the most effective in retaining the phenolic content. The cooking waters have small amounts of polyphenols. During the culinary treatment of potatoes, its intracellular structures undergo degradation, resulting in the release of phenolic acids from their non-soluble complexes [17].
The most poorly retained compounds were p-coumaric acid and rosmarinic acid, which were found in trace amounts in the case of cooking in water, and totally lost in the case of steam cooking. Although retention varied widely between polyphenols, many were affected in the same way by the three modes of cooking studied. The content of certain phenolic acids, chlorogenic acid, protocatechuic acid, tannic acid, and tr-caffeic acid remained almost stable during treatment despite their presence and solubilization in the cooking waters, this is probably due to their production by the breakdown of more complexpolyphenols [21].
A slight increase in coumarin after cooking and the appearance of two phenolic compounds in the steam cooking water that were not detected in the vegetable matrix (4-OH benzoic acid and quercetin) may be due to the release of the aglycones following the breakdown of more complex glycosides or esters during the treatment. In addition, certain phenolics may also be linked to non-digestible components of the food matrix, and breakage of the cellular structure by treatment can cause their release and solubilization [50].
These results are different from those obtained by Tudela et al. [17], which resulted in about 50% chlorogenic acid loss and Dao and Friedman [51], who showed that boiling decreased the amount of this acid–phenol ratio of 60%. The lowest changes in chlorogenic acid content were observed after microwave cooking, of −45% [36].

3.4. Antioxidant Activity

For the evaluation of the antioxidant activity, three methods were used. For each method two approaches are applied: on the one hand, determination of the relative reduction of DPPH, ABTS, and the reduction of copper, and determination, on the other hand, of the amount of antioxidant necessary to reduce 50% DPPH, ABTS, and Cu2+.
The antioxidant activities of raw and cooked (in water, steam, and microwave) potato extracts were tested and then compared to those of a reference antioxidant, Butylated hydroxyanisole (BHA). The results obtained for the three methods are presented in the Figure 14.
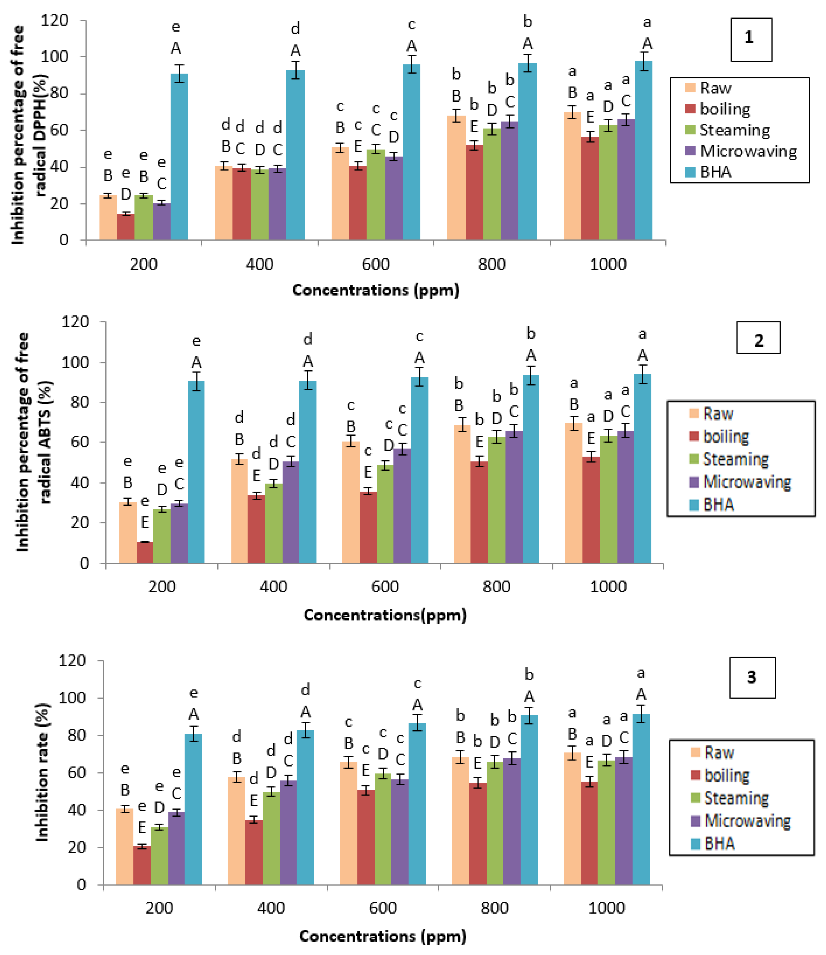
The results of the three methods of evaluating reductive activity expressed in I% clearly show that the potato extract has a moderate antioxidant power. The antioxidant activity increases with increasing concentration of the extract. This antioxidant activity was reduced by cooking to different degrees according to the cooking method. The classification of the cooking modes according to the degree of reduction of the antioxidant activity places the cooking in the microwave in the first position, then comes the steaming and, lastly, the cooking in water. The decrease in antioxidant activity may be related to the reduction of polyphenols by the various methods of cooking. Generally, the literature reports that there is a relationship between the content of phenolic compounds and antioxidant properties [52]. According to Hayes et al. [53] the antioxidant activity generally depends on the number and the position of the hydroxyl groups relative to the functional carboxyl groups. Montoro et al. [54] have shown that flavonoids are compounds exhibit high antioxidant activity. Caffeic acid (3,4-dihydroxycinnamic acid), one of the main hydroxycinnamic acids present in the potato extract, has been identified as one of the active antioxidants. Gulcin [55] evaluated the antioxidant activity of caffeic acid using different in vitro antioxidant tests, such as 2-azino-bis (3-ethylbenzthiazoline-6-sulfonic acid) (ABTS), antiradical activity of 1,1-diphenyl-2-picryl-hydrazyl (DPPH). The caffeic acid showed a potent antioxidant activity compared to the reference antioxidants (BHA, BHT, and α-Tocopherol).
These results are confirmed by the calculation of the parameter IC50 (Table 7). The results of ANOVA analysis showed a significant difference (p < 0.05) between the IC50s of raw and cooked potatoes (in water, steam, and microwave), and this has been observed for all the methods applied for the evaluation of the antioxidant activity.
From these results, it is noted that the IC50 of the cooked potatoes are higher than the IC50 of the raw potato. This indicates a decrease in antioxidant activity by the cooking process. The mode of cooking potatoes “in water” showed the highest IC50, i.e., the lowest antioxidant activity, followed by steaming and cooking in water. Potato IC50s are lower than IC50 BHA, meaning that raw and cooked potatoes have lower antioxidant activity than the reference antioxidant.
Similar results have also been obtained in previous studies.
According to Tian et al. [56], a moderate reduction in activity was observed after boiling and cooking in the microwave, while steaming reduced antioxidant activity by 21.57%.
Perla et al. [20] recorded significant decreases of 42.22% and 50.47% in the radical–antiradical activity due to boiling and microwaving.
Lemos et al. [57] also reported that cooking decreased the antioxidant activity of potatoes.
According to Faller and Fialho [22] cooking led to reductions in antioxidant capacity for most vegetables, with small differences between boiling, microwaving, and steaming. The polyphenols showed a positive correlation with antioxidant capacity in raw and cooked potatoes.

