Multidimensional Analysis Reveals the Flavor Quality Formation Mechanism During the Primary Pile Fermentation of Dark Tea
Abstract
1. Introduction
2. Materials and Methods
2.1. Chemicals and Reagents
2.2. Sample Preparation
2.3. Physicochemical Component Analysis
2.4. Enzyme Activity Determination
2.5. Sample Extraction
2.6. GC-MS Analysis
2.7. Data Processing and Statistical Analysis
3. Results and Discussion
3.1. Changes in Major Chemical Constituents
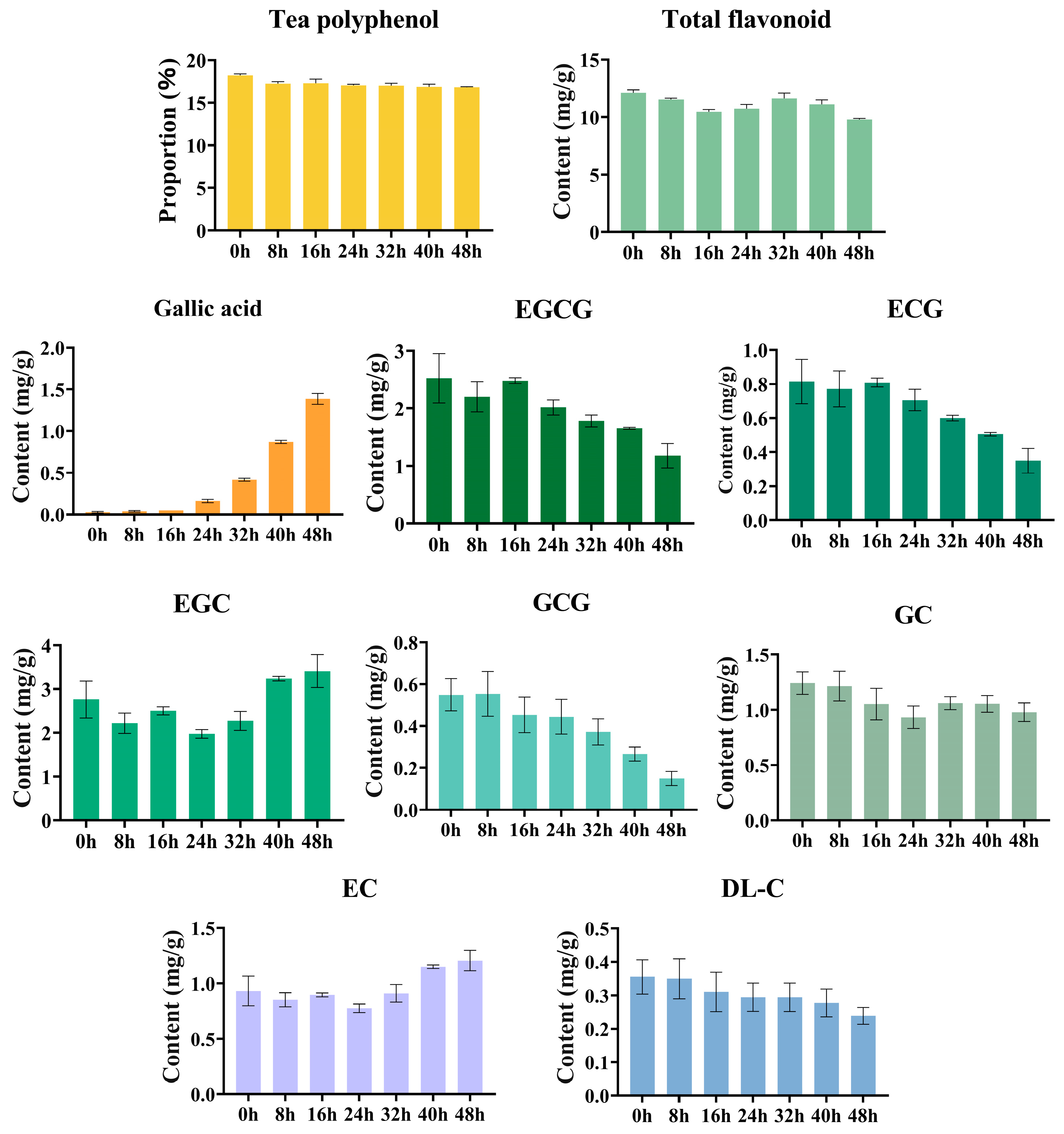
3.1.1. Polyphenols
3.1.2. Water Extract, Amino Acids, and Alkaloids
3.1.3. Proteins and Polysaccharides
3.2. Enzyme Activity Analysis
3.3. Identification and Quantification of Volatile Compounds in Primary Dark Tea During Pile Fermentation
3.4. Multivariate Analysis of Volatile Compounds
3.4.1. Alcohols
3.4.2. Esters and Methoxy Compounds
3.4.3. Aldehydes and Ketones
3.4.4. Alkanes and Alkenes
3.4.5. Aromatic Hydrocarbons
4. Discussion
5. Conclusions
Supplementary Materials
Author Contributions
Funding
Institutional Review Board Statement
Informed Consent Statement
Data Availability Statement
Conflicts of Interest
References
- Huang, X.; Li, Y.; Zhou, F.; Xiao, T.; Shang, B.; Niu, L.; Huang, J.; Liu, Z.; Wang, K.; Zhu, M. Insight into the chemical compositions of Anhua dark teas derived from identical tea materials: A multi-omics, electronic sensory, and microbial sequencing analysis. Food Chem. 2024, 441, 138367. [Google Scholar] [CrossRef]
- Li, N.; Zhao, M.; Chao, J.; Yin, F.; Yuan, Y.; Zhao, Y.; Xu, J.; Liu, Z.; Huang, J.; Wang, K.; et al. Non-targeted and targeted detection of hydrophilic compounds in fu brick tea: A study on samples from major Chinese production regions and different processing stages. Food Chem. 2025, 471, 142634. [Google Scholar] [CrossRef]
- Dai, Y.; Pan, K.; Li, Q.; Ran, Q.; Yang, T.; Liu, Y.; Liu, Z.; Fang, S.; Gu, W. Research progress of quality formation and efficacy of dark Tea. J. Jiangsu Agric. Sci. 2021, 49, 24–29. (In Chinese) [Google Scholar] [CrossRef]
- Li, Y.; Hao, J.; Zhou, J.; He, C.; Yu, Z.; Chen, S.; Chen, Y.; Ni, D. Pile-fermentation of dark tea: Conditions optimization and quality formation mechanism. LWT 2022, 166, 113753. [Google Scholar] [CrossRef]
- Jiang, J.; He, H.; Gui, A. Chinese Dark Tea: Origination and Processing. Chin. Agric. Sci. Bull. 2017, 33, 70–75. (In Chinese) [Google Scholar]
