Study of Fermentation Conditions Optimization for Xylanase Production by Aspergillus tubingensis FS7Y52 and Application in Agricultural Wastes Degradation
Abstract
1. Introduction
2. Material and Methods
2.1. Materials, Reagents, and Media Preparation
2.2. Cultivation and Fermentation for Enzyme Production
2.3. Enzyme Activity Assay
2.3.1. Xylanase Activity Assay
2.3.2. Cellulase Activity Assay
2.4. Optimization of Fermentation Conditions for Xylanase Activity
2.4.1. Single-Factor Design
2.4.2. PB Design
2.4.3. Steepest Ascent Path Experiment Optimization
2.4.4. Box–Behnken Experimental Design (BBD) Optimization
2.5. Enzymatic Property Analysis
2.5.1. Optimal pH and pH Stability
2.5.2. Optimal Temperature and Thermal Stability
2.6. Agricultural Wastes Enzymatic Hydrolysis
2.6.1. Enzyme Production by Fermentation
2.6.2. The Degradation of Agricultural Waste Culture Medium by the Strain
2.6.3. Pretreatment of Agricultural Wastes
2.6.4. Enzymatic Hydrolysis Treatment
2.6.5. Reducing Sugar Determination
2.6.6. Cellulose and Hemicellulose Determination
2.6.7. Lignin Content Determination
2.7. Data Processing
3. Results and Discussion
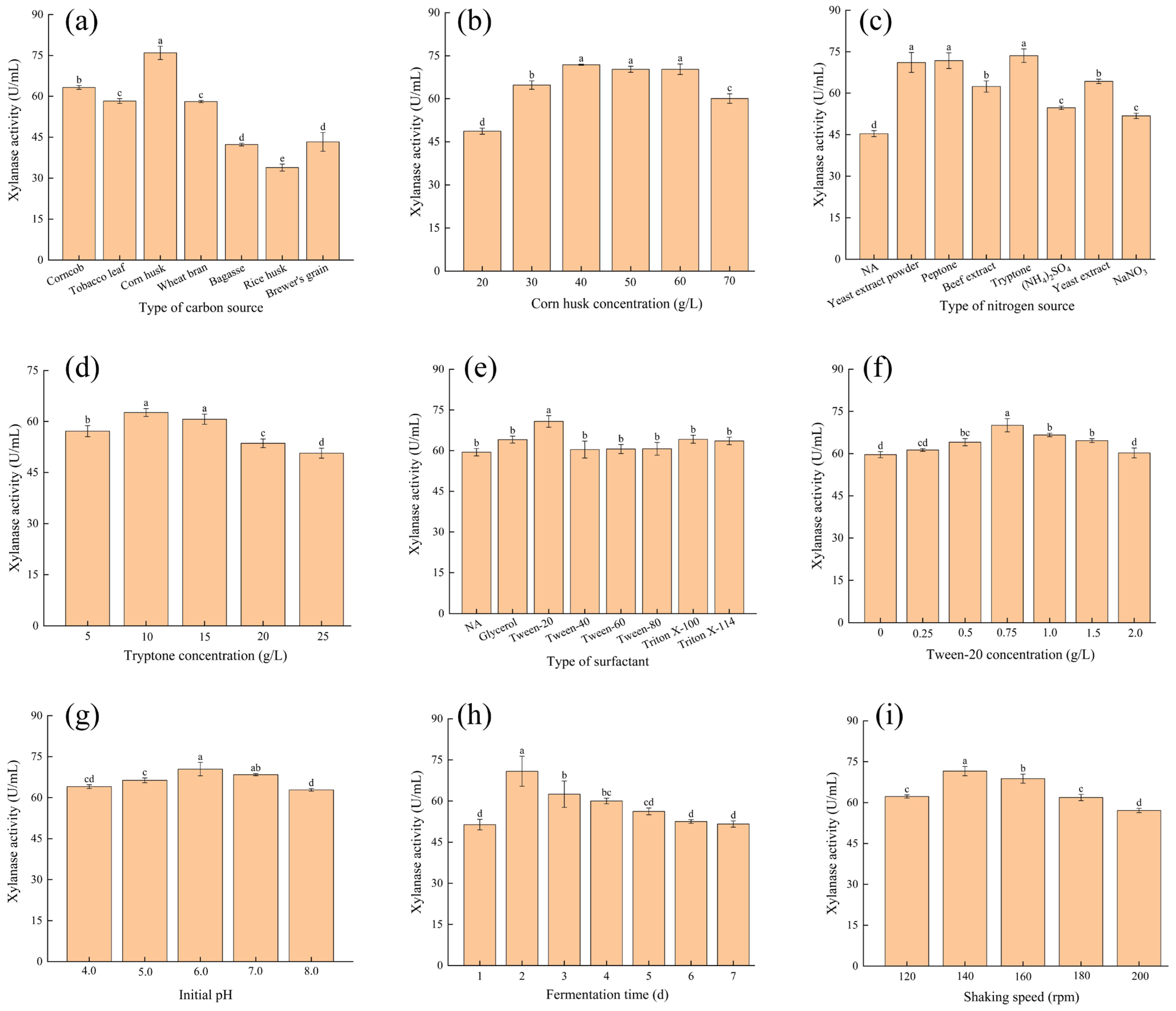
3.1. Optimization of the Medium Composition by Single-Factor Design
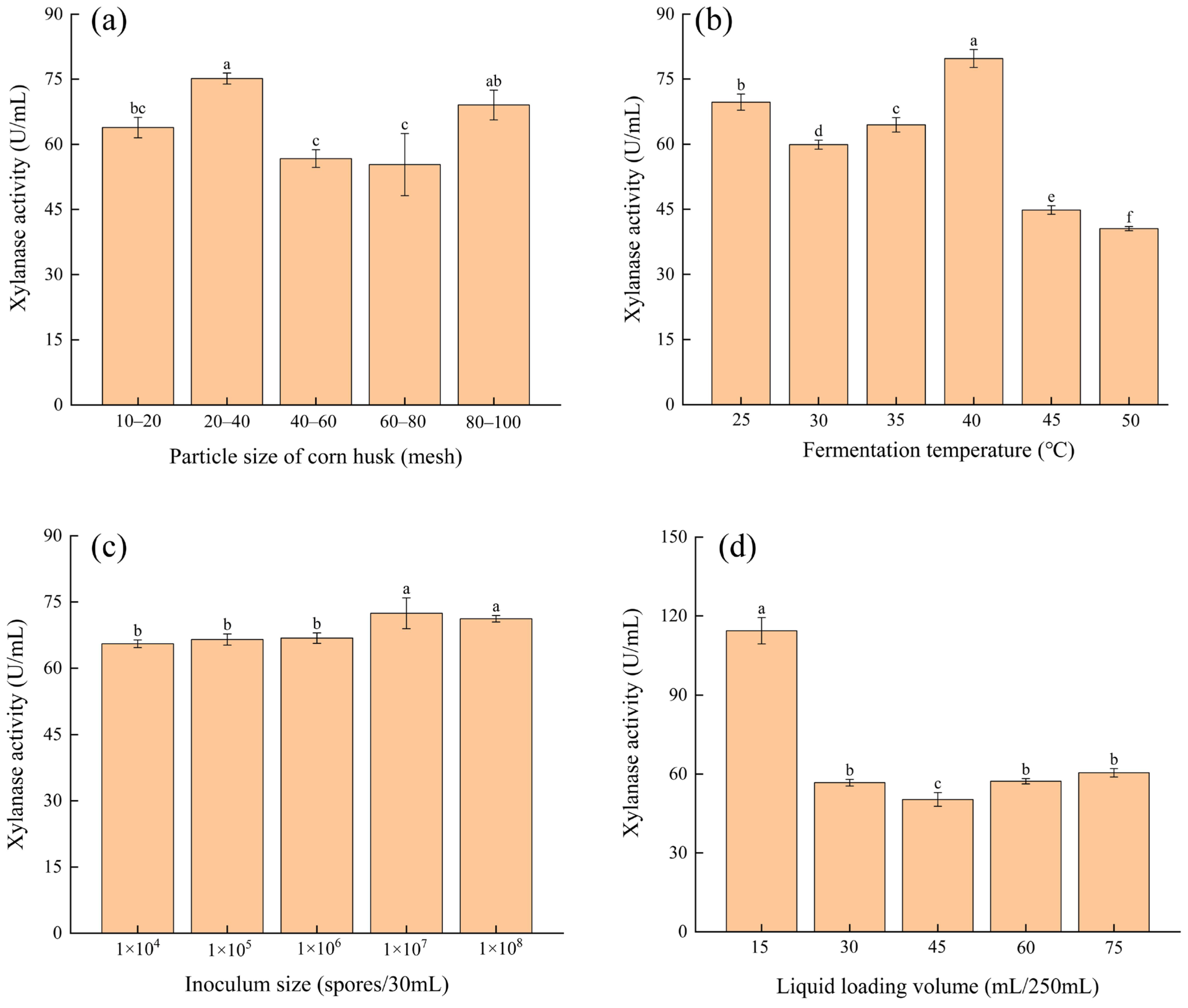
3.2. Optimization of the Fermentation Conditions by Single-Factor Design
3.3. Optimization of the Fermentation Conditions by PB Design
3.4. Optimization of the Fermentation Conditions by Steepest Ascent PathExperiment
3.5. Optimization of the Fermentation Conditions by RSM Design
4. Enzymatic Properties
4.1. Optimal pH and pH Stability of Xylanase
4.2. Optimal Temperature and Thermal Stability of Xylanase
5. Hydrolysis of Agricultural Wastes
5.1. Analysis of Enzymatic Hydrolysis Efficiency
5.2. Reducing Sugar Release of Enzymatic Hydrolysis
5.3. Degradation Effect of Agricultural Waste by A. tubingensis
6. Conclusions
Author Contributions
Funding
Institutional Review Board Statement
Informed Consent Statement
Data Availability Statement
Conflicts of Interest
Appendix A
Appendix A.1

Appendix A.2

Appendix A.3
| Cellulose (%) | Hemicellulose (%) | Lignin (%) | Ash/Silica (%) | |
|---|---|---|---|---|
| Bagasse | 40–45 | 25–30 | 20–25 | 1–3 |
| Corncob | 35–40 | 35–40 | 15–20 | 1–2 |
| Wheat bran | 10–15 | 35–40 | 8–15 | 5–8 |
| Corn husk | 30–35 | 25–30 | 15–20 | 3–5 |
| Tobacco leaf | 20–30 | 15–25 | 15–25 | 10–15 |
| Rice husk | 30–35 | 20–25 | 15–20 | 15–20 |
Appendix A.4

Appendix A.5

Appendix A.6
| Factors | Initial Conditions | Optimized Conditions |
|---|---|---|
| Carbon source concentration (g/L) | 30 | 40 |
| Nitrogen source concentration (g/L) | 7.09 | 13.7 |
| Tween-20 concentration (g/L) | 0 | 0.75 |
| Initial pH | 5.23 | 6.5 |
| Fermentation temperature (°C) | 30 | 42.1 |
| Fermentation time (d) | 5 | 2 |
| Shaking speed (rpm) | 180 | 140 |
| Inoculum size (spores/30 mL) | 1 × 107 | 1 × 107 |
| Liquid loading volume (mL/250 mL) | 30 | 30 |
| Xylanase activity (U/mL) | 60.44 | 115.23 |
Appendix A.7

References
- Raina, N.; Chuetor, S.; Elalami, D.; Tayibi, S.; Barakat, A. Biomass Valorization for Bioenergy Production: Current Techniques, Challenges, and Pathways to Solutions for Sustainable Bioeconomy. BioEnergy Res. 2024, 17, 1999–2028. [Google Scholar] [CrossRef]
