Effect of Non-Covalent Interactions on Arabinoxylan–Protein Cross-Linking and Gluten-Free Batter Stability
Abstract
1. Introduction
2. Materials and Methods
2.1. Materials
2.2. Arabinoxylan Extraction
2.3. Batter Preparation
2.4. Rheological Analysis
2.5. Batter Expansion Analysis
2.6. Statistical Analysis
3. Results and Discussion
3.1. Time-Dependent Rheological Behaviour of Gluten-Free Batters
3.1.1. Effect of Model Batters Added with Protein
3.1.2. Effect of Model Batters Added with Arabinoxylans
3.1.3. Effect of Model Batters Added with Arabinoxylans and Protein
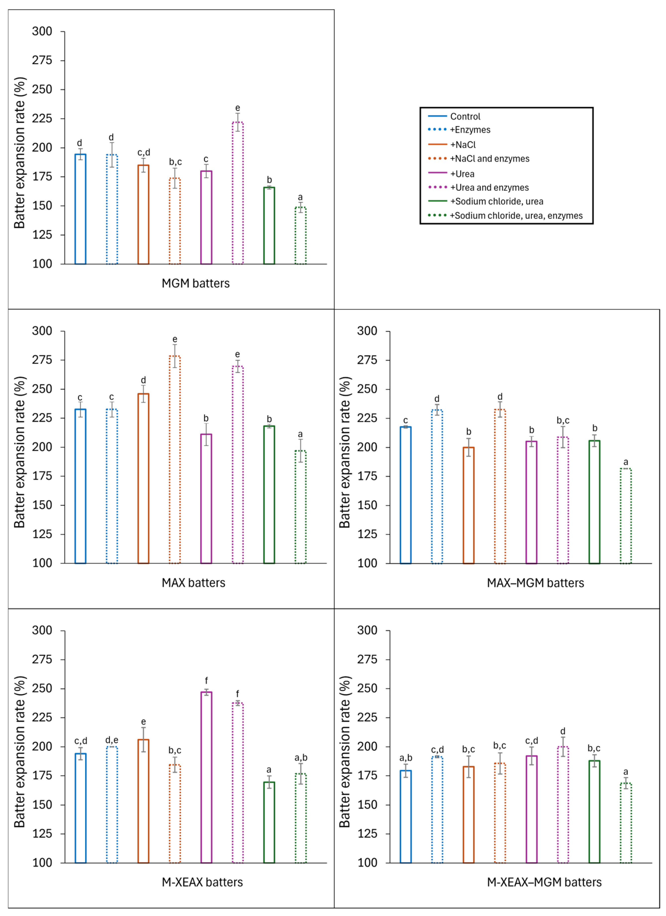
3.2. Batter Expansion of Gluten-Free Batters
3.2.1. Gas Retention in Protein-Based Model Batters
3.2.2. Gas Retention in AX-Based Model Batters
3.2.3. Gas Retention in AX and Protein-Based Model Batters
4. Conclusions
Supplementary Materials
Author Contributions
Funding
Institutional Review Board Statement
Informed Consent Statement
Data Availability Statement
Acknowledgments
Conflicts of Interest
Appendix A
| Extracts | Proteins | Dietary Fibre | AX 1 | A/X Ratio | Starch | Free Glucose | Ash | Total Bound Phenolic Content 2 (FA 3 Content) | Total Conjugated Phenolics | Total Free Phenolics |
|---|---|---|---|---|---|---|---|---|---|---|
| MAX | <8 4 | >80 4 | Arabinose: 31 4 Xylose: 51 4 | 0.61 | <0.5 4 | - 5 | - | 0.04 ± <0.01 (FA: 0.011 ± <0.001) | - | <0.01 |
| M-XEAX 6 | 5.1 ± 0.1 | 1.4 ± 0.9 (insoluble) 32.0 ± 0.8 (soluble) | 28.4 ± 1.5 | 0.77 | 14.5 ± 0.6 | 1.1 ± 0.1 | 0.7 ± <0.1 | 0.48 ± 0.03 (FA: 0.16 ± 0.01) | 0.43 ± <0.01 | 0.65 ± 0.03 |
| MGM 6 | 66.7 ± 0.4 | 4.4 ± 1.5 | - | - | 12.2 ± 0.4 | - | 2.0 ± <0.1 | - | - | - |

References
- Zandonadi, R.P.; Romão, B. Gluten-Free Diet in the Context of Food and Nutrition Security, Food Safety, and Sustainability. Nutr. Rev. 2025, nuaf069. [Google Scholar] [CrossRef] [PubMed]
- Naqash, F.; Gani, A.; Gani, A.; Masoodi, F.A. Gluten-free baking: Combating the challenges—A review. Trends Food Sci. Technol. 2017, 66, 98–107. [Google Scholar] [CrossRef]
- Kaur, S.; Kumar, K.; Singh, L.; Sharanagat, V.S.; Nema, P.K.; Mishra, V.; Bhushan, B. Gluten-free grains: Importance, processing and its effect on quality of gluten-free products. Crit. Rev. Food Sci. Nutr. 2024, 64, 1988–2015. [Google Scholar] [CrossRef] [PubMed]
- Bender, D.; Nemeth, R.; Cavazzi, G.; Turoczi, F.; Schall, E.; D’Amico, S.; Török, K.; Lucisano, M.; Tömösközi, S.; Schoenlechner, R. Characterization of rheological properties of rye arabinoxylans in buckwheat model systems. Food Hydrocoll. 2018, 80, 33–41. [Google Scholar] [CrossRef]
- Glusac, J.; Fishman, A. Enzymatic and chemical modification of zein for food application. Trends Food Sci. Technol. 2021, 112, 507–517. [Google Scholar] [CrossRef]
