Chemesthetic Perception in Extra Virgin Olive Oil and Olive Ripening Stage: A Sensory Perspective
Abstract
1. Introduction
2. Main Sections
2.1. Chemesthetic Perception: Concepts and Mechanisms
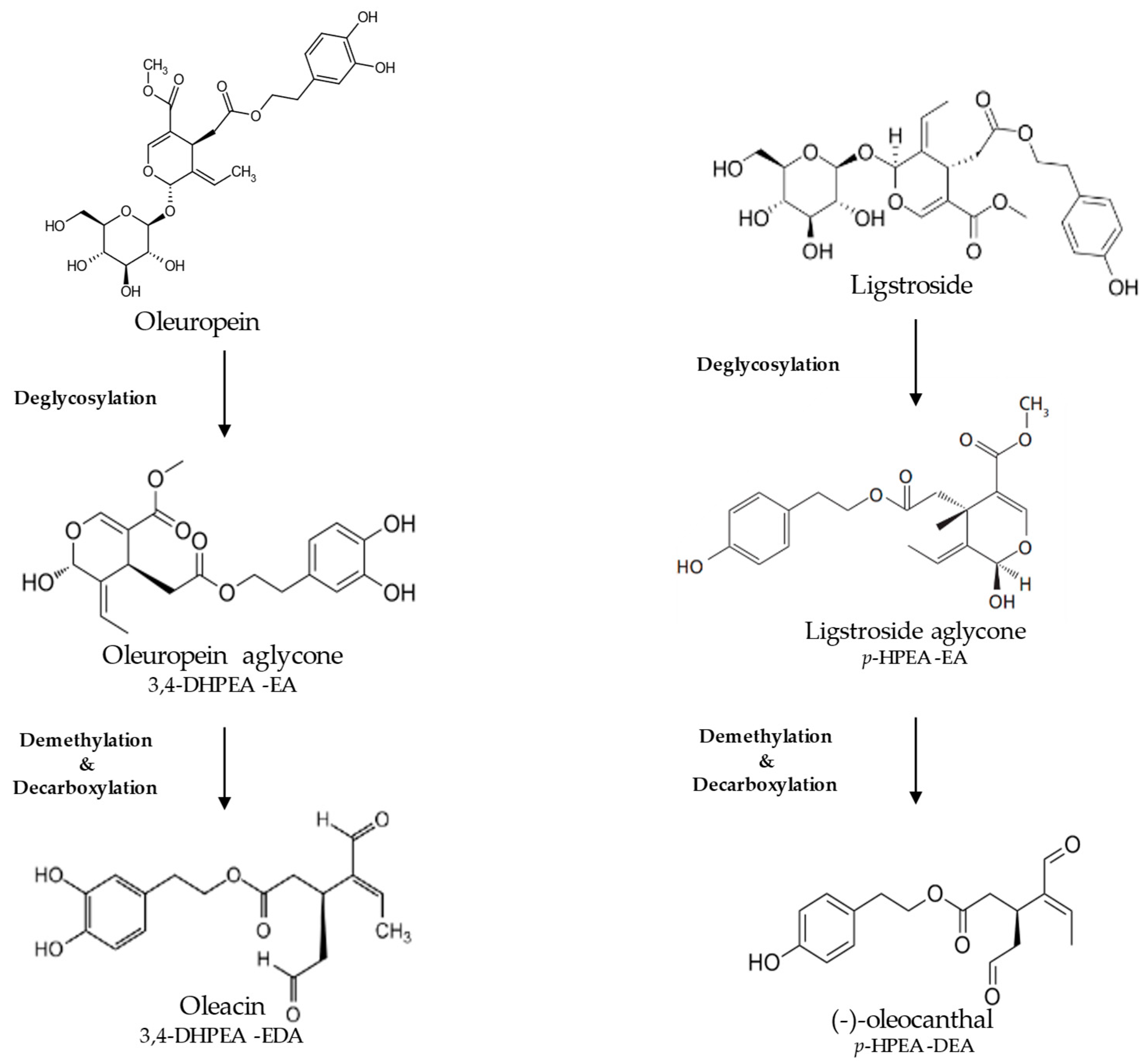
2.2. Bioactive Compounds Underlying Chemesthetic Sensations in EVOO
2.3. Influence of Olive Maturity on Chemesthetic Compounds
2.4. Chemesthesis, Phenolic Bioactivity, and Nutraceutical Relevance of EVOO
2.5. Sensory Assessment of Chemesthetic Perception in EVOO
2.5.1. Methodological Approaches for Chemesthetic Evaluation
2.5.2. Consumer Perception and Acceptance of Chemesthetic Attributes
3. Conclusions
Author Contributions
Funding
Institutional Review Board Statement
Informed Consent Statement
Data Availability Statement
Acknowledgments
Conflicts of Interest
Abbreviations
| IOC | International Olive Council |
| EVOO | Extra Virgin Olive Oil |
| VOO | Virgin Olive Oil |
| LOO | Lampante Olive Oil |
| TRP | Transient Receptor Potential |
| CACs | Chemosensory Active Compounds |
| Ole | Oleuropein |
| HT | Hydroxytyrosol |
| OL | Oleacin; Oleuropein-aglycone di-aldehyde |
| OC | Oleocanthal; (-)-deacetoxy-dialdehydic ligstroside aglycone |
References
- International Olive Council. Sensory Analysis of Olive Oil Method for the Organoleptic Assessment of Virgin Olive Oil, no. COI/T.20/Doc. No 15/Rev. 11 June 2024. Available online: https://www.internationaloliveoil.org/wp-content/uploads/2024/07/III-2.2.COI-T20-Doc.-15-REV-11-2024_EN-1.pdf (accessed on 19 December 2025).
- Regolamento Delegato–2022/2104–EN–EUR-Lex. Available online: https://eur-lex.europa.eu/legal-content/IT/ALL/?uri=CELEX%3A32022R2104 (accessed on 19 December 2025).