3.5. Anticholinesterase Activity

The antiacetylcholinesterase and antibutyrylcholinesterase activities of raw and cooked potato extracts (in water, steam, and microwave) were tested and then compared to that of a reference inhibitor, galantamine. The results obtained are presented in the Figure 15.
Potato extracts showed low inhibitory activity of acetylcholinesterase (AChE) and butyrylcholinesterase (BChE). A decrease in anticholinesterase activity was obtained after cooking, a significant difference (p < 0.05) exists between the raw potato and the cooked samples and the different concentrations of the extract.
This activity was decreased by cooking to different degrees according to the cooking method. The classification of the cooking modes according to the degree of reduction of the anticholinesterase activity places the microwave in the first position, then steam cooking and, lastly, cooking in water. From the values obtained, there is a significant difference (p < 0.05) between the raw potato, cooked potato, and the galantamine.
The raw and cooked potato extracts exhibit high IC50s for anti-acetylcholinesterase activity and antibuturylcholinesterase activity, indicating low anticholinesterase activity (Table 8). The IC50 obtained for the galantamine used asareference molecule is much lower than those of the extract, so galantamine has a better inhibitory activity of AChE and BChE. Galantamine is widely used as a reference substance in in vitro assays because of its strong inhibitory effect on AChE [58]. Today, it is authorized in several European countries as a treatment for AD in advanced stages [59].
The mode of cooking potatoes “in water” showed the highest IC50, i.e., the lowest anticholinesterase activity, followed by steaming and cooking in water.
Although most of the known potato inhibitors of the AChE enzyme are alkaloids [60] several studies have recently been carried out to identify other natural molecules that may have significant anti-AChE activity
Thus, according to Houghton et al. [61], several compounds, other than alkaloids, have a high ability to inhibit the AChE enzyme, such as terpenoids, phenolic compounds, flavonoids and isocoumarins. Several studies have shown strong anticholinesterase activity of phenolic compounds [62,63,64].
Several studies have shown the correlation between phenolic compounds and anticholinesterase activity. Several natural polyphenols have shown anticholinesterase effects [65]. In most in vivo studies, the anticholinergic activity of polyphenol was accompanied by an improvement in cognitive functions, such as learning and memory [66].
However, the exact mechanism of interaction with polyphenols in the cholinergic system is not yet clear [65].
Despite the richness of the potato raw and cooked in polyphenols, low anticholinesterase activity was obtained. This may be due to the nature and chemical structure, as well as the synergy and interactions between the polyphenols before and after cooking.
The number and position of the other hydroxyl groups in the molecules tested played a minor role in this context. Aglycones were the most effective cholinesterase inhibitors of their corresponding glycosylated forms. Overall, the results show that phenolic acids can play a role in neuroprotection [60].
Szwajgier [67] measured anticholinesterase activities of nine phenolic acids and six flavonoids, alone or in combination. The synergy/antagonism/lack of interaction between the compounds was evaluated taking into account the statistical significance. The modified spectrophotometric method of Ellman was used for the measurement of anticholinesterase activity. Anti-acetylcholinesterase activities were classified in this order: homogentisic acid > 4-hydroxyphenylpyruvic acid > nordihydroguaiaretic acid > rosmarinic acid > caffeic acid > acid gallic > homovanillic acid > sinapic acid. In most cases, a paired interaction of these phenolic compounds: p-hydroxyphenylpyruvic, caffeic, chlorogenic, gentisic, and homogentisic acids and nordihydroguaiaretic, rosmarinic acids have a lower inhibitory activity (p < 0.05) to the compound activity alone. In addition, interactions between phenolic acids in pairs with flavonoids (cyanidin, delphinidin, kaempferol, myricetin, phloridzine, pelargonidin, or quercetin), in most cases, have a lower inhibitory activity than that calculated separately for the two compounds (p > 0.05).

4. Conclusions

The results obtained in this study indicate that cooking has a negative impact on total phenolic content, antioxidant, and anticholinesterase activities of the Spunta variety of potato. Results obtained for the three cooking modes are different, which is due to the difference in the type of polyphenol bonds with the various components of potato matrix, extraction parameters, and analysis procedures. However, cooking in a microwave oven can be suggested as the best method of cooking to preserve phenolic compounds in these cases, as potato tissue is not placed in direct contact with hot water and the leaching of compounds in water is minimized.

Acknowledgments

The authors are thankful to I.N.A.T.A.A. (Institut de la Nutrition, de l’Alimentation et des Technologies Agro-Alimentaires, Université des Frères Mentouri-Constantine 1) for its support in this study.

Author Contributions

I.L. performed the experiments, data analysis and interpretation, wrote the paper; M.B. supervised the study and contributed in data analysis and interpretation.

Conflicts of Interest

The authors declare no conflict of interest.