- Rijal, P.; Carvalho, H.; Matias, J.; Garrido, S.; Pimentel, C. Drivers and barriers of residual agroforestry biomass valorization: A systematic literature review. Agrofor. Syst. 2025, 99, 81. [Google Scholar] [CrossRef]
- Lin, L. Bottom-up synthetic ecology study of microbial consortia to enhance lignocellulose bioconversion. Biotechnol. Biofuels Bioprod. 2022, 15, 14. [Google Scholar] [CrossRef] [PubMed]
- Liu, M.; Xu, L.X.; Yin, Z.X.; He, D.; Zhang, Y.J.; Liu, C.Q. Harnessing the potential of exogenous microbial agents: A comprehensive review on enhancing lignocellulose degradation in agricultural waste composting. Arch. Microbiol. 2025, 207, 51. [Google Scholar] [CrossRef]
- Lu, H.L.; Xue, M.Y.; Nie, X.L.; Luo, H.Z.; Tan, Z.B.; Yang, X.; Shi, H.; Li, X.; Wang, T. Glycoside hydrolases in the biodegradation of lignocellulosic biomass. 3 Biotech 2023, 13, 402. [Google Scholar] [CrossRef]
- Moreira, L.R.S.; Filho, E.X.F. Insights into the mechanism of enzymatic hydrolysis of xylan. Appl. Microbiol. Biot. 2016, 11, 5205–5214. [Google Scholar] [CrossRef]
- Akram, F.; Safdar, M.; Shabbir, I.; Fatima, T.; Haq, I. Insight into the eminent biotechnological applications of xylanolytic enzymes for sustainable bioprocessing. 3 Biotech 2025, 15, 1–20. [Google Scholar] [CrossRef] [PubMed]
- Bhardwaj, N.; Kumar, B.; Verma, P. A detailed overview of xylanases: An emerging biomolecule for current and future prospective. Bioresour. Bioprocess. 2019, 6, 1–36. [Google Scholar] [CrossRef]
- Sarangi, A.; Thatoi, H. Xylanase as a Promising Biocatalyst: A Review on Its Production, Purification and Biotechnological Applications. Proc. Natl. Acad. Sci. India Sect. B 2024, 1–16. [Google Scholar] [CrossRef]
- Bhadra, F.; Gupta, A.; Vasundhara, M.; Reddy, M.S. Endophytic fungi: A potential source of industrial enzyme producers. 3 Biotech 2022, 12, 86. [Google Scholar] [CrossRef]
- Maestrello, C.C.; Cavalcanti, R.M.F.; Guimarães, L.H.S. Aspergillus labruscus ITAL 22.223 xylanase—Immobilization and application for the obtainment of corncob xylan targeting xylitol production. Braz. J. Microbiol. 2024, 55, 3159–3170. [Google Scholar] [CrossRef]
- Qiu, X.; Sun, Q.J.; Huo, C.Y.; Fu, W.W.; Cai, N.; Gao, P.; Teng, C. Identification, optimisation and production of xylooligosaccharides by heat-tolerant xylanase-producing strain. 3 Biotech 2025, 15, 1–11. [Google Scholar] [CrossRef]
- Prajapati, B.P.; Jana, U.K.; Suryawanshi, R.K.; Kango, N. Sugarcane bagasse saccharification using Aspergillus tubingensis enzymatic cocktail for 2G bio-ethanol production. Renew. Energy 2020, 152, 653–663. [Google Scholar] [CrossRef]
- Prajapati, B.P.; Kango, N. Rice straw saccharification using cellulolytic cocktail from Aspergillus tubingensis and structure alterations studies of the wall polymer. Biomass Convers. Biorefinery 2021, 13, 961–975. [Google Scholar] [CrossRef]
- Ristović, M.; Stojanović, S.; Pavlović, M.; Margetić, A.; Slavić, M.Š.; Dojnov, B.; Vujčić, Z. Enhancing functional properties of fruit juices with highly active xylanase from Aspergillus tubingensis FAT35. J. Sci. Food Agric. 2026, 106, 831–841. [Google Scholar] [CrossRef]