- Martínez Gila, M.D.; Sanmartin, C.; Soto, J.N.; Mencarelli, F.; Ortega, J.G.; García, J.G. Classification of olive fruits and oils based on their fatty acid ethyl esters content using electronic nose technology. J. Food Meas. Charact. 2021, 15, 5427–5438. [Google Scholar] [CrossRef]
- Modesti, M.; Taglieri, I.; Bianchi, A.; Tonacci, A.; Sansone, F.; Bellincontro, A.; Venturi, F.; Sanmartin, C. E-Nose and Olfactory Assessment: Teamwork or a Challenge to the Last Data? The Case of Virgin Olive Oil Stability and Shelf Life. Appl. Sci. 2021, 11, 8453. [Google Scholar] [CrossRef]
- Aparicio, R.; Morales, M.T.; García-González, D.L. Towards new analyses of aroma and volatiles to understand sensory perception of olive oil. Eur. J. Lipid Sci. Technol. 2012, 114, 1114–1125. [Google Scholar] [CrossRef]
- Cecchi, L.; Migliorini, M.; Mulinacci, N. Virgin Olive Oil Volatile Compounds: Composition, Sensory Characteristics, Analytical Approaches, Quality Control, and Authentication. J. Agric. Food Chem. 2021, 69, 2013–2040. [Google Scholar] [CrossRef]
- Marchal, P.C.; Sanmartin, C.; Martínez, S.S.; Ortega, J.G.; Mencarelli, F.; García, J.G. Prediction of Fruity Aroma Intensity and Defect Presence in Virgin Olive Oil Using an Electronic Nose. Sensors 2021, 21, 2298. [Google Scholar] [CrossRef]
- Boskou, D. Olive Fruit, Table Olives, and Olive Oil Bioactive Constituents. In Olive and Olive Oil Bioactive Constituents; Elsevier: Amsterdam, The Netherlands, 2015; pp. 1–30. [Google Scholar] [CrossRef]
- Servili, M.; Sordini, B.; Esposto, S.; Urbani, S.; Veneziani, G.; Maio, I.D.; Selvaggini, R.; Taticchi, A. Biological Activities of Phenolic Compounds of Extra Virgin Olive Oil. Antioxidants 2013, 3, 1–23. [Google Scholar] [CrossRef] [PubMed]
- Roper, S.D. TRPs in taste and chemesthesis. Handb. Exp. Pharmacol. 2014, 223, 827–871. [Google Scholar] [CrossRef] [PubMed]
- Castillo-Luna, A.; Criado-Navarro, I.; Ledesma-Escobar, C.A.; López-Bascón, M.A.; Priego-Capote, F. The decrease in the health benefits of extra virgin olive oil during storage is conditioned by the initial phenolic profile. Food Chem. 2021, 336, 127730. [Google Scholar] [CrossRef] [PubMed]
- Cecchi, L.; Migliorini, M.; Giambanelli, E.; Rossetti, A.; Cane, A.; Mulinacci, N. New Volatile Molecular Markers of Rancidity in Virgin Olive Oils under Nonaccelerated Oxidative Storage Conditions. J. Agric. Food Chem. 2019, 67, 13150–13163. [Google Scholar] [CrossRef]
- Krichene, D.; Salvador, M.D.; Fregapane, G. Stability of Virgin Olive Oil Phenolic Compounds during Long-Term Storage (18 Months) at Temperatures of 5–50 °C. J. Agric. Food Chem. 2015, 63, 6779–6786. [Google Scholar] [CrossRef]
- Miho, H.; Moral, J.; López-González, M.A.; Díez, C.M.; Priego-Capote, F. The phenolic profile of virgin olive oil is influenced by malaxation conditions and determines the oxidative stability. Food Chem. 2020, 314, 126183. [Google Scholar] [CrossRef]
- Pierguidi, L.; Cecchi, L.; Dinnella, C.; Zanoni, B.; Spinelli, S.; Migliorini, M.; Monteleone, E. Markers of sensory dynamics in phenols-rich virgin olive oils under optimal storage conditions. Food Res. Int. 2024, 187, 114438. [Google Scholar] [CrossRef] [PubMed]
- Sanmartin, C.; Venturi, F.; Sgherri, C.; Nari, A.; Macaluso, M.; Flamini, G.; Quartacci, M.F.; Taglieri, I.; Andrich, G.; Zinnai, A. The effects of packaging and storage temperature on the shelf-life of extra virgin olive oil. Heliyon 2018, 411, e00888. [Google Scholar] [CrossRef] [PubMed]
- Auvray, M.; Spence, C. The multisensory perception of flavor. Conscious. Cogn. 2008, 17, 1016–1031. [Google Scholar] [CrossRef]
- Linne, B.; Simons, C.T. Quantification of Oral Roughness Perception and Comparison with Mechanism of Astringency Perception. Chem. Senses 2017, 42, 525–535. [Google Scholar] [CrossRef]
- Nilius, B.; Appendino, G. Tasty and healthy TR(i)Ps. the human quest for culinary pungency. EMBO Rep. 2011, 12, 1094–1101. [Google Scholar] [CrossRef] [PubMed]
- Liman, E.R. TRPM5 and taste transduction. Handb. Exp. Pharmacol. 2007, 179, 287–298. [Google Scholar] [CrossRef]
- Pérez, L.P.Y.; Gracia, A. Consumer Preferences for Olive Oil in Spain: A Best-Worst Scaling Approach. Sustainability 2023, 15, 11283. [Google Scholar] [CrossRef]
- Smith, K.R.; Treesukosol, Y.; Paedae, A.B.; Contreras, R.J.; Spector, A.C. Contribution of the TRPV1 channel to salt taste quality in mice as assessed by conditioned taste aversion generalization and chorda tympani nerve responses. Am. J. Physiol. Regul. Integr. Comp. Physiol. 2012, 303, 1195–1205. [Google Scholar] [CrossRef]
- Díaz-Guerrero, P.; Panzani, S.; Sanmartin, C.; Muntoni, C.; Taglieri, I.; Venturi, F. ‘Pepper’: Different Spices, One Name—Analysis of Sensory and Biological Aspects. Molecules 2025, 30, 1891. [Google Scholar] [CrossRef]
- Klein, A.H. The orotrigeminal system. Handb. Clin. Neurol. 2019, 164, 205–216. [Google Scholar] [CrossRef]
- Yang, F.; Zheng, J. Understand spiciness: Mechanism of TRPV1 channel activation by capsaicin. Protein Cell 2017, 8, 169–177. [Google Scholar] [CrossRef]
