Temperature-Driven Maillard Conjugation and Phenolic Changes in Dried Lychee Pulp: Implications for Antioxidative Enhancement
Abstract
1. Introduction
2. Materials and Methods
2.1. Materials and Chemicals
2.2. Lychee Sample Preparation
2.3. Dried Lychee Pulp Extraction for Chemical and Antioxidant Analysis
2.4. Assessment of Color, Moisture, Water Activity, and pH in Lychee Pulp Samples
2.5. Chemical Composition Analysis of Lychee Pulp Extracts
2.5.1. Determination of Phenolic Profiles by HPLC and Quantification of Total Phenolic and Flavonoid Contents by Spectrophotometry
2.5.2. Analysis of Reducing Sugars, Mono- and Di-Saccharides
2.5.3. Analysis of Available Free Amino Acids and Degree of Glycation (DG) Using UV-Vis Spectrophotometry
2.5.4. Post-Column Amino Acid Analysis
2.5.5. Peptide Size Distribution by Size-Exclusion Chromatography
2.6. Evaluation of Antioxidant Activity Using FRAP, ABTS, and DPPH Assays
2.7. Statistical Analysis
3. Results
3.1. Physical Qualities of Dried Lychee Pulps Aged at Different Temperatures
3.2. Phenolic Profiles, Total Phenolic Content, and Total Flavonoid Content of Dried Lychee Pulps Aged at Different Temperatures
3.3. Saccharide Compounds: Reducing Sugars, Monosaccharides, and Disaccharides in Dried Lychee Pulps Aged at Different Temperatures
3.4. Conjugation-Related Properties (Available Free Amino Acids, Degree of Glycation, Amino Acid Profiles, and Peptide Molecular Weight Distribution) of Dried Lychee Pulps Aged at Different Temperatures
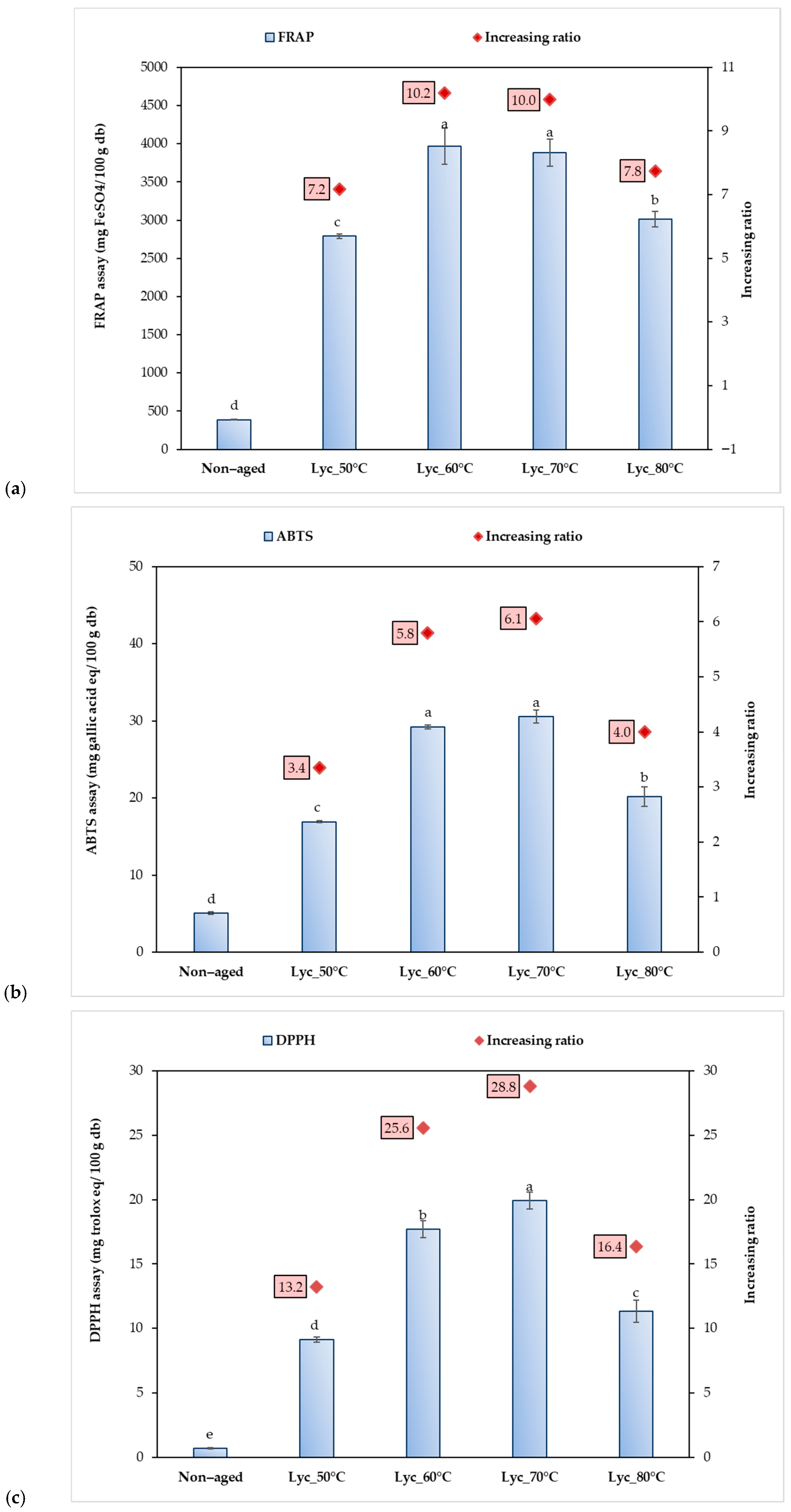
3.5. Antioxidant Activity and Its Correlation with Physicochemical and Conjugation-Related Properties of Dried Lychee Pulps Aged at Different Temperatures
4. Conclusions
Author Contributions
Funding
Institutional Review Board Statement
Informed Consent Statement
Data Availability Statement
Acknowledgments
Conflicts of Interest
References
- Subhadrabandhu, S.; Yapwattanaphun, C. lychee and longan production in thailand. Acta Hortic. 2001, 558, 49–57. [Google Scholar] [CrossRef]
- Wiriya-Alongkorn, W.; Rasananda, S. Thai tropical lychees—Identification of cultivars by morphological method. Acta Hortic. 2010, 863, 407–412. [Google Scholar] [CrossRef]
- Charoenkit, N.; Naphrom, D.; Sruamsiri, P.; Sringarm, K.; Fukuda, S. Modeling the Relationship between Hormone Dynamics and Off-season Flowering of Litchi by Using Random Forests. Agric. Agric. Sci. Procedia 2015, 5, 9–16. [Google Scholar] [CrossRef]