- Dos Santos, J.A.; Vieira, J.M.F.; Videira, A.; Meirelles, L.A.; Rodrigues, A.; Taniwaki, M.H.; Setts, L.D. Marine-derived fungus Aspergillus cf. tubingensis LAMAI 31: A new genetic resource for xylanase production. AMB Express 2016, 6, 25. [Google Scholar] [CrossRef] [PubMed]
- Rastogi, M.; Shrivastava, S.; Shukla, P. Bioprospecting of xylanase producing fungal strains: Multilocus phylogenetic analysis and enzyme activity profiling. J. Basic. Microbiol. 2022, 62, 150–161. [Google Scholar] [CrossRef] [PubMed]
- Intasit, R.; Cheirsilp, B.; Suyotha, W.; Boonsawang, P. Purification and characterization of a highly-stable fungal xylanase from Aspergillus tubingensis cultivated on palm wastes through combined solid-state and submerged fermentation. Prep. Biochem. Biotechnol. 2022, 52, 311–317. [Google Scholar] [CrossRef] [PubMed]
- Dhaver, P.; Sithole, T.; Pletschke, B.; Sithole, B.; Govinden, R. Enhanced production of a recombinant xylanase (XT6): Optimization of production and purification, and scaled-up batch fermentation in a stirred tank bioreactor. Sci. Rep. 2023, 13, 20895. [Google Scholar] [CrossRef]
- Saroj, P.; P, M.; Narasimhulu, K. Enhanced reducing sugar production by blending hydrolytic enzymes from Aspergillus fumigatus to improve sugarcane bagasse hydrolysis. Environ. Sci. Pollut. Res. 2024, 31, 48085–48102. [Google Scholar] [CrossRef]
- Dhaver, P.; Pletschke, B.; Sithole, B.; Govinden, R. Optimization, purification, and characterization of xylanase production by a newly isolated Trichoderma harzianum strain by a two-step statistical experimental design strategy. Sci. Rep. 2022, 12, 17791. [Google Scholar] [CrossRef]
- Kallel, F.; Chaabouni, S.E.; Neifar, M. Simultaneous production of cellulase and xylanase by Penicillium occitanis Pol6 and potential application in bioethanol production using cardboard waste as a sustainable substrate. Chem. Pap. 2025, 79, 4795–4805. [Google Scholar] [CrossRef]
- Yu, Q.; Xu, J.Y.; Li, M.X.; Xi, Y.L.; Sun, H.; Xie, Y.X.; Cheng, Q.M.; Li, P.; Chen, C.; Yang, F.Y.; et al. Synergistic effects of ferulic acid esterase-producing lactic acid bacteria, cellulase and xylanase on the fermentation characteristics, fibre and nitrogen components and microbial community structure of Broussonetia papyrifera during ensiling. J. Sci. Food Agric. 2024, 104, 3543–3558. [Google Scholar] [CrossRef]
- Ye, J.B.; Zheng, S.S.; Zhang, Z.; Yang, F.; Ma, K.; Feng, Y.J.; Zheng, J.Q.; Mao, D.B.; Yang, X.P. Bacterial cellulose production by Acetobacter xylinum ATCC 23767 using tobacco waste extract as culture medium. Bioresour. Technol. 2019, 274, 518–524. [Google Scholar] [CrossRef] [PubMed]
- Ma, J.H.; Cheng, L.J.; Zhang, Y.J.; Liu, Y.C.; Sun, Q.; Zhang, J.; Liu, X.Y.; Fan, G.S. Screening of Yeasts Isolated from Baijiu Environments for Producing 3-Methylthio-1-propanol and Optimizing Production Conditions. Foods 2022, 11, 3616. [Google Scholar] [CrossRef] [PubMed]
- Yuan, H.Y.; Sun, Q.; Wang, L.S.; Fu, Z.L.; Zhou, T.Z.; Ma, J.H.; Liu, X.Y.; Fan, G.S.; Teng, C. Optimization of High-Density Fermentation Conditions for Saccharomycopsis fibuligera Y1402 through Response Surface Analysis. Foods 2024, 13, 1546. [Google Scholar] [CrossRef]