- Zou, R.; Zhou, Y.; Lu, Y.; Zhao, Y.; Zhang, N.; Liu, J.; Zhang, Y.; Fu, Y. Preparation, pungency and bioactivity transduction of piperine from black pepper (Piper nigrum L.): A comprehensive review. Food Chem. 2024, 456, 139980. [Google Scholar] [CrossRef]
- Bautista, D.M.; Siemens, J.; Glazer, J.M.; Tsuruda, P.R.; Basbaum, A.I.; Stucky, C.L.; Jordt, S.E.; Julius, D. The menthol receptor TRPM8 is the principal detector of environmental cold. Nature 2007, 448, 7150. [Google Scholar] [CrossRef]
- Izquierdo, C.; Martín-Martínez, M.; Gómez-Monterrey, I.; González-Muñiz, R. Trpm8 channels: Advances in structural studies and pharmacological modulation. Int. J. Mol. Sci. 2021, 22, 16. [Google Scholar] [CrossRef] [PubMed]
- Laursen, W.J.; Bagriantsev, S.N.; Gracheva, E.O. TRPA1 Channels: Chemical and Temperature Sensitivity. Curr. Top. Membr. 2014, 74, 89–112. [Google Scholar] [CrossRef]
- Moparthi, L.; Kichko, T.I.; Eberhardt, M.; Högestätt, E.D.; Kjellbom, P.; Johanson, U.; Reeh, P.W.; Filipovic, M.R.; Zygmunt, P.M. Human TRPA1 is a heat sensor displaying intrinsic U-shaped thermosensitivity. Sci. Rep. 2016, 6, 28763. [Google Scholar] [CrossRef] [PubMed]
- Alpizar, Y.A.; Voets, T.; Talavera, K. Molecular mechanisms underlying the role of TRP channels in chemesthesis. In Chemesthesis: Chemical Touch in Food and Eating; John Wiley and Sons: Hoboken, NJ, USA, 2016; pp. 48–76. [Google Scholar] [CrossRef]
- Beltrán, L.R.; Dawid, C.; Beltrán, M.; Gisselmann, G.; Degenhardt, K.; Mathie, K.; Hofmann, T.; Hatt, H. The pungent substances piperine, capsaicin, 6-gingerol and polygodial inhibit the human two-pore domain potassium channels TASK-1, TASK-3 and TRESK. Front. Pharmacol. 2013, 4, 141. [Google Scholar] [CrossRef] [PubMed]
- Beltrán, L.R.; Dawid, C.; Beltrán, M.; Levermann, J.; Titt, S.; Thomas, S.; Puschel, V.; Satalik, M.; Gisselmann, G.; Hofmann, T.; et al. The effect of pungent and tingling compounds from Piper nigrum L. on background K+ currents. Front. Pharmacol. 2017, 8, 262111. [Google Scholar] [CrossRef]
- Caterina, M.J.; Schumacher, M.A.; Tominaga, M.; Rosen, T.A.; Levine, J.D.; Julius, D. The capsaicin receptor: A heat-activated ion channel in the pain pathway. Nature 1997, 389, 816–824. [Google Scholar] [CrossRef]
- Green, B.G. Introduction: What is chemesthesis? In Chemesthesis: Chemical Touch in Food and Eating; John Wiley and Sons: Hoboken, NJ, USA, 2016; pp. 1–7. [Google Scholar] [CrossRef]
- Green, B.G. Capsaicin desensitization and stimulus-induced recovery on facial compared to lingual skin. Physiol. Behav. 1998, 65, 517–523. [Google Scholar] [CrossRef]
- Okumura, Y.; Narukawa, M.; Iwasaki, Y.; Ishikawa, A.; Matsuda, H.; Yoshikawa, M.; Watanabe, T. Activation of TRPV1 and TRPA1 by Black Pepper Components. Biosci. Biotechnol. Biochem. 2010, 74, 1068–1072. [Google Scholar] [CrossRef]
- Dawid, C.; Beltrán, L.R.; Henze, A.; Frank, O.; Beltrán, M.; Levermann, J.; Titt, S.; Thomas, S.; Puerschel, V.; Satalik, M.; et al. Molecular and cellular mechanisms of the pungent and tingling impression of black pepper (Piper nigrum L.). In Flavor Science, Proceeding of the XV Weurman Flavour Research Symposium, Graz, Austria, 18–22 September 2017; Verlag der Technischen Universität: Graz, Austria, 2017; pp. 229–232. [Google Scholar] [CrossRef]
- Bautista, D.M.; Sigal, Y.M.; Milstein, A.D.; Garrison, J.L.; Zorn, J.A.; Tsuruda, P.R.; Nicoll, R.; Julius, D. Pungent agents from Szechuan peppers excite sensory neurons by inhibiting two-pore potassium channels. Nat. Neurosci. 2008, 11, 772–779. [Google Scholar] [CrossRef]
- Luo, J.; Ke, J.; Hou, X.; Li, S.; Luo, Q.; Wu, H.; Shen, G.; Zhang, Z. Composition, structure and flavor mechanism of numbing substances in Chinese prickly ash in the genus Zanthoxylum: A review. Food Chem. 2022, 373, 131454. [Google Scholar] [CrossRef]
- Prado, P.Á.; Chassot, A.A.; Landra-Willm, A.; Sandoz, G. Regulation of two-pore-domain potassium TREK channels and their involvement in pain perception and migraine. Neurosci. Lett. 2022, 773, 136494. [Google Scholar] [CrossRef] [PubMed]
- Cometto-Muñiz, J.E.; Simons, C. Trigeminal Chemesthesis. In Handbook of Olfaction and Gustation, 3rd ed.; John Wiley and Sons: Hoboken, NJ, USA, 2015; pp. 1089–1112. [Google Scholar] [CrossRef]
- Natale, A.M.; Deal, P.E.; Minor, D.L. Structural Insights into the Mechanisms and Pharmacology of K2P Potassium Channels. J. Mol. Biol. 2021, 433, 166995. [Google Scholar] [CrossRef] [PubMed]
- Slack, J.P. Molecular Pharmacology of Chemesthesis. In Chemosensory Transduction: The Detection of Odors, Tastes, and Other Chemostimuli; Elsevier Inc.: Amsterdam, The Netherlands, 2016; pp. 375–391. [Google Scholar] [CrossRef]
- Bendini, A.; Valli, E.; Barbieri, S.; Toschi, T.G. Sensory Analysis of Virgin Olive Oil. In Olive Oil–Constituents, Quality, Health Properties and Bioconversions; InTech: Rijeka, Croatia, 2012. [Google Scholar] [CrossRef]
- Sanmartin, C.; Taglieri, I.; Panzani, S.; Ferroni, G.; Venturi, F. Principi di analisi sensoriale per la valutazione della qualità organolettica dell’olio extravergine di oliva. In Normatività Contemporanea Norme Sensoriali e Norme Sperimentali nel Settore Alimentare; Di Lauro, A., Leone, L., Strambi, G., Eds.; Edizioni ETS: Pisa, Italy, 2025; Chapter 9; pp. 121–136. [Google Scholar]