References

  1. Kaulman, A.; Bohn, T. Carotenoids inflammation and oxidative stress-implications of cellular signalling pathways and relation disease prevention. Nutr. Res. 2014, 34, 907–929. [Google Scholar] [CrossRef] [PubMed]
  2. Aune, D.; Chan, D.S.; Vieira, A.R.; Navarro Rosenblatt, D.A.; Vieira, R.; Greenwood, D.C.; Norat, T. Dietary compared with blood concentrations of carotenoids and breast cancer risk: A systematic review and meta-analysis of prospective studies. Am. J. Clin. Nutr. 2012, 96, 356–373. [Google Scholar] [CrossRef] [PubMed]
  3. Boeing, H.; Bechthold, A.; Bub, A.; Ellinger, S.; Haller, D.; Kroke, A.; LeschikBonnet, E.; Müller, M.J.; Oberritter, H.; Schulze, M.; et al. Critical review: Vegetables and fruit in the prevention of chronic diseases. Eur. J. Nutr. 2012, 51, 637–663. [Google Scholar] [CrossRef] [PubMed]
  4. Chiva-Blanch, G.; Visioli, F. Polyphenols and health: Moving beyond antioxidants. J. Berry Res. 2012, 2, 63–71. [Google Scholar]
  5. Giampieri, F.; Tulipani, S.; Alvarez-Suare, J.M.; Quiles, J.L.; Mezzetti, B.; Battino, M. The strawberry: Composition, nutritional quality, and impact on human health. Nutrition 2012, 28, 9–19. [Google Scholar] [CrossRef] [PubMed]
  6. Zhao, L.; Lee, J.Y.; Hwang, D.H. Inhibition of pattern recognition receptor-mediated inflammation by bioactive phytochemicals. Nutr. Rev. 2011, 69, 310–320. [Google Scholar] [CrossRef] [PubMed]
  7. Singh, M.; Singh, P.; Shukla, Y. New strategies in cancer chemoprevention by phytochemicals. Front. Biosci. (Elite Ed.) 2012, 4, 426–452. [Google Scholar] [CrossRef] [PubMed][Green Version]
  8. Baldrick, F.R.; Woodside, J.V.; Elborn, J.S.; Young, I.S.; McKinley, M.C. Biomarkers of fruit and vegetable intake in human intervention studies: A systematic review. Crit. Rev. Food Sci. Nutr. 2011, 51, 795–815. [Google Scholar] [CrossRef] [PubMed]
  9. Henning, S.M.; Yang, J.; Hsu, M.; Lee, R.P.; Grojean, E.M.; Ly, A.; Tseng, C.H.; Heber, D.; Li, Z. Decaffeinated green and black tea polyphenols decrease weight gain and alter microbiome populations and function in diet-induced obese mice. Eur. J. Nutr. 2017, 1–11. [Google Scholar] [CrossRef] [PubMed]
  10. Palermo, M.; Pellegrini, N.; Foglianoc, V. Effect of cooking on vegetable phytochemicals. J. Sci. Food Agric. 2014, 94, 1057–1107. [Google Scholar] [CrossRef] [PubMed]
  11. Dal-Pan, A.; Bourassa, S.D.; Morgane, P.B.; Cyntia, T.; Yves, D.; Calon, F. Cognitive-Enhancing Effects of a Polyphenols-Rich Extract from Fruits without Changes in Neuropathology in an Animal Model of Alzheimer’s Disease. J. Alzheimers Dis. 2017, 55, 115–135. [Google Scholar] [CrossRef] [PubMed]
  12. Ayaz, M.; Junaid, M.; Ahmed, J.; Ullah, F.; Sadiq, A.; Ahmad, S.; Imran, M. Phenolic contents, antioxidant and anticholinesterase potentials of crude extract, subsequent fractions and crude saponins from Polygonum hydropiper L. BMC Complement. Altern. Med. 2014, 14, 145. [Google Scholar] [CrossRef] [PubMed]
  13. NunesTavares, N.; Santos, L.E.; Stutz, B.; BritoMoreira, J.; Klein, W.L.; Ferreira, S.T.; de Mello, F.G. Inhibition of choline acetyltransferase as a mechanism for cholinergic dysfunction induced by amyloid-peptide oligomers. J. Biol. Chem. 2012, 287, 19377–19385. [Google Scholar] [CrossRef] [PubMed]
  14. Lee, S.H.; Kim, K.R.; Ryu, S.Y.; Son, S.; Hong, H.S.; MookJung, I.; Lee, S.H.; Ho, W.K. Impaired short-term plasticity in mossy fiber synapses caused by mitochondrial dysfunction of dentate granule cells is the earliest synaptic deficit in a mouse model of Alzheimer’s disease. J. Neurosci. 2012, 32, 5953–5963. [Google Scholar] [CrossRef] [PubMed]
  15. Akyol, H.; Riciputi, Y.; Capanoglu, E.; Caboni, M.F.; Verardo, V. Phenolic compounds in the potato and its byproducts: An overview. Int. J. Mol. Sci. 2016, 17, 835. [Google Scholar] [CrossRef] [PubMed]
  16. Tiwari, U.; Cummins, E. Factors influencing levels of phytochemicals in selected fruit and vegetables during pre-and post-harvest food processing operations. Food Res. Int. 2013, 50, 497–506. [Google Scholar] [CrossRef]
  17. Tudela, J.A.; Cantos, E.; Espin, J.C.; Tomás-Barberán, F.A.; Gil, M.I. Induction of Antioxinat Flavonol Biosynthesis in Fresh-Cut Potatoes. Effect of Domestic Cooking. J. Agric. Food Chem. 2002, 50, 5925–5931. [Google Scholar] [CrossRef] [PubMed]
  18. Im, H.W.; Suh, B.S.; Lee, S.U.; Kozukue, N.; Ohnisi-Kameyama, M.; Levin, C.E.; Friedmen, M. Analysis of Phenolic Compounds by High-Performance Liquid Chamatography and Liquid Chromatography/Mass Spectrometry in Potato Plant Flowers, Leaves, Stems, and Tubers and in Home-Processed Potatoes. J. Agric. Food Chem. 2008, 56, 3341–3349. [Google Scholar] [CrossRef] [PubMed]
  19. Xu, B.; Chang, S.K.C. Phytochemical Profiles and Health-Promoting Effects of Cool-Season Food Legumes As Influenced by Thermal Processing. J. Agric. Food Chem. 2009, 57, 10718–107131. [Google Scholar] [CrossRef] [PubMed]
  20. Perla, V.; Holm, D.G.; Jayanty, S. Effects of cooking methods on polyphenols, pigments and antioxidant activity in potato tubers. LWT 2012, 45, 161–171. [Google Scholar] [CrossRef]
  21. Rothwell, J.A.; Medina-Remon, A.; Pérez-Jiménez, J.; Neveu1, V.; Knaze1, V.; Slimani, N.; Scalbert, A. Effects of food processing on polyphenol contents: A systematic analysis using Phenol-Explorer data. Mol. Nutr. Food Res. 2015, 59, 160–170. [Google Scholar] [CrossRef] [PubMed]
  22. Faller, A.L.K.; Fialho, E. The antioxidant capacity and polyphenol content of organic and conventional retail vegetables after domestic cooking. Food Res. Int. 2009, 42, 210–215. [Google Scholar] [CrossRef]
  23. Ignat, I.; Volf, I.; Popa, V.I. A critical review of methods for characterisation of polyphenolic compounds in fruits and vegetables. Food Chem. 2011, 126, 1821–1835. [Google Scholar] [CrossRef] [PubMed]
