Distribution Patterns of Bitterness and Astringency Compounds in Different Tissues and Developmental Stages of Three Sympodial Bamboo Species
Abstract
1. Introduction
2. Materials and Methods
2.1. Plant Materials and Sample Preparation
2.2. Sensory Evaluation
2.3. Determination of Tannin Contents
2.4. Determination of Oxalic Acid Contents
2.5. Determination of Flavonoid Contents
2.6. Determination of Cyanide Contents
2.7. Determination of Free Amino Acid Contents
2.8. Data Analysis
3. Results
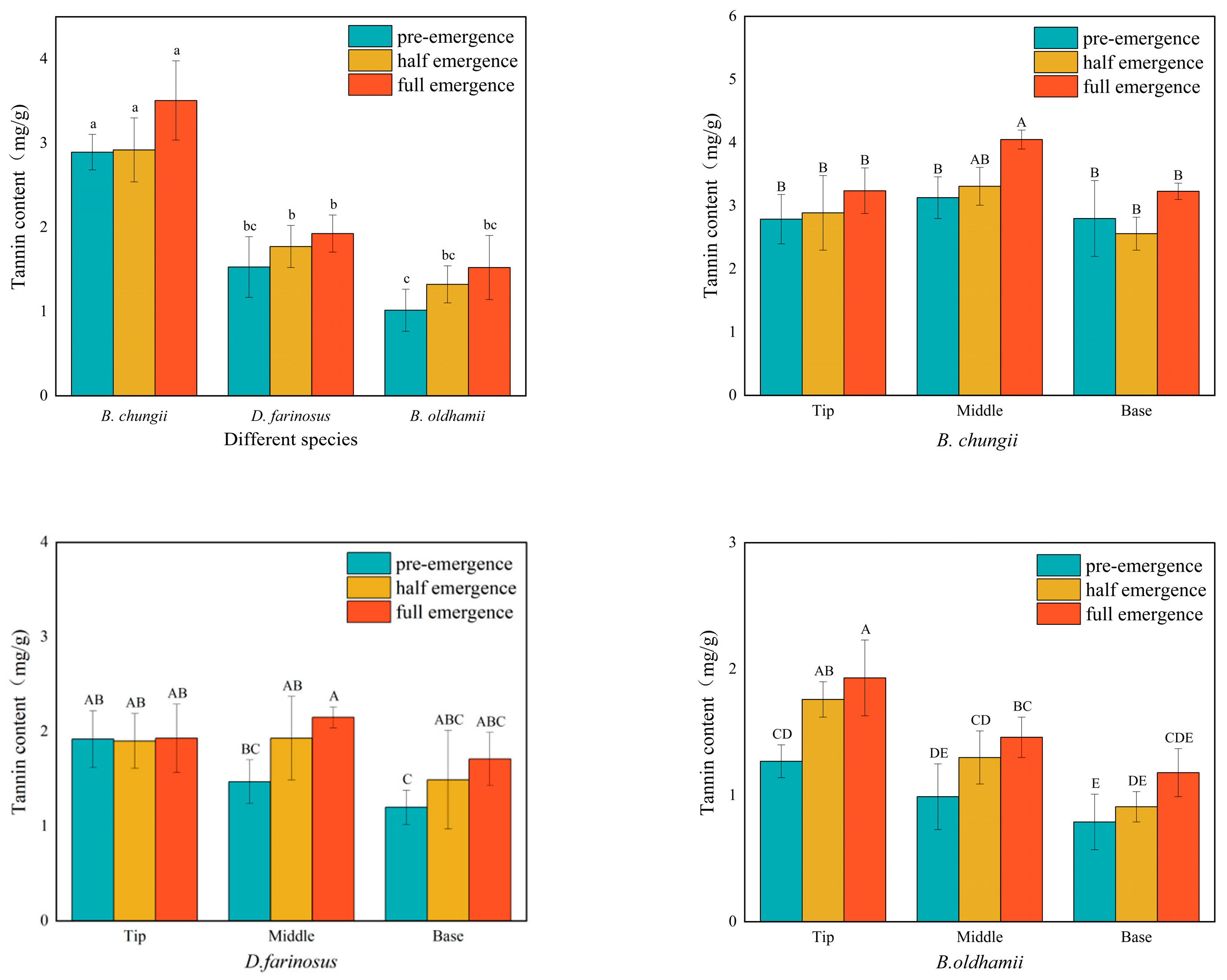
3.1. Tannin Content in Different Bamboo Shoot Varieties, Growing Stages and Tissue Parts
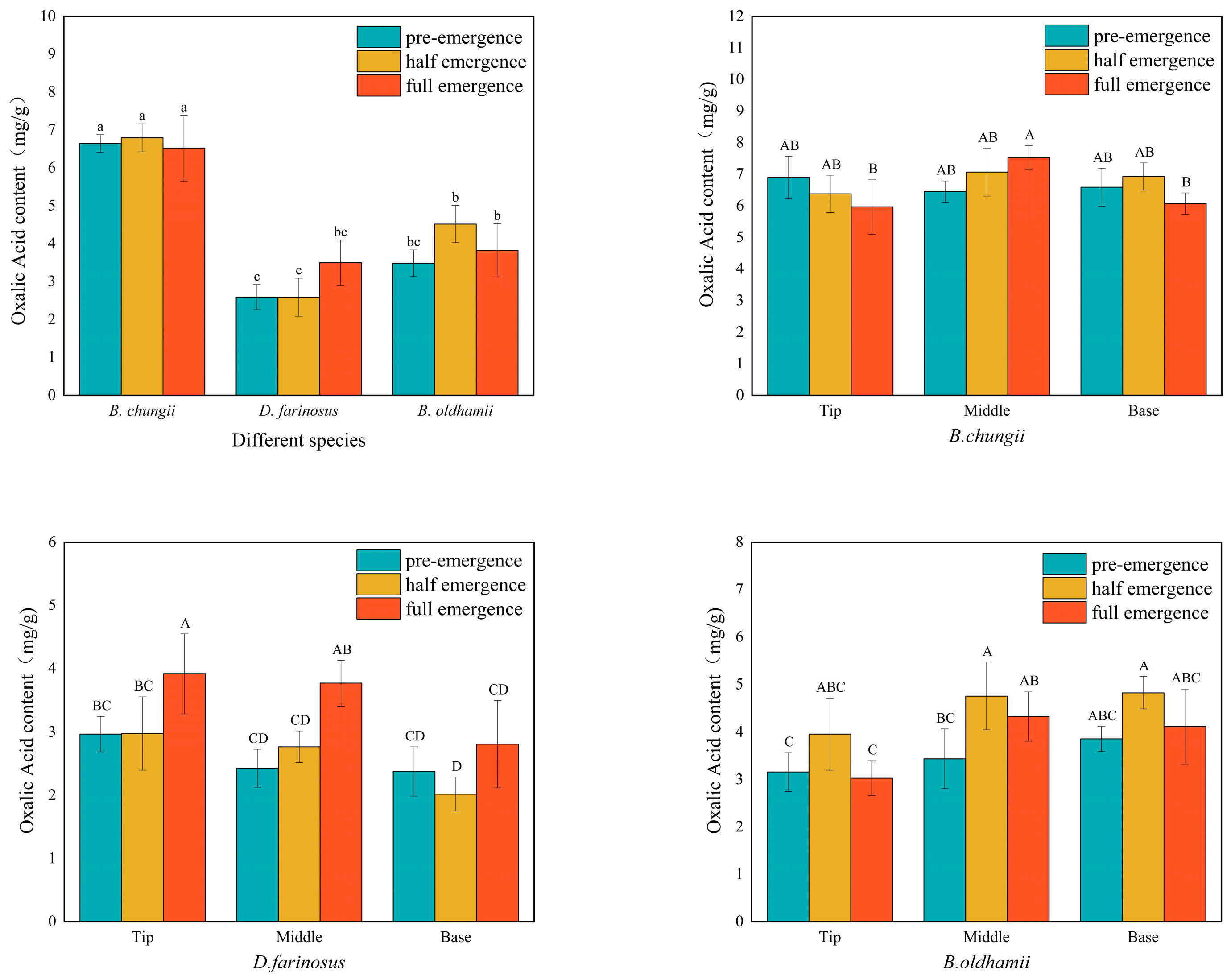
3.2. Oxalic Acid Content in Different Bamboo Shoot Varieties, Growing Stages and Tissue Parts
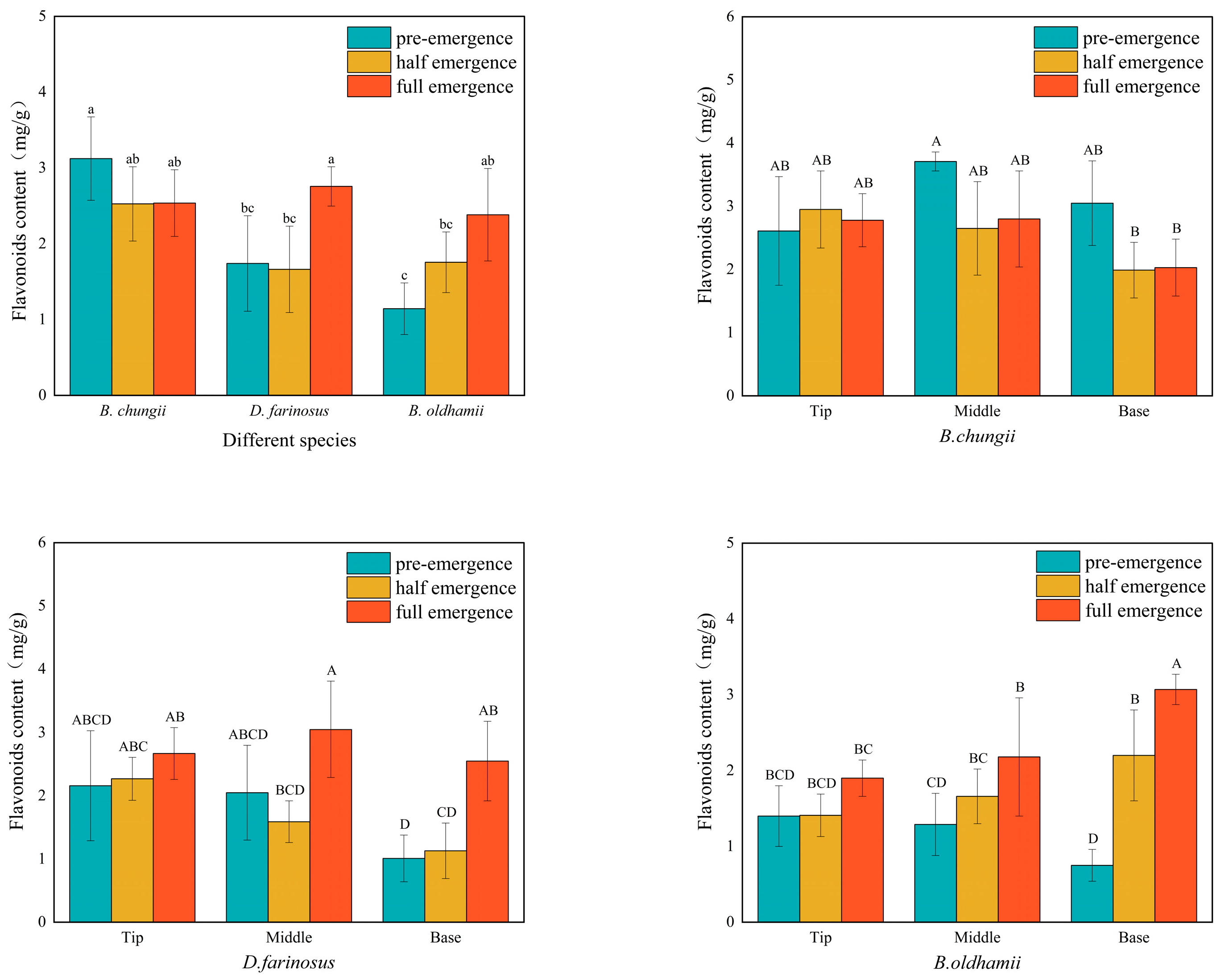
3.3. Flavonoid Content in Different Bamboo Shoot Varieties, Growing Stages and Tissue Parts
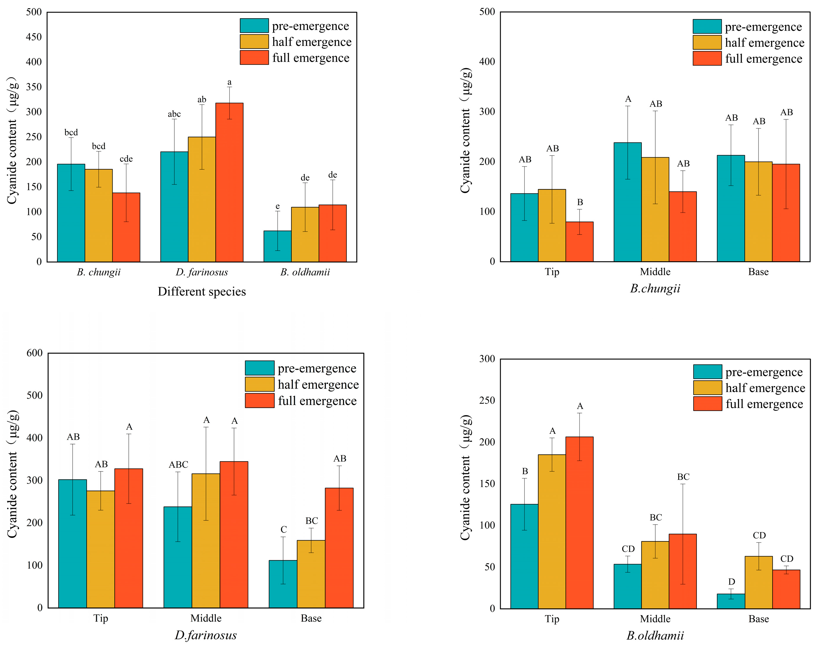
3.4. Cyanide Content in Different Bamboo Shoot Varieties, Growing Stages and Tissue Parts
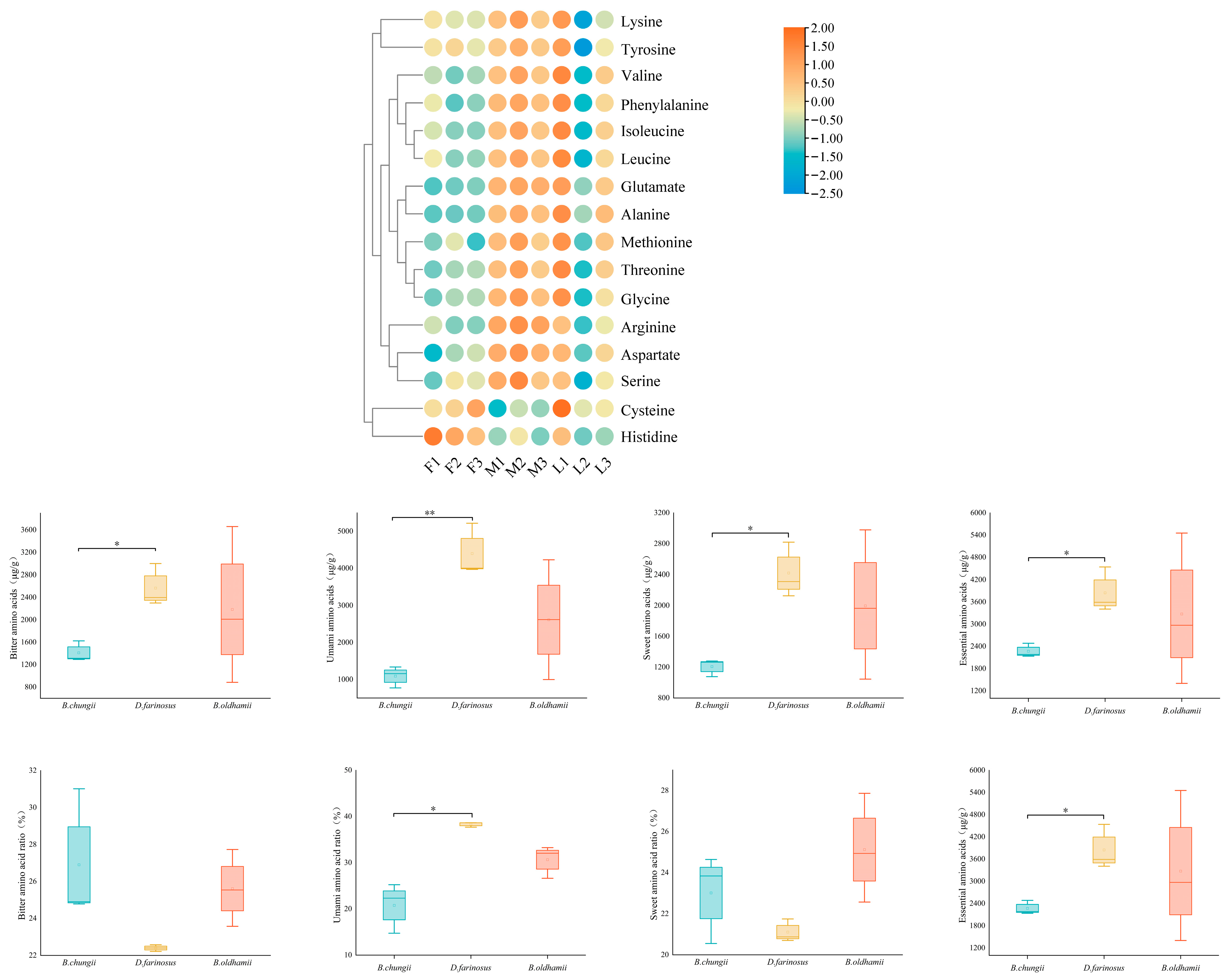
