Analysis of the Use of Carrots, Cauliflower and Broccoli Waste Materials as a Matrix for Thiamine
Abstract
1. Introduction
2. Materials and Methods
2.1. Materials
2.2. Methods
2.2.1. Carriers Preparation and Rehydration
2.2.2. Storage Conditions of Thiamine Sources
2.2.3. Stability of Thiamine
2.3. Statistical Analysis
3. Results and Discussion
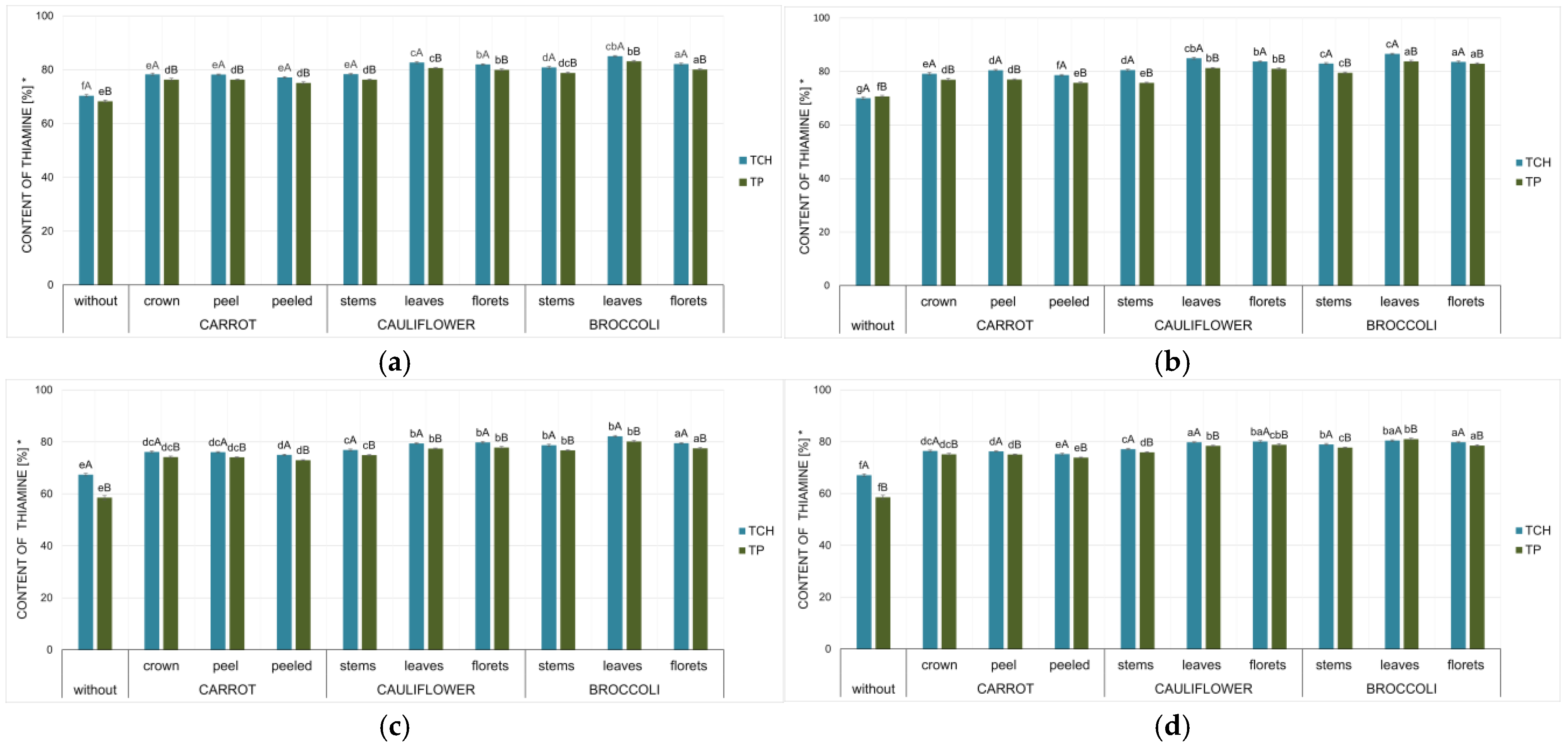
3.1. Thiamine Content After Fortification
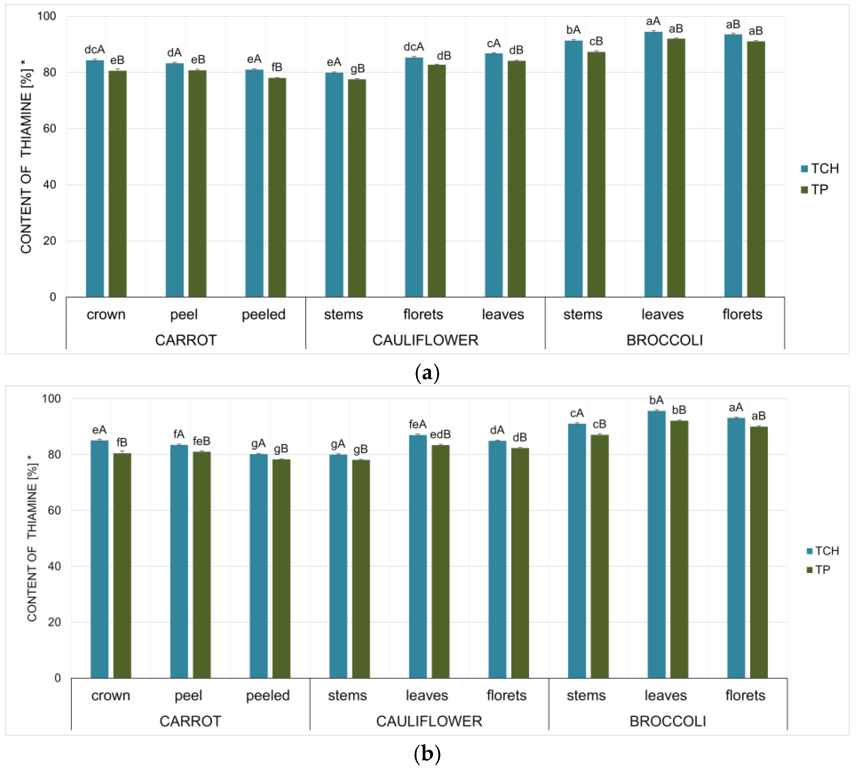
3.2. Thiamine Stability During Storage of Dried Vegetables Fortified with Thiamine
4. Conclusions
Supplementary Materials
Author Contributions
Funding
Institutional Review Board Statement
Informed Consent Statement
Data Availability Statement
Conflicts of Interest
References
- World Health Organization. Carbohydrate Intake for Adults and Children WHO Guideline; World Health Organization (WHO): Geneva, Switzerland, 2023. [Google Scholar]
- Afshin, A.; Sur, P.J.; Fay, K.A.; Cornaby, L.; Ferrara, G.; Salama, J.S.; Mullany, E.C.; Abate, K.H.; Abbafati, C.; Abebe, Z.; et al. Health Effects of Dietary Risks in 195 Countries, 1990–2017: A Systematic Analysis for the Global Burden of Disease Study 2017. Lancet 2019, 393, 1958–1972. [Google Scholar] [CrossRef]
- Ahmadzadeh, S.; Clary, T.; Rosales, A.; Ubeyitogullari, A. Upcycling Imperfect Broccoli and Carrots into Healthy Snacks Using an Innovative 3D Food Printing Approach. Food Sci. Nutr. 2024, 12, 84–93. [Google Scholar] [CrossRef]
- Dias, J.S. Nutritional Quality and Health Benefits of Vegetables: A Review. Food Nutr. Sci. 2012, 3, 1354–1374. [Google Scholar] [CrossRef]
- Stea, T.H.; Nordheim, O.; Bere, E.; Stornes, P.; Eikemo, T.A. Fruit and Vegetable Consumption in Europe According to Gender, Educational Attainment and Regional Affiliation—A Cross-Sectional Study in 21 European Countries. PLoS ONE 2020, 15, e0232521. [Google Scholar] [CrossRef]
- Wallace, T.C.; Bailey, R.L.; Blumberg, J.B.; Burton-Freeman, B.; Chen, C.O.; Crowe-White, K.M.; Drewnowski, A.; Hooshmand, S.; Johnson, E.; Lewis, R.; et al. Fruits, Vegetables, and Health: A Comprehensive Narrative, Umbrella Review of the Science and Recommendations for Enhanced Public Policy to Improve Intake. Crit. Rev. Food Sci. Nutr. 2020, 60, 2174–2211. [Google Scholar] [CrossRef]
- de Escalada Pla, M.F.; Flores, S.K.; Genevois, C.E. Innovative Strategies and Nutritional Perspectives for Fortifying Pumpkin Tissue and Other Vegetable Matrices with Iron. Food Sci. Hum. Wellness 2020, 9, 103–111. [Google Scholar] [CrossRef]
- Liubych, V.; Novikov, V.; Pushka, O.; Pushka, I.; Cherchel, V.; Kyrpa, M.; Kolibabchuk, T.; Kirian, V.; Moskalets, V.; Moskalets, T. Development of the Recipe of Pasta with Pumpkin Flour. EUREKA Life Sci. 2023, 1, 57–65. [Google Scholar] [CrossRef]
- de Valença, A.W.; Bake, A.; Brouwer, I.D.; Giller, K.E. Agronomic Biofortification of Crops to Fight Hidden Hunger in Sub-Saharan Africa. Glob. Food Secur. 2017, 12, 8–14. [Google Scholar] [CrossRef]
- Li, Y.O.; Komarek, A.R. Dietary Fibre Basics: Health, Nutrition, Analysis, and Applications. Food Qual. Saf. 2017, 1, 47–59. [Google Scholar] [CrossRef]
- Barber, T.M.; Kabisch, S.; Pfeiffer, A.F.H.; Weickert, M.O. The Health Benefits of Dietary Fibre. Nutrients 2020, 12, 3209. [Google Scholar] [CrossRef]
- Deehan, E.C.; Mocanu, V.; Madsen, K.L. Effects of Dietary Fibre on Metabolic Health and Obesity. Nat. Rev. Gastroenterol. Hepatol. 2024, 21, 301–318. [Google Scholar] [CrossRef]
