Recent Progress in Curcumin Extraction, Synthesis, and Applications: A Comprehensive Review
Abstract
1. Introduction
2. Production of Curcumin
3. Phytoextraction of Curcumin
3.1. Economic and Environmental Trade-Offs of Curcumin Extraction Methods
3.1.1. Cost Breakdown
3.1.2. Environmental Impact
3.1.3. Scalability
3.1.4. Industrial Case Studies
4. Chemical Synthesis of Curcumin
4.1. Quantitative Performance and Limitations
4.2. Critical Comparison with Other Routes
5. Microbial Biosynthesis of Curcumin
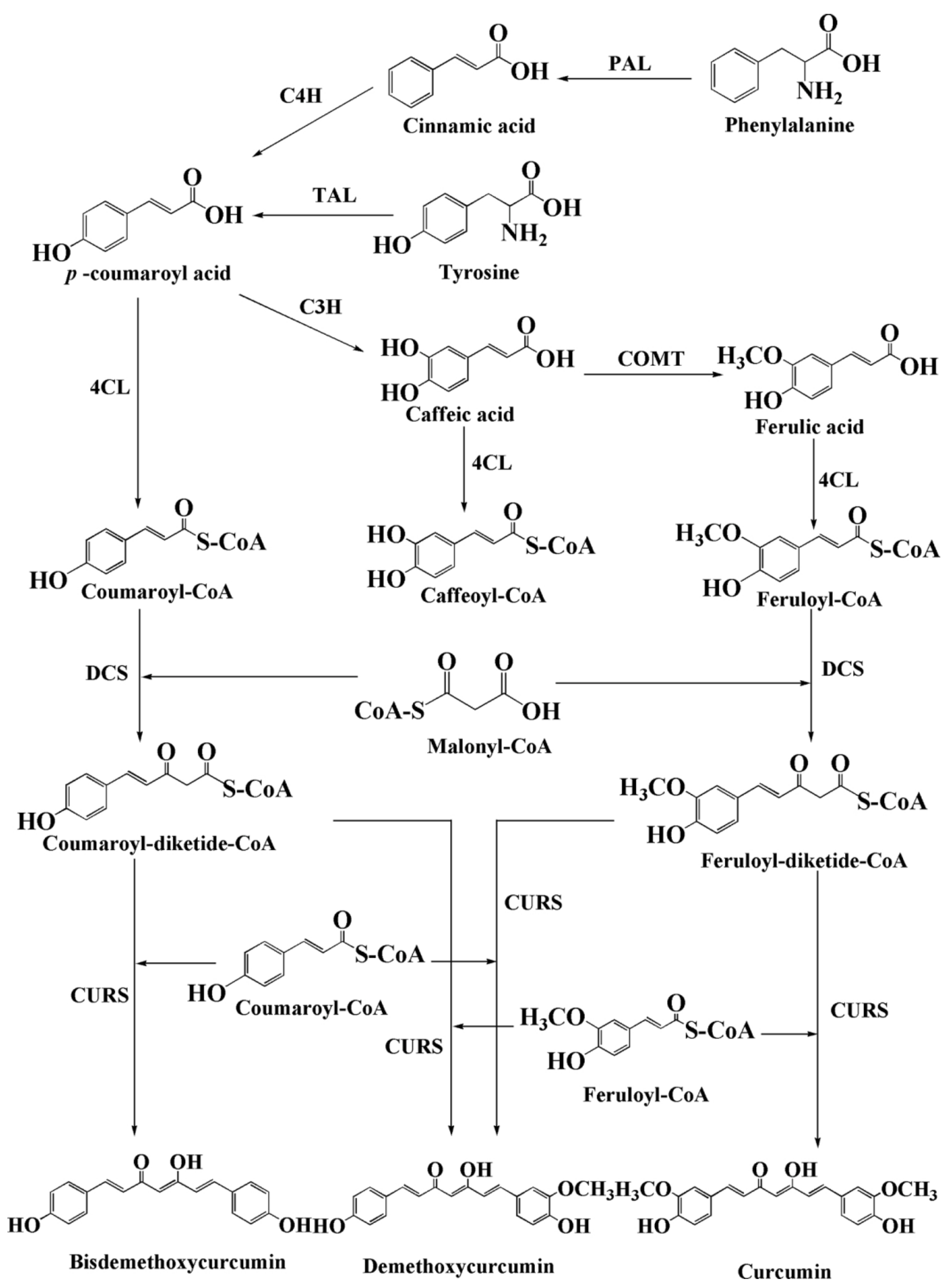
5.1. Biosynthesis Pathways of Curcumin
5.2. Microbial Hosts for Curcumin Production
| Host | Precursor | Key Enzymes or Genes | Yield (mg/L) | Ref. |
|---|---|---|---|---|
| Escherichia coli | Ferulic acid | AtCOMT, At4CL, ClDCS/ClCURS; CRISPR/Cas9 editing, pathway optimization. | 1400; Batch bioreactor (72 h) | [50] |
| Escherichia coli | Tyrosine | FjTAL, PaHpaB, SeHpaC, OsCOMT, At4CL, ClDCS/ClCURS; β-oxidation strategy to enhance Acetyl-CoA. | 1000.5; Fed-batch bioreactor (64 h) | [51] |
| Escherichia coli | Tyrosine | AtPAL, AtC4H, AtCPR2, FjTAL, PaHpaB, SeHpaC, OsCOMT, At4CL, ClDCS/ClCURS; optimization of fermentation conditions, response surface methodology. | 380; Fed-batch bioreactor (32 h) (Modular co-culture) | [52] |
| Escherichia coli | Glycerol | FjTAL, PaHpaB, SeHpaC, AtCOMT, ClDCS, ClCURS1, ΔcurA, ΔsrpB, ΔfadR; Six copy of AtCOMT, ClDCS, Module optimization (TAL/4CL, DCS/CURS). | 696.2; Fed-batch bioreactor (64 h) | [42] |
| Pseudomonas putida | p-coumaric acid | FjTAL, At4CL, PaHpaB, SeHpaC, OsCOMT, ClCUS | 2.15; Shake flask (24 h) (YPD) | [43] |
| Aspergillus oryzae | Feruloyl-N- acetylcysteine | At4CL/AtFCL, ClDCS/ClCURS; Curcumin Synthase Overexpression System. | 78.2; Fed-batch bioreactor (64 h) | [44] |
| Saccharomyces cerevisiae | Ferulic acid | AtCOMT, At4CL, ClDCS/ClCURS; ΔTRP2. Co-expression of 4CL1 with ClDCS & ClCURS1. | 250; Fed-batch bioreactor (65 h) | [53] |
| Saccharomyces cerevisiae | Glucose | FjTAL, PaHpaB, SeHpaC, AtCOMT, PpFerA, ClDCS, ClCURS1; two copy of PaHpaB, SeHpaC, AtCOMT. | 4,2; Shake flask (72 h) (YPD) | [54] |
| Yarrowia lipolytica | p-coumaric acid | AtCOMT, At4CL, ClCUS; ΔPOX1-6, ACC1 overexpression; At FAS inhibition. | 0.17; Shake flask (48 h) | [49] |
5.3. Key Advances and Limitations
6. Application of Curcumin
6.1. Applications of Curcumin in the Food Industry
6.2. Application of Curcumin in Feed Industry
6.3. Application of Curcumin in Medical Industry
6.4. Application of Curcumin in Cosmetics
6.5. Bioavailability Enhancement Strategies: Clinical Evidence and Commercial Formulations
7. Conclusions and Perspectives