3.5. Amino Acid Content in Different Bamboo Shoot Varieties, Growing Stages and Tissue Parts
3.6. Sensory Evaluation in Bitter and Astringent Taste in Three Bamboo Varieties
3.7. OPLS-DA Analysis for Contributors in Bitter and Astringent Taste in Three Bamboo Varieties
4. Discussion
4.1. Overview of Taste-Active Compounds in Bamboo Shoots
4.2. Species-Specific Roles of Major Compounds
4.2.1. Tannins and Cyanide in Bambusa oldhamii
4.2.2. Oxalic Acid in Dendrocalamus farinosus
4.2.3. Complex Interactions in Bambusa chungii
4.3. Other Compounds and Implications
4.3.1. Flavonoids
4.3.2. General Biochemical Pathways
4.4. Implications for Harvest and Processing
4.5. Limitations and Future Perspectives
5. Conclusions
Author Contributions
Funding
Institutional Review Board Statement
Informed Consent Statement
Data Availability Statement
Conflicts of Interest
References
- Hu, S.K.; Dong, M.R.; Guo, Q.R. The Transcriptome Analysis Provides New Insights into Signaling for Bamboo Shoot Development of Sympodial Bamboo. Foods 2025, 14, 1647. [Google Scholar] [CrossRef]
- Zhuo, J.; Vasupalli, N.; Wang, Y.; Zhou, G.Q.; Gao, H.B.; Zheng, Y.; Li, B.X.; Hou, D.; Lin, X.C. Molecular identification of Bambusa changningensis is the natural bamboo hybrid of B. rigida x Dendrocalamus farinosus. Front. Plant Sci. 2023, 14, 1231940. [Google Scholar] [CrossRef]
- He, Y.L.; Cao, X.M.; Pan, K.T.; Shi, W.H.; Ying, Y.Q. Integrated Transcriptome and Metabolome Analyses Provided Insight into the Variation in Quality of Green Bamboo (Bambusa oldhamii) Shoots at Different Growth Stages. Forests 2024, 15, 1582. [Google Scholar] [CrossRef]
- Nirmala, C.; Bisht, M.S.; Bajwa, H.K.; Santosh, O. Bamboo: A rich source of natural antioxidants and its applications in the food and pharmaceutical industry. Trends Food Sci. Technol. 2018, 77, 91–99. [Google Scholar] [CrossRef]
- Jiao, Y.L. Transcriptomic and metabolomic analyses reveal the flavor of bitterness in the tip shoots of Bambusa oldhamii Munro. Sci. Rep. 2023, 13, 14853. [Google Scholar] [CrossRef] [PubMed]
- Zhao, X.; Song, W.J.; Chen, S.; Xu, G.; Long, Z.J.; Yang, H.Y.; Cao, Y.; Hu, S.L. Identification of the Key Gene DfCCoAOMT1 through Comparative Analysis of Lignification in Dendrocalamus farinosus XK4 and ZPX Bamboo Shoots during Cold Storage. Int. J. Mol. Sci. 2024, 25, 8065. [Google Scholar] [CrossRef]