- Liu, C.; Zhao, Z.; Zhong, W.; Su, Z.; Zhang, Q.; Zhang, Y.; Lin, S.; Lu, X.; Qin, W. Hydrogel Formation of Enzymatically Solubilized Corn Bran Feruloylated Arabinoxylan by Laccase-Catalyzed Cross-Linking. Foods 2025, 14, 2819. [Google Scholar] [CrossRef]
- Zannini, E.; Bravo Núñez, Á.; Sahin, A.W.; Arendt, E.K. Arabinoxylans as Functional Food Ingredients: A Review. Foods 2022, 11, 1026. [Google Scholar] [CrossRef]
- McClements, D.J. Non-covalent interactions between proteins and polysaccharides. Biotechnol. Adv. 2006, 24, 621–625. [Google Scholar] [CrossRef]
- Sukop, U.; Hoefler, K.; Wiesmann, V.; Fuhrmann, P.L.; Jekle, M.; Schoenlechner, R.; Domig, K.J.; Bender, D.; D’Amico, S. Characterisation of enzymatically-induced arabinoxylan-protein interactions in gluten-free model batter. Food Hydrocoll. 2026, 175, 112458. [Google Scholar] [CrossRef]
- Cappelli, A.; Oliva, N.; Cini, E. A Systematic Review of Gluten-Free Dough and Bread: Dough Rheology, Bread Characteristics, and Improvement Strategies. Appl. Sci. 2020, 10, 6559. [Google Scholar] [CrossRef]
- Waziiroh, E.; Bender, D.; Fuhrmann, P.L.; Schoenlechner, R. Effect of non-covalent interactions on gluten-free batter stability and bread properties. LWT 2025, 215, 117263. [Google Scholar] [CrossRef]
- Wang, J.; Zhao, S.; Min, G.; Qiao, D.; Zhang, B.; Niu, M.; Jia, C.; Xu, Y.; Lin, Q. Starch-protein interplay varies the multi-scale structures of starch undergoing thermal processing. Int. J. Biol. Macromol. 2021, 175, 179–187. [Google Scholar] [CrossRef] [PubMed]
- Liu, M.; Chen, B.; Ren, F.; Mitra, P.; Han, Z.; Zhu, X.; Huang, M.; Liu, H. Protein-Polysaccharide Complexes: From Structure and Function to Food Applications—A Review. Food Rev. Int. 2026, 1–27. [Google Scholar] [CrossRef]
- Speranza, S.; Knechtl, R.; Witlaczil, R.; Schönlechner, R. Reversed-Phase HPLC Characterization and Quantification and Antioxidant Capacity of the Phenolic Acids and Flavonoids Extracted From Eight Varieties of Sorghum Grown in Austria. Front. Plant Sci. 2021, 12, 769151. [Google Scholar] [CrossRef] [PubMed]
- Zeng, B.; Chen, Z.; Lou, Y.; Tian, Y.; Jin, Y.; Fu, X. Preparation and characterization of ovomucin-xanthan gum stabilized pickering emulsions: Microstructure, rheology, and stability. Food Chem. 2025, 489, 145004. [Google Scholar] [CrossRef]
- Liu, A.; Zhang, S.; Wang, W.; Hou, H.; Dai, Y.; Li, C.; Zhang, H. Effects of Different Pretreatments on Wheat Bran and Its Arabinoxylan Obtained by Sequential Extraction with Dilute Alkali and Alkali–Urea Mixture. Foods 2025, 14, 696. [Google Scholar] [CrossRef]
- Yilmaz-Turan, S.; Lopez-Sanchez, P.; Jiménez-Quero, A.; Plivelic, T.S.; Vilaplana, F. Revealing the mechanisms of hydrogel formation by laccase crosslinking and regeneration of feruloylated arabinoxylan from wheat bran. Food Hydrocoll. 2022, 128, 107575. [Google Scholar] [CrossRef]