- Bulotta, S.; Celano, M.; Lepore, S.M.; Montalcini, T.; Pujia, A.; Russo, D. Beneficial effects of the olive oil phenolic components oleuropein and hydroxytyrosol: Focus on protection against cardiovascular and metabolic diseases. J. Transl. Med. 2014, 12, 219. [Google Scholar] [CrossRef]
- Peres, F.; Martins, L.L.; Mourato, M.; Vitorino, C.; Ferreira-Dias, S. Bioactive Compounds of Portuguese Virgin Olive Oils Discriminate Cultivar and Ripening Stage. J. Am. Oil Chem. Soc. 2016, 93, 93. [Google Scholar] [CrossRef]
- García-Pizarro, Á.; Romero, A.; Schorn-García, D.; Ezenarro, J.; Mestres, M.; Aceña, L. Improving Sensory Differentiation: Refining the ‘Fruitiness’ Descriptor in Extra Virgin Olive Oil. Foods 2025, 14, 1390. [Google Scholar] [CrossRef]
- Morrone, L.; Neri, L.; Cantini, C.; Alfei, B.; Rotondi, A. Study of the combined effects of ripeness and production area on Bosana oil’s quality. Food Chem. 2018, 245, 1098–1104. [Google Scholar] [CrossRef] [PubMed]
- Daas, M.S.; Abdessemed, S.; Faci, M.; Derdah, Y.; Moussi, S.; Amrouche, T.; Douzane, M.; Ferrah, A.; Lompech, P.; Rives, O.; et al. Quality factors and health benefits of virgin olive oil: A review. Riv. Ital. Sostanze Grasse 2025, 102, 107–118. [Google Scholar]
- Campestre, C.; Angelini, G.; Gasbarri, C.; Angerosa, F. The Compounds Responsible for the Sensory Profile in Monovarietal Virgin Olive Oils. Molecules 2017, 22, 1833. [Google Scholar] [CrossRef]
- Genovese, A.; Caporaso, N.; Sacchi, R. Flavor Chemistry of Virgin Olive Oil: An Overview. Appl. Sci. 2021, 11, 1639. [Google Scholar] [CrossRef]
- Salivaras, E. Sensory properties and evaluation of virgin olive oils. In Olives and Olive Oil as Functional Foods: Bioactivity, Chemistry and Processing; John Wiley and Sons: Hoboken, NJ, USA, 2017; pp. 603–627. [Google Scholar] [CrossRef]
- Andrewes, P.; Busch, J.L.H.C.; De Joode, T.; Groenewegen, A.; Alexandre, H. Sensory Properties of Virgin Olive Oil Polyphenols: Identification of Deacetoxy-ligstroside Aglycon as a Key Contributor to Pungency. J. Agric. Food Chem. 2003, 51, 1415–1420. [Google Scholar] [CrossRef]
- Genovese, A.; Mondola, F.; Paduano, A.; Sacchi, R. Biophenolic Compounds Influence the In-Mouth Perceived Intensity of Virgin Olive Oil Flavours and Off-Flavours. Molecules 2020, 25, 1969. [Google Scholar] [CrossRef] [PubMed]
- Servili, M.; Esposto, S.; Fabiani, R.; Urbani, S.; Taticchi, A.; Mariucci, F.; Selvaggini, R.; Montedoro, G.F. Phenolic compounds in olive oil: Antioxidant, health and organoleptic activities according to their chemical structure. Inflammopharmacology 2009, 17, 76–84. [Google Scholar] [CrossRef]
- Morales, M.T.; Luna, G.; Aparicio, R. Comparative study of virgin olive oil sensory defects. Food Chem. 2005, 91, 293–301. [Google Scholar] [CrossRef]
- American Society for Testing and Materials. Standard Definitions of Terms Relating to Sensory Evaluation of Materials and Products; ASTM: West Conshohocken, PA, USA, 2004. [Google Scholar]
- Monteleone, E.; Langstaff, S. Olive Oil Sensory Science. In Olive Oil Sensory Science; John Wiley and Sons: Hoboken, NJ, USA, 2014; p. 400. [Google Scholar] [CrossRef]
- Bajec, M.R.; Pickering, G.J. Astringency: Mechanisms and perception. Crit. Rev. Food Sci. Nutr. 2008, 48, 858–875. [Google Scholar] [CrossRef]
- Rinaldi, A.; Moio, L.; Rinaldi, A.; Moio, L. Salivary Protein-Tannin Interaction: The Binding behind Astringency. In Chemistry and Biochemistry of Winemaking, Wine Stabilization and Aging; IntechOpen: Rijeka, Croatia, 2020. [Google Scholar] [CrossRef]
- Albin, K.C.; Simons, C.T. Psychophysical Evaluation of a Sanshool Derivative (Alkylamide) and the Elucidation of Mechanisms Subserving Tingle. PLoS ONE 2010, 5, e9520. [Google Scholar] [CrossRef]
- Bučar-Miklavčič, M.; Golob, T.; Valenčič, V.; Bešter, E.; Butinar, B.; Vičnjevec, A.M. Variations of phenolic compounds and sensory properties of virgin olive oils from the variety ‘istrska Belica. Acta IMEKO 2016, 5, 22–31. [Google Scholar] [CrossRef][Green Version]
- Kong, W.; Han, R.; Liu, N.; Bai, W.; Ma, J.; Bai, X.; Liang, J.; Wang, J.; Zhang, J. Dynamic assessment of the fruit quality of olives cultivated in Longnan (China) during ripening. Sci. Hortic. 2019, 253, 8–16. [Google Scholar] [CrossRef]
- Cui, M.; Chen, B.; Xu, K.; Rigakou, A.; Diamantakos, P.; Melliou, E.; Logothetis, D.E.; Magiatis, P. Activation of specific bitter taste receptors by olive oil phenolics and secoiridoids. Sci. Rep. 2021, 11, 22340. [Google Scholar] [CrossRef]
- Dagdelen, A.; Tümen, G.; Özcan, M.M.; Dündar, E. Phenolics profiles of olive fruits (Olea europaea L.) and oils from Ayvalık, Domat and Gemlik varieties at different ripening stages. Food Chem. 2013, 136, 41–45. [Google Scholar] [CrossRef]
- Pedan, V.; Popp, M.; Rohn, S.; Nyfeler, M.; Bongartz, A. Characterization of Phenolic Compounds and Their Contribution to Sensory Properties of Olive Oil. Molecules 2019, 24, 2041. [Google Scholar] [CrossRef]