- Liu, S.Y.; Grierson, D.; Xi, W.P. Biosynthesis, distribution, nutritional and organoleptic properties of bitter compounds in fruit and vegetables. Crit. Rev. Food Sci. Nutr. 2024, 64, 1934–1953. [Google Scholar] [CrossRef]
- Yu, L.; Hua, K.D.; Chen, C.Q.; Yue, J.J.; Yuan, J.L. Metabolomic and transcriptomic analysis of bitter compounds in Dendrocalamopsis oldhamii shoots. J. Food Compos. Anal. 2024, 130, 106140. [Google Scholar] [CrossRef]
- Liu, Y.; Xia, H.; Li, J.; Wei, X.; Li, X.; Xu, H.; Wang, J. Integrative transcriptomic and metabolomic analysis reveals the flavor formation mechanism of green bamboo (Dendrocalamopsis oldhami) shoots. Food Chem. Mol. Sci. 2025, 10, 100258. [Google Scholar] [CrossRef]
- Huang, Y.J.; Xun, H.; Yi, G.L.; Li, T.; Yao, X.; Tang, F. Integrated Metabolomic and Transcriptomic Analysis Reveals the Effect of Artificial Shading on Reducing the Bitter Taste of Bamboo Shoots. Horticulturae 2022, 8, 594. [Google Scholar] [CrossRef]