7.1. Limitations of the Study
7.2. Conclusions
7.3. Perspectives
Author Contributions
Funding
Institutional Review Board Statement
Informed Consent Statement
Data Availability Statement
Conflicts of Interest
References
- Shahrajabian, M.; Sun, W. The golden spice for life: Turmeric with the pharmacological benefits of curcuminoids components, including curcumin, bisdemethoxycurcumin, and demethoxycurcumins. Curr. Org. Synth. 2024, 21, 665–683. [Google Scholar] [CrossRef] [PubMed]
- Ayub, H.; Islam, M.; Saeed, M.; Ahmad, H.; Al-Asmari, F.; Ramadan, M.; Alissa, M.; Arif, M.; Rana, M.; Subtain, M.; et al. On the health effects of curcumin and its derivatives. Food Sci. Nutr. 2024, 12, 8623–8650. [Google Scholar] [CrossRef] [PubMed]
- Bertoncini-Silva, C.; Vlad, A.; Ricciarelli, R.; Fassini, P.; Suen, V.; Zingg, J. Enhancing the bioavailability and bioactivity of curcumin for disease prevention and treatment. Antioxidants 2024, 13, 331. [Google Scholar] [CrossRef] [PubMed]
- Salamat, Q.; Soylak, M. Novel reusable and switchable deep eutectic solvent for extraction and determination of curcumin in water and food samples. Talanta 2024, 269, 125401. [Google Scholar] [CrossRef]
- Shah, U.; Patel, D.; Dalsania, D.; Patel, M.; Patel, M.; Patel, A.; Solanki, N.; Patel, S.; Patel, S. Review on analytical methodologies, chemical and therapeutic perspectives of curcumin: A ubiquitous natural molecule. Curr. Pharm. Anal. 2022, 18, 777–794. [Google Scholar] [CrossRef]
- Pulido-Moran, M.; Moreno-Fernandez, J.; Ramirez-Tortosa, C.; Ramirez-Tortosa, M. Curcumin and health. Molecules 2016, 21, 264. [Google Scholar] [CrossRef]
- Kaur, K.; Al-Khazaleh, A.; Bhuyan, D.; Li, F.; Li, C. A review of recent curcumin analogues and their antioxidant, anti-inflammatory, and anticancer activities. Antioxidants 2024, 13, 1092. [Google Scholar] [CrossRef]
- Memarzia, A.; Khazdair, M.; Behrouz, S.; Gholamnezhad, Z.; Jafarnezhad, M.; Saadat, S.; Boskabady, M. Experimental and clinical reports on anti-inflammatory, antioxidant, and immunomodulatory effects of curcuma longa and curcumin, an updated and comprehensive review. Biofactors 2021, 47, 311–350. [Google Scholar] [CrossRef]
- Grand View Research. Curcumin Market Size Report. 2025. Available online: https://www.marketresearchfuture.com/reports/curcumin-market-7823?utm_term=&utm_campaign=&utm_source=adwords&utm_medium=ppc&hsa_acc=2893753364&hsa_cam=23142125489&hsa_grp=190076755194&hsa_ad=779362054039&hsa_src=g&hsa_tgt=dsa-2446538926970&hsa_kw=&hsa_mt=&hsa_net=adwords&hsa_ver=3&gad_source=1&gad_campaignid=23142125489&gclid=EAIaIQobChMIz9OqlOOUkgMVcCiDAx2UogpMEAAYAiAAEgJ95fD_BwE (accessed on 20 December 2025).