- Germain, J.C.; Aguilera, J.M. Multi-scale properties of protein-stabilized foams. Food Struct. 2014, 1, 55–70. [Google Scholar] [CrossRef]
- Wang, C.; Chen, Z.; Hong, X.; Ning, F.; Liu, H.; Zang, J.; Yan, X.; Kemp, J.; Musselman, C.A.; Kutateladze, T.G.; et al. The structural basis of urea-induced protein unfolding in β-catenin. Acta Crystallogr. D Biol. Crystallogr. 2014, 70, 2840–2847. [Google Scholar] [CrossRef]
- Kong, F.; Kang, S.; Zhang, J.; Jiang, L.; Liu, Y.; Yang, M.; Cao, X.; Zheng, Y.; Shao, J.; Yue, X. The non-covalent interactions between whey protein and various food functional ingredients. Food Chem. 2022, 394, 133455. [Google Scholar] [CrossRef]
- Ma, X.; Habibi, M.; Sagis, L.M. Air-water interfacial and foaming properties of lupin protein-polysaccharide soluble complexes: Role of physicochemical properties, morphological characteristics, and flexibility. Food Hydrocoll. 2025, 165, 111247. [Google Scholar] [CrossRef]


| Components | AX-Based Batters | AX+MGM-Based Batters | MGM-Based Batters |
|---|---|---|---|
| Buffer (50 mM, pH 5.5) (mL) | 3.0 | 3.15 1 | 3.15 1 |
| Native maize starch (g) | 2.82 | 2.82 | 2.82 |
| Pre-gelatinised starch (g) | 0.18 | 0.18 | 0.18 |
| M-XEAX or MAX (%) 2 | 2.6 | 2.6 | – 3 |
| MGM (%) 2 | – 3 | 3 | 3 |
| NaCl (mol/L) | Optional 0.3 mol/L | Optional 0.3 mol/L | Optional 0.3 mol/L |
| Urea (mol/L) | Optional 0.3 mol/L | Optional 0.3 mol/L | Optional 0.3 mol/L |
| SDS (%) 2 | Optional 3% (w/w, starch basis) | Optional 3% (w/w, starch basis) | Optional 3% (w/w, starch basis) |
| GOX + HRP | Optional 0.02 U/mg | Optional 0.02 U/mg | Optional 0.02 U/mg |
| Model Batter Formulation | G′ [Pa] | G″ [Pa] | tan δ | |
|---|---|---|---|---|
| MGM | Control | 748 ± 224 b | 81.1 ± 22.7 a | 0.108 ± 0.009 a |
| Control + Enzymes | 509 ± 244 a,b | 60.9 ± 28.1 a | 0.120 ± 0.005 a,b | |
| Control + NaCl | 460 ± 78 a,b | 52.6 ± 8.6 a | 0.114 ± 0.012 a,b | |
| Control + NaCl + Enzymes | 653 ± 167 b | 76.1 ± 15.6 a | 0.117 ± 0.009 a,b | |
| Control + Urea | 769 ± 479 b | 87.8 ± 50.8 a | 0.114 ± 0.008 a,b | |
| Control + Urea + Enzymes | 380 ± 101 a, b | 50.2 ± 11.8 a | 0.132 ± 0.008 b | |
| Control + SDS | 456 ± 216 a,b | 87.0 ± 43.6 a | 0.191 ± 0.017 c | |
| Control + SDS + Enzymes | 265 ± 15 a | 53.4 ± 5.5 a | 0.201 ± 0.025 c | |
| MAX | Control | 1058 ± 159 a,b | 230.8 ± 33.1 a,b | 0.218 ± 0.004 a |
| Control + Enzymes | 993 ± 331 a,b | 239.9 ± 57.3 a,b | 0.242 ± 0.030 c | |
| Control + NaCl | 1276 ± 52 b | 267.7 ± 17.1 b,c | 0.210 ± 0.005 a | |
| Control + NaCl + Enzymes | 1135 ± 179 a,b | 249.2 ± 33.0 a,b,c | 0.220 ± 0.006 a | |
| Control + Urea | 968 ± 114 a,b | 216.1 ± 22.2 a,b | 0.223 ± 0.006 a,b | |
| Control + Urea + Enzymes | 843 ± 225 a | 204.5 ± 47.5 a | 0.242 ± 0.015 b,c | |