  24. Plackett, R.L.; Burman, J.P. The Design of Optimum Multifactorial Experiments. Biometrika 1946, 33, 305–325. [Google Scholar] [CrossRef]
  25. Kim, A.N.; Kim, H.J.; Kerr, W.L.; Choi, S.G. The effect of grinding at various vacuum levels on the color, phenolics, and antioxidant properties of apple. Food Chem. 2017, 216, 234–242. [Google Scholar] [CrossRef] [PubMed]
  26. Verma, U.; Naik, J.B.; Patil, J.S.; Yadava, S.K. Screening of process variables to enhance the solubility of famotidine with 2-HydroxyPropyl–β-Cyclodextrin& PVP K-30 by using Plackett-Burmandesign approach. Mater. Sci. Eng. C Mater. Biol. Appl. 2017, 77, 282–292. [Google Scholar] [PubMed]
  27. Almansoorya, A.F.; Abu Hasanb, H.; Idrisa, M.; Sheikh Abdullahb, S.R.; Anuarb, N.; Musa Tibind, E.M. Biosurfactant production by the hydrocarbon-degrading bacteria (HDB) Serratia marcescens: Optimization using central composite design (CCD). J. Ind. Eng. Chem. 2017, 47, 272–280. [Google Scholar] [CrossRef]
  28. Waterhouse, A. Folin-Ciocalteu Micro Method for Total Phenol in Wine. Food Anal. Chem. 1999, 299, 152–178. [Google Scholar]
  29. Blois, M.S. Antioxidant determinations by the use of a stable free radical. Nature 1958, 181, 1199–1200. [Google Scholar] [CrossRef]
  30. Re, R.; Pellegrini, N.; Proteggente, A.; Pannala, A.; Yang, M.; Rice-Evans, C. Antioxidant activity applying an improved ABTS radical cation decolorization assay. Free Radic. Biol. Med. 1999, 26, 1231. [Google Scholar] [CrossRef]
  31. Özyürek, M.; Güçlü, K.; Apak, R. The main andmodified CUPRAC methods of antioxidant measurement. TrAC-Trends Anal. Chem. 2011, 30, 652–664. [Google Scholar] [CrossRef]
  32. Ellman, G.L.; Courtney, K.D.; Andres, V.; Featherstone, R.M. A new and rapid colorimetric determination of acetylcholinesterase activity. Biochem. Pharmacol. 1961, 7, 88–95. [Google Scholar] [CrossRef]
  33. Deußer, H.; Guignard, C.; Hoffmann, L.; Evers, D. Polyphenol and glycoalkaloid contents in potatocultivars grown in Luxembourg. Food Chem. 2012, 135, 2814–2824. [Google Scholar] [CrossRef] [PubMed]
  34. Zarzecka, K.; Gugała, M.; Zarzecka, M. Potato as a good source of nutrients. Postępy Fitoterapii 2013, 3, 191–194. (In Polish) [Google Scholar]
  35. Rytel, E.; Tajner-Czopek, A.; Kita, A.; Aniolowska, M.; Kucharrska, A.Z.; Sokol-Letowska, A.; Hamouz, A. Content bof polyphenols in coloures and yellow fleshed potatoes during dices processing. Food Chem. 2014, 161, 224–229. [Google Scholar] [CrossRef] [PubMed]
  36. Friedman, M.; Levin, C.E. Analysis and biological activities of potato glycoalkaloids, calystegine alkaloids, phenolic compounds and anthocyanins. In Advances in Potato Chemistry and Technology; Singh, J., kaur, L., Eds.; Burlington: Burlington, NJ, USA; Academic: Cambridge, MA, USA, 2009; pp. 127–162. [Google Scholar]
  37. Jung, J.K.; Lee, S.U.; Kozukue, N.; Levin, C.; Friedman, M. Distribution of phenolic compounds and antioxidative activities in parts of sweet potato (Ipomoea batatas L.) plants and in home processed roots. J. Food Compos. Anal. 2011, 24, 29–37. [Google Scholar] [CrossRef]
  38. Vallejo, F.; Tomas-Barberan, F.A.; Garcia-Viguera, C. Phenolic compound contents in edible parts of broccoli inflorescences after domestic cooking. J. Sci. Food Agric. 2003, 83, 1511–1516. [Google Scholar] [CrossRef]
  39. Zhao, Y.; Wu, X.; Yu, L.; Chen, P. Retention of polyphenols in blueberries (Vaccinium corymbosum) after different cooking methods, using UHPLC–DAD–MS based metabolomics. J. Food Compos. Anal. 2017, 56, 55–66. [Google Scholar] [CrossRef]
  40. Makris, D.P.; Rossiter, J.T. Domestic processing of onion bulbs (Allium cepa) and Asparagus spears (Asparagus officinalis): Effect on flavonol content and antioxidant status. J. Agric. Food Chem. 2001, 49, 3216–3222. [Google Scholar] [CrossRef] [PubMed]
  41. Laib, I.; Barkat, M. Impact of cooking and conservation for twelve days on total polyphenols content, antioxidant and anticholinesterase activities of red onion. Afr. J. Pharm. Pharmacol. 2016, 10, 270–277. [Google Scholar] [CrossRef]
  42. Yeoh, S.; Shi, J.; Langrish, T.A.G. Comparisons between different techniques for water-based extraction of pectin from orange peels. Desalination 2008, 218, 229–237. [Google Scholar] [CrossRef]
  43. Inoue, T.; Tsubaki, S.; Ogawa, B.; Onishi, K.; Azuma, J.I. Isolation of hesperidin from peels of thinned Citrus unshiu fruits by microwave-assisted extraction. Food Chem. 2010, 123, 542–547. [Google Scholar] [CrossRef]
  44. Jawad, A.; Langrish, T.A.G. Optimisation of total phenolic acids extraction from mandarin peels using microwave energy: The importance of the Maillard reaction. J. Food Eng. 2012, 109, 162–174. [Google Scholar]
  45. Orsák, M.; Lachman, J.; Vejdová, M.; Pivec, V.; Hamouz, K. Changes of selected secondary metabolites in potatoes and buckwheat caused by UV, γ- and microwave Irradiation. Rostl. Výroba 2001, 47, 493–500. [Google Scholar]
  46. Mulinacci, N.; Ieri, F.; Giaccherini, C.; Innocenti, M.; Andrenelli, L.; Canova, G.; Saracchi, M.; Casiraghi, M.C. Effect of cooking on the anthocyanins, phenolic acids, glycoalkaloids, and resistant starch content in two pigmented cultivars of Solanum tuberosum L. J. Agric. Food Chem. 2008, 56, 11830–11837. [Google Scholar] [CrossRef] [PubMed]
  47. Burgos, G.; Amoros, W.; Munoa, L.; Sosa, P.; Cayhualla, E.; Sanchez, C.; Diaz, C.; Bonierbale, M. Total phenolic, total anthocyanin and phenolic acid concentrations and antioxidant activity of purple-fleshed potatoes as affected by boiling. J. Food Compos. Anal. 2013, 30, 6–12. [Google Scholar] [CrossRef]
  48. Dewanto, V.; Wu, X.; Adom, K.K.; Liu, R.H. Thermal processing enhances the nutritional value of tomatoes by increasing total antioxidant activity. J. Agric. Food Chem. 2002, 50, 3010–3014. [Google Scholar] [CrossRef] [PubMed]
  49. Navarre, D.A.; Shakya, R.; Holden, M.; Kumar, S. The effect of different cooking methods on phenolics and vitamin C. Am. J. Potato Res. 2010, 87, 350–359. [Google Scholar] [CrossRef]