- Tomé-Rodríguez, S.; Barba-Palomeque, F.; Calderón-Santiago, M.; Penco-Valenzuela, J.M.; Priego-Capote, F. Phenolic Metabolism Explains Bitterness and Pungency of Extra Virgin Olive Oils. Foods 2025, 14, 1620. [Google Scholar] [CrossRef]
- Martins, B.T.; Bronze, M.R.; Ventura, M.R. Phenolic Compounds from Virgin Olive Oil: Approaches for Their Synthesis and Analogues. J. Agric. Food Chem. 2022, 70, 14109–14128. [Google Scholar] [CrossRef] [PubMed]
- Di Risola, D.; Laurenti, D.; Ferraro, F.; Ciogli, A.; Manetto, S.; Gazzilli, Y.; Federico, R.; Francioso, A.; Mosca, L.; Mattioli, R. Spontaneous Reaction of Oleacein and Oleocanthal with Primary Amines: A Biochemical Perspective. Molecules 2025, 30, 1645. [Google Scholar] [CrossRef] [PubMed]
- Filardo, S.; Mattioli, R.; Di Risola, D.; Mosca, L.; Di Pietro, M.; Sessa, R. Olea europaea L-derived secoiridoids: Beneficial health effects and potential therapeutic approaches. Pharmacol. Ther. 2024, 254, 108595. [Google Scholar] [CrossRef] [PubMed]
- Sánchez, R.; García-Vico, L.; Sanz, C.; Pérez, A.G. An Aromatic Aldehyde Synthase Controls the Synthesis of Hydroxytyrosol Derivatives Present in Virgin Olive Oil. Antioxidants 2019, 8, 352. [Google Scholar] [CrossRef]
- Gachons, C.P.D.; O’Keefe, A.J.; Slade, L.; Beauchamp, G.K. Protein suppresses both bitterness and oleocanthal-elicited pungency of extra virgin olive oil. Sci. Rep. 2021, 11, 11851. [Google Scholar] [CrossRef]
- Talavera, K.; Startek, J.B.; Alvarez-Collazo, J.; Boonen, B.; Alpizar, Y.A.; Sanchez, A.; Naert, R.; Nilius, B. Mammalian Transient Receptor Potential TRPA1 Channels: From Structure to Disease. Physiol. Rev. 2019, 100, 803. [Google Scholar] [CrossRef]
- Beauchamp, G.K.; Keast, R.S.; Morel, D.; Lin, J.; Pika, J.; Han, Q.; Lee, C.H.; Smith, A.B.; Breslin, A.S. Ibuprofen-like activity in extra-virgin olive oil. Nature 2005, 437, 45–46. [Google Scholar] [CrossRef] [PubMed]
- Cicerale, S.; Breslin, P.A.S.; Beauchamp, G.K.; Keast, R.S.J. Sensory characterization of the irritant properties of oleocanthal, a natural anti-inflammatory agent in extra virgin olive oils. Chem. Senses 2009, 34, 333–339. [Google Scholar] [CrossRef] [PubMed]
- Des Gachons, C.P.; Uchida, K.; Bryant, B.; Shima, A.; Sperry, J.B.; Dankulich-Nagrudny, L.; Tominaga, M.; Smith, A.B.; Beauchamp, G.K.; Breslin, P.A.S. Unusual pungency from extra-virgin olive oil is attributable to restricted spatial expression of the receptor of oleocanthal. J. Neurosci. 2011, 31, 999–1009. [Google Scholar] [CrossRef] [PubMed]
- Habgood, M.; Seiferth, D.; Zaki, A.M.; Alibay, I.; Biggin, P.C. Atomistic mechanisms of human TRPA1 activation by electrophile irritants through molecular dynamics simulation and mutual information analysis. Sci. Rep. 2022, 12, 4929. [Google Scholar] [CrossRef]
- Moparthi, L.; Kjellström, S.; Kjellbom, P.; Filipovic, M.R.; Zygmunt, P.M.; Johanson, U. Electrophile-Induced Conformational Switch of the Human TRPA1 Ion Channel Detected by Mass Spectrometry. Int. J. Mol. Sci. 2020, 21, 6667. [Google Scholar] [CrossRef]
- Kim, M.S.; Simons, C.T. The role of TRPA1 and TRPV1 in the perception of astringency. Chem. Senses 2024, 49, 31. [Google Scholar] [CrossRef]
- Uceda, M.; Frias, L. Harvest Dates. Evolution of the Fruit Oil Content, Oil Composition and Oil Quality. In II: Proceedings of Seminario Oleícola Internacional; International Olive Oil Council: Córdoba, Spain, 1975; pp. 125–128. [Google Scholar]
- Guzmán, E.; Baeten, V.; Pierna, J.A.F.; García-Mesa, J.A. Determination of the olive maturity index of intact fruits using image analysis. J. Food Sci. Technol. 2013, 52, 1462–1470. [Google Scholar] [CrossRef]
- Rotondi, A.; Bendini, A.; Cerretani, L.; Mari, M.; Lercker, G.; Toschi, T.G. Effect of Olive Ripening Degree on the Oxidative Stability and Organoleptic Properties of Cv. Nostrana di Brisighella Extra Virgin Olive Oil. J. Agric. Food Chem. 2004, 52, 3649–3654. [Google Scholar] [CrossRef]
- Tariq, U.; Butt, M.S.; Hameed, A.; Ali, A.; Abdi, G.; Aadil, R.M. Ripening-induced variations in the physicochemical, phytochemical, and antioxidant profile of different varieties of olive (Olea europaea L.). Appl. Food Res. 2025, 5, 101343. [Google Scholar] [CrossRef]
- Damak, N.; Bouaziz, M.; Ayadi, M.; Sayadi, S.; Damak, M. Effect of the Maturation Process on the Phenolic Fractions, Fatty Acids, and Antioxidant Activity of the Chétoui Olive Fruit Cultivar. J. Agric. Food Chem. 2008, 56, 1560–1566. [Google Scholar] [CrossRef] [PubMed]
- Ramírez, E.; Medina, E.; Brenes, M.; Romero, C. Endogenous Enzymes Involved in the Transformation of Oleuropein in Spanish Table Olive Varieties. J. Agric. Food Chem. 2014, 62, 9569–9575. [Google Scholar] [CrossRef]
- Jemai, H.; Bouaziz, M.; Sayadi, S. Phenolic Composition, Sugar Contents and Antioxidant Activity of Tunisian Sweet Olive Cultivar with Regard to Fruit Ripening. J. Agric. Food Chem. 2009, 57, 2961–2968. [Google Scholar] [CrossRef]
- Ortega-García, F.; Blanco, S.; Peinado, M.Á.; Peragón, J. Polyphenol oxidase and its relationship with oleuropein concentration in fruits and leaves of olive (Olea europaea) cv. ‘Picual’ trees during fruit ripening. Tree Physiol. 2008, 28, 45–54. [Google Scholar] [CrossRef] [PubMed]