- IMARC Group. Curcumin Market Size, Share, Trends and Forecast by Application and Region, 2025–2033. Available online: https://www.imarcgroup.com/curcumin-market (accessed on 15 March 2024).
- Statista: China Curcumin Industry Report, 2024. Available online: https://www.statista.com/statistics/1385764/china-curcumin-market-size-by-product-grade/ (accessed on 15 March 2024).
- Hassanzadeh, K.; Buccarello, L.; Dragotto, J.; Mohammadi, A.; Corbo, M.; Feligioni, M. Obstacles against the marketing of curcumin as a drug. Int. J. Mol. Sci. 2020, 21, 6619. [Google Scholar] [CrossRef]
- Jiang, T.; Ghosh, R.; Charcosset, C. Extraction, purification and applications of curcumin from plant materials-a comprehensive review. Trends Food Sci. Technol. 2021, 112, 419–430. [Google Scholar] [CrossRef]
- Nisoa, M.; Kaewpradit, S.; Nahar, L.; Sarker, S.; Charoensup, R.; Puttarak, P.; Yusakul, G. Extraction of curcumin and curcuminoids: From conventional methods to innovative extraction using deep eutectic solvents. Microchem. J. 2025, 215, 114269. [Google Scholar] [CrossRef]
- Manasa, P.; Kamble, A.; Chilakamarthi, U. Various extraction techniques of curcumin? A comprehensive review. ACS Omega 2023, 8, 34868–34878. [Google Scholar] [CrossRef] [PubMed]
- Suksaeree, J.; Monton, C. Maximizing curcuminoid extraction from curcuma aromatica salisb. Rhizomes via environmentally friendly microwave-assisted extraction technique using full factorial design. Int. J. Food Sci. 2024, 2024, 4566123. [Google Scholar] [CrossRef] [PubMed]
- Doldolova, K.; Bener, M.; Lalikoglu, M.; Asçi, Y.; Arat, R.; Apak, R. Optimization and modeling of microwave-assisted extraction of curcumin and antioxidant compounds from turmeric by using natural deep eutectic solvents. Food Chem. 2021, 353, 129337. [Google Scholar] [CrossRef]
- Shekaari, H.; Zafarani-Moattar, M.; Mokhtarpour, M. Effective ultrasonic-assisted extraction and solubilization of curcuminoids from turmeric by using natural deep eutectic solvents and imidazolium-based ionic liquids. J. Mol. Liq. 2022, 360, 119351. [Google Scholar] [CrossRef]
- Wang, C.; Yang, H.; Li, J. Combination of microwave, ultrasonic, enzyme assisted method for curcumin species extraction from turmeric (curcuma longa l.) and evaluation of their antioxidant activity. eFood 2021, 2, 73–80. [Google Scholar] [CrossRef]
- Li, D.; Qin, Y.; Li, J.; Mahmood, S.; Shi, J.; Cao, Y.; Yao, S. Strengthened effect of surface-active ionic liquids on curcumin solubility and extraction performance of curcuminoids. Separations 2025, 12, 29. [Google Scholar] [CrossRef]
- Cerro, D.; Torres, A.; Romero, J.; Streitt, C.; Rojas, A.; Matiacevich, S.; Machuca, S. Supercritical fluid extraction of emulsion-assisted encapsulation of hypocholesterolemic bioactive compounds. J. Supercrit. Fluids 2024, 211, 106306. [Google Scholar] [CrossRef]
- Torquato, I.; Corrales, A.; Mussagy, C.; Pereira, J.; Lopes, A. Revolutionizing curcumin extraction: New insights from non-conventional methods-a comparative analysis of the last decade. J. Sep. Sci. 2025, 48, e70198. [Google Scholar] [CrossRef]
- Xu, G.; Hao, C.; Tian, S.; Gao, F.; Sun, W.; Sun, R. A method for the preparation of curcumin by ultrasonic-assisted ammonium sulfate/ethanol aqueous two phase extraction. J. Chromatogr. B 2017, 1041, 167–174. [Google Scholar] [CrossRef]
- Yaman, M.; Arslan, S.; Gençay, G.; Nemli, E.; Peker, M.; Sen, F.; Capanoglu, E.; Bener, M.; Apak, R. Optimization and modeling of ultrasound- and microwave-assisted extraction of turmeric to efficiently recover curcumin and phenolic antioxidants followed by food enrichment to enhance health-promoting effects. Food Sci. Nutr. 2025, 13, e70093. [Google Scholar] [CrossRef] [PubMed]
- Streimikyte, P.; Viskelis, P.; Viskelis, J. Enzymes-assisted extraction of plants for sustainable and functional applications. Int. J. Mol. Sci. 2022, 23, 2359. [Google Scholar] [CrossRef] [PubMed]