- Sivakumar, D.; Korsten, L. Litchi (Litchi chinensis Sonn.). In Postharvest Biology and Technology of Tropical and Subtropical Fruits: Cocona to Mango; Woodhead Publishing: Delhi, India, 2011; pp. 361–407. [Google Scholar] [CrossRef]
- Pareek, S. Chapter 17—Nutritional and Biochemical Composition of Lychee (Litchi chinensis Sonn.) Cultivars. In Nutritional Composition of Fruit Cultivars; Academic Press: Cambridge, MA, USA, 2016; pp. 395–418. [Google Scholar] [CrossRef]
- Emanuele, S.; Lauricella, M.; Calvaruso, G.; D’Anneo, A.; Giuliano, M. Litchi chinensis as a Functional Food and a Source of Antitumor Compounds: An Overview and a Description of Biochemical Pathways. Nutrients 2017, 9, 992. [Google Scholar] [CrossRef]
- Bano, A.; Singh, U.P. A Review on Pharmacognosy, Phytochemistry and Pharmacological Properties of Lychee chinensis. Int. J. Pharm. Sci. Med. 2024, 9, 119–140. [Google Scholar] [CrossRef]
- Yao, P.; Gao, Y.; Simal-Gandara, J.; Farag, M.A.; Chen, W.; Yao, D.; Delmas, D.; Chen, Z.; Liu, K.; Hu, H.; et al. Litchi (Litchi chinensis Sonn.): A comprehensive review of phytochemistry, medicinal properties, and product development. Food Funct. 2021, 12, 9527–9548. [Google Scholar] [CrossRef]
- Sun, W.; Shahrajabian, M.H.; Shen, H.; Cheng, Q. Lychee (Litchi chinensis Sonn.), the King of Fruits, with Both Traditional and Modern Pharmacological Health Benefits. Pharmacogn. Commun. 2021, 11, 22–25. [Google Scholar] [CrossRef]
- Huang, G.; Wang, Z.; Wu, G.; Zhang, R.; Dong, L.; Huang, F.; Zhang, M.; Su, D. Lychee (Litchi chinensis Sonn.) Pulp Phenolics Activate the Short-Chain Fatty Acid-Free Fatty Acid Receptor Anti-inflammatory Pathway by Regulating Microbiota and Mitigate Intestinal Barrier Damage in Dextran Sulfate Sodium-Induced Colitis in Mice. J. Agric. Food Chem. 2021, 69, 3326–3339. [Google Scholar] [CrossRef] [PubMed]
- Castillo-Olvera, G.; Sandoval-Cortes, J.; Ascacio-Valdes, J.A.; Wong-Paz, J.E.; Álvarez-Pérez, O.B.; FloresLópez, M.L.; Aguilar, C.N. Litchi chinensis: Nutritional, functional, and nutraceutical properties. Food Prod. Process. Nutr. 2025, 7, 3. [Google Scholar] [CrossRef]
- Bhoopat, L.; Srichairatanakool, S.; Kanjanapothi, D.; Taesotikul, T.; Thananchai, H.; Bhoopat, T. Hepatoprotective effects of lychee (Litchi chinensis Sonn.): A combination of antioxidant and anti-apoptotic activities. J. Ethnopharmacol. 2011, 136, 55–66. [Google Scholar] [CrossRef]
- Queiroz, E.; Abreu, C.; Rocha, D.; Sousa, R.; Fráguas, R.; Braga, M.; César, P. Lychee (Litchi chinensis Sonn.) peel flour: Effects on hepatoprotection and dyslipidemia induced by a hypercholesterolemic diet. An. Acad. Bras. Cienc. 2017, 90, 267–281. [Google Scholar] [CrossRef] [PubMed]