- Top, S.M.; Preston, C.M.; Dukes, J.S.; Tharayil, N. Climate Influences the Content and Chemical Composition of Foliar Tannins in Green and Senesced Tissues of Quercus rubra. Front. Plant Sci. 2017, 8, 423. [Google Scholar] [CrossRef]
- Verdenal, T.; Dienes-Nagy, A.; Spangenberg, J.E.; Zufferey, V.; Spring, J.L.; Viret, O.; Marin-Carbonne, J.; van Leeuwen, C. Understanding and managing nitrogen nutrition in grapevine: A review. OENO One 2021, 55, 1–43. [Google Scholar] [CrossRef]
- Sabater, C.; Sáez, G.D.; Suárez, N.; Garro, M.S.; Margolles, A.; Zaráte, G. Fermentation with Lactic Acid Bacteria for Bean Flour Improvement: Experimental Study and Molecular Modeling as Complementary Tools. Foods 2024, 13, 2105. [Google Scholar] [CrossRef]
- GB/T 16291.1-2012; Sensory Analysis—General Guidance for the Selection, Training and Monitoring of Assessors—Part 2: Expert Sensory Assessors. China Standard Press: Beijing, China, 2010; p. 24.
- GB/T 12312-2012; Sensory Analysis—Method of Investigating Sensitivity of Taste. China Standard Press: Beijing, China, 2012; p. 12.