- Ablak, Ö.; Altunay, N. Investigation of different solvents for selective, safe and rapid extraction of curcumin from various food and herbal supplement products: Multivariate strategy and assessment of green profile. Microchem J. 2024, 200, 110366. [Google Scholar] [CrossRef]
- Vardhini, N.; Punia, J.; Jat, S.; Devi, N.; Radhakrishnanand, P.; Murty, U.; Saini, A.; Sethi, K.; Kumar, P. Purification and characterization of pure curcumin, desmethoxycurcumin, and bisdemethoxycurcumin from north-east india lakadong turmeric. J. Chromatogr. A 2023, 1708, 464358. [Google Scholar] [CrossRef]
- Arora, A.; Kumar, S.; Kumar, S.; Kumar, R.; Prasad, A. Chemical features and therapeutic applications of curcumin (a review). Russ. J. Gen. Chem. 2022, 92, 1785–1805. [Google Scholar] [CrossRef]
- Miller, J.; Strickler, B.; Abboud, K.; Boncella, J.; Richardson, D. Synthesis, characterization, and structure of novel borane- and borate-containing ruthenocenes. Organometallics 1997, 16, 1628–1634. [Google Scholar] [CrossRef]
- Yeung, A.; Horbanczuk, M.; Tzvetkov, N.; Mocan, A.; Carradori, S.; Maggi, F.; Marchewka, J.; Sut, S.; Dall’Acqua, S.; Gan, R.; et al. Curcumin: Total-scale analysis of the scientific literature. Molecules 2019, 24, 1393. [Google Scholar] [CrossRef]
- Prasad, S.; Gupta, S.; Tyagi, A.; Aggarwal, B. Curcumin, a component of golden spice: From bedside to bench and back. Biotechnol. Adv. 2014, 32, 1053–1064. [Google Scholar] [CrossRef]
- Nitu, C.; Mernea, M.; Vlasceanu, R.; Voicu-Balasea, B.; Badea, M.; Raduly, F.; Raditoiu, V.; Raditoiu, A.; Avram, S.; Mihailescu, D.; et al. Biomedical promise of sustainable microwave-engineered symmetric curcumin derivatives. Pharmaceutics 2024, 16, 205. [Google Scholar] [CrossRef]
- Nurjanah, N.; Saepudin, E. Curcumin isolation, synthesis and characterization of curcumin isoxazole derivative compound. In Proceedings of the 4th International Symposium on Current Progress in Mathematics and Sciences (ISCPMS), Jawa Barat, Indonesia, 30–31 October 2018. [Google Scholar]
- Nguyen, V.; Hoang, H. Principal component analysis based solvent map for optimisation of rate and yield of curcumin synthesis. Egypt. J. Chem. 2021, 64, 693–702. [Google Scholar] [CrossRef]
- Li, Y.; Qaria, M.; Sivasamy, S.; Sun, J.; Zhu, D. Curcumin production and bioavailability: A comprehensive review of curcumin extraction, synthesis, biotransformation and delivery systems. Ind. Crop. Prod. 2021, 172, 20. [Google Scholar] [CrossRef]
- Giacalone, D.; Jaeger, S. Consumer acceptance of novel sustainable food technologies: A multi-country survey. J. Clean Prod. 2023, 408, 137119. [Google Scholar] [CrossRef]
- Contreras-Salgado, E.; Sánchez-Morán, A.; Rodríguez-Preciado, S.; Sifuentes-Franco, S.; Rodríguez-Rodríguez, R.; Macías-Barragán, J.; Díaz-Zaragoza, M. Multifaceted applications of synthetic microbial communities: Advances in biomedicine, bioremediation, and industry. Microbiol. Res. 2024, 15, 1709–1727. [Google Scholar] [CrossRef]
- Katsuyama, Y.; Kita, T.; Funa, N.; Horinouchi, S. Curcuminoid biosynthesis by two type iii polyketide synthases in the herb curcuma longa. J. Biol. Chem. 2009, 284, 11160–11170. [Google Scholar] [CrossRef]
- Katsuyama, Y.; Hirose, Y.; Funa, N.; Ohnishi, Y.; Horinouchi, S. Precursor-directed biosynthesis of curcumin analogs in Escherichia coli. Biosci. Biotechnol. Biochem. 2010, 74, 641–645. [Google Scholar] [CrossRef]
- Lazewski, D.; Kucinska, M.; Potapskiy, E.; Kuzminska, J.; Popenda, L.; Tezyk, A.; Goslinski, T.; Wierzchowski, M.; Murias, M. Enhanced cytotoxic activity of pegylated curcumin derivatives: Synthesis, structure-activity evaluation, and biological activity. Int. J. Mol. Sci. 2023, 24, 1467. [Google Scholar] [CrossRef]
- Katsuyama, Y.; Matsuzawa, M.; Funa, N.; Horinouch, S. Production of curcuminoids by Escherichia coli carrying an artificial biosynthesis pathway. Microbiology 2008, 154, 2620–2628. [Google Scholar] [CrossRef]