- Huang, F.; Zhang, R.; Yi, Y.; Tang, X.; Zhang, M.; Su, D.; Deng, Y.; Wei, Z. Comparison of physicochemical properties and immunomodulatory activity of polysaccharides from fresh and dried litchi pulp. Molecules 2014, 19, 3909–3925. [Google Scholar] [CrossRef] [PubMed]
- Somjai, C.; Siriwoharn, T.; Kulprachakarn, K.; Chaipoot, S.; Phongphisutthinant, R.; Chaiyana, W.; Wiriyacharee, P. Effect of drying process and long-term storage on characterization of Longan pulps and their biological aspects: Antioxidant and cholinesterase inhibition activities. LWT 2022, 154, 112692. [Google Scholar] [CrossRef]
- Chaipoot, S.; Wiriyacharee, P.; Phongphisutthinant, R.; Buadoktoom, S.; Srisuwun, A.; Somjai, C.; Srinuanpan, S. Changes in physicochemical characteristics and antioxidant activities of dried shiitake mushroom in dry-moist-heat aging process. Foods 2023, 12, 2714. [Google Scholar] [CrossRef]
- Phongphisutthinant, R.; Wiriyacharee, P.; Boonyapranai, K.; Ounjaijean, S.; Taya, S.; Pitchakarn, P.; Pathomrungsiyounggul, P.; Utarat, P.; Wongwatcharayothin, W.; Somjai, C.; et al. Effect of Conventional Humid–Dry Heating through the Maillard Reaction on Chemical Changes and Enhancement of In Vitro Bioactivities from Soy Protein Isolate Hydrolysate–Yeast Cell Extract Conjugates. Foods 2024, 13, 380. [Google Scholar] [CrossRef]
- Chen, K.; Yang, Q.; Hong, H.; Feng, L.; Liu, J.; Luo, Y. Physicochemical and functional properties of Maillard reaction products derived from cod (Gadus morhua L.) skin collagen peptides and xylose. Food Chem. 2020, 333, 127489. [Google Scholar] [CrossRef]
- Liu, J.; Yong, H.; Yao, X.; Hu, H.; Yun, D.; Xiao, L. Recent advances in phenolic-protein conjugates: Synthesis, characterization, biological activities and potential applications. RSC Adv. 2019, 9, 35825–35840. [Google Scholar] [CrossRef]
- Magiera, A.; Czerwińska, M.E.; Owczarek, A.; Marchelak, A.; Granica, S.; Olszewska, M.A. Polyphenols and Maillard Reaction Products in Dried Prunus spinosa Fruits: Quality Aspects and Contribution to Anti-Inflammatory and Antioxidant Activity in Human Immune Cells Ex Vivo. Molecules 2022, 27, 3302. [Google Scholar] [CrossRef]
- Ounjaijean, S.; Chaipoot, S.; Phongphisutthinant, R.; Kanthakat, G.; Taya, S.; Pathomrungsiyounggul, P.; Wiriyacharee, P.; Boonyapranai, K. Evaluation of Prebiotic and Health-Promoting Functions of Honeybee Brood Biopeptides and Their Maillard Reaction Conjugates. Foods 2024, 13, 2847. [Google Scholar] [CrossRef]