- Zhang, Y.J.; Sun, Q.; Liu, X.Y.; Basit, R.A.; Ma, J.H.; Fu, Z.L.; Cheng, L.J.; Fan, G.S.; Teng, C. Screening, Identification, and Fermentation Condition Optimization of a High-Yield 3-Methylthiopropanol Yeast and Its Aroma-Producing Characteristics. Foods 2024, 13, 418. [Google Scholar]
- Waheeb, M.S.; Elkhatib, W.F.; Yassien, M.A.; Hassouna, N.A. Optimized production and characterization of a thermostable cellulase from Streptomyces thermodiastaticus strain. AMB Express 2024, 14, 129. [Google Scholar] [CrossRef]
- Abena, T.; Simachew, A. Production and characterization of acidophilic xylanase from wood degrading white rot fungus by solid-state fermentation of wheat straw. Heliyon 2024, 10, 35496. [Google Scholar] [CrossRef]
- Teixeira, R.S.S.; Silva, A.S.A.d.; Ferreira-Leitão, V.S.; Bon, E.P.d.S. Amino acids interference on the quantification of reducing sugars by the 3,5-dinitrosalicylic acid assay mislead carbohydrase activity measurements. Carbohydr. Res. 2012, 363, 33–37. [Google Scholar] [CrossRef] [PubMed]
- Dou, T.-Y.; Chen, J.; Hao, Y.-F.; Qi, X.H. Effects of Different Carbon Sources on Enzyme Production and Ultrastructure of Cellulosimicrobium cellulans. Curr. Microbiol. 2019, 76, 355–360. [Google Scholar] [CrossRef]
- Chukwuma, O.B.; Rafatullah, M.; Tajarudin, H.; Ismail, N. Lignocellulolytic Enzymes in Biotechnological and Industrial Processes: A Review. Sustainability 2020, 12, 7282. [Google Scholar] [CrossRef]
- da Silva Lima, D.J.; Couto, R.; Souza, J.C.P.; Camassola, M.; Fontana, R.C.; Dillon, A.J.; da Cruz Pradella, J.G. Use of an inexpensive carbon source for the production of a cellulase enzyme complex from Penicillium ucsense S1M29 and enzymatic hydrolysis optimization. Biofuels Bioprod. Biorefining 2024, 18, 1137–1151. [Google Scholar] [CrossRef]
- Kucharska, K.; Rybarczyk, P.; Hołowacz, I.; Łukajtis, R.; Glinka, M.; Kamiński, M. Pretreatment of Lignocellulosic Materials as Substrates for Fermentation Processes. Molecules 2018, 23, 2937. [Google Scholar] [CrossRef]
- Glekas, P.D.; Kalantzi, S.; Dalios, A.; Hatzinikolaou, D.G.; Mamma, D. Biochemical and Thermodynamic Studies on a Novel Thermotolerant GH10 Xylanase from Bacillus safensis. Biomolecules 2022, 12, 790. [Google Scholar] [CrossRef]
- Iram, A.; Cekmecelioglu, D.; Demirci, A. Salt and nitrogen amendment and optimization for cellulase and xylanase production using dilute acid hydrolysate of distillers’ dried grains with solubles (DDGS) as the feedstock. Bioprocess. Biosyst. Eng. 2022, 45, 527–540. [Google Scholar] [CrossRef] [PubMed]
- Ire, F.S.; Chima, I.J.; Ezebuiro, V. Enhanced xylanase production from UV-mutated Aspergillus niger grown on corn cob and sawdust. Biocatal. Agric. Biotechnol. 2021, 31, 101869. [Google Scholar] [CrossRef]
- Ketsakhon, P.; Thammasittirong, A.; Thammasittirong, S.N.-R. Adding value to rice straw waste for high-level xylanase production using a new isolate of Bacillus altitudinis RS3025. Folia Microbiol. 2022, 68, 87–99. [Google Scholar] [CrossRef] [PubMed]
- Kongsted, J.; Ryde, U.; Wydra, J.; Jensen, J.H. Prediction and Rationalization of the pH Dependence of the Activity and Stability of Family 11 Xylanases. Biochemistry 2007, 46, 13581–13592. [Google Scholar] [CrossRef]