- Chen, J.; Wang, W.; Wang, L.; Wang, H.; Hu, M.; Zhou, J.; Du, G.; Zeng, W. Efficient de novo biosynthesis of curcumin in Escherichia coli by optimizing pathway modules and increasing the malonyl-coa supply. J. Agric. Food Chem. 2023, 72, 566–576. [Google Scholar] [CrossRef]
- Utomo, J.; Barrell, H.; Kumar, R.; Smith, J.; Brant, M.; Siegler, H.; Ro, D. Reconstructing curcumin biosynthesis in yeast reveals the implication of caffeoyl-shikimate esterase in phenylpropanoid metabolic flux. Metab. Eng. 2024, 82, 286–296. [Google Scholar] [CrossRef]
- Chen, R.; Wei, Q.; Liu, Y.; Wei, X.; Chen, X.; Yin, X.; Xie, T. Transcriptome sequencing and functional characterization of new sesquiterpene synthases from curcuma wenyujin. Arch. Biochem. Biophys. 2021, 709, 108986. [Google Scholar] [CrossRef]
- Incha, M.; Thompson, M.; Blake-Hedges, J.; Liu, Y.; Pearson, A.; Schmidt, M.; Gin, J.; Petzold, C.; Deutschbauer, A.; Keasling, J. Leveraging host metabolism for bisdemethoxycurcumin production in Pseudomonas putida. Metab. Eng. Commun. 2020, 10, e00119. [Google Scholar] [CrossRef] [PubMed]
- Kan, E.; Katsuyama, Y.; Maruyama, J.; Tamano, K.; Koyama, Y.; Ohnishi, Y. Production of the plant polyketide curcumin in Aspergillus oryzae: Strengthening malonyl-coa supply for yield improvement. Biosci. Biotechnol. Biochem. 2019, 83, 1372–1381. [Google Scholar] [CrossRef] [PubMed]
- Rainha, J.; Rodrigues, J.; Faria, C.; Rodrigues, L. Curcumin biosynthesis from ferulic acid by engineered Saccharomyces cerevisiae. Biotechnol. J. 2022, 17, 2100400. [Google Scholar] [CrossRef] [PubMed]
- Li, S.; Zhang, Q.; Wang, J.; Liu, Y.; Zhao, Y.; Deng, Y. Recent progress in metabolic engineering of Saccharomyces cerevisiae for the production of malonyl-coa derivatives. J. Biotechnol. 2021, 325, 83–90. [Google Scholar] [CrossRef]
- Palmer, C.; Miller, K.; Nguyen, A.; Alper, H. Engineering 4-coumaroyl-coa derived polyketide production in Yarrowia lipolytica through a β-oxidation mediated strategy. Metab. Eng. 2020, 57, 174–181. [Google Scholar] [CrossRef]
- Qiu, D.; Ding, H.; Zhou, C.; Hou, Z.; Zhang, G. Ferulic acid production in Escherichia coli by engineering caffeic acid o-methyltransferase. Int. J. Biol. Macromol. 2025, 306, 141764. [Google Scholar] [CrossRef]
- Effendi, S.; Ng, I. Challenges and opportunities for engineered Escherichia coli as a pivotal chassis toward versatile tyrosine-derived chemicals production. Biotechnol. Adv. 2023, 69, 108270. [Google Scholar] [CrossRef]
- Won, J.; Lee, B.; Park, B.; Ahn, J.; Hwang, B.; Jang, J.; Hong, Y. De novo artificial biosynthesis of 3-hydroxyphloretin in Escherichia coli. J. Agric. Food Chem. 2025, 73, 11180–11190. [Google Scholar] [CrossRef]
- Rodrigues, J.; Gomes, D.; Rodrigues, L. A combinatorial approach to optimize the production of curcuminoids from tyrosine in Escherichia coli. Front. Bioeng. Biotechnol. 2020, 8, 59. [Google Scholar] [CrossRef]
- Rainha, J.; Rodrigues, J.; Rodrigues, L. De novo biosynthesis of curcumin in Saccharomyces cerevisiae. ACS Synth. Biol. 2024, 13, 1727–1736. [Google Scholar] [CrossRef]
- Lv, H.; Zhang, Y.; Shao, J.; Liu, H.; Wang, Y. Ferulic acid production by metabolically engineered Escherichia coli. Bioresour. Bioprocess. 2021, 8, 70. [Google Scholar] [CrossRef] [PubMed]
- Couto, M.; Rodrigue, J.; Rodrigues, L. Optimization of fermentation conditions for the production of curcumin by engineered Escherichia coli. J. R. Soc. Interface 2017, 14, 137119. [Google Scholar]
- Wang, K.; Shi, T.; Lin, L.; Wei, P.; Ledesma-Amaro, R.; Ji, X.; Huang, H. Advances in synthetic biology tools paving the way for the biomanufacturing of unusual fatty acids using the Yarrowia lipolytica chassis. Biotechnol. Adv. 2022, 59, 107984. [Google Scholar] [CrossRef] [PubMed]