- Somjai, C.; Siriwoharn, T.; Kulprachakarn, K.; Chaipoot, S.; Phongphisutthinant, R.; Wiriyacharee, P. Utilization of Maillard reaction in moist-dry-heating system to enhance physicochemical and antioxidative properties of dried whole longan fruit. Heliyon 2021, 7, e07094. [Google Scholar] [CrossRef] [PubMed]
- Hsu, T.Y.; Yang, K.M.; Chiang, Y.C.; Lin, L.Y.; Chiang, P.Y. The Browning Properties, Antioxidant Activity, and α-Glucosidase Inhibitory Improvement of Aged Oranges (Citrus sinensis). Foods 2024, 13, 1093. [Google Scholar] [CrossRef]
- Nakagawa, K.; Maeda, H.; Yamaya, Y.; Tonosaki, Y. Maillard Reaction Intermediates and Related Phytochemicals in Black Garlic Determined by EPR and HPLC Analyses. Molecules 2020, 25, 4578. [Google Scholar] [CrossRef] [PubMed]
- An, K.; Wu, J.; Xiao, H.; Hu, T.; Yu, Y.; Yang, W.; Xiao, G.; Xu, Y. Effect of various drying methods on the physicochemical characterizations, antioxidant activities and hypoglycemic activities of lychee (Litchi chinensis Sonn.) pulp polysaccharides. Int. J. Biol. Macromol. 2022, 220, 510–519. [Google Scholar] [CrossRef]
- Zuo, X.; Wang, J.; Li, Y.; Zhang, J.; Wu, Z.; Jin, P.; Cao, S.; Zheng, Y. Recent advances in high relative humidity strategy for preservation of postharvest fruits and vegetables: A comprehensive review. Food Chem. 2025, 481, 144130. [Google Scholar] [CrossRef]
- Duan, X.; Huang, L.; Wang, M.; Qiao, F.; Fang, C. Effect of Microwave and Temperature on Quality. J. Food Process. Preserv. 2015, 39, 423–431. [Google Scholar] [CrossRef]
- Mahayothee, B.; Udomkun, P.; Nagle, M.; Haewsungcharoen, M.; Janjai, S.; Müller, J. Effects of pretreatments on colour alterations of litchi during drying and storage. Eur. Food Res. Technol. 2009, 229, 329–337. [Google Scholar] [CrossRef]
- AOAC. Official Methods of Analysis of Association of Official Analytical Chemists, 18th ed.; AOAC International: Washington, DC, USA, 2010. [Google Scholar]
- Zhang, R.; Zeng, Q.; Deng, Y.; Zhang, M.; Wei, Z.; Zhang, Y.; Tang, X. Phenolic profiles and antioxidant activity of litchi pulp of different cultivars cultivated in Southern China. Food Chem. 2013, 136, 1169–1176. [Google Scholar] [CrossRef]
- Gandhi, Y.S.; Bankar, V.H.; Vishwakarma, R.P.; Satpute, S.R.; Upkare, M. Reducing Sugar Determination of Jaggery by Classical Lane and Eynon Method & 3, 5-Dinitrosalicylic Acid Method. Imp. J. Interdiscip. Res. 2017, 3, 602–606. [Google Scholar]