- García-González, D.L.; Tena, N.; Aparicio, R. Quality Characterization of the New Virgin Olive Oil Var. Sikitita by Phenols and Volatile Compounds. J. Agric. Food Chem. 2010, 58, 8357–8364. [Google Scholar] [CrossRef]
- Kalogeropoulos, N.; Kaliora, A.C. Effect of Fruit Maturity on Olive Oil Phenolic Composition and Antioxidant Capacity. In Olive and Olive Oil Bioactive Constituents; AOCS Press: Champaign, IL, USA, 2015; pp. 123–145. [Google Scholar] [CrossRef]
- Romero-Segura, C.; García-Rodríguez, R.; Sánchez-Ortiz, A.; Sanz, C.; Pérez, A.G. The role of olive β-glucosidase in shaping the phenolic profile of virgin olive oil. Food Res. Int. 2012, 45, 191–196. [Google Scholar] [CrossRef]
- Tsimidou, M.Z. Analytical Methodologies: Phenolic Compounds Related to Olive Oil Taste Issues. In Handbook of Olive Oil: Analysis and Properties; Springer US: New York, NY, USA, 2013; pp. 311–333. [Google Scholar] [CrossRef]
- Omar, S.H. Oleuropein in Olive and its Pharmacological Effects. Sci. Pharm. 2010, 78, 133. [Google Scholar] [CrossRef]
- Alagna, F.; Mariotti, R.; Panara, F.; Caporali, S.; Urbani, S.; Veneziani, G.; Esposto, S.; Taticchi, A.; Rosati, A.; Rosa, R.; et al. Olive phenolic compounds: Metabolic and transcriptional profiling during fruit development. BMC Plant Biol. 2012, 12, 162. [Google Scholar] [CrossRef]
- Morales, M.T.; Aparicio, R. Effect of extraction conditions on sensory quality of virgin olive oil. J. Am. Oil Chem. Soc. 1999, 76, 295–300. [Google Scholar] [CrossRef]
- Gómez-Rico, A.; Fregapane, G.; Salvador, M.D. Effect of cultivar and ripening on minor components in Spanish olive fruits and their corresponding virgin olive oils. Food Res. Int. 2008, 41, 433–440. [Google Scholar] [CrossRef]
- Nardella, M.; Moscetti, R.; Bedini, G.; Bandiera, A.; Chakravartula, S.S.N.; Massantini, R. Impact of traditional and innovative malaxation techniques and technologies on nutritional and sensory quality of virgin olive oil—A review. Food Chem. Adv. 2023, 2, 100163. [Google Scholar] [CrossRef]
- Roukka, S.; Puputti, S.; Aisala, H.; Hoppu, U.; Seppä, L.; Sandell, M. Factors explaining individual differences in the oral perception of capsaicin, l-menthol, and aluminum ammonium sulfate. Clin. Transl. Sci. 2023, 16, 1815–1827. [Google Scholar] [CrossRef]
- Vicario, G.; Cantini, C.; Francini, A.; Raffaelli, A.; Cifelli, M.; Domenici, V.; Sebastiani, L. Olive Fruit Ripening Degree and Water Content Relationships with Phenolic Acids and Alcohols, Secoiridoids, Flavonoids and Pigments in Fruit and Oil. Molecules 2023, 28, 6943. [Google Scholar] [CrossRef]
- Miho, H.; Moral, J.; Barranco, D.; Ledesma-Escobar, C.A.; Priego-Capote, F.; Díez, C.M. Influence of genetic and interannual factors on the phenolic profiles of virgin olive oils. Food Chem. 2021, 342, 128357. [Google Scholar] [CrossRef] [PubMed]
- Parkinson, L.; Keast, R. Oleocanthal, a Phenolic Derived from Virgin Olive Oil: A Review of the Beneficial Effects on Inflammatory Disease. Int. J. Mol. Sci. 2014, 15, 12323–12334. [Google Scholar] [CrossRef]
- Bendini, A.; Cerretani, L.; Carrasco-Pancorbo, A.; Gómez-Caravaca, A.M.; Segura-Carretero, A.; Fernández-Gutiérrez, A.; Lercker, G. Phenolic Molecules in Virgin Olive Oils: A Survey of Their Sensory Properties, Health Effects, Antioxidant Activity and Analytical Methods. An Overview of the Last Decade Alessandra. Molecules 2007, 12, 1679–1719. [Google Scholar] [CrossRef] [PubMed]
- Ray, N.B.; Lam, N.T.; Luc, R.; Bonvino, N.P.; Karagiannis, T.C. Cellular and Molecular Effects of Bioactive Phenolic Compounds in Olives and Olive Oil. In Olive and Olive Oil Bioactive Constituents; AOCS Press: Champaign, IL, USA, 2015; pp. 53–91. [Google Scholar] [CrossRef]
- Infante, R.; Infante, M.; Pastore, D.; Pacifici, F.; Chiereghin, F.; Malatesta, G.; Donadel, G.; Tesauro, M.; Della-Morte, D. An Appraisal of the Oleocanthal-Rich Extra Virgin Olive Oil (EVOO) and Its Potential Anticancer and Neuroprotective Properties. Int. J. Mol. Sci. 2023, 24, 17323. [Google Scholar] [CrossRef] [PubMed]
- EFSA. Scientific Opinion on the substantiation of health claims related to polyphenols in olive and protection of LDL particles from oxidative damage (ID 1333, 1638, 1639, 1696, 2865), maintenance of normal blood HDL cholesterol concentrations (ID 1639), mainte. EFSA J. 2011, 9, 2033. [Google Scholar] [CrossRef]
- International Olive Council. Analisi Sensoriale dell’Olio di Oliva Metodo per la Valutazione Organolettica dell’Olio di Oliva Vergine, no. COI/T.20/Doc. n. 15/Rev. 10. 2018. Available online: https://www.internationaloliveoil.org/wp-content/uploads/2022/05/COI-T20-Doc.-15-REV-10-2018-IT.pdf (accessed on 22 December 2025).
- International Olive Council. Sensory Analysis of Olive Oil Standard Glass for Oil Tasting, No. Coi/t.20/doc. No 5/Rev. 2007. Available online: https://www.internationaloliveoil.org/wp-content/uploads/2022/10/COI-T20-Doc.5-REV1-2007-Eng.pdf (accessed on 1 September 2007).