  50. Acosta-Estrada, B.A.; Gutiérrez-Uribe, J.A.; Serna-Saldivar, S.O. Bound phenolics in foods, a review. Food Chem. 2012, 152, 46–55. [Google Scholar] [CrossRef] [PubMed]
  51. Dao, L.; Friedman, M. Chlorophyll, chlorogenic acid, glycoalkaloid and protease inhibitor content of fresh and green potatoes. J. Agric. Food Chem. 1994, 42, 633–639. [Google Scholar] [CrossRef]
  52. Zhao, H.; Dong, J.; Lu, J.; Chen, J.; Lin, Y.; Shan, L. Effects of extraction solvents mixtures on antioxidant activity evaluation and their extraction capacity and selectivity for free phenolic compounds in barley (Hordeum vulgare L.). J. Agric. Food Chem. 2006, 54, 7277–7286. [Google Scholar] [CrossRef] [PubMed]
  53. Hayes, J.E.; Allen, P.; Brunton, N.; O’Grady, M.N.; Kerry, J.P. Phenolic composition and in vitro antioxidant capacity of four commercialphytochemical products: Olive leaf extract (Olea europaea L.), lutein, sesamolandellagic acid. Food Chem. 2011, 126, 948–955. [Google Scholar] [CrossRef]
  54. Montoro, P.; Braca, A.; Pizza, C.; De Tommasi, N. Structure antioxydant activity relationships of flavonoids isolated from different plant species. Food Chem. 2004, 92, 349–355. [Google Scholar] [CrossRef]
  55. Gülcin, I. Antioxidant activity of caffeic acid (3,4-dihydroxycinnamic acid). Toxicology 2006, 217, 213–220. [Google Scholar] [CrossRef] [PubMed]
  56. Tian, J.; Chen, J.; Ye, X.; Chen, S. Health benefits of the potato affected by domestic cooking: A review. Food Chem. 2016, 22, 165–175. [Google Scholar] [CrossRef] [PubMed]
  57. Lemos, M.A.; Aliyu, M.M.; Hungerford, G. Influence of cooking on the levels of bioactive compounds 472 in Purple Majesty potato observed via chemical and spectroscopic means. Food Chem. 2015, 173, 462–467. [Google Scholar] [CrossRef] [PubMed]
  58. Lopez, S.; Bastida, J.; Viladomat, F.; Codina, C. Acetylcholinesterase inhibitory activity of some Amaryllidaceae alkaloids and Narcissus extracts. Life Sci. 2002, 71, 2521–2529. [Google Scholar] [CrossRef]
  59. Sramek, J.J.; Frackiewics, E.J.; Cutler, N.R. Review of the acetylcholinesterase inhibitor galanthamine. Expert Opin. Investig. Drugs 2000, 9, 2393–2402. [Google Scholar] [CrossRef] [PubMed]
  60. Szwajgier, D. Anticholinesterase activity of phenolic acids and their derivatives. Z. Naturforschung C 2013, 68, 125–132. [Google Scholar] [CrossRef]
  61. Houghton, P.J.; Ren, Y.; Howes, M.J. Acetylcholinesterase inhibitors of plant and fungi. Nat. Prod. Rep. 2006, 23, 181–199. [Google Scholar] [CrossRef] [PubMed]
  62. Ryu, H.W.; Curtis-Long, M.J.; Jung, S.; Jeong, I.Y.; Kim, D.S.; Kang, K.Y.; Park, K.H. Anticholinesterase potential of flavonols from paper mulberry (Broussonetia papyrifera) and their kinetic studies. Food Chem. 2012, 132, 1244–1250. [Google Scholar] [CrossRef] [PubMed]
  63. Aderogba, M.A.; Ndhlala, A.R.; Van Staden, J. Acetylcholinesterase inhibitory activity and mutagenic effects of Croton penduliflorus leaf extract constituents. S. Afr. J. Bot. 2013, 87, 48–51. [Google Scholar] [CrossRef]
  64. Xian, X.; Jianguo, C.; Yunxia, Z.; Quanxi, W.; Jianbo, X. Flavonoid concentrations and bioactivity of flavonoid extracts from 19 species of ferns from China. Ind. Crops Prod. 2014, 58, 91–98. [Google Scholar]
  65. Zhang, Z.H.; Xi, G.M.; Li, W.C.; Ling, H.Y.; Qu, P.; Fang, X.B. Cyclic-AMP response element binding protein and tau are involved in the neuroprotective mechanisms of nerve growth factor during focal cerebral ischemia/reperfusion in rats. J. Clin. Neurosci. 2010, 17, 353–356. [Google Scholar] [CrossRef] [PubMed]
  66. Huang, X.T.; Qian, Z.M.; He, X.; Gong, Q.; Wu, K.C.; Jiang, L.R.; Lu, L.N.; Zhu, Z.J.; Zhang, H.Y.; Yung, W.H.; et al. Reducing iron in the brain: A novel pharmacologic mechanism of huperzine A in the treatment of Alzheimer’s disease. Neurobiol. Aging 2014, 35, 1045–1054. [Google Scholar] [CrossRef] [PubMed]
  67. Szwajgier, D. Anticholinesterase activity of selected phenolic acids and flavonoids—Interaction testing in model solutions. Ann. Environ. Med. 2015, 22, 690–694. [Google Scholar] [CrossRef] [PubMed]
Figure 1. Pareto diagram of normalized effects (α = 0.05). A: concentration of solvent; B: grinding; C: maceration time; and D: ultrasonication time.
Figure 1. Pareto diagram of normalized effects (α = 0.05). A: concentration of solvent; B: grinding; C: maceration time; and D: ultrasonication time.
Foods 07 00036 g001
Figure 2. Pareto diagram of normalized effects (α = 0.05). A: cooking time; B: cooking temperature; C: volume of cooking water; D: concentration of solvent; E: maceration time; F: ultrasonic time; and G: grinding.
Figure 2. Pareto diagram of normalized effects (α = 0.05). A: cooking time; B: cooking temperature; C: volume of cooking water; D: concentration of solvent; E: maceration time; F: ultrasonic time; and G: grinding.
Foods 07 00036 g002
Figure 3. Pareto diagram of normalized effects (α = 0.05); A: cooking time; B: cooking temperature; C: volume of cooking water; D: concentration of solvent; E: maceration time; F: ultrasonic time; and G: grinding.
Figure 3. Pareto diagram of normalized effects (α = 0.05); A: cooking time; B: cooking temperature; C: volume of cooking water; D: concentration of solvent; E: maceration time; F: ultrasonic time; and G: grinding.
Foods 07 00036 g003
Figure 4. Pareto diagram of normalized effects (α = 0.05); A: cooking time; B: power; C: volume of cooking water; D: concentration of solvent; E: maceration time; F: ultrasonic time; and G: grinding.
Figure 4. Pareto diagram of normalized effects (α = 0.05); A: cooking time; B: power; C: volume of cooking water; D: concentration of solvent; E: maceration time; F: ultrasonic time; and G: grinding.
Foods 07 00036 g004