- Fan, L.L.; Chen, S.L.; Guo, Z.W.; Yu, W.X.; Wang, W.Y.; Zhang, L. Modulating soil temperature to optimize bamboo shoot quality of mulched Phyllostachys violascens. J. Food Compos. Anal. 2025, 146, 107967. [Google Scholar] [CrossRef]
- Fan, L.L.; Hu, J.J.; Guo, Z.W.; Chen, S.L.; He, Q.J. Shoot Nutrition and Flavor Variation in Two Phyllostachys Species: Does the Quality of Edible Bamboo Shoot Diaphragm and Flesh Differ? Foods 2023, 12, 1180. [Google Scholar] [CrossRef]
- Jia, Y.X.; Jin, T. Enhancement of Bioactive Compounds and Antioxidant Properties in Codonopsis pilosula Through Extrusion Processing and Development of Codonopsis-Oat Powder. Foods 2025, 14, 3485. [Google Scholar] [CrossRef]
- Qin, Y.; Duan, B.; Shin, J.A.; So, H.J.; Hong, E.S.; Jeong, H.G.; Lee, J.H.; Lee, K.T. Effect of Fermentation on Cyanide and Ethyl Carbamate Contents in Cassava Flour and Evaluation of Their Mass Balance during Lab-Scale Continuous Distillation. Foods 2021, 10, 1089. [Google Scholar] [CrossRef]
- Xu, S.; Chen, S.L.; Guo, Z.W.; He, Y.Y.; Yang, L.T.; Dong, Y.W.; Xie, Y.Y.; Zhang, J.R. Effect of Sheath Blade Removal on Phyllostachys violascens Shoot Quality. Agriculture 2022, 12, 1396. [Google Scholar] [CrossRef]
- Wang, Q.J.; Mielby, L.A.; Junge, J.Y.; Bertelsen, A.S.; Kidmose, U.; Spence, C.; Byrne, D.V. The Role of Intrinsic and Extrinsic Sensory Factors in Sweetness Perception of Food and Beverages: A Review. Foods 2019, 8, 211. [Google Scholar] [CrossRef] [PubMed]
- Choi, Y.; Wong, R.R.; Cha, Y.K.; Park, T.H.; Kim, Y.; Chung, S.J. Sweet-bitter taste interactions in binary mixtures of sweeteners: Relationship between taste receptor activities and sensory perception. Food Chem. 2024, 459, 140343. [Google Scholar] [CrossRef] [PubMed]
- Mao, Y.Z.; Zhang, Z.Y.; Liu, L.; Qin, Y.M.; Qin, Z.H.; Cao, Y.Y.; Zou, X.B.; Shi, J.Y.; Tian, S.Y.; Jiang, G.X. Dynamic interaction of sweet and sour taste perceptions based on sucrose and citric acid. npj Sci. Food 2025, 9, 152. [Google Scholar] [CrossRef]
- Luo, T.T.; He, Y.N.; Jiang, L.X.; Yang, L.; Hou, X.Y.; Shen, G.H.; Cui, Q.; Yu, J.; Ke, J.X.; Chen, S.B.; et al. Flavor perception and biological activities of bitter compounds in food. Food Chem. 2025, 477, 143532. [Google Scholar] [CrossRef]
- Li, Y.Q.; Langley, N.; Zhang, J.T. Recent Advances in Bitterness-Sensing Systems. Biosensors 2023, 13, 414. [Google Scholar] [CrossRef]
- Wang, X.J.; Yang, L.L.; Geng, X.; Shi, W.J.; Chen, Y.Z.; Lu, C.F. Integrative analysis of metabolome and transcriptome reveals the different metabolite biosynthesis profiles related to palatability in winter and spring shoot in moso bamboo. Plant Physiol. Biochem. 2023, 202, 107973. [Google Scholar] [CrossRef]
- Chongtham, N.; Bisht, M.S.; Premlata, T.; Bajwa, H.K.; Sharma, V.; Santosh, O. Quality improvement of bamboo shoots by removal of antinutrients using different processing techniques: A review. J. Food Sci. Technol. 2022, 59, 11. [Google Scholar] [CrossRef]
- Gao, Q.; Jiang, H.; Tang, F.; Cao, H.Q.; Wu, X.W.; Qi, F.F.; Sun, J.; Yang, J. Evaluation of the bitter components of bamboo shoots using a metabolomics approach. Food Funct. 2019, 10, 90–98. [Google Scholar] [CrossRef] [PubMed]
- Gong, L.M.; Shi, W.J.; Mou, C.Y.; Zhou, S.X.; Xiao, L.; Hu, H.L.; Tu, L.H.; Hou, G.R.; Ding, W.; Huang, C.D.; et al. Integrated Metabolome and Transcriptome Analysis Reveals the Key Bitter Substances of Pleioblastus amarus Shoots at Different Developmental Stages. Horticulturae 2024, 10, 1161. [Google Scholar] [CrossRef]