- Bertuccioli, M.; Monteleone, E. The sensory quality of extra-virgin olive oil. In The Extra-Virgin Olive Oil Handbook; John Wiley and Sons: Hoboken, NJ, USA, 2014; pp. 35–58. [Google Scholar] [CrossRef]
- Lawless, H.T.; Heymann, H. Sensory Evaluation of Food; Springer: Berlin/Heidelberg, Germany, 2010. [Google Scholar] [CrossRef]
- Kiritsakis, A.; Shahidi, F. Olive oil quality and its relation to the functional bioactives and their properties. In Olives and Olive Oil as Functional Foods: Bioactivity, Chemistry and Processing; John Wiley and Sons: Hoboken, NJ, USA, 2017; pp. 205–219. [Google Scholar] [CrossRef]
- Tuorila, H.; Recchia, A. Sensory Perception and Other Factors Affecting Consumer Choice of Olive Oil. In Olive Oil Sensory Science; John Wiley and Sons: Hoboken, NJ, USA, 2014; pp. 55–80. [Google Scholar] [CrossRef]
- Esti, M.; Contini, M.; Moneta, E.; Sinesio, F. Phenolics compounds and temporal perception of bitterness and pungency in extra-virgin olive oils: Changes occurring throughout storage. Food Chem. 2009, 113, 1095–1100. [Google Scholar] [CrossRef]
- ASTM E1909-13:2017; Guide for Time-Intensity Evaluation of Sensory Attributes 14.03. ASTM: West Conshohocken, PA, USA, 2017. [CrossRef]
- Ward, C. Some like it hot! Sensory analysis of products containing chemesthetic compounds. In Chemesthesis: Chemical Touch in Food and Eating; John Wiley and Sons: Hoboken, NJ, USA, 2016; pp. 166–184. [Google Scholar] [CrossRef]
- Cliceri, D.; Aprea, E.; Menghi, L.; Endrizzi, I.; Gasperi, F. Variability in the temporal perception of polyphenol-related sensations in extra virgin olive oil and impact on flavor perception. Food Qual. Prefer. 2021, 93, 104249. [Google Scholar] [CrossRef]
- Visalli, M.; Cordelle, S.; Béno, N.; Schlich, P. Product discrimination ability of temporal sensory evaluation methods used with consumers. Food Qual. Prefer. 2024, 115, 105123. [Google Scholar] [CrossRef]
- Okamoto, S.; Natsume, H.; Watanabe, H. Synergy Analysis Between the Temporal Dominance of Sensations and Temporal Liking Curves of Strawberries. Foods 2025, 14, 992. [Google Scholar] [CrossRef]
- Delgado, C.; Guinard, J.X. How do consumer hedonic ratings for extra virgin olive oil relate to quality ratings by experts and descriptive analysis ratings? Food Qual. Prefer. 2011, 22, 213–225. [Google Scholar] [CrossRef]
- Arbeláez-Mejía, S.M.; Ramos-Álvarez, M.M.; Rosas, J.M. Interaction Between Attributes and Familiarity in Consumer Preferences for Olive Oil: Using Consumers’ Residence as a Proxy for Familiarity. J. Food Sci. 2025, 90, e70281. [Google Scholar] [CrossRef]
- Cardillo, M.; Piscitelli, A.; Sacchi, R. The Relevance of Information in Changing the Structure of Consumer Preferences: A Pre-post Sensory Experiment on Seven Olive Oils. In Supervised and Unsupervised Statistical Data Analysis; Springer: Berlin/Heidelberg, Germany, 2025; pp. 59–69. [Google Scholar] [CrossRef]
- Cavallo, C.; Caracciolo, F.; Cicia, G.; Del Giudice, T. Extra-virgin olive oil: Are consumers provided with the sensory quality they want? A hedonic price model with sensory attributes. J. Sci. Food Agric. 2018, 98, 1591–1598. [Google Scholar] [CrossRef]
- Latino, M.E.; De Devitiis, B.; Corallo, A.; Viscecchia, R.; Bimbo, F. Consumer Acceptance and Preference for Olive Oil Attributes—A Review. Foods 2022, 11, 3805. [Google Scholar] [CrossRef]
- Diana, D.S.; Serena, F.; Benedetta, B.; Lavinia, C.; Margherita, M. Is Retail Extra Virgin Olive Oil Truly Extra Virgin? Consumer Perceptions Versus Analytical Quality Across Price Ranges. Food Sci. Nutr. 2025, 13, e70471. [Google Scholar] [CrossRef]
- Sousa, J.R.; Afreixo, V.; Carvalho, J.; Silva, P. Nutrition and Physical Activity Education in Medical School: A Narrative Review. Nutrients 2024, 16, 20809. [Google Scholar] [CrossRef]
- Fakhreddine, L.B.; Sánchez, M. The interplay between health claims and sensory attributes in determining consumers’ purchase intentions for extra virgin olive oil. Food Qual. Prefer. 2023, 106, 104819. [Google Scholar] [CrossRef]
- Akpolat, O.; Ertürk, G. An Application of Mixture Design: A Case Study on Blending of Olive Oils by Design-Expert. Food. Chem 2023, 3, 1–7. [Google Scholar] [CrossRef]
- López-Yerena, A.; Ninot, A.; Jiménez-Ruiz, N.; Lozano-Castellón, J.; Pérez, M.; Escribano-Ferrer, E.; Romero-Aroca, A.; Lamuela-Raventos, R.; Vallverdu-Queralt, A. Influence of the Ripening Stage and Extraction Conditions on the Phenolic Fingerprint of ‘Corbella’ Extra-Virgin Olive Oil. Antioxidants 2021, 10, 877. [Google Scholar] [CrossRef] [PubMed]
- Lozano-Castellón, J.; Olmo-Cunillera, A.; Casadei, E.; Valli, E.; Domínguez-López, I.; Miliarakis, E.; Perez, M.; Ninot, A.; Romero-Aroca, A.; Bendini, A.; et al. A targeted foodomic approach to assess differences in extra virgin olive oils: Effects of storage, agronomic and technological factors. Food Chem. 2024, 435, 137539. [Google Scholar] [CrossRef] [PubMed]
- Reboredo-Rodríguez, P.; González-Barreiro, C.; Cancho-Grande, B.; Fregapane, G.; Salvador, M.D.; Simal-Gándara, J. Blending Local olive oils with Arbequina or Picual oils produces high quality, distinctive EVOOs. Eur. J. Lipid Sci. Technol. 2015, 117, 1238–1247. [Google Scholar] [CrossRef]
- Marx, Í.M.G.; Priego-Capote, F. Importance of malaxation conditions to virgin olive oil polar phenolic compounds content. Food Chem. 2025, 480, 143884. [Google Scholar] [CrossRef] [PubMed]






| Sensory Attribute | Perceptual Modality | Key Compounds | Notes | Ref. |
|---|---|---|---|---|
| Green, fruity, herbaceous aroma | Olfaction | C6 aldehydes (hexanal, E-2-hexenal), C6 alcohols (hexanol), C5 compounds, esters, ketones | Formed via lipoxygenase pathway during crushing; responsible for “green” and “fresh-cut grass” notes | [5,52,53,54] |
| Floral, ripe fruit aroma | Olfaction | Esters, terpenes, β-ionone, volatile lactones | Associated with ripeness-related metabolic changes | [5,52,53] |