- Cao, X.; Islam, M.N.; Zhong, S.; Pan, X.; Song, M.; Shang, F.; Nie, H.; Xu, W.; Duan, Z. Drying kinetics, antioxidants, and physicochemical properties of litchi fruits by ultrasound-assisted hot air-drying. J. Food Biochem. 2020, 44, e13073. [Google Scholar] [CrossRef]
- Zhu, Z.; Zhang, Y.; Wang, W.; Sun, S.; Wang, J.; Li, X.; Dai, F.; Jiang, Y. Changes in Physicochemical Properties, Volatile Profiles, and Antioxidant Activities of Black Apple During High-Temperature Fermentation Processing. Front. Nutr. 2022, 8, 794231. [Google Scholar] [CrossRef]
- Pai, Y.; Pai, K.D.; Kini, M.V. Experimental investigations on the moisture absorption and mechanical behaviour of basalt-aramid/epoxy hybrid interply composites under different ageing environments. Cogent Eng. 2022, 9, 2080354. [Google Scholar] [CrossRef]
- Asikin, Y.; Nakaza, Y.; Maeda, G.; Kaneda, H.; Takara, K.; Wada, K. Evaporation Temperature Alters Physicochemical Characteristics and Volatile Maillard Reaction Products of Non-Centrifugal Cane Sugar (NCS): Comparison of Polyethylene Membrane and Retronasal Aroma Simulator Techniques for the Extraction of Volatile Organic Compounds in NCS. Appl. Sci. 2023, 13, 6402. [Google Scholar] [CrossRef]
- Su, D.; Wang, Z.; Dong, L.; Huang, F.; Zhang, R.; Jia, X.; Wu, G.; Zhang, M. Impact of thermal processing and storage temperature on the phenolic profile and antioxidant activity of different varieties of lychee juice. LWT 2019, 116, 108578. [Google Scholar] [CrossRef]
- Shu, B.; Wang, J.; Wu, G.; Cao, X.; Huang, F.; Dong, L.; Zhang, R.; Liu, H.; Su, D. Newly generated and increased bound phenolic in lychee pulp during heat-pump drying detected by UPLC-ESI-triple-TOF-MS/MS. J. Sci. Food Agric. 2022, 102, 1381–1390. [Google Scholar] [CrossRef] [PubMed]
- Zhu, Z.; Zhang, Y.; Wang, W.; Huang, Z.; Wang, J.; Li, X.; Sun, S. Structural characterisation and antioxidant activity of melanoidins from high-temperature fermented apple. Int. J. Food Sci. Technol. 2021, 56, 2471–2480. [Google Scholar] [CrossRef]
- Stephenus, F.; Benjamin, M.A.Z.; Anuar, A.; Awang, M.A. Effect of Temperatures on Drying Kinetics, Extraction Yield, Phenolics, Flavonoids, and Antioxidant Activity of Phaleria macrocarpa (Scheff.) Boerl. (Mahkota Dewa) Fruits. Foods 2023, 12, 2859. [Google Scholar] [CrossRef]
- Shi, J.; Yu, J.; Pohorly, J.; Young, J.C.; Bryan, M.; Wu, Y.; Canada, A. Optimization of the extraction of polyphenols from grape seed meal by aqueous ethanol solution. J. Food Agric. Environ. 2003, 1, 42–47. [Google Scholar]