- Oliviero, T.; Fogliano, V. Food Design Strategies to Increase Vegetable Intake: The Case of Vegetable Enriched Pasta. Trends Food Sci. Technol. 2016, 51, 58–64. [Google Scholar] [CrossRef]
- Smith, T.J.; Johnson, C.R.; Koshy, R.; Hess, S.Y.; Qureshi, U.A.; Mynak, M.L.; Fischer, P.R. Thiamine Deficiency Disorders: A Clinical Perspective. Ann. N. Y. Acad. Sci. 2021, 1498, 9–28. [Google Scholar] [CrossRef]
- Gomes, F.; Bergeron, G.; Bourassa, M.W.; Fischer, P.R. Thiamine Deficiency Unrelated to Alcohol Consumption in High-Income Countries: A Literature Review. Ann. N. Y. Acad. Sci. 2021, 1498, 46–56. [Google Scholar] [CrossRef]
- Marrs, C.; Lonsdale, D. Hiding in Plain Sight: Modern Thiamine Deficiency. Cells 2021, 10, 2595. [Google Scholar] [CrossRef]
- Whitfield, K.C.; Smith, G.; Chamnan, C.; Karakochuk, C.D.; Sophonneary, P.; Kuong, K.; Dijkhuizen, M.A.; Hong, R.; Berger, J.; Green, T.J.; et al. High Prevalence of Thiamine (Vitamin B1) Deficiency in Early Childhood among a Nationally Representative Sample of Cambodian Women of Childbearing Age and Their Children. PLoS Negl. Trop. Dis. 2017, 11, e0005814. [Google Scholar] [CrossRef]
- Mallimoggala, Y.S.P.; Biswas, M.; Anburaj, S.E.; Iqbal, F.; Shrikiran, A.; Suryakanth, V.B.; Lewis, L.E.S. Thiamine: An Indispensable Regulator of Paediatric Neuro-Cardiovascular Health and Diseases. Eur. J. Pediatr. 2024, 183, 4597–4610. [Google Scholar] [CrossRef]
- Zhuo, S.; Chen, Z.; Ye, L.; Chen, J.; Yu, Z.; Yang, M. Association between Dietary Vitamin B1 Intake and Stroke Risk in Older Patients: A Retrospective Cross-Sectional Study. BMC Neurol. 2025, 25, 322. [Google Scholar] [CrossRef]
- Gibson, G.E.; Hirsch, J.A.; Fonzetti, P.; Jordan, B.D.; Cirio, R.T.; Elder, J. Vitamin B1 (Thiamine) and Dementia. Ann. N. Y. Acad. Sci. 2016, 1367, 21–30. [Google Scholar] [CrossRef]
- Uchida, N.; Ishida, M.; Sato, I.; Yoshioka, A.; Takahashi, T.; Furuya, D.; Ebihara, Y.; Ito, H.; Onishi, H. The Prevalence of Thiamine Deficiency among Elderly Nursing Home Residents: A Cross-Sectional Study. J. Gen. Fam. Med. 2023, 24, 148–153. [Google Scholar] [CrossRef]
- Nisar, S.; Yousuf wani, I.; Altaf, U.; Muzaffer, U.; Kareem, O.; Tanvir, M.; Ganie, M.A. Thiamine Deficiency-Related Neuropathy: A Reversible Entity from an Endemic Area. Eur. J. Neurol. 2024, 31, e16155. [Google Scholar] [CrossRef]
- Alvarez, M.; Poveda, S.; Cisneros, A.; Parra, D.; Luna, M.; Rincón, O.; Guzman, I. B Vitamin Deficiencies and Associated Neuropathies. Curr. Nutr. Rep. 2026, 15, 8. [Google Scholar] [CrossRef]
- Osiezagha, K.; Ali, S.; Freeman, C.; Barker, N.C.; Jabeen, S.; Maitra, S.; Olagbemiro, Y.; Richie, W.; Bailey, R.K. Thiamine Deficiency and Delirium. Innov. Clin. Neurosci. 2013, 10, 26–32. [Google Scholar]
- Hung, S.C.; Hung, S.H.; Tarng, D.C.; Yang, W.C.; Chen, T.W.; Huang, T.P. Thiamine Deficiency and Unexplained Encephalopathy in Hemodialysis and Peritoneal Dialysis Patients. Am. J. Kidney Dis. 2001, 38, 941–947. [Google Scholar] [CrossRef]
- Dhir, S.; Tarasenko, M.; Napoli, E.; Giulivi, C. Neurological, Psychiatric, and Biochemical Aspects of Thiamine Deficiency in Children and Adults. Front. Psychiatry 2019, 10, 207. [Google Scholar] [CrossRef]
- Stawny, M.; Gostyńska, A.; Olijarczyk, R.; Jelińska, A.; Ogrodowczyk, M. Stability of High-Dose Thiamine in Parenteral Nutrition for Treatment of Patients with Wernicke’s Encephalopathy. Clin. Nutr. 2020, 39, 2929–2932. [Google Scholar] [CrossRef]