- Hu, Y.; Cheng, L.; Du, S.; Wang, K.; Liu, S. Antioxidant curcumin induces oxidative stress to kill tumor cells (review). Oncol. Lett. 2024, 27, 67. [Google Scholar] [CrossRef]
- Dutta, D.; Pajaniradje, S.; Nair, A.; Chandramohan, S.; Bhat, S.; Manikandan, E.; Rajagopalan, R. An in-vitro study of active targeting & anti-cancer effect of folic acid conjugated chitosan encapsulated indole curcumin analogue nanoparticles. Int. J. Biol. Macromol. 2024, 282, 136990. [Google Scholar]
- Golipour, H.; Ezzatzadeh, E.; Sadeghianmaryan, A. The fabrication and characterization of a novel antibacterial curcumin and tio2 loaded gelatin/silk fibroin: Polycaprolactone scaffolds for skin tissue engineering. Int. J. Polym. Mater. Polym. Biomat. 2024, 73, 974–986. [Google Scholar] [CrossRef]
- Fontana, F.; Molinaro, G.; Moroni, S.; Pallozzi, G.; Ferreira, M.; Tello, R.; Elbadri, K.; Torrieri, G.; Correia, A.; Kemell, M.; et al. Biomimetic platelet-cloaked nanoparticles for the delivery of anti-inflammatory curcumin in the treatment of atherosclerosis. Adv. Healthc. Mater. 2024, 13, e2302074. [Google Scholar] [CrossRef]
- Gong, Y.; Wang, P.; Cao, R.; Wu, J.; Ji, H.; Wang, M.; Hu, C.; Huang, P.; Wang, X. Exudate absorbing and antimicrobial hydrogel integrated with multifunctional curcumin-loaded magnesium polyphenol network for facilitating burn wound healing. ACS Nano 2023, 17, 22355–22370. [Google Scholar] [CrossRef]
- Rubab, S.; Naeem, K.; Rana, I.; Khan, N.; Afridi, M.; Ullah, I.; Shah, F.; Sarwar, S.; Din, F.; Choi, H.; et al. Enhanced neuroprotective antidepressant activity of curcumin-loaded nanostructured lipid carriers in lipopolysaccharide-induced depression anxiety rat model. Int. J. Pharm. 2021, 603, 120670. [Google Scholar] [CrossRef]
- Chopra, H.; Dey, P.; Das, D.; Bhattacharya, T.; Shah, M.; Mubin, S.; Maishu, S.; Akter, R.; Rahman, M.; Karthika, C.; et al. Curcumin nanoparticles as promising therapeutic agents for drug targets. Molecules 2021, 26, 4998. [Google Scholar] [CrossRef]
- Othman, S.; Alfassam, H.; Alqhtani, H.; Shemy, M.; Allam, A.; Abukhadra, M. Characterization of green zno supported curcumin intercalated bentonite (zno@cu/ben) as environmental catalysts for effective oxidation of 5-fluorouracil residuals: Pathway and toxicity. J. Inorg. Organomet. Polym. Mater. 2024, 34, 4116–4132. [Google Scholar] [CrossRef]
- Li, Q.; Yuan, D.; Niu, Z.; Zhang, Q.; Zhao, Q.; Zhao, M.; Zhou, F. Ph-driven formation of nano spi-based ternary complex towards co-delivery of curcumin and zn at different ratios with synergistic neuroprotective activity. Food Biosci. 2024, 59, 103957. [Google Scholar] [CrossRef]
- Gomez-Estaca, J.; Balaguer, M.; Gavara, R.; Hernandez-Munoz, P. Formation of zein nanoparticles by electrohydrodynamic atomization: Effect of the main processing variables and suitability for encapsulating the food coloring and active ingredient curcumin. Food Hydrocoll. 2012, 28, 82–91. [Google Scholar] [CrossRef]
- Zhou, Z.; Wang, S.; Fan, P.; Meng, X.; Cai, X.; Wang, W.; Ma, L.; Ma, H.; Su, J. Borneol serves as an adjuvant agent to promote the cellular uptake of curcumin for enhancing its photodynamic fungicidal efficacy against candida albicans. J. Photochem. Photobiol. B-Biol. 2024, 253, 112875. [Google Scholar] [CrossRef] [PubMed]
- Jastaniah, S.; Mansour, A.; Al-Tarawni, A.; El-Haroun, E.; Munir, M.; Saghir, S.; Kari, Z.; Tellez-Isaias, G.; Bottje, W.; AL-Farga, A.; et al. The effects of nano-curcumin on growth performance, feed utilization, blood biochemistry, disease resistance, and gene expression in european seabass (Dicentrarchus labrax) fingerlings. Aquacult. Rep. 2024, 36, 102034. [Google Scholar] [CrossRef]
- Yan, E.; Zhang, J.; Han, H.; Wu, J.; Gan, Z.; Wei, C.; Zhang, L.; Wang, C.; Wang, T. Curcumin alleviates iugr jejunum damage by increasing antioxidant capacity through nrf2/keap1 pathway in growing pigs. Animals 2020, 10, 41. [Google Scholar] [CrossRef] [PubMed]