Figure 5. Surface plot and iso-response curve of polyphenols as a function of the two factors maceration time and ultrasonication time, (a): surface plot; (b): iso-response curve.
Figure 5. Surface plot and iso-response curve of polyphenols as a function of the two factors maceration time and ultrasonication time, (a): surface plot; (b): iso-response curve.
Foods 07 00036 g005aFoods 07 00036 g005b
Figure 6. Optimization of the two factors maceration time and ultrasonication time as a function of desirability; A: maceration time; B: ultrasonication time.
Figure 6. Optimization of the two factors maceration time and ultrasonication time as a function of desirability; A: maceration time; B: ultrasonication time.
Foods 07 00036 g006
Figure 7. Surface plot and iso-response curve of polyphenols as a function of the two factors cooking time and temperature, (a): surface plot; (b): iso-response curve.
Figure 7. Surface plot and iso-response curve of polyphenols as a function of the two factors cooking time and temperature, (a): surface plot; (b): iso-response curve.
Foods 07 00036 g007
Figure 8. Optimization of the two cooking time and temperature factors as a function of desirability; A: Cooking time; B: Cooking temperature.
Figure 8. Optimization of the two cooking time and temperature factors as a function of desirability; A: Cooking time; B: Cooking temperature.
Foods 07 00036 g008
Figure 9. Surface plot and iso-response curve of polyphenols as a function of both time and temperature cooking factors, (a): surface plot; (b): iso-response curve.
Figure 9. Surface plot and iso-response curve of polyphenols as a function of both time and temperature cooking factors, (a): surface plot; (b): iso-response curve.
Foods 07 00036 g009
Figure 10. Optimization of two cooking time and temperature factors according to desirability; A: cooking time; B: cooking temperature.
Figure 10. Optimization of two cooking time and temperature factors according to desirability; A: cooking time; B: cooking temperature.
Foods 07 00036 g010
Figure 11. Surface plot and iso-response curve of polyphenols as a function of both factors time of cooking and microwave power. (a): surface plot; (b): iso-response curve.
Figure 11. Surface plot and iso-response curve of polyphenols as a function of both factors time of cooking and microwave power. (a): surface plot; (b): iso-response curve.
Foods 07 00036 g011aFoods 07 00036 g011b
Figure 12. Optimization of two cooking time and power according to desirability; A: cooking time; B: power.
Figure 12. Optimization of two cooking time and power according to desirability; A: cooking time; B: power.
Foods 07 00036 g012
Figure 13. Effect of cooking on the total polyphenol content of potatoes. The superscript letters a, b, c, d, and e indicate a significant difference between raw and cooked potato at the 0.05 significance level. The superscript letters A, B indicate a significant difference between water of boiling and water of steaming at the 0.05 significance level.
Figure 13. Effect of cooking on the total polyphenol content of potatoes. The superscript letters a, b, c, d, and e indicate a significant difference between raw and cooked potato at the 0.05 significance level. The superscript letters A, B indicate a significant difference between water of boiling and water of steaming at the 0.05 significance level.
Foods 07 00036 g013
Figure 14. Evaluation of antioxidant activity: 1: 1,1-diphenyl-2-picryl-hydrazyl (DPPH) method; 2: 2,2′-azino-bis(3-ethylbenzothiazoline-6-sulphonic acid) (ABTS) method; 3: Cupric reducing antioxidant capacity (CUPRAC) method. BHA: Butylated hydroxyanisole. The superscript letters A, B, C, D, and E indicate a significant difference between antioxidant activities of raw and cooked potatoes at the same concentration of extract (ppm) (at the 0.05 significance level. The superscript letters a, b, c, d, and e indicate a significant difference between antioxidant activities of raw and cooked potatoes at different concentrations of extract (ppm) at the 0.05 significance level.
Figure 14. Evaluation of antioxidant activity: 1: 1,1-diphenyl-2-picryl-hydrazyl (DPPH) method; 2: 2,2′-azino-bis(3-ethylbenzothiazoline-6-sulphonic acid) (ABTS) method; 3: Cupric reducing antioxidant capacity (CUPRAC) method. BHA: Butylated hydroxyanisole. The superscript letters A, B, C, D, and E indicate a significant difference between antioxidant activities of raw and cooked potatoes at the same concentration of extract (ppm) (at the 0.05 significance level. The superscript letters a, b, c, d, and e indicate a significant difference between antioxidant activities of raw and cooked potatoes at different concentrations of extract (ppm) at the 0.05 significance level.
Foods 07 00036 g014
Figure 15. Evaluation of anticholinesterase activity of raw and cooked potato extracts: 1: antiacetylcholinesterase activity; and 2: antibutyrylcholinesterase activity. The superscript letters A, B, C, D, and E indicate a significant difference between anticholinesterase activities of raw and cooked potatoes at the same concentration of extract (ppm) (at the 0.05 significance level. The superscript letters a, b, c, d, and e indicate a significant difference between anticholinesterase activities of raw and cooked potatoes at different concentrations of extract (ppm) at the 0.05 significance level.
Figure 15. Evaluation of anticholinesterase activity of raw and cooked potato extracts: 1: antiacetylcholinesterase activity; and 2: antibutyrylcholinesterase activity. The superscript letters A, B, C, D, and E indicate a significant difference between anticholinesterase activities of raw and cooked potatoes at the same concentration of extract (ppm) (at the 0.05 significance level. The superscript letters a, b, c, d, and e indicate a significant difference between anticholinesterase activities of raw and cooked potatoes at different concentrations of extract (ppm) at the 0.05 significance level.