- Wilson, R.B. Pathophysiology, Prevention, and Treatment of Beriberi after Gastric Surgery. Nutr. Rev. 2020, 78, 1015–1029. [Google Scholar] [CrossRef]
- Green, T.J.; Whitfield, K.C.; Daniels, L.; Brown, R.C.; Houghton, L.A. Modeling Thiamine Fortification: A Case Study from Kuria Atoll, Republic of Kiribati. Ann. N. Y. Acad. Sci. 2021, 1498, 108–115. [Google Scholar] [CrossRef]
- Mrowicka, M.; Mrowicki, J.; Dragan, G.; Majsterek, I. The Importance of Thiamine (Vitamin B1) in Humans. Biosci. Rep. 2023, 43, BSR20230374. [Google Scholar] [CrossRef]
- Szymandera-Buszka, K.; Piechocka, J.; Zaremba, A.; Przeor, M.; Jędrusek-Golińska, A. Pumpkin, Cauliflower and Broccoli as New Carriers of Thiamine Compounds for Food Fortification. Foods 2021, 10, 578. [Google Scholar] [CrossRef]
- Nartea, A.; Fanesi, B.; Pacetti, D.; Lenti, L.; Fiorini, D.; Lucci, P.; Frega, N.G.; Falcone, P.M. Cauliflower By-Products as Functional Ingredient in Bakery Foods: Fortification of Pizza with Glucosinolates, Carotenoids and Phytosterols. Curr. Res. Food Sci. 2023, 6, 100437. [Google Scholar] [CrossRef]
- Fartoosi, Z.; Heidarizadeh, F.; Kolahi, M.; Goldson-Barnaby, A. Phytochemical and Nutritional Analysis of Daucus carota L. (Carrots) Exposed to Various Processing Conditions. Appl. Food Res. 2025, 5, 101414. [Google Scholar] [CrossRef]
- Motegaonkar, S.; Shankar, A.; Tazeen, H.; Gunjal, M.; Payyanad, S. A Comprehensive Review on Carrot (Daucus carota L.): The Effect of Different Drying Methods on Nutritional Properties and Its Processing as Value-Added Foods †. Sustain. Food Technol. 2024, 2, 667–688. [Google Scholar] [CrossRef]
- Andrés, C.M.C.; Pérez de la Lastra, J.M.; Munguira, E.B.; Juan, C.A.; Pérez-Lebeña, E. The Multifaceted Health Benefits of Broccoli—A Review of Glucosinolates, Phenolics and Antimicrobial Peptides. Molecules 2025, 30, 2262. [Google Scholar] [CrossRef]
- Aït-Kaddour, A.; Hassoun, A.; Tarchi, I.; Loudiyi, M.; Boukria, O.; Cahyana, Y.; Ozogul, F.; Khwaldia, K. Transforming Plant-Based Waste and by-Products into Valuable Products Using Various “Food Industry 4.0” Enabling Technologies: A Literature Review. Sci. Total Environ. 2024, 955, 176872. [Google Scholar] [CrossRef]
- Shinali, T.S.; Zhang, Y.; Altaf, M.; Nsabiyeze, A.; Han, Z.; Shi, S.; Shang, N. The Valorization of Wastes and Byproducts from Cruciferous Vegetables: A Review on the Potential Utilization of Cabbage, Cauliflower, and Broccoli Byproducts. Foods 2024, 13, 1163. [Google Scholar] [CrossRef]
- Pietrangeli, R.; Cicatiello, C. Lost Vegetables, Lost Value: Assessment of Carrot Downgrading and Losses at a Large Producer Organisation. J. Clean. Prod. 2024, 478, 143873. [Google Scholar] [CrossRef]
- Mirabella, N.; Castellani, V.; Sala, S. Current Options for the Valorization of Food Manufacturing Waste: A Review. J. Clean. Prod. 2014, 65, 28–41. [Google Scholar] [CrossRef]
- Sahu, S.; Balakrishnan, M.; Ramalakshmi, A.; Rhim, J.W.; Sahu, T. New Sources, Stability, and Bioavailability for Micronutrient Fortification of 3D-Printed Foods. Trends Food Sci. Technol. 2025, 164, 105215. [Google Scholar] [CrossRef]
- Esparza, I.; Jiménez-Moreno, N.; Bimbela, F.; Ancín-Azpilicueta, C.; Gandía, L.M. Fruit and Vegetable Waste Management: Conventional and Emerging Approaches. J. Environ. Manag. 2020, 265, 110510. [Google Scholar] [CrossRef]