- Li, M.-Y.; Xiao, Y.; Zhong, K.; Bai, J.-R.; Wu, Y.-P.; Zhang, J.-Q.; Gao, H. Characteristics and chemical compositions of Pingwu Fuzhuan brick-tea, a distinctive post-fermentation tea in Sichuan province of China. Int. J. Food Prop. 2019, 22, 878–889. [Google Scholar] [CrossRef]
- Liu, T.; Qi, G.; Zou, Y.; Li, W.; Huang, Y. Variations in quality ingredients and primary enzymes activities of Sichuan dark tea during post-fermentation. J. South. Chin. Agric. Univ. 2015, 36, 112–116. (In Chinese) [Google Scholar]
- Zhang, L.; Zhang, Z.-Z.; Zhou, Y.-B.; Ling, T.-J.; Wan, X.-C. Chinese dark teas: Postfermentation, chemistry and biological activities. Food Res. Int. 2013, 53, 600–607. [Google Scholar] [CrossRef]
- Ge, Y.; Bian, X.; Sun, B.; Zhao, M.; Ma, Y.; Tang, Y.; Li, N.; Wu, J.L. Dynamic Profiling of Phenolic Acids during Pu-erh Tea Fermentation Using Derivatization Liquid Chromatography-Mass Spectrometry Approach. J. Agric. Food Chem. 2019, 67, 4568–4577. [Google Scholar] [CrossRef]
- Du, Y.; Yang, W.; Yang, C.; Yang, X. A comprehensive review on microbiome, aromas and flavors, chemical composition, nutrition and future prospects of Fuzhuan brick tea. Trends Food Sci. Technol. 2022, 119, 452–466. [Google Scholar] [CrossRef]
- Feng, X.; Chen, M.; Song, H. A systemic review on Liubao tea: A time-honored dark tea with distinctive raw materials, process techniques, chemical profiles, and biological activities. Compr. Rev. Food Sci. Food Saf. 2023, 22, 5063–5085. [Google Scholar] [CrossRef]
- Zhang, H.; Wang, J.; Zhang, D.; Zeng, L.; Liu, Y.; Zhu, W.; Lei, G.; Huang, Y. Aged fragrance formed during the post-fermentation process of dark tea at an industrial scale. Food Chem. 2021, 342, 128175. [Google Scholar] [CrossRef]
- Chen, Q.; Zhu, Y.; Liu, Y.; Liu, Y.; Dong, C.; Lin, Z.; Teng, J. Black tea aroma formation during the fermentation period. Food Chem. 2022, 374, 131640. [Google Scholar] [CrossRef]
- Chen, X.; Chen, D.; Jiang, H.; Sun, H.; Zhang, C.; Zhao, H.; Li, X.; Yan, F.; Chen, C.; Xu, Z. Aroma characterization of Hanzhong black tea (Camellia sinensis) using solid phase extraction coupled with gas chromatography-mass spectrometry and olfactometry and sensory analysis. Food Chem. 2019, 274, 130–136. [Google Scholar] [CrossRef]