- Mamo, G.; Thunnissen, M.; Hatti-kaul, R.; Mattiasson, B. An alkaline active xylanase: Insights into mechanisms of high pH catalytic adaptation. Biochimie 2009, 91, 1187–1196. [Google Scholar] [CrossRef]
- de Oliveira, R.L.; de Souza Claudino, E.; Converti, A.; Porto, T.S. Use of a Sequential Fermentation Method for the Production of Aspergillus tamarii URM4634 Protease and a Kinetic/Thermodynamic Study of the Enzyme. Catalysts 2021, 11, 963. [Google Scholar] [CrossRef]
- Kabir, M.F.; Ovi, A.Q.; Ju, L.-K. Real-time pH and temperature monitoring in solid-state fermentation reveals culture physiology and optimizes enzyme harvesting for tailored applications. Microb. Cell Fact. 2025, 24, 188. [Google Scholar] [CrossRef]
- Abdelaliem, Y.F.; Mahmoud, M.H.; Elkassem, N.A.; Mansour, S.M.; Ramadan, M.F.; Mohdaly, A.A.A. Utilization of agro-industrial biowastes to produce xylanase using Aspergillus niger AUMC 14230: Optimization of production parameters. Rend. Lincei-Sci. Fis. Nat. 2023, 34, 941–951. [Google Scholar] [CrossRef]
- Devi, S.; Dwivedi, D.; Bhatt, A.K. Utilization of Agroresidues for the Production of Xylanase by Bacillus safensis XPS7 and Optimization of Production Parameters. Fermentation 2022, 8, 221. [Google Scholar] [CrossRef]
- Tran, T.N.; Chien, T.D.; Dinh, T.K.L.; Duong, T.H.N.; Phan, T.T.U.P.; Le, T.T.L.; Tran, T.D.; Hoang, P.H.Q.; Nguyen, A.D.; Wang, S.L. Optimization Production of an Endo-β-1,4-Xylanase from Streptomyces thermocarboxydus Using Wheat Bran as Sole Carbon Source. Recycling 2024, 9, 50. [Google Scholar] [CrossRef]
- Ameen, F. Purification and Characterization of Xylanase Produced by Aspergillus fumigatus Isolated from the Northern Border Region of Saudi Arabia. Fermentation 2023, 9, 595. [Google Scholar] [CrossRef]
- Layly, I.K.; Nandyawati, D.; Abidin, K.Y.; Wahjono, E.; Helianti, I.; Suhendar, D.; Waltam, D.R.; Sriherwanto, C.; Hendrawati, T.Y.; Affanda, E. Box–Behnken response surface methodology in optimising fermentation of Bacillus halodurans CM1 xylanase enzyme production. Biocatal. Biotransform. 2025, 43, 629–641. [Google Scholar] [CrossRef]
- Salah, H.A.; Temerk, H.A.; Salah, N.A.; Alshehri, S.R.Z.; AI-Harbi, J.A.; Mawad, A.M.M.; Khaled, K.A.M.; Hesham, A.E.I.-H.; Amein, K.A. Production and Optimization of Xylanase and α-Amylase from Non-Saccharomyces Yeasts (Pichia membranifaciens). J. Pure Appl. Microbiol. 2021, 15, 452–461. [Google Scholar] [CrossRef]
- Xu, Y.; Wu, J.; Zheng, K.X.; Wu, D. A xylanase from Streptomyces sp. FA1: Heterologous expression, characterization, and its application in Chinese steamed bread. J. Ind. Microbiol. Biotechnol. 2016, 43, 663–670. [Google Scholar] [CrossRef]
- Liu, L.; Xu, M.Y.; Cao, Y.L.; Wang, H.; Shao, J.; Xu, M.Q.; Zhang, Y.C.; Wang, Y.H.; Zhang, W.X.; Meng, X.F.; et al. Biochemical Characterization of Xylanases from Streptomyces sp. B6 and Their Application in the Xylooligosaccharide Production from Viscose Fiber Production Waste. J. Agric. Food Chem. 2020, 68, 3184–3194. [Google Scholar] [CrossRef]
- Himmel, M.E.; Ding, S.-Y.; Johnson, D.K.; Adney, W.S.; Nimlos, M.R.; Brady, J.W.; Foust, T.D. Biomass Recalcitrance: Engineering Plants and Enzymes for Biofuels Production. Science 2007, 315, 804–807. [Google Scholar] [CrossRef]