- Kumar, S.; Aalbersberg, B. Nutrient Retention in Foods after Earth-Oven Cooking Compared to Other Forms of Domestic Cooking{star, Open}{star, Open}Results of This Work Are Printed as a Technical Report with Limited Distribution by the Institute of Applied Sciences at The University. J. Food Compos. Anal. 2006, 19, 311–320. [Google Scholar] [CrossRef]
- Sagar, N.A.; Pareek, S.; Sharma, S.; Yahia, E.M.; Lobo, M.G. Fruit and Vegetable Waste: Bioactive Compounds, Their Extraction, and Possible Utilization. Compr. Rev. Food Sci. Food Saf. 2018, 17, 512–531. [Google Scholar] [CrossRef]
- Francioso, O. Current and Future Perspectives for Biomass Waste Management and Utilization. Sci. Rep. 2024, 14, 9635. [Google Scholar] [CrossRef]
- Taheri, S.; Hosseini, S.S. Waste Not, Want Not: Comprehensive Valorization of Fruit and Vegetable Waste from Single-Product Recovery to Zero-Waste Strategies. Clean. Waste Syst. 2025, 11, 100300. [Google Scholar] [CrossRef]
- Bain, M.; Soligo, D.; van der Werf, P.; Parizeau, K. The Limitations of an Informational Campaign to Reduce Household Food Waste at the Community Scale. Clean. Waste Syst. 2024, 9, 100167. [Google Scholar] [CrossRef]
- McClements, I.F.; McClements, D.J. Toward Designing Healthier Plant-Based Foods: Fortification, Digestion. Food Res. Int. 2023, 169, 112853. [Google Scholar] [CrossRef]
- Labuza, T.P.; Kamman, J.F. Comparison of Stability of Thiamin Salts at High Temperature and Water Activity. J. Food Sci. 1982, 47, 664–665. [Google Scholar] [CrossRef]
- Mauer, L.J.; Dwivedi, B.K.; Arnold, R.G. Chemistry of Thiamine Degradation: 4-Methyl-S(β-Hydroksyethyl)Thiazole from Thermally Degradation Thiamine. J. Food Sci. 1972, 37, 689–692. [Google Scholar]
- Kamman, J.F.; Labuza, T.P.; Warthesen, J.J. Kinetics of Thiamin and Riboflavin Loss in Pasta as a Function of Constant and Variable Storage Conditions. J. Food Sci. 1981, 46, 1457–1461. [Google Scholar] [CrossRef]
- Mauri, L.M.; Alzamora, S.M.; Tomio, J.M. Effect of Electrolytes on the Kinetics of Thiamine Loss in Model Systems of High Water Activity. Food Chem. 1992, 45, 19–23. [Google Scholar] [CrossRef]
- Ramaswamy, H.; Ghazala, S.; van de Voort, F. Degradation Kinetics of Thiamine in Aqueous Systems at High Temperatures. Can. Inst. Food Sci. Technol. J. 1990, 23, 125–130. [Google Scholar] [CrossRef]
- Yang, H.; Xu, L.L.; Hou, L.; Xu, T.C.; Ye, S.H. Stability of Vitamin A, E, C and Thiamine during Storage of Different Powdered Enteral Formulas. Heliyon 2022, 8, e11460. [Google Scholar] [CrossRef]
- Habib, P.; Dang, J.; Slowik, A.; Victor, M.; Beyer, C. Hypoxia-Induced Gene Expression of Aquaporin-4, Cyclooxygenase-2 and Hypoxia-Inducible Factor 1α in Rat Cortical Astroglia Is Inhibited by 17β-Estradiol and Progesterone. Neuroendocrinology 2014, 99, 156–167. [Google Scholar] [CrossRef]
- Huang, J.H. Effect of Metal Ions and Temperature on Stability of Thiamine Effect of Metal Ions and Temperature on Stability of Thiamine Determined by HPLC Determined by HPLC. All Theses 2022, 3936, 41–76. [Google Scholar]
- Rettenmaier, R.; Vuilleumier, J.P.; Müller-Mulot, W. Zur Quantitativen Vitamin-B1- Bestimmung in Nahrungsmitteln Und Biolgischem Material. Lebensm. Unteres. Forsch. Ber. 1979, 168, 120–124. [Google Scholar] [CrossRef]
- Cunniff, P.A. 942. 23, Thiamine (Vitamin B1) in Food, in AOAC Official Method of Analysis. In AOAC Official Method of Analysis; AOAC International: Arlington, VA, USA, 1995; pp. 6–7. [Google Scholar]
- ISO 2483:1973; Sodium Chloride for Industrial Use—Determination of the Loss of Mass at 110 Degrees C. International Standard Oraganization: Geneva, Switzerland, 1973.