- Lee, S.H.; Lillehoj, H.S.; Jang, S.I.; Lillehoj, E.P.; Min, W.; Bravo, D.M. Dietary supplementation of young broiler chickens with Capsicum and turmeric oleoresins increases resistance to necrotic enteritis. Brit. J. Nutr. 2013, 110, 840–847. [Google Scholar] [CrossRef]
- Wei, Y.; Xu, S.; Wu, Z.; Zhang, M.; Bao, M.; He, B. Exploring the causal relationships between type 2 diabetes and neurological disorders using a mendelian randomization strategy. Medicine 2024, 103, e40412. [Google Scholar] [CrossRef]
- Kisu, I.; Banno, K.; Matoba, Y.; Yamada, Y.; Emoto, K.; Masugi, Y.; Matsubara, K.; Obara, H.; Aoki, D. Keio uterus transplantation research: From basic research toward future clinical application. Keio J. Med. 2022, 71, 33–43. [Google Scholar] [CrossRef]
- Zhao, P.; Wu, P.; Liu, Y.; Ren, H.; Jin, X.; Shi, H.; Feng, L.; Zhou, X. New perspectives on the mechanism of curcumin in the gill mucosal immune barrier damaged by ochratoxin a in juvenile grass carp (Ctenopharyngodon idella). Aquaculture 2024, 583, 740629. [Google Scholar] [CrossRef]
- Coradini, K.; Lima, F.O.; Oliveira, C.M.; Chaves, P.S.; Athayde, M.L.; Carvalho, L.M.; Beck, R.C.R. Co-encapsulation of resveratrol and curcumin in lipid-core nanocapsules improves their in vitro antioxidant effects. Eur. J. Pharm. Biopharm. 2014, 88, 178–185. [Google Scholar] [CrossRef]
- Liu, C.-H.; Huang, H.-Y. In vitro anti-propionibacterium activity by curcumin containing vesicle system. Chem. Pharm. Bull. 2013, 61, 419–425. [Google Scholar] [CrossRef]
- Fífa, K.; Helga, O.; Valgardur, S.; Thorsteinn, L. Drug targeting to the hair follicles: A cyclodextrin-based drug delivery. Aaps Pharmscitech 2009, 10, 266–269. [Google Scholar] [CrossRef]
- Stohs, S.; Ji, J.; Bucci, L.; Preuss, H. A comparative pharmacokinetic assessment of a novel highly bioavailable curcumin formulation with 95% curcumin: A randomized, double-blind, crossover study. J. Am. Coll. Nutr. 2018, 37, 51–59. [Google Scholar] [CrossRef]
- Hegde, M.; Girisa, S.; BharathwajChetty, B.; Vishwa, R.; Kunnumakkara, A. Curcumin formulations for better bioavailability: What we learned from clinical trials thus far? ACS Omega 2023, 8, 10713–10746. [Google Scholar] [CrossRef]
- Kanai, M.; Otsuka, Y.; Otsuka, K.; Sato, M.; Nishimura, T.; Mori, Y.; Kawaguchi, M.; Hatano, E.; Kodama, Y.; Matsumoto, S.; et al. A phase i study investigating the safety and pharmacokinetics of highly bioavailable curcumin (theracurmina®) in cancer patients. Cancer Chemother. Pharmacol. 2013, 71, 1521–1530. [Google Scholar] [CrossRef]
- Wang, Y.; Liang, L.; Zhao, Y. Curcumin delivery systems: How far from clinical application in tumor therapy? Nat. Prod. Commun. 2024, 19, 13. [Google Scholar] [CrossRef]






| Extraction Method | Extraction Rate % (%, Mean ± SD, n) | Temperature Range (°C) | Solvent System | E-Factor 1 | Atom Economy (%) | Advantages | Disadvantages | Ref. |
|---|---|---|---|---|---|---|---|---|
| Solvent extraction (maceration) | 2.68 ± 0.88, n = 5 | 25–30 | Ethanol: water (70:30, v/v) | 120 ± 15 | 65 ± 5 | Simple operation; low equipment cost; controllable conditions | Low yield; long extraction time (24–48 h); heat-sensitive curcumin degradation; difficult solvent removal | [4,13,15] |
| Microwave-assisted extraction | 3.00 ± 0.99, n = 6 | 40–60 | Ethanol: water (80:20, v/v) | 85 ± 10 | 72 ± 4 | High yield; short extraction time (10–20 min); low solvent consumption (10–15 mL/g feedstock) | High equipment cost; localized overheating (risk of curcumin degradation); energy-intensive | [16,17] |
| Ultrasonic-assisted extraction | 2.81 ± 0.89, n = 7 | 20–40 | Ethanol: water (75:25, v/v) | 78 ± 8 | 75 ± 3 | Low temperature (preserves heat-sensitive curcuminoids); improved yield; simple operation | High equipment cost; low scalability for batch production; uneven sonication | [18] |