- Gao, D.; Uppugundla, N.; Chundawat, S.P.S.; Yu, X.R.; Hermanson, S.; Gowda, K.; Brumm, P.; Mead, D.; Balan, V.; Dale, B.E. Hemicellulases and auxiliary enzymes for improved conversion of lignocellulosic biomass to monosaccharides. Biotechnol. Biofuels 2011, 4, 5. [Google Scholar] [CrossRef] [PubMed]
- Payne, C.M.; Knott, B.C.; Mayes, H.B.; Hansson, H.; Himmel, M.E.; Sandgren, M.; Ståhlberg, J.; Beckham, G.T. Fungal Cellulases. Chem. Rev. 2015, 115, 1308–1448. [Google Scholar] [CrossRef] [PubMed]



| Factors | Levels |
|---|---|
| Type of carbon source | brewer’s grain, bagasse, corncob, corn husk, rice husk, wheat bran, tobacco leaf |
| Particle size of carbon source (mesh) | 10–20, 20–40, 40–60, 60–80, 80–100 |
| Carbon source concentration (g/L) | 20, 30, 40, 50, 60, 70 |
| Type of nitrogen source | NA, NaNO3, (NH4)2SO4, tryptone, peptone, yeast extract powder, yeast extract, beef extract |
| Nitrogen source concentration (g/L) | 5, 10, 15, 20, 25 |
| Type of surfactant | NA, Tween-20, Tween-40, Tween-60, Tween-80, Triton X-100, Triton X-114, Glycerol |
| Surfactant concentration (g/L) | 0, 0.25, 0.5, 0.75, 1.0, 1.5, 2.0 |
| Initial pH | 4.0, 5.0, 6.0, 7.0, 8.0 |
| Fermentation temperature (°C) | 25, 30, 35, 40, 45, 50 |
| Fermentation time (d) | 1, 2, 3, 4, 5, 6, 7 |
| Shaking speed (rpm) | 120, 140, 160, 180, 200 |
| Inoculum size (spores/30 mL) | 1 × 104, 1 × 105, 1 × 106, 1 × 107, 1 × 108 |
| Liquid loading volume (mL/250 mL) | 15, 30, 45, 60, 75 |
| Run Order | X1 | X2 | X3 | X4 | X5 | X6 | X7 | X8 | Xylanase Activity (U/mL) | CI 95% | |
|---|---|---|---|---|---|---|---|---|---|---|---|
| Lower | Upper | ||||||||||
| 1 | 35(−1) | 5(−1) | 1(+1) | 7(+1) | 160(+1) | 30(−1) | 1.5 × 107(+1) | 1(−1) | 43.59 ± 1.68 gh | 39.43 | 47.75 |
| 2 | 45(+1) | 5 | 1 | 5(−1) | 160 | 50(+1) | 0.5 × 107(−1) | 1 | 43.91 ± 0.28 gh | 43.21 | 44.61 |
| 3 | 35 | 5 | 0.5(−1) | 5 | 120(−1) | 50 | 1.5 × 107 | 3(+1) | 41.83 ± 0.37 hi | 40.93 | 42.74 |
| 4 | 45 | 15(+1) | 0.5 | 5 | 160 | 30 | 1.5 × 107 | 1 | 52.73 ± 0.56 cd | 51.34 | 54.12 |
| 5 | 45 | 5 | 0.5 | 7 | 160 | 50 | 0.5 × 107 | 3 | 52.77 ± 1.21 cd | 49.77 | 55.78 |
| 6 | 35 | 15 | 1 | 5 | 160 | 50 | 1.5 × 107 | 3 | 41.42 ± 0.28 i | 40.72 | 42.12 |
| 7 | 45 | 15 | 0.5 | 7 | 120 | 50 | 1.5 × 107 | 1 | 54.76 ± 1.49 c | 51.05 | 58.47 |
| 8 | 45 | 5 | 1 | 7 | 120 | 30 | 1.5 × 107 | 3 | 46.82 ± 0.97 f | 44.41 | 49.23 |
| 9 | 45 | 15 | 1 | 5 | 120 | 30 | 0.5 × 107 | 3 | 49.73 ± 0.83 e | 47.67 | 51.79 |
| 10 | 35 | 15 | 0.5 | 7 | 160 | 30 | 0.5 × 107 | 3 | 52.59 ± 1.66 d | 48.45 | 56.73 |
| 11 | 35 | 15 | 1 | 7 | 120 | 50 | 0.5 × 107 | 1 | 48.99 ± 1.19 e | 46.03 | 51.95 |
| 12 | 35 | 5 | 0.5 | 5 | 120 | 30 | 0.5 × 107 | 1 | 45.34 ± 0.21f g | 44.83 | 45.86 |
| 13 | 40 | 10 | 0.75 | 6 | 140 | 40 | 1 × 107 | 2 | 88.36 ± 1.32 a | 85.08 | 91.65 |
| 14 | 40 | 10 | 0.75 | 6 | 140 | 40 | 1 × 107 | 2 | 81.44 ± 1.18 b | 78.49 | 84.39 |
| 15 | 40 | 10 | 0.75 | 6 | 140 | 40 | 1 × 107 | 2 | 81.42 ± 0.63 b | 79.86 | 82.97 |
| Code | Variable | Low Level (−1) | High Level (+1) | df | Adj SS | Adj MS | Effect (EXi) | F- Value | p- Value | Rank | Significance |
|---|---|---|---|---|---|---|---|---|---|---|---|
| Model | 9 | 3326.64 | 369.63 | 53.94 | 0.000 | ** | |||||