- Hrubša, M.; Siatka, T.; Nejmanová, I.; Vopršalová, M.; Krčmová, L.K.; Matoušová, K.; Javorská, L.; Macáková, K.; Mercolini, L.; Remião, F.; et al. Biological Properties of Vitamins of the B-Complex, Part 1: Vitamins B1, B2, B3, and B5. Nutrients 2022, 14, 484. [Google Scholar] [CrossRef] [PubMed]
- Alibas, I.; Ipek, S.S. Effects of Major Drying Methods on the Stability and Retention of Vitamin C, B Group Vitamins, Fat-Soluble Vitamins, and Carotenoids in Kiwifruits. J. Food Compos. Anal. 2026, 150, 108880. [Google Scholar] [CrossRef]
- Edwards, K.A.; Randall, E.A.; Wolfe, P.C.; Angert, E.R.; Kraft, C.E. Dietary Factors Potentially Impacting Thiaminase I-Mediated Thiamine Deficiency. Sci. Rep. 2023, 13, 7008. [Google Scholar] [CrossRef] [PubMed]
- Schnellbächer, A.; Zimmer, A. Stability and Requirement for Thiamin in a Cell Culture Feed Used to Produce New Biological Entities. Cells 2023, 12, 334. [Google Scholar] [CrossRef] [PubMed]
- Hiatt, A.N.; Ferruzzi, M.G.; Taylor, L.S.; Mauer, L.J. Impact of Deliquescence on the Chemical Stability of Vitamins B1, B6, and C in Powder Blends. J. Agric. Food Chem. 2008, 56, 6471–6479. [Google Scholar] [CrossRef]
- Edwards, K.A.; Tu-Maung, N.; Cheng, K.; Wang, B.; Baeumner, A.J.; Kraft, C.E. Thiamine Assays—Advances, Challenges, and Caveats. ChemistryOpen 2017, 6, 178–191. [Google Scholar] [CrossRef] [PubMed]
- Tylicki, A.; Łotowski, Z.; Siemieniuk, M.; Ratkiewicz, A. Thiamine and Selected Thiamine Antivitamins—Biological Activity and Methods of Synthesis. Biosci. Rep. 2018, 38, BSR20171148. [Google Scholar] [CrossRef] [PubMed]
- Zaremba, A.; Waszkowiak, K.; Kmiecik, D.; Jędrusek-Golińska, A.; Jarzębski, M.; Szymandera-Buszka, K. The Selection of the Optimal Impregnation Conditions of Vegetable Matrices with Iodine. Molecules 2022, 27, 3351. [Google Scholar] [CrossRef]
- Ameye, L.; de Brouwer, S.; Gilliland, D.L.; Heckmann, J.; Janakiraman, K.; Kirwan, B.A.; Lavigne, X.; Moya, F.; Zammit, V. Stability of Nutrients in Complex Liquid and Powder Food Matrices: Learnings from Shelf-Life Studies in Foods for Special Medical Purposes. Curr. Res. Food Sci. 2025, 10, 101055. [Google Scholar] [CrossRef] [PubMed]
- Voelker, A.L.; Miller, J.; Running, C.A.; Taylor, L.S.; Mauer, L.J. Chemical Stability and Reaction Kinetics of Two Thiamine Salts (Thiamine Mononitrate and Thiamine Chloride Hydrochloride) in Solution. Food Res. Int. 2018, 112, 443–456. [Google Scholar] [CrossRef]
- Ensom, M.H.H.; Decarie, D. Stability of Thiamine in Extemporaneously Suspensions. Can. J. Hosp. Pharm. 2005, 58, 26–30. [Google Scholar]
- Roger, D.D.; Daoudou, B.; James, B.; Xavier, E.F. Development of African Earthenware Container Imbedded with Nanosilver Particles for Food Preservation. J. Biomater. Nanobiotechnol. 2014, 5, 139–145. [Google Scholar] [CrossRef]
- Piechocka, J.; Gramza-Michałowska, A.; Szymandera-Buszka, K. The Changes in Antioxidant Activity of Selected Flavonoids and Caffeine Depending on the Dosage and Form of Thiamine. Molecules 2021, 26, 4702. [Google Scholar] [CrossRef]
- McCoy, R.E.; Costa, N.A.; Morris, A.E. Factors That Determine Stability of Highly Concentrated Chemically Defined Production Media. Biotechnol. Prog. 2015, 31, 493–502. [Google Scholar] [CrossRef]
- Rodríguez García, S.L.; Raghavan, V. Microwave-Assisted Extraction of Phenolic Compounds from Broccoli (Brassica oleracea) Stems, Leaves, and Florets: Optimization, Characterization, and Comparison with Maceration Extraction. Recent. Prog. Nutr. 2022, 2, 1–20. [Google Scholar] [CrossRef]
- Liu, M.; Zhang, L.; Ser, S.L.; Cumming, J.R.; Ku, K.M. Comparative Phytonutrient Analysis of Broccoli By-Products: The Potentials for Broccoli by-Product Utilization. Molecules 2018, 23, 900. [Google Scholar] [CrossRef]
- Gliszczynska-Swiglo, A.; Szymusiak, H. Interaction of Food Flavonoids with Vitamins. Myricetin and Vitamin B1 as Model Compounds. Publ. Kyiv Natl. Univ. Trade Econ. Kiev. Ukr. 2006, 2, 774–778. [Google Scholar]
- Szymusiak, H. Studies on the Effectiveness of Selected Antioxidants Found in Food Products; Publisher of the University of Economics: Poznań, Poland, 2002. [Google Scholar]
- Musial, C.; Kuban-Jankowska, A.; Gorska-Ponikowska, M. Beneficial Properties of Green Tea Catechins. Int. J. Mol. Sci. 2020, 21, 1744. [Google Scholar] [CrossRef] [PubMed]
- Cai, Y.Z.; Sun, M.; Xing, J.; Luo, Q.; Corke, H. Structure-Radical Scavenging Activity Relationships of Phenolic Compounds from Traditional Chinese Medicinal Plants. Life Sci. 2006, 78, 2872–2888. [Google Scholar] [CrossRef] [PubMed]