| Bitterness | Taste (gustatory) | Oleuropein aglycone, ligstroside aglycone, simple phenols (hydroxytyrosol derivatives) | Correlates with phenolic concentration; positive attribute in high-quality EVOO | [55,56,57] |
| Pungency (“throat-sting”) | Chemesthesis | Oleacein (oleuropein-aglycone dialdehyde derivative), minor secoiridoids | Strong activation of TRPA1 channels; typical “throat burn” | [53,55,57] |
| Tingling/warming sensation | Chemesthesis | Oleacein (oleuropein-aglycone dialdehyde derivative), minor secoiridoids | Milder burning/numbing sensation; activation of KCNK two-pore potassium channels; partly TRPV1-mediated | [53,55,57] |
| Astringency | Chemesthesis/tactile | Simple phenols (tyrosol, hydroxytyrosol), phenolic acids, and certain secoiridoids | Interaction with salivary proteins, leading to dryness, roughness, puckering | [53,55,57] |
| Mouthcoating/viscosity | Tactile/somatosensory | Triacylglycerol composition; unsaponifiable fraction | Affects mouthfeel | [53] |
| Mold-humidity | Olfaction | pungent, mushroom (1–octen–3–one); mold (1–octen–3–ol); sweet, cinnamon (2–heptanone); earthy (2–heptanol); | Off-flavors caused by the presence of fungi and yeast in olives. Used in sensory panel classification; EVOO must be free of all sensory defects | [53,54,58] |
| Winery-vinegar | Olfaction | Alcohol (ethanol); sweet (ethyl acetate); woody, whiskey (3–methylbutanol); sour (acetic acid); | Off-flavors caused by aerobic fermentation in olives or olive paste. Used in sensory panel classification; EVOO must be free of all sensory defects | [53,58,59] |
| Fusty | Olfaction | fruity, green, pungent (butyl acetate); fruit (ethyl propanoate); sweet (ethyl butanoate); pungent (propanoic acid) | Off-flavors related to extensive anaerobic fermentation in olives or to oil in contact with the sediment. Used in sensory panel classification; EVOO must be free of all sensory defects | [53,54,58] |
| Muddy-sediment | Olfaction | rancid, cheese (butanoic acid); unpleasant (pentanoic acid) | Off-flavors related to extensive anaerobic fermentation in olives or to oil in contact with the sediment. Used in sensory panel classification; EVOO must be free of all sensory defects | [53,54,58] |
| Rancidity | Olfaction | oxidized, pungent (trans–2–heptenal); herbaceous (trans–2–octenal); fishy (trans–2–decanal); woody, bitter, (pentanal); fatty, green (hexanal); oily, woody (heptanal); sharp (octanal); waxy (nonanal); rancid, (hexanoic acid); rancid (heptanoic acid); herbaceous (6–methyl–5–hepten–2–one) | Off-flavors, related to oils strongly oxidated. Used in sensory panel classification; EVOO must be free of all sensory defects | [53,54,58] |
| Cultivars | Phenolic Trend | Secoiridoid Behavior | Chemesthetic Potential in EVOO | Key References |
|---|---|---|---|---|
| Ayvalık | Progressive decrease in total phenols | Ole decreases, HT increases | High at early ripening, decreasing to medium at later stages | [67] |
| Gemlik | Non-linear trend | Ole increases at early stages and decreases at late ripening | Variable | [67] |
| Chemlali | Progressive decrease | Ole decreases, HT increases | Medium at early stages, low at full ripening | [88] |
| Dhokar | Progressive decrease | Ole progressively decreases | Medium at early stages, low at full ripening | [88] |
| Arbequina | Low baseline phenolic content, decreasing during ripening | Increase in demethyloleuropein; verbascoside remains stable | Low at early stages, very low at full ripening | [97] |
| Cornicabra | Moderate decrease | High Ole levels at early stages, decreasing with ripening | High at early ripening, decreasing to medium | [97] |
| Picual | Moderate decrease | Strong correlation between fruit and oil secoiridoid content | High at early ripening, decreasing to medium | [97] |
| Picudo/Picolimón | Moderate decrease | Similar to Picual | Medium-to-high, depending on ripening stage | [89,97] |
| Morisca | Moderate decrease | Variable by season and climate | Medium, with cultivar- and season-dependent variation | [97] |
| Nocellara Etnea | Low baseline phenolic content, decreasing during ripening | OL content decreases during ripening | Low at early ripening, decreasing to very low | [95] |
| Dritta | Low baseline phenolic content, decreasing during ripening | Strong genetic control of phenolic pathway | Low | [95] |
| Tendellone | Low baseline phenolic content, decreasing during ripening | OL content decreases to near zero at full ripening | Medium at early stages, low at full maturity | [95] |
Disclaimer/Publisher’s Note: The statements, opinions and data contained in all publications are solely those of the individual author(s) and contributor(s) and not of MDPI and/or the editor(s). MDPI and/or the editor(s) disclaim responsibility for any injury to people or property resulting from any ideas, methods, instructions or products referred to in the content. |
© 2026 by the authors. Licensee MDPI, Basel, Switzerland. This article is an open access article distributed under the terms and conditions of the Creative Commons Attribution (CC BY) license.
Share and Cite
Panzani, S.; Venturi, F.; Taglieri, I.; Ferroni, G.; Sanmartin, C. Chemesthetic Perception in Extra Virgin Olive Oil and Olive Ripening Stage: A Sensory Perspective. Foods 2026, 15, 519. https://doi.org/10.3390/foods15030519
Panzani S, Venturi F, Taglieri I, Ferroni G, Sanmartin C. Chemesthetic Perception in Extra Virgin Olive Oil and Olive Ripening Stage: A Sensory Perspective. Foods. 2026; 15(3):519. https://doi.org/10.3390/foods15030519
Chicago/Turabian StylePanzani, Sofia, Francesca Venturi, Isabella Taglieri, Giuseppe Ferroni, and Chiara Sanmartin. 2026. "Chemesthetic Perception in Extra Virgin Olive Oil and Olive Ripening Stage: A Sensory Perspective" Foods 15, no. 3: 519. https://doi.org/10.3390/foods15030519
APA StylePanzani, S., Venturi, F., Taglieri, I., Ferroni, G., & Sanmartin, C. (2026). Chemesthetic Perception in Extra Virgin Olive Oil and Olive Ripening Stage: A Sensory Perspective. Foods, 15(3), 519. https://doi.org/10.3390/foods15030519