Foods 07 00036 g015
Table 1. Experiment factor levels for each cooking mode.
Table 1. Experiment factor levels for each cooking mode.
FactorsRaw PotatoBoilingSteamingMicrowave
Level −1Level +1level −1level +1level −1Level +1level −1Level +1
Cooking time__10 min30 min30 min120 min10 min15 min
Power (watt)______400800
Temperature of cooking__80 °C100 °C80 °C100 °C__
Volume of water of cooking__100 mL500 mL500 mL1000 mL10 mL50 mL
Solvent concentration60%100%60%100%60%100%60%100%
Maceration time1 h24 h1 h24 h1 h24 h1 h24 h
Ultrasonication time 30 min1 h30 min1 h30 min1 h30 min1 h
GrindingNoYesNoYesNoYesNoYes
Levels: minimum (−1) and maximum (+1).
Table 2. Confirmation results of the model with the measured values and the predicted values of the studied responses.
Table 2. Confirmation results of the model with the measured values and the predicted values of the studied responses.
PointsPredicted Polyphenol Content (µg Gallic Acid Equivalent/g of Extract)Measured Polyphenol Content (µg Gallic Acid Equivalent/g of Extract)
(60 min, 60 min)4.667 × 104 a4.668 × 104 a
The superscript letter a indicates a significant difference at the 0.05 significance level.
Table 3. Confirmation results of the model with the measured values and the predicted values of the studied responses.
Table 3. Confirmation results of the model with the measured values and the predicted values of the studied responses.
PointsPredicted Polyphenol Content (µg GAE/g Extract)Mesured Polyphenol Content (µg GAE/g of Extract)
(30 min, 91,9192 °C)1416 × 104 a1.415 × 104 a
The superscript letter a indicates a significant difference at the 0.05 significance level. GAE: Gallic Acid Equivalent.
Table 4. Confirmation results of the model with the measured values and the predicted values of the studied responses.
Table 4. Confirmation results of the model with the measured values and the predicted values of the studied responses.
PointsPredicted Polyphenol Content (µg GAE/g of Extract)Mesured Polyphenol Content (µg GAE/g of Extract)
(10 min, 80 °C)3356.08 a3356.009 a
The superscript letter a indicates a significant difference at the 0.05 significance level.
Table 5. Confirmation results of the model with the measured values and the predicted values of the studied responses.
Table 5. Confirmation results of the model with the measured values and the predicted values of the studied responses.
PointsPredicted Polyphenol Content (µg GAE/g of Extract)Measured Polyphenol Content (µg GAE/g of Extract)
(13.23 min, 448.48 Watts)16,210 a16,208.99 a
The superscript letter a indicates a significant difference at the 0.05 significance level.
Table 6. Liquid chromatography tandem-mass spectrometry (LC-MS/MS) analysis.
Table 6. Liquid chromatography tandem-mass spectrometry (LC-MS/MS) analysis.
No.CompoundIon Parent (m/z)MS2 (Collision Energy) Quantification (µg Analyte/g of Extract)
RPBPSPMPWBWS
1Acid quinic190.9585 (22), 93 (22)250.87100.54234.98243.76ND42.67
2Mallic acid133.05115 (14), 71 (17)340.6790.65338.76339.76ND34.76
3Ferrulic Acid172.8585 (12),129 (9)NDNDNDNDNDND
4Gallic acid169.05125 (14), 79 (25)NDNDNDNDNDND
5Chlorogenicacid353191 (17)14,500.874490.764497.874498.7867.6756.78
6protocatéchic acid152.95109 (16), 108 (265500.665499.565500.215500.652500.7849.78
7Tannicacid182.95124 (22), 78 (34)7032.3737029.657030.767031.873500.7849.98
8Caféic acid178.95135 (15), 134 (24), 89 (31)20,011.1938907.879345.7810,000.764500.7852.78
9Vanillin151.05136 (17), 92 (21)NDNDNDNDNDND
10P-coumarique Acid162.95119 (15), 93 (31)7058.25345.76ND540.76NDND
11rosmarinic Acid358.9161 (17), 133 (42)8054.233209.76ND7098.76NDND
12Hesperidin611.1303,465NDNDNDNDNDND
13Rutin609.1300 (37), 271 (51), 301 (38)NDNDNDNDNDND
14Hyperoside463.1300, 301NDNDNDNDNDND
154-OH benzoïc acid136.9593, 65NDNDNDNDND60.43
16Salicylic acid136.9593, 65, 75NDNDNDNDNDND
17Myricetin317179, 151, 1374657.87367.764569.76456.78NDND
18Coumarin146.95103, 91, 775098.76567.785089.545088.76NDND
19Kaempferol264.95217, 133, 151119.7689.7699.7699.45NDND
20Quercetin300.9179, 151, 121NDNDNDNDND56.87
21Hesperetin300.95164, 136, 108NDNDNDNDNDND
22Naringinin270.95151, 119, 107218 .123217.99218.06218.16NDND
23Luteoléin284.95175, 151, 133225.980224.76225112.78NDND
24Fisetin284.95135, 121NDNDNDNDNDND
25Apigenin268.95151, 1179452.76450.769065.785687.78NDND
26Rhamnetin314.95165, 121, 3008564.78345.99567.98789.87NDND
27Chrysin253143, 119, 1075456.65234.78709.784987.76NDND
RP: raw potato; BP: boiling potato; SP: steaming potato; MP: microwaving potato; WB: water of boiling; WS: water of steaming; ND: no determined.
Table 7. Half-maximal inhibitory concentration IC50 values.
Table 7. Half-maximal inhibitory concentration IC50 values.
Extracts of PotatoDPPHABTSCUPRAC
Raw586.65 ± 0.76 d380.67 ± 0.23 d300.87 ± 0.26 d
Boiling703.54 ± 0.56 a686.76 ± 0.49 a592.78 ± 0.74 a
Steaming620.76 ± 0.89 b610.76 ± 0.67 b410 ± 0.25 b
Microwaving609.8 ± 0.23 c395.65 ± 0.98 c330.65 ± 0.14 c
BHA85.13 ± 0.45 e86.56 ± 0.34 e96.5 ± 0.09 e
The superscript letters a, b, c, d, and e indicate a significant difference at the 0.05 significance level. DPPH: 1,1-diphenyl-2-picryl-hydrazyl; ABTS: 2,2′-azino-bis(3-ethylbenzothiazoline-6-sulphonic acid); CUPRAC: cupric reducing antioxidant capacity; BHA: Butylated hydroxyanisole.
Table 8. Half-maximal inhibitory concentration (IC50) values for anticholinesterase activity.
Table 8. Half-maximal inhibitory concentration (IC50) values for anticholinesterase activity.
Extracts of PotatoAntiacetylcholinesterase ActivityAntibuturylcholinesterase Activity
Raw1105.29 ± 0.24 d1087.84 ± 0.54 d
Boiling2471.27 ± 0.67 a2129.42 ± 0.21 a
Steaming1967.72 ± 0.98 b1611.22 ± 0.18 b
Microwaving1363.6 ± 0.56 c1234.68 ± 0.54 c
Galantamin84.23 ± 0.21 e86.56 ± 0.08 e
The superscript letters a, b, c, d, and e indicate a significant difference at the 0.05 significance level.