- He, J.; Xu, L.; Yang, L.; Wang, X. Epigallocatechin Gallate Is the Most Effective Catechin against Antioxidant Stress via Hydrogen Peroxide and Radical Scavenging Activity. Med. Sci. Monit. 2018, 24, 8198–8206. [Google Scholar] [CrossRef] [PubMed]
- Piechocka, J.; Szymandera-Buszka, K. Thiamine in Lipid Systems vs. The Antioxidant Activity of Epigallocatechin Gallate and Caffeine. Sustainability 2021, 13, 4644. [Google Scholar] [CrossRef]
- Kim, M.G.; Park, J.H.; Joo, N. Analysis of Different Parts of Broccoli (Brassica oleracea Var. italica) Leaves and Retention of Functional Compounds Under Different Cooking Methods. Food Sci. Nutr. 2025, 13, e71157. [Google Scholar] [CrossRef]
- Szymandera-Buszka, K. The Quantitative and Qualitative Changes of Thiamine in Sterilized Pork in the Presence of Selected Technological Additives. Pol. J. Food Nutr. Sci. 2003, 12, 59–62. [Google Scholar]
- El-Sawi, S.A.; Maamoun, M.A.I.; Farghaly, A.A.; Awad, G.E.A. Exploring the Polyphenolic Content and Pharmacological Potential of Cauliflower Leaf Extract: A Combined Experimental and Computational Approach. South Afr. J. Bot. 2025, 186, 464–474. [Google Scholar] [CrossRef]
- Martin, C.; Bellisle, F. Eating Attitudes and Taste Responses in Young Ballerinas. Physiol. Behav. 1989, 46, 223–227. [Google Scholar] [CrossRef]
- Zou, T.; Kang, L.; Yang, C.; Song, H.; Liu, Y. Flavour Precursor Peptide from an Enzymatic Beef Hydrolysate Maillard Reaction-II: Mechanism of the Synthesis of Flavour Compounds from a Sulphur-Containing Peptide through a Maillard Reaction. LWT 2019, 110, 8–18. [Google Scholar] [CrossRef]
- Adrian, J. Nutritional and Physiological Consequences of the Maillard Reaction. World Rev. Nutr. Diet. 1974, 19, 71–122. [Google Scholar] [CrossRef] [PubMed]
- Mauron, J. The Maillard Reaction in Food; a Critical Review from the Nutritional Standpoint. Prog. Food Nutr. Sci. 1981, 5, 5–35. [Google Scholar] [PubMed]
- Qi, Y.; Wang, W.; Yang, T.; Ding, W.; Xu, B. Maillard Reaction in Flour Product Processing: Mechanism, Impact on Quality, and Mitigation Strategies of Harmful Products. Foods 2025, 14, 2721. [Google Scholar] [CrossRef]
- Baranski, R.; Allender, C.; Klimek-Chodacka, M. Towards Better Tasting and More Nutritious Carrots: Carotenoid and Sugar Content Variation in Carrot Genetic Resources. Food Res. Int. 2012, 47, 182–187. [Google Scholar] [CrossRef]
- Vasile, F.E.; Simal, S.; Rosselló, C.; Eim, V.S. Power Ultrasound-Assisted Impregnation of Apple Cubes with Vitamin B12. Food Bioprocess. Technol. 2022, 15, 219–229. [Google Scholar] [CrossRef]





| CARROT | CAULIFLOWER | BROCCOLI | ||||||
|---|---|---|---|---|---|---|---|---|
| Crown | Peel | Peeled | Stems | Florets | Leaves | Stems | Florets | Leaves |
| 0.011 | 0.011 | 0.012 | 0.012 | 0.013 | 0.012 | 0.018 | 0.020 | 0.017 |
| Predictors | SS | df | MSE | F-Value | p-Value |
|---|---|---|---|---|---|
| Time impregnation | 0.00 | 1.00 | 0.00 | 0.00 | 0.99 |
| Thiamine form | 79.60 | 1.00 | 79.60 | 3.02 | 0.04 |
| Anatomical part vegetable | 890.40 | 8.00 | 111.30 | 34.95 | 0.00 |
| Type vegetable | 736.40 | 2.00 | 368.20 | 50.64 | 0.00 |
| Predictors | SS | df | MSE | F-Value | p-Value |
|---|---|---|---|---|---|
| Analysis for all samples (TCh and TP) | |||||
| Time impregnation | 14.00 | 1.00 | 14.00 | 0.10 | 0.76 |
| Thiamine form | 1303.00 | 1.00 | 1303.00 | 8.65 | 0.00 |
| Temp. storage | 11,933.00 | 2.00 | 5966.00 | 43.84 | 0.00 |
| Type vegetable | 6008.00 | 3.00 | 2003.00 | 13.85 | 0.00 |
| Anatomical part vegetable | 5809.00 | 6.00 | 968.00 | 6.66 | 0.00 |
| TCh | |||||
| Time impregnation | 8.50 | 1.00 | 8.50 | 0.08 | 0.78 |
| Temp. of storage | 4577.70 | 2.00 | 2288.90 | 86.41 | 0.00 |
| Type vegetable | 1284.70 | 3.00 | 428.20 | 4.99 | 0.00 |
| Anatomical part vegetable | 1371.30 | 9.00 | 152.40 | 1.62 | 0.14 |
| TP | |||||
| Time impregnation | 14.30 | 1.00 | 14.30 | 0.09 | 0.77 |
| Temp. of storage | 6214.10 | 2.00 | 3107.10 | 57.80 | 0.00 |
| Type vegetable | 2386.60 | 3.00 | 795.50 | 6.47 | 0.00 |
| Anatomical part vegetable | 2515.20 | 9.00 | 279.50 | 2.07 | 0.00 |
| Temperature of storage 4 °C | |||||
| Time impregnation | 16.20 | 1.00 | 16.20 | 0.89 | 0.35 |
| Thiamine form | 52.80 | 1.00 | 52.80 | 3.06 | 0.04 |
| Type vegetable | 538.30 | 3.00 | 179.40 | 37.98 | 0.00 |
| Anatomical part vegetable | 626.10 | 9.00 | 69.60 | 25.37 | 0.00 |
| Temperature of storage 21 °C | |||||
| Time impregnation | 2.00 | 1.00 | 2.00 | 0.07 | 0.79 |
| Thiamine form | 50.40 | 1.00 | 50.40 | 1.97 | 0.04 |
| Type vegetable | 877.10 | 3.00 | 292.40 | 72.19 | 0.00 |
| Anatomical part vegetable | 919.10 | 9.00 | 102.10 | 29.53 | 0.00 |
| Temperature of storage 40 °C | |||||
| Time impregnation | 7.60 | 1.00 | 7.60 | 0.09 | 0.77 |