- Soares, S.; Brandao, E.; Guerreiro, C.; Soares, S.; Mateus, N.; de Freitas, V. Tannins in Food: Insights into the Molecular Perception of Astringency and Bitter Taste. Molecules 2020, 25, 2590. [Google Scholar] [CrossRef]
- Ma, W.; Guo, A.Q.; Zhang, Y.L.; Wang, H.; Liu, Y.; Li, H. A review on astringency and bitterness perception of tannins in wine. Trends Food Sci. Technol. 2014, 40, 6–19. [Google Scholar] [CrossRef]
- Zhang, L.; Cao, Q.Q.; Granato, D.; Xu, Y.Q.; Ho, C.T. Association between chemistry and taste of tea: A review. Trends Food Sci. Technol. 2020, 101, 139–149. [Google Scholar] [CrossRef]
- Uprarawanna, U.; Kaewsritong, J.; Srikaeo, K. Bamboo: Global Occurrence and Its Significance As Food and Related Products. Crops 2025, 5, 11. [Google Scholar] [CrossRef]
- Mirahmadi, S.F.; Hassandokht, M.; Fatahi, R.; Naghavi, M.R.; Rezaei, K. High and low oxalate content in spinach: An investigation of accumulation patterns. J. Sci. Food Agric. 2022, 102, 836–843. [Google Scholar] [CrossRef]
- Fan, L.L.; Chen, S.L.; Cai, Z.M.; Guo, Z.W.; Yang, J.; Zheng, R.; Hu, R.C. Expansion of Pleioblastus amarus in tea plantations significantly enhances the appearance and nutritional composition of bamboo shoots but adversely affects palatability. BMC Plant Biol. 2024, 24, 1161. [Google Scholar] [CrossRef]
- Li, X. The Effect of Light Intensity on Bitter and Astringent Taste Compound Contents in Different Parts of Bamboo Shoots of Three Species; Chinese Academy of Forestry: Beijing, China, 2014. (In Chinese) [Google Scholar]
- Li, L.J.; Yan, X.; Chen, F.Y.; Zheng, L.Y.; Hu, Y.; He, F.; Ni, H.; Chen, F.; Li, Q.B. A comprehensive review of the metabolism of citrus flavonoids and their binding to bitter taste receptors. Compr. Rev. Food Sci. Food Saf. 2023, 22, 1763–1793. [Google Scholar] [CrossRef]
- Ye, J.H.; Ye, Y.; Yin, J.F.; Jin, J.; Liang, Y.R.; Liu, R.Y.; Tang, P.; Xu, Y.Q. Bitterness and astringency of tea leaves and products: Formation mechanism and reducing strategies. Trends Food Sci. Technol. 2022, 123, 130–143. [Google Scholar] [CrossRef]
- Huang, L.X.; Liao, X.T.; Ma, D.C.; Li, Z.L.; Xu, Z.G. The relationship between growth, anatomical structure, and quality in different parts and stages of edible bamboo shoots of Dendrocalamus latiflorus. BMC Plant Biol. 2025, 25, 314. [Google Scholar] [CrossRef] [PubMed]
- Guo, M.; He, Y.; Pan, K.; Bao, F.; Ying, Y. Analysis of Differential Metabolites of Phyllostachys edulis Shoots at Different Growth Stages by Ultra-high Performance Liquid Chromatography-Tandem Mass Spectrometry. Food Sci. 2023, 44, 283–291. (In Chinese) [Google Scholar] [CrossRef]
- Wang, X.; Ma, G.; Chen, H.; Li, C.; Zhang, L. Effects of different mulching measures on bamboo shooting and palatability of Dendrocalamus farinosus. J. Nanjing For. Univ. (Nat. Sci. Ed.) 2022, 46, 143–149. (In Chinese) [Google Scholar] [CrossRef]
- Wang, L.; Luo, Y.Y.; Zhang, Y.; Zou, C.X.; Wang, P.J.; Qin, L.K.; Zhu, Q.J.; Jia, Y.L. Quality analysis of ultra-fine whole pulp of bamboo shoots (Chimonobambusa quadrangularis) fermented by Lactobacillus plantarum and Limosilactobacillus reuteri. Food Biosci. 2023, 52, 102458. [Google Scholar] [CrossRef]
- Zhang, H.; Li, Q.; Guo, Z.; Lv, J.; Ying, Y.; Song, X. Effects of nitrogen application on nutritional components of Phyllostachys edulis shoot. J. Zhejiang A&F Univ. 2021, 38, 112–119. (In Chinese) [Google Scholar] [CrossRef]






| Concentration of Bitter Folium Llicis Cournutaetea/(mg·L−1) | Bitterness Value | Concentration of Zinc Lactate/(mg·L−1) | Astringency Value |
|---|---|---|---|
| 300 | 10 | 1500 | 10 |
| 200 | 8 | 1000 | 8 |
| 150 | 6 | 700 | 6 |
| 100 | 4 | 400 | 4 |