- Che Sulaiman, I.S.; Basri, M.; Fard Masoumi, H.R.; Chee, W.J.; Ashari, S.E.; Ismail, M. Effects of temperature, time, and solvent ratio on the extraction of phenolic compounds and the anti-radical activity of Clinacanthus nutans Lindau leaves by response surface methodology. Chem. Cent. J. 2017, 11, 54. [Google Scholar] [CrossRef]
- Aoudeh, E.; Oz, E.; Kelebek, H.; Brennan, C.; Ahmad, N.; Elobeid, T.; Oz, F. Black garlic production: The influence of ageing temperature and duration on some physicochemical and antioxidant properties, and sugar content. Int. J. Food Sci. Technol. 2023, 58, 3580–3590. [Google Scholar] [CrossRef]
- Shin, J.-H.; Kang, M.-J.; Lee, B.H.; Kang, D. Effect of Temperature Conditions on the Physicochemical Quality of Aged Black Garlic. Foods 2024, 13, 3974. [Google Scholar] [CrossRef] [PubMed]
- Laroque, D.; Inisan, C.; Berger, C.; Vouland, E.; Dufossé, L.; Guérard, F. Kinetic study on the Maillard reaction. Consideration of sugar reactivity. Food Chem. 2008, 111, 1032–1042. [Google Scholar] [CrossRef]
- Alonso-Riaño, P.; Illera, A.; Benito-Román, Ó.; Melgosa, R.; Bermejo-López, A.; Beltrán, S.; Sanz, M. Degradation kinetics of sugars (glucose and xylose), amino acids (proline and aspartic acid) and their binary mixtures in subcritical water: Effect of Maillard reaction. Food Chem. 2024, 442, 138421. [Google Scholar] [CrossRef] [PubMed]
- Hashimoto, K.; Niina, T.; Kobayashi, T.; Adachi, S.; Watanabe, Y. Isomerization and epimerization of fructose in phosphate buffer under subcritical water conditions. Carbohydr. Res. 2024, 535, 109003. [Google Scholar] [CrossRef]
- Teodorowicz, M.; Van Neerven, J.; Savelkoul, H. Food Processing: The Influence of the Maillard Reaction on Immunogenicity and Allergenicity of Food Proteins. Nutrients 2017, 9, 835. [Google Scholar] [CrossRef]
- Chaipoot, S.; Wiriyacharee, P.; Pathomrungsiyounggul, P.; Kanthakat, G.; Somjai, C.; Boonyapranai, K.; Srinuanpan, S.; Wongwatcharayothin, W.; Phongphisutthinant, R. Antioxidant Activity and Chemical Alterations of Honeybee Brood Bio-Peptides Interacting with Honey Under Moist-Dried Thermal Aging. Antioxidants 2025, 14, 254. [Google Scholar] [CrossRef]
- Réblová, Z. Effect of temperature on the antioxidant activity of phenolic acids. Czech J. Food Sci. 2012, 30, 171–175. [Google Scholar] [CrossRef]