| Control + SDS | 1043 ± 95 a,b | 307.9 ± 26.0 c | 0.295 ± 0.003 d | |
| Control + SDS + Enzymes | 839 ± 35 a | 256.2 ± 11.1 a,b,c | 0.305 ± 0.010 d | |
| M-XEAX | Control | 724 ± 38 a,b | 173.0 ± 10.8 a,b | 0.239 ± 0.010 a,b,c |
| Control + Enzymes | 619 ± 111 a | 160.4 ± 24.3 a,b | 0.259 ± 0.004 c | |
| Control + NaCl | 646 ± 295 a,b | 158.4 ± 51.3 a,b | 0.245 ± 0.030 b,c | |
| Control + NaCl + Enzymes | 541 ± 65 a | 146.4 ± 10.3 a,b | 0.270 ± 0.015 b,c | |
| Control + Urea | 508 ± 84 a | 133.5 ± 18.4 a | 0.263 ± 0.014 b,c | |
| Control + Urea + Enzymes | 631 ± 157 a | 157.0 ± 22.2 a,b | 0.249 ± 0.036 b,c | |
| Control + SDS | 963 ± 349 b,c | 197.3 ± 62.7 b | 0.205 ± 0.013 a | |
| Control + SDS + Enzymes | 1155 ± 115 c | 260.2 ± 23.8 c | 0.225 ± 0.003 a,b | |
| MAX-MGM | Control | 2664 ± 1483 b | 431.3 ± 246.1 b,c | 0.162 ± 0.012 a,b |
| Control + Enzymes | 1526 ± 439 a | 271.9 ± 66.0 a,b | 0.178 ± 0.014 c | |
| Control + NaCl | 1767 ± 215 a,b | 276.4 ± 31.2 a,b | 0.156 ± 0.004 a | |
| Control + NaCl + Enzymes | 1231 ± 84 a | 220.0 ± 10.5 a | 0.179 ± 0.004 b,c | |
| Control + Urea | 1361 ± 123 a | 223.1 ± 16.7 a | 0.164 ± 0.003 a,b,c | |
| Control + Urea + Enzymes | 1096 ± 111 a | 200.0 ± 18.7 a | 0.182 ± 0.004 c | |
| Control + SDS | 2320 ± 18 a,b | 567.5 ± 29.3 c,d | 0.245 ± 0.013 d | |
| Control + SDS + Enzymes | 2354 ± 342 a,b | 677.2 ± 186.0 d | 0.288 ± 0.038 e | |
| M-XEAX-MGM | Control | 1356 ± 320 b,c,d | 213.1 ± 52.0 a | 0.157 ± 0.008 a |
| Control + Enzymes | 976 ± 7 a | 162.4 ± 10.7 a | 0.166 ± 0.010 a | |
| Control + NaCl | 1241 ± 296 a,b,c,d | 194.9 ± 37.4 a | 0.157 ± 0.009 a | |
| Control + NaCl + Enzymes | 1044 ± 123 a,b,c | 175.3 ± 11.8 a | 0.168 ± 0.010 a | |
| Control + Urea | 1031 ± 94 a,b | 170.7 ± 14.7 a | 0.166 ± 0.004 a | |
| Control + Urea + Enzymes | 984 ± 520 a | 171.0 ± 90.6 a | 0.174 ± 0.095 a | |
| Control + SDS | 1471 ± 325 d | 345.5 ± 63.4 b | 0.235 ± 0.018 b | |
| Control + SDS + Enzymes | 1420 ± 84 c,d | 351.6 ± 13.6 b | 0.248 ± 0.012 b | |
| Model Batters | Effects of Non-Covalent Interactions on Batter Stability (G′) | Gas Retention Behaviour | Relationship Between G′ and Gas Retention |
|---|---|---|---|
| MGM | Generally low elasticity: hydrophobic forces, H-bond suppression additionally reduced G′; increased tan δ with SDS | Minor changes; balanced contribution of non-covalent interactions | No clear relationship |
| MAX | Highest G′ among both AX-based systems; electrostatic shielding increased G′; minor stabilising effects of hydrophobic forces, H-bond; SDS increased tan δ (without major G′ changes) | Higher gas retention overall; electrostatic shielding improved expansion | Positive relationship |
| M-XEAX | Suppression of hydrophobic interactions increased G′; SDS reduced tan δ | Gas retention generally improved by suppression of electrostatic, hydrophilic interactions | No clear relationship |