| 25 | 2 | 150 | 2 |
| 0 | 0 | 0 | 0 |
| Bamboo Species | Index | Full Emergence | Half Emergence | Pre-Emergence | ||||||
|---|---|---|---|---|---|---|---|---|---|---|
| Tip | Middle | Base | Tip | Middle | Base | Tip | Middle | Base | ||
| B. chungii | Bitterness | 3.00 ± 0.60 b | 4.86 ± 1.26 a | 1.79 ± 0.59 de | 2.29 ± 0.82 cd | 2.50 ± 0.60 bc | 2.42 ± 0.70 bcd | 2.00 ± 0.55 cde | 1.50 ± 0.39 e | 2.21 ± 0.59 cd |
| Astringency | 3.54 ± 0.44 c | 5.29 ± 0.58 a | 1.29 ± 0.29 g | 3.71 ± 0.49 c | 4.15 ± 0.58 b | 3.02 ± 0.30 d | 2.71 ± 0.45 de | 2.01 ± 0.16 f | 2.57 ± 0.53 e | |
| D. farinosus | Bitterness | 9.64 ± 0.38 a | 4.00 ± 0.54 b | 2.29 ± 0.65 d | 4.50 ± 1.21 b | 3.00 ± 0.73 c | 2.00 ± 0.75 de | 2.57 ± 0.62 cd | 3.95 ± 0.54 b | 1.48 ± 0.41 e |
| Astringency | 3.00 ± 0.55 de | 5.29 ± 0.71 a | 1.31 ± 0.33 g | 3.64 ± 0.52 c | 4.14 ± 0.51 b | 3.05 ± 0.26 d | 2.79 ± 0.27 de | 2.00 ± 0.54 f | 2.57 ± 0.46 e | |
| B. oldhamii | Bitterness | 5.38 ± 0.48 a | 2.40 ± 0.42 c | 1.60 ± 0.50 de | 3.81 ± 0.57 b | 1.57 ± 0.36 de | 1.40 ± 0.46 de | 1.69 ± 0.40 d | 1.19 ± 0.34 e | 1.59 ± 0.36 de |
| Astringency | 5.02 ± 0.50 ab | 2.41 ± 0.41 d | 2.21 ± 0.30 de | 4.79 ± 0.62 b | 3.86 ± 0.54 c | 4.81 ± 0.69 b | 5.31 ± 0.48 a | 2.62 ± 0.37 d | 1.81 ± 0.45 e | |
| Bamboo Species | Index | Tannin | Oxalic Acid | Flavonoids | Cyanide | Aspartate | Histidine |
|---|---|---|---|---|---|---|---|
| B. chungii | Bitterness | 0.739 * | 0.577 | −0.076 | −0.490 | −0.998 * | 1.000 ** |
| Astringency | 0.552 | 0.647 | 0.071 | −0.435 | −0.583 | 0.629 | |
| D. farinosus | Bitterness | 0.440 | 0.745 * | 0.557 | 0.560 | −0.220 | −0.197 |
| Astringency | 0.624 | 0.461 | 0.222 | 0.458 | 0.858 | 0.870 | |
| B. oldhamii | Bitterness | 0.894 ** | −0.437 | 0.022 | 0.863 ** | 0.444 | 0.822 |
| Astringency | 0.502 | −0.194 | −0.035 | 0.682 * | −0.922 | −0.620 |
Disclaimer/Publisher’s Note: The statements, opinions and data contained in all publications are solely those of the individual author(s) and contributor(s) and not of MDPI and/or the editor(s). MDPI and/or the editor(s) disclaim responsibility for any injury to people or property resulting from any ideas, methods, instructions or products referred to in the content. |
© 2026 by the authors. Licensee MDPI, Basel, Switzerland. This article is an open access article distributed under the terms and conditions of the Creative Commons Attribution (CC BY) license.
Share and Cite
Li, Y.; Zheng, Y.; Chen, X.; Xu, C.; Lu, H.; Zhang, Y.; Song, W.; Yu, X. Distribution Patterns of Bitterness and Astringency Compounds in Different Tissues and Developmental Stages of Three Sympodial Bamboo Species. Foods 2026, 15, 897. https://doi.org/10.3390/foods15050897
Li Y, Zheng Y, Chen X, Xu C, Lu H, Zhang Y, Song W, Yu X. Distribution Patterns of Bitterness and Astringency Compounds in Different Tissues and Developmental Stages of Three Sympodial Bamboo Species. Foods. 2026; 15(5):897. https://doi.org/10.3390/foods15050897
Chicago/Turabian StyleLi, Yuanyuan, Yilin Zheng, Xizhi Chen, Chang Xu, Huijuan Lu, Yangyang Zhang, Wentian Song, and Xuejun Yu. 2026. "Distribution Patterns of Bitterness and Astringency Compounds in Different Tissues and Developmental Stages of Three Sympodial Bamboo Species" Foods 15, no. 5: 897. https://doi.org/10.3390/foods15050897
APA StyleLi, Y., Zheng, Y., Chen, X., Xu, C., Lu, H., Zhang, Y., Song, W., & Yu, X. (2026). Distribution Patterns of Bitterness and Astringency Compounds in Different Tissues and Developmental Stages of Three Sympodial Bamboo Species. Foods, 15(5), 897. https://doi.org/10.3390/foods15050897