| Thiamine form | 287.80 | 1.00 | 287.80 | 3.71 | 0.04 |
| Type vegetable | 2693.15 | 3.00 | 897.72 | 59.81 | 0.00 |
| Anatomical part vegetable | 2788.00 | 9.00 | 309.80 | 20.86 | 0.00 |
| Parameters Fortifications | Dynamics of Change in Thiamine Content Over 230 Days | ||||||||||
|---|---|---|---|---|---|---|---|---|---|---|---|
| Vegetable | Anatomical Part | T25% [Days] | R2 | RMSE | Y = ax + b | T25% [Days] | R2 | RMSE | Y = ax + b | ||
| Coeff. a24 h−1 | b | Coeff. a24 h−1 | b | ||||||||
| TCh | TP | ||||||||||
| 20 min of impregnation 4 °C of storage | |||||||||||
| without | 211.65 | 0.967 | 0.33 | −0.0013 | 3.020 | 194.93 | 0.976 | 0.05 | −0.0014 | 3.080 | |
| CARROT | crown of carrot | 251.31 | 0.951 | 0.13 | −0.0010 | 1.022 | 225.71 | 0.944 | 0.15 | −0.0011 | 2.976 |
| peel of carrot | 254.83 | 0.954 | 0.04 | −0.0011 | 1.242 | 231.08 | 0.954 | 0.02 | −0.0011 | 2.828 | |
| peeled carrot | 255.17 | 0.961 | 0.02 | −0.0011 | 8.864 | 230.61 | 0.961 | 0.02 | −0.0011 | 2.916 | |
| CAULIFLOWER | stems of cauliflower | 255.57 | 0.952 | 0.02 | −0.0010 | 1.022 | 230.85 | 0.952 | 0.02 | −0.0011 | 2.827 |
| leaves of cauliflower | 344.95 | 0.924 | 0.06 | −0.0007 | 8.638 | 307.85 | 0.936 | 0.02 | −0.0008 | 2.872 | |
| florets of cauliflower | 317.39 | 0.972 | 0.11 | −0.0009 | 1.239 | 281.18 | 0.969 | 0.01 | −0.0009 | 2.957 | |
| BROCCOLI | stems of broccoli | 315.37 | 0.969 | 0.02 | −0.0008 | 1.022 | 284.27 | 0.987 | 0.01 | −0.0009 | 2.869 |
| leaves of broccoli | 392.47 | 0.971 | 0.06 | −0.0007 | 8.500 | 355.16 | 0.988 | 0.01 | −0.0008 | 2.943 | |
| florets of broccoli | 335.73 | 0.937 | 0.06 | −0.0009 | 1.239 | 306.14 | 0.968 | 0.01 | −0.0009 | 2.978 | |
| 20 min of impregnation 21 °C of storage | |||||||||||
| without | 186.11 | 0.987 | 0.307 | −0.0016 | 3.031 | 149.42 | 0.984 | 0.11 | −0.0020 | 3.118 | |
| CARROT | crown of carrot | 228.43 | 0.960 | 0.148 | −0.0011 | 2.801 | 206.55 | 0.952 | 0.17 | −0.0012 | 2.970 |
| peel of carrot | 232.12 | 0.964 | 0.057 | −0.0012 | 3.029 | 210.98 | 0.962 | 0.02 | −0.0012 | 2.824 | |
| peeled carrot | 232.44 | 0.970 | 0.016 | −0.0012 | 3.030 | 211.22 | 0.968 | 0.02 | −0.0012 | 2.911 | |
| CAULIFLOWER | stems of cauliflower | 237.41 | 0.954 | 0.018 | −0.0010 | 2.762 | 215.28 | 0.951 | 0.02 | −0.0011 | 2.817 |
| leaves of cauliflower | 292.68 | 0.965 | 0.065 | −0.0009 | 2.818 | 264.02 | 0.970 | 0.01 | −0.0010 | 2.876 | |
| florets of cauliflower | 283.34 | 0.981 | 0.103 | −0.0010 | 3.066 | 254.26 | 0.977 | 0.01 | −0.0010 | 2.944 | |
| BROCCOLI | stems of broccoli | 283.31 | 0.979 | 0.012 | −0.0009 | 2.834 | 257.32 | 0.989 | 0.01 | −0.0010 | 2.863 |
| leaves of broccoli | 335.87 | 0.977 | 0.057 | −0.0008 | 2.866 | 302.71 | 0.992 | 0.01 | −0.0009 | 2.953 | |
| florets of broccoli | 296.47 | 0.950 | 0.074 | −0.0010 | 3.132 | 271.46 | 0.973 | 0.01 | −0.0010 | 2.976 | |
| 20 min of impregnation 40 °C of storage | |||||||||||
| without | 109.29 | 0.984 | 0.206 | −0.0026 | 3.015 | 70.52 | 0.987 | 0.21 | −0.0036 | 2.970 | |
| CARROT | crown of carrot | 144.59 | 0.992 | 0.255 | −0.0019 | 2.854 | 134.67 | 0.994 | 0.28 | −0.0020 | 3.031 |
| peel of carrot | 148.61 | 0.983 | 0.092 | −0.0020 | 3.084 | 129.43 | 0.984 | 0.02 | −0.0021 | 2.873 | |
| peeled carrot | 149.77 | 0.985 | 0.019 | −0.0019 | 3.081 | 131.21 | 0.986 | 0.02 | −0.0021 | 2.952 | |
| CAULIFLOWER | stems of cauliflower | 148.19 | 0.981 | 0.020 | −0.0018 | 2.817 | 128.12 | 0.978 | 0.03 | −0.0021 | 2.882 |
| leaves of cauliflower | 171.11 | 0.978 | 0.056 | −0.0016 | 2.866 | 148.84 | 0.987 | 0.02 | −0.0019 | 2.920 | |
| florets of cauliflower | 166.41 | 0.989 | 0.102 | −0.0018 | 3.123 | 144.21 | 0.993 | 0.01 | −0.0019 | 2.993 | |
| BROCCOLI | stems of broccoli | 168.21 | 0.972 | 0.024 | −0.0017 | 2.882 | 147.11 | 0.988 | 0.02 | −0.0019 | 2.906 |
| leaves of broccoli | 183.86 | 0.970 | 0.050 | −0.0016 | 2.916 | 160.29 | 0.986 | 0.02 | −0.0018 | 3.014 | |
| florets of broccoli | 175.23 | 0.955 | 0.175 | −0.0018 | 3.190 | 155.54 | 0.976 | 0.02 | −0.0019 | 3.045 | |
| Parameters Fortifications | Dynamics of Change in Thiamine Content Over 230 Days | ||||||||||
|---|---|---|---|---|---|---|---|---|---|---|---|
| Vegetable | Anatomical Part | T25% [Days] | R2 | RMSE | Y = ax + b | T25% [Days] | R2 | RMSE | Y = ax + b | ||
| Coeff. a24 h−1 | b | Coeff. a24 h−1 | b | ||||||||
| TCh | TP | ||||||||||
| 60 min of impregnation 4 °C of storage | |||||||||||
| without | 210.36 | 0.961 | 0.34 | −0.0014 | 3.200 | 171.76 | 0.927 | 0.08 | −0.0017 | 3.202 | |
| CARROT | crown of carrot | 268.51 | 0.963 | 0.13 | −0.0010 | 2.956 | 234.23 | 0.944 | 0.16 | −0.0011 | 3.221 |