| MAX-MGM | Highest G′ overall; mainly stabilised by H-bonds, hydrophobic forces; SDS significantly increased tan δ | Balanced contribution of non-covalent interactions; gas retention decreased compared to MAX batters | Inverse relationship |
| M-XEAX-MGM | Moderate G′ changes depending on interaction suppression; negative effect of hydrophobic interactions on batter stability; SDS increased tan δ despite higher stiffness | Lowest expansion; decreased compared to M-XEAX batters | No clear relationship |
| Enzyme-treated | Increased G′ in M-XEAX systems with suppressed hydrophobic, hydrophilic forces; suppression of hydrophobic interactions in mixed batters potentially increased enzyme efficiency; MAX(-MGM) exhibited higher tan δ without G′ enhancement. | Did not consistently improve gas retention; positive effects in MGM batters (+urea), MAX batters (+NaCl/urea), mixed systems | No clear relationship |
Disclaimer/Publisher’s Note: The statements, opinions and data contained in all publications are solely those of the individual author(s) and contributor(s) and not of MDPI and/or the editor(s). MDPI and/or the editor(s) disclaim responsibility for any injury to people or property resulting from any ideas, methods, instructions or products referred to in the content. |
© 2026 by the authors. Licensee MDPI, Basel, Switzerland. This article is an open access article distributed under the terms and conditions of the Creative Commons Attribution (CC BY) license.
Share and Cite
Sukop, U.; Feist, K.; Hoefler, K.; D’Amico, S.; Jekle, M.; Schoenlechner, R.; Domig, K.J.; Fuhrmann, P.L.; Bender, D. Effect of Non-Covalent Interactions on Arabinoxylan–Protein Cross-Linking and Gluten-Free Batter Stability. Foods 2026, 15, 768. https://doi.org/10.3390/foods15040768
Sukop U, Feist K, Hoefler K, D’Amico S, Jekle M, Schoenlechner R, Domig KJ, Fuhrmann PL, Bender D. Effect of Non-Covalent Interactions on Arabinoxylan–Protein Cross-Linking and Gluten-Free Batter Stability. Foods. 2026; 15(4):768. https://doi.org/10.3390/foods15040768
Chicago/Turabian StyleSukop, Ulrich, Katharina Feist, Katharina Hoefler, Stefano D’Amico, Mario Jekle, Regine Schoenlechner, Konrad J. Domig, Philipp L. Fuhrmann, and Denisse Bender. 2026. "Effect of Non-Covalent Interactions on Arabinoxylan–Protein Cross-Linking and Gluten-Free Batter Stability" Foods 15, no. 4: 768. https://doi.org/10.3390/foods15040768
APA StyleSukop, U., Feist, K., Hoefler, K., D’Amico, S., Jekle, M., Schoenlechner, R., Domig, K. J., Fuhrmann, P. L., & Bender, D. (2026). Effect of Non-Covalent Interactions on Arabinoxylan–Protein Cross-Linking and Gluten-Free Batter Stability. Foods, 15(4), 768. https://doi.org/10.3390/foods15040768