- Wang, Z.; Wu, G.; Shu, B.; Huang, F.; Dong, L.; Zhang, R.; Su, D. Comparison of the phenolic profiles and physicochemical properties of different varieties of thermally processed canned lychee pulp. RSC Adv. 2020, 10, 6743–6751. [Google Scholar] [CrossRef]









| Aging Temperature (°C) | Total Color Difference (ΔE) ns | Moisture Content (%) | Water Activity (aw) | pH |
|---|---|---|---|---|
| Non–aged | - | 17.65 ± 0.82 d | 0.55 ± 0.02 d | 4.03 ± 0.02 a |
| 50 | 12.35 ± 0.45 | 28.85 ± 1.06 a | 0.70 ± 0.01 a | 3.52 ± 0.03 b |
| 60 | 13.69 ± 0.09 | 27.95 ± 0.68 ab | 0.65 ± 0.01 b | 3.49 ± 0.01 b |
| 70 | 13.41 ± 0.12 | 25.52 ± 0.61 b | 0.62 ± 0.01 bc | 3.28 ± 0.02 c |
| 80 | 13.40 ± 0.06 | 20.37 ± 0.72 c | 0.61 ± 0.01 c | 3.21 ± 0.02 d |
| Phenolics (mg/100 g db) | Non–Aged | Aging Temperature (°C) | |||
|---|---|---|---|---|---|
| 50 | 60 | 70 | 80 | ||
| Gallic acid | 1.11 ± 0.02 c | 1.34 ± 0.02 b | 1.22 ± 0.03 b | 2.15 ± 0.19 a | 1.73 ± 0.15 ab |
| Theobromine | 0.58 ± 0.02 a | ND | ND | ND | ND |
| Protocatechuic acid | 1.52 ± 0.08 d | 10.47 ± 0.08 a | 8.79 ± 0.26 b | 8.21 ± 0.05 b | 4.97 ± 0.21 c |
| p-Hydroxybenzoic acid | ND | ND | ND | ND | 1.67 ± 0.01 a |
| Catechin | ND | 0.59 ± 0.02 c | 0.50 ± 0.08 c | 2.02 ± 0.06 a | 1.16 ± 0.03 b |
| Chlorogenic acid | 0.21 ± 0.05 d | 0.71 ± 0.02 c | 2.12 ± 0.04 b | 5.34 ± 0.03 a | 0.29 ± 0.03 d |
| Caffeine | 0.56 ± 0.01 d | 0.70 ± 0.01 b | 0.81 ± 0.04 ab | 0.98 ± 0.02 a | 0.60 ± 0.02 c |
| Vanillic acid | 0.09 ± 0.01 c | 1.35 ± 0.01 a | 1.32 ± 0.04 a | 0.72 ± 0.15 b | ND |
| Caffeic acid | ND | ND | ND | ND | ND |
| Syringic acid | 0.07 ± 0.01 d | 0.54 ± 0.03 a | 0.41 ± 0.04 b | 0.32 ± 0.04 c | ND |
| Epicatechin | 0.07 ± 0.01 c | 1.15 ± 0.02 a | 1.10 ± 0.03 ab | 1.02 ± 0.10 b | ND |
| Vanillin | 0.02 ± 0.01 d | 0.85 ± 0.01 b | 1.13 ± 0.02 a | 0.87 ± 0.03 b | 0.43 ± 0.01 c |
| p-Coumaric acid | ND | ND | ND | ND | ND |
| Ferulic acid | ND | ND | ND | ND | ND |
| Sinapic acid | 0.07 ± 0.03 d | 0.57 ± 0.01 a | 0.56 ± 0.02 a | 0.28 ± 0.01 b | 0.14 ± 0.02 c |
| Rutin | 0.90 ± 0.02 a | 0.06 ± 0.01 b | 0.07 ± 0.02 b | 0.04 ± 0.01 c | 0.06 ± 0.02 b |
| Myricetin | ND | ND | ND | ND | ND |
| Quercetin | 0.19 ± 0.01 a | 0.03 ± 0.01 c | 0.07 ± 0.02 b | ND | ND |
| trans-Cinnamic acid | 0.02 ± 0.02 c | 0.07 ± 0.03 ab | 0.09 ± 0.02 a | 0.05 ± 0.01 b | 0.03 ± 0.01 c |
| Sugar Contents (g/100 g db) | Non–Aged | Aging Temperature (°C) | |||
|---|---|---|---|---|---|
| 50 | 60 | 70 | 80 | ||
| Reducing sugar | 79.82 ± 0.28 b | 82.16 ± 0.16 a | 66.85 ± 0.64 c | 49.27 ± 0.31 d | 42.57 ± 0.58 e |
| Glucose | 22.38 ± 0.06 a | 18.33 ± 0.06 b | 16.01 ± 0.20 c | 13.33 ± 0.02 d | 10.53 ± 0.24 e |