| peel of carrot | 281.83 | 0.952 | 0.05 | −0.0010 | 3.165 | 237.74 | 0.961 | 0.02 | −0.0010 | 2.802 | |
| peeled carrot | 275.86 | 0.965 | 0.02 | −0.0010 | 3.195 | 238.92 | 0.961 | 0.02 | −0.0011 | 3.036 | |
| CAULIFLOWER | stems of cauliflower | 282.92 | 0.958 | 0.02 | −0.0009 | 3.028 | 232.96 | 0.958 | 0.05 | −0.0011 | 2.951 |
| leaves of cauliflower | 396.49 | 0.930 | 0.04 | −0.0007 | 3.208 | 321.06 | 0.930 | 0.02 | −0.0008 | 2.932 | |
| florets of cauliflower | 354.29 | 0.981 | 0.04 | −0.0008 | 3.103 | 297.08 | 0.968 | 0.01 | −0.0009 | 3.015 | |
| BROCCOLI | stems of broccoli | 350.27 | 0.961 | 0.03 | −0.0008 | 3.177 | 295.35 | 0.984 | 0.01 | −0.0009 | 2.813 |
| leaves of broccoli | 435.38 | 0.956 | 0.19 | −0.0009 | 4.390 | 368.34 | 0.990 | 0.01 | −0.0007 | 2.901 | |
| florets of broccoli | 362.04 | 0.908 | 0.40 | −0.0012 | 5.657 | 346.94 | 0.982 | 0.01 | −0.0009 | 3.381 | |
| 60 min of impregnation 21 °C of storage | |||||||||||
| without | 185.52 | 0.985 | 0.33 | −0.0016 | 3.218 | 148.36 | 0.989 | 0.11 | −0.0021 | 3.239 | |
| CARROT | crown of carrot | 234.03 | 0.960 | 0.15 | −0.0011 | 2.949 | 214.79 | 0.948 | 0.17 | −0.0012 | 3.214 |
| peel of carrot | 237.71 | 0.964 | 0.06 | −0.0012 | 3.190 | 220.11 | 0.962 | 0.02 | −0.0011 | 2.793 | |
| peeled carrot | 237.66 | 0.967 | 0.02 | −0.0012 | 3.192 | 219.47 | 0.966 | 0.02 | −0.0012 | 3.030 | |
| CAULIFLOWER | stems of cauliflower | 243.34 | 0.954 | 0.02 | −0.0011 | 3.027 | 224.44 | 0.949 | 0.04 | −0.0011 | 2.931 |
| leaves of cauliflower | 298.53 | 0.962 | 0.04 | −0.0010 | 3.219 | 276.99 | 0.967 | 0.01 | −0.0009 | 2.935 | |
| florets of cauliflower | 290.54 | 0.977 | 0.04 | −0.0010 | 3.103 | 266.90 | 0.975 | 0.01 | −0.0010 | 3.005 | |
| BROCCOLI | stems of broccoli | 289.46 | 0.972 | 0.02 | −0.0010 | 3.174 | 269.93 | 0.989 | 0.01 | −0.0010 | 2.807 |
| leaves of broccoli | 309.01 | 0.963 | 0.20 | −0.0012 | 4.412 | 317.43 | 0.986 | 0.01 | −0.0008 | 2.902 | |
| florets of broccoli | 301.85 | 0.938 | 0.37 | −0.0015 | 5.674 | 285.16 | 0.974 | 0.01 | −0.0011 | 3.390 | |
| 60 min of impregnation 40 °C of storage | |||||||||||
| without | 107.21 | 0.983 | 0.21 | −0.0028 | 3.203 | 69.83 | 0.985 | 0.21 | −0.0036 | 2.970 | |
| CARROT | crown of carrot | 148.59 | 0.992 | 0.26 | −0.0019 | 3.007 | 139.80 | 0.994 | 0.28 | −0.0020 | 3.031 |
| peel of carrot | 152.71 | 0.983 | 0.10 | −0.0020 | 3.250 | 134.21 | 0.982 | 0.02 | −0.0021 | 2.873 | |
| peeled carrot | 154.04 | 0.985 | 0.02 | −0.0020 | 3.246 | 136.23 | 0.985 | 0.02 | −0.0021 | 2.952 | |
| CAULIFLOWER | stems of cauliflower | 152.26 | 0.981 | 0.02 | −0.0019 | 3.091 | 132.69 | 0.977 | 0.03 | −0.0021 | 2.882 |
| leaves of cauliflower | 176.29 | 0.976 | 0.04 | −0.0018 | 3.279 | 154.65 | 0.984 | 0.02 | −0.0019 | 2.920 | |
| florets of cauliflower | 171.38 | 0.989 | 0.05 | −0.0018 | 3.160 | 149.93 | 0.991 | 0.01 | −0.0019 | 2.993 | |
| BROCCOLI | stems of broccoli | 172.94 | 0.969 | 0.03 | −0.0018 | 3.233 | 152.65 | 0.984 | 0.02 | −0.0019 | 2.906 |
| leaves of broccoli | 188.89 | 0.957 | 0.16 | −0.0022 | 4.523 | 166.11 | 0.983 | 0.02 | −0.0019 | 3.049 | |
| florets of broccoli | 179.89 | 0.958 | 0.28 | −0.0026 | 5.809 | 161.45 | 0.983 | 0.02 | −0.0019 | 3.045 | |
Disclaimer/Publisher’s Note: The statements, opinions and data contained in all publications are solely those of the individual author(s) and contributor(s) and not of MDPI and/or the editor(s). MDPI and/or the editor(s) disclaim responsibility for any injury to people or property resulting from any ideas, methods, instructions or products referred to in the content. |
© 2026 by the authors. Licensee MDPI, Basel, Switzerland. This article is an open access article distributed under the terms and conditions of the Creative Commons Attribution (CC BY) license.
Share and Cite
Szymandera-Buszka, K.E.; Jankowska, A.; Juszczak, P. Analysis of the Use of Carrots, Cauliflower and Broccoli Waste Materials as a Matrix for Thiamine. Foods 2026, 15, 801. https://doi.org/10.3390/foods15050801
Szymandera-Buszka KE, Jankowska A, Juszczak P. Analysis of the Use of Carrots, Cauliflower and Broccoli Waste Materials as a Matrix for Thiamine. Foods. 2026; 15(5):801. https://doi.org/10.3390/foods15050801
Chicago/Turabian StyleSzymandera-Buszka, Krystyna Eleonora, Agata Jankowska, and Paweł Juszczak. 2026. "Analysis of the Use of Carrots, Cauliflower and Broccoli Waste Materials as a Matrix for Thiamine" Foods 15, no. 5: 801. https://doi.org/10.3390/foods15050801
APA StyleSzymandera-Buszka, K. E., Jankowska, A., & Juszczak, P. (2026). Analysis of the Use of Carrots, Cauliflower and Broccoli Waste Materials as a Matrix for Thiamine. Foods, 15(5), 801. https://doi.org/10.3390/foods15050801