| X1 | Fermentation temperature (°C) | 35 | 45 | 1 | 60.56 | 60.56 | 4.493 | 8.84 | 0.031 | 1 | * |
| X2 | Tryptone concentration (g/L) | 5 | 15 | 1 | 56.08 | 56.08 | 4.324 | 8.18 | 0.035 | 2 | * |
| X3 | Tween-20 concentration (g/L) | 0.5 | 1 | 1 | 54.49 | 54.49 | −4.262 | 7.95 | 0.037 | 3 | * |
| X4 | Initial pH | 5 | 7 | 1 | 50.25 | 50.25 | 4.093 | 7.33 | 0.042 | 4 | * |
| X5 | Shaking speed (rpm) | 120 | 160 | 1 | 0.02 | 0.02 | −0.077 | 0.00 | 0.961 | 8 | |
| X6 | Corn husk concentration (g/L) | 30 | 50 | 1 | 4.21 | 4.21 | −1.185 | 0.61 | 0.469 | 6 | |
| X7 | Inoculum size (spores/30 mL) | 0.5 × 107 | 1.5 × 107 | 1 | 12.37 | 12.37 | −2.031 | 1.81 | 0.237 | 5 | |
| X8 | Fermentation time (d) | 1 | 3 | 1 | 1.44 | 1.44 | −0.692 | 0.21 | 0.666 | 7 | |
| Residual | 5 | 34.26 | 6.85 | ||||||||
| Lack of fit | 3 | 2.20 | 0.73 | ||||||||
| Pure error | 2 | 32.07 | 16.03 | ||||||||
| Cor total | 14 | 3360.91 | |||||||||
| R2 = 0.9898, R2adj = 0.9715, R2pre = 0.9681 | |||||||||||
| Run Order | Fermentation Temperature (°C) | Tryptone Concentration (g/L) | Tween-20 Concentration (g/L) | pH | Xylanase Activity (U/mL) | CI 95% | |
|---|---|---|---|---|---|---|---|
| Lower | Upper | ||||||
| 1 | 37 | 8 | 1 | 5.5 | 50.84 ± 0.55 c | 49.46 | 52.22 |
| 2 | 40 | 10 | 0.75 | 6 | 81.44 ± 0.73 b | 79.61 | 83.26 |
| 3 | 43 | 12 | 0.5 | 6.5 | 91.55 ± 0.73 a | 89.73 | 93.36 |
| 4 | 46 | 14 | 0.25 | 7 | 43.22 ± 0.55 e | 41.84 | 44.60 |
| 5 | 49 | 16 | 0 | 7.5 | 46.73 ± 0.62 d | 45.18 | 48.27 |
| Test Number | Fermentation Temperature (°C) | Tryptone Concentration (g/L) | Tween-20 Concentration (g/L) | Xylanase Activity (U/mL) | CI 95% | ||||
|---|---|---|---|---|---|---|---|---|---|
| A | Code A | B | Code B | C | Code C | Y | Lower | Upper | |
| 1 | 40 | −1 | 10 | −1 | 0.5 | 0 | 72.02 ± 0.86 g | 69.87 | 74.17 |
| 2 | 46 | 1 | 10 | −1 | 0.5 | 0 | 43.08 ± 0.28 j | 42.38 | 43.78 |
| 3 | 40 | −1 | 14 | 1 | 0.5 | 0 | 86.70 ± 0.91 f | 84.44 | 88.96 |
| 4 | 46 | 1 | 14 | 1 | 0.5 | 0 | 50.14 ± 0.37 i | 49.24 | 51.05 |
| 5 | 40 | −1 | 12 | 0 | 0.25 | −1 | 96.53 ± 2.54 d | 90.21 | 102.85 |
| 6 | 46 | 1 | 12 | 0 | 0.25 | −1 | 51.39 ± 1.32 hi | 48.11 | 54.67 |
| 7 | 40 | −1 | 12 | 0 | 0.75 | 1 | 96.39 ± 1.32 d | 93.12 | 99.68 |
| 8 | 46 | 1 | 12 | 0 | 0.75 | 1 | 53.24 ± 1.48 h | 49.55 | 56.91 |
| 9 | 43 | 0 | 10 | −1 | 0.25 | −1 | 96.67 ± 0.55 d | 95.30 | 98.04 |
| 10 | 43 | 0 | 14 | 1 | 0.25 | −1 | 108.63 ± 1.59 b | 104.68 | 112.58 |
| 11 | 43 | 0 | 10 | −1 | 0.75 | 1 | 89.56 ± 1.06 e | 86.93 | 92.20 |
| 12 | 43 | 0 | 14 | 1 | 0.75 | 1 | 113.61 ± 0.49 a | 112.40 | 114.82 |
| 13 | 43 | 0 | 12 | 0 | 0.5 | 0 | 96.07 ± 1.04 d | 93.49 | 98.66 |
| 14 | 43 | 0 | 12 | 0 | 0.5 | 0 | 111.16 ± 1.52 a | 107.39 | 114.94 |
| 15 | 43 | 0 | 12 | 0 | 0.5 | 0 | 103.59 ± 0.50 c | 102.36 | 104.84 |
| Source | Degree of Freedom | Sum of Aquares | Mean Aquare | F-Value | p-Value | Significant |
|---|---|---|---|---|---|---|
| Model | 9 | 8021.50 | 891.28 | 21.63 | 0.002 | ** |
| A: Fermentation temperature | 1 | 2956.89 | 2956.89 | 71.75 | 0.000 | ** |
| B: Tryptone concentration | 1 | 416.15 | 416.15 | 10.10 | 0.025 | * |
| C: Tween-20 concentration | 1 | 0.03 | 0.03 | 0.00 | 0.981 | |
| A2 | 1 | 4312.37 | 4312.37 | 104.64 | 0.000 | ** |
| B2 | 1 | 153.92 | 153.92 | 3.73 | 0.111 | |