| Enzyme extraction | 4.66 ± 1.15, n = 4 | 35–45 | Water (pH 5.5–6.0) | 62 ± 7 | 80 ± 4 | Highest yield; low solvent use (5–8 mL/g feedstock); mild conditions | Strict enzyme stability requirements (pH, temperature); long reaction time (12–18 h); high enzyme cost | [19] |
| Ionic liquid extraction | 5.72 ± 0.84, n = 3 | 30–50 | [BMIM][BF4]:water (1:1, v/v) | 45 ± 6 | 85 ± 3 | Green solvent; high stability; short extraction time (30–60 min) | High ionic liquid cost; high viscosity (hinders mass transfer); complex solvent recovery | [20] |
| Supercritical fluid extraction (SFE-CO2) | 2.88 ± 0.92, n = 5 | 40–60 (pressure: 30–40 MPa) | CO2 + ethanol (5–10% co-solvent) | 38 ± 5 | 90 ± 2 | Solvent-free (no residue); high purity; eco-friendly | High equipment cost; limited batch scalability; high energy consumption for pressure maintenance | [21] |
| Activity | Mechanisms | Associated Diseases | Ref. |
|---|---|---|---|
| Antioxidant | Hinders the production of free radicals | Oxidative stress-related disorders | [58] |
| Anti-cancer | Induces apoptosis, inhibits metastasis and invasion through multiple molecular targets | Lung, breast, pancreatic, colon, prostate cancers | [59] |
| Antibacterial | Inhibits foodborne pathogenic and spoilage bacteria | Bacterial infections | [60] |
| Antiviral. | Inhibits viral gene expression and replication; degrades the ubiquitin-proteasome system | Viral infections | [60] |
| Anti-inflammatory | Inhibits inflammatory mediators and transcription factors | Arthritis, inflammatory bowel disease | [61] |
| Trauma healing | Reverses damage to gastric epithelial cells via re-epithelialisation | Gastric injuries | [62] |
| Antidepressant activity | Increases dopamine levels in the frontal cortex and striatum | Depression | [63] |
| Antiprotozoal activity | Inhibits thioredoxin reductase and reduces | protozoan proliferation | [64] |
| Antidiabetic activity | Exerts hypoglycaemic activity | Diabetes | [65] |
| Anti-AIDS | Inhibits HIV replication and HIV protease activity | HIV/AIDS | [31] |
| Anti-ischemic activity | Prevents edema and maintains blood–brain barrier integrity | Ischemic injury | [25] |
| Neuroprotective | Improves memory capacity in Alzheimer’s disease models | Alzheimer’s disease, Neurodegeneration | [66] |
Disclaimer/Publisher’s Note: The statements, opinions and data contained in all publications are solely those of the individual author(s) and contributor(s) and not of MDPI and/or the editor(s). MDPI and/or the editor(s) disclaim responsibility for any injury to people or property resulting from any ideas, methods, instructions or products referred to in the content. |
© 2026 by the authors. Licensee MDPI, Basel, Switzerland. This article is an open access article distributed under the terms and conditions of the Creative Commons Attribution (CC BY) license.
Share and Cite
Meng, Q.; Xiao, F.; Jiang, D.; Jiang, W.; Lin, W.; Gan, H.; Ye, T.; Jiang, J.; Lu, L. Recent Progress in Curcumin Extraction, Synthesis, and Applications: A Comprehensive Review. Foods 2026, 15, 354. https://doi.org/10.3390/foods15020354
Meng Q, Xiao F, Jiang D, Jiang W, Lin W, Gan H, Ye T, Jiang J, Lu L. Recent Progress in Curcumin Extraction, Synthesis, and Applications: A Comprehensive Review. Foods. 2026; 15(2):354. https://doi.org/10.3390/foods15020354
Chicago/Turabian StyleMeng, Qirui, Feng Xiao, Dahai Jiang, Wenxuan Jiang, Wenze Lin, Huiliang Gan, Tong Ye, Jianchun Jiang, and Liming Lu. 2026. "Recent Progress in Curcumin Extraction, Synthesis, and Applications: A Comprehensive Review" Foods 15, no. 2: 354. https://doi.org/10.3390/foods15020354
APA StyleMeng, Q., Xiao, F., Jiang, D., Jiang, W., Lin, W., Gan, H., Ye, T., Jiang, J., & Lu, L. (2026). Recent Progress in Curcumin Extraction, Synthesis, and Applications: A Comprehensive Review. Foods, 15(2), 354. https://doi.org/10.3390/foods15020354