Share and Cite

MDPI and ACS Style

Laib, I.; Barkat, M. Optimization of Conditions for Extraction of Polyphenols and the Determination of the Impact of Cooking on Total Polyphenolic, Antioxidant, and Anticholinesterase Activities of Potato. Foods 2018, 7, 36. https://doi.org/10.3390/foods7030036

AMA Style

Laib I, Barkat M. Optimization of Conditions for Extraction of Polyphenols and the Determination of the Impact of Cooking on Total Polyphenolic, Antioxidant, and Anticholinesterase Activities of Potato. Foods. 2018; 7(3):36. https://doi.org/10.3390/foods7030036

Chicago/Turabian Style

Laib, Imen, and Malika Barkat. 2018. "Optimization of Conditions for Extraction of Polyphenols and the Determination of the Impact of Cooking on Total Polyphenolic, Antioxidant, and Anticholinesterase Activities of Potato" Foods 7, no. 3: 36. https://doi.org/10.3390/foods7030036

APA Style

Laib, I., & Barkat, M. (2018). Optimization of Conditions for Extraction of Polyphenols and the Determination of the Impact of Cooking on Total Polyphenolic, Antioxidant, and Anticholinesterase Activities of Potato. Foods, 7(3), 36. https://doi.org/10.3390/foods7030036

Note that from the first issue of 2016, this journal uses article numbers instead of page numbers. See further details here.

Article Metrics

Back to TopTop