| C2 | 1 | 90.28 | 90.28 | 2.19 | 0.199 | |
| AB | 1 | 14.50 | 14.50 | 0.35 | 0.579 | |
| AC | 1 | 0.98 | 0.98 | 0.02 | 0.883 | |
| BC | 1 | 36.29 | 36.29 | 0.88 | 0.391 | |
| Residual | 5 | 206.05 | 41.21 | |||
| Lack of fit | 3 | 92.14 | 30.71 | 0.54 | 0.701 | Not significant |
| Pure error | 2 | 113.91 | 56.96 | |||
| Cor total | 14 | 8227.56 | ||||
| R2 = 0.9750, R2adj = 0.9299 | ||||||
| Treatment | Reducing Sugar (%) | Cellulose (%) | Hemicellulose (%) | Acid-Soluble Lignin (%) | Acid-Insoluble Lignin (%) |
|---|---|---|---|---|---|
| Blank control | 0.58 ± 0.01 d | 35.28 ± 1.53 a | 10.62 ± 0.42 a | 16.89 ± 0.09 a | 5.61 ± 0.14 a |
| Xylanase 1500 U/g + Cellulase 7.3 U/g | 7.04 ± 0.05 c | 27.56 ± 2.68 b | 7.59 ± 0.68 b | 12.44 ± 1.20 b | 4.91 ± 0.19 b |
| Xylanase 930 U/g + Cellulase 8.3 U/g | 17.51 ± 0.05 b | 16.06 ± 0.21 c | 8.82 ± 1.40 ab | 8.20 ± 0.14 c | 4.70 ± 0.20 b |
| Xylanase 2430 U/g + Cellulase 15.7 U/g | 23.31 ± 0.52 a | 14.91 ± 0.01 c | 5.13 ± 0.02 c | 6.20 ± 0.08 d | 3.92 ± 0.32 c |
| Cellulase Activities (U/mL) | Xylanase Activity (U/mL) | Reducing Sugars (%) | Cellulose (%) | Hemicellulose (%) | Acid-Soluble Lignin (%) | Acid-Insoluble Lignin (%) | |
|---|---|---|---|---|---|---|---|
| Before fermentation | - | - | 14.68 ± 0.18 | 26.85 ± 5.48 | 6.51 ± 0.18 | 9.36 ± 0.28 | 5.12 ± 0.20 |
| After fermentation | 81.66 ± 3.34 | 37.80 ± 0.40 | 8.03 ± 0.16 | 5.72 ± 0.15 | 1.89 ± 0.12 | 2.36 ± 0.02 | 4.51 ± 0.13 |
Disclaimer/Publisher’s Note: The statements, opinions and data contained in all publications are solely those of the individual author(s) and contributor(s) and not of MDPI and/or the editor(s). MDPI and/or the editor(s) disclaim responsibility for any injury to people or property resulting from any ideas, methods, instructions or products referred to in the content. |
© 2026 by the authors. Licensee MDPI, Basel, Switzerland. This article is an open access article distributed under the terms and conditions of the Creative Commons Attribution (CC BY) license.
Share and Cite
Wang, T.; Ma, J.; Zhong, Y.; Liu, S.; Cui, W.; Liu, X.; Fan, G. Study of Fermentation Conditions Optimization for Xylanase Production by Aspergillus tubingensis FS7Y52 and Application in Agricultural Wastes Degradation. Foods 2026, 15, 399. https://doi.org/10.3390/foods15020399
Wang T, Ma J, Zhong Y, Liu S, Cui W, Liu X, Fan G. Study of Fermentation Conditions Optimization for Xylanase Production by Aspergillus tubingensis FS7Y52 and Application in Agricultural Wastes Degradation. Foods. 2026; 15(2):399. https://doi.org/10.3390/foods15020399
Chicago/Turabian StyleWang, Tianjiao, Jinghao Ma, Yujun Zhong, Shaokang Liu, Wenqi Cui, Xiaoyan Liu, and Guangsen Fan. 2026. "Study of Fermentation Conditions Optimization for Xylanase Production by Aspergillus tubingensis FS7Y52 and Application in Agricultural Wastes Degradation" Foods 15, no. 2: 399. https://doi.org/10.3390/foods15020399
APA StyleWang, T., Ma, J., Zhong, Y., Liu, S., Cui, W., Liu, X., & Fan, G. (2026). Study of Fermentation Conditions Optimization for Xylanase Production by Aspergillus tubingensis FS7Y52 and Application in Agricultural Wastes Degradation. Foods, 15(2), 399. https://doi.org/10.3390/foods15020399