| Fructose | 29.36 ± 0.32 a | 28.95 ± 0.30 a | 27.15 ± 0.37 ab | 24.05 ± 0.13 b | 13.36 ± 0.65 c |
| Sucrose | 0.33 ± 0.03 a | 0.32 ± 0.01 a | 0.22 ± 0.01 b | 0.18 ± 0.01 c | ND |
| Mannose | ND | 0.29 ± 0.01 d | 0.72 ± 0.01 c | 1.23 ± 0.03 b | 1.66 ± 0.04 a |
| Allulose | ND | 0.16 ± 0.01 c | 0.36 ± 0.02 b | 0.45 ± 0.01 b | 0.89 ± 0.03 a |
Disclaimer/Publisher’s Note: The statements, opinions and data contained in all publications are solely those of the individual author(s) and contributor(s) and not of MDPI and/or the editor(s). MDPI and/or the editor(s) disclaim responsibility for any injury to people or property resulting from any ideas, methods, instructions or products referred to in the content. |
© 2026 by the authors. Licensee MDPI, Basel, Switzerland. This article is an open access article distributed under the terms and conditions of the Creative Commons Attribution (CC BY) license.
Share and Cite
Chaipoot, S.; Kulprachakarn, K.; Wiriyacharee, P.; Somjai, C.; Chaimueng, K.; Jaijoi, S.; Khampakool, A.; Wongwatcharayothin, W.; Srinuanpan, S.; Pathomrungsiyounggul, P.; et al. Temperature-Driven Maillard Conjugation and Phenolic Changes in Dried Lychee Pulp: Implications for Antioxidative Enhancement. Foods 2026, 15, 468. https://doi.org/10.3390/foods15030468
Chaipoot S, Kulprachakarn K, Wiriyacharee P, Somjai C, Chaimueng K, Jaijoi S, Khampakool A, Wongwatcharayothin W, Srinuanpan S, Pathomrungsiyounggul P, et al. Temperature-Driven Maillard Conjugation and Phenolic Changes in Dried Lychee Pulp: Implications for Antioxidative Enhancement. Foods. 2026; 15(3):468. https://doi.org/10.3390/foods15030468
Chicago/Turabian StyleChaipoot, Supakit, Kanokwan Kulprachakarn, Pairote Wiriyacharee, Chalermkwan Somjai, Kuntathee Chaimueng, Sirinthip Jaijoi, Apinya Khampakool, Worachai Wongwatcharayothin, Sirasit Srinuanpan, Pattavara Pathomrungsiyounggul, and et al. 2026. "Temperature-Driven Maillard Conjugation and Phenolic Changes in Dried Lychee Pulp: Implications for Antioxidative Enhancement" Foods 15, no. 3: 468. https://doi.org/10.3390/foods15030468
APA StyleChaipoot, S., Kulprachakarn, K., Wiriyacharee, P., Somjai, C., Chaimueng, K., Jaijoi, S., Khampakool, A., Wongwatcharayothin, W., Srinuanpan, S., Pathomrungsiyounggul, P., & Phongphisutthinant, R. (2026). Temperature-Driven Maillard Conjugation and Phenolic Changes in Dried Lychee Pulp: Implications for Antioxidative Enhancement. Foods, 15(3), 468. https://doi.org/10.3390/foods15030468