- Yun, S.; Chen, H.; Fan, J.; Yang, L.; Wang, W.; Chen, H.; Huang, J.; Liu, Z.; Gong, Y.; Li, S. The effect of temperature-controlled pile-fermentation on the flavor quality of primary dark tea. LWT 2025, 223, 117750. [Google Scholar] [CrossRef]
- GB/T 8305-2013; Tea—Determination of Water Extracts Content. Standardization Administration of the People’s Republic of China: Beijing, China, 2013.
- GB/T 8313-2018; Determination of Total Polyphenols and Catechins Content in Tea. Standardization Administration of the People’s Republic of China: Beijing, China, 2018.
- GB/T 8314-2013; Tea—Determination of Free Amino Acids Content. Standardization Administration of the People’s Republic of China: Beijing, China, 2013.
- Jia, Z.; Tang, M.; Wu, J. The determination of flavonoid contents in mulberry and theirscavenging effects on superoxide radicals. Food Chem. 1999, 64, 555–559. [Google Scholar]
- Smith, P.e.; Krohn, R.I.; Hermanson, G.; Mallia, A.; Gartner, F.; Provenzano, M.; Fujimoto, E.; Goeke, N.; Olson, B.; Klenk, D. Measurement of protein using bicinchoninic acid. Anal. Biochem. 1985, 150, 76–85. [Google Scholar] [CrossRef] [PubMed]
- Blumenkrantz, N.; Asboe-Hansen, G. New method for quantitative determination of uronic acids. Anal. Biochem. 1973, 54, 484–489. [Google Scholar] [CrossRef] [PubMed]
- Ke, L.; Xu, W.; Gao, J.; Gao, G.; Wang, H.; Zhou, J.; Liu, J.; Rao, P.; Xu, Y. Isolation and characterization of thermo-tolerant polyphenol oxidases in a black tea infusion. Food Control 2021, 119, 107465. [Google Scholar] [CrossRef]
- Maehly, A. The Assay of catalases and peroxidases. Methods Enzymol. 1954, 2, 357–424. [Google Scholar]
- Anson, M.L. The estimation of pepsin, trypsin, papain, and cathepsin with hemoglobin. J. Gen. Physiol. 1938, 22, 79. [Google Scholar] [CrossRef]
- Wang, M.-Q.; Ma, W.-J.; Shi, J.; Zhu, Y.; Lin, Z.; Lv, H.-P. Characterization of the key aroma compounds in Longjing tea using stir bar sorptive extraction (SBSE) combined with gas chromatography-mass spectrometry (GC–MS), gas chromatography-olfactometry (GC-O), odor activity value (OAV), and aroma recombination. Food Res. Int. 2020, 130, 108908. [Google Scholar] [CrossRef]
- Xu, L.; Xia, G.; Luo, Z.; Liu, S. UHPLC analysis of major functional components in six types of Chinese teas: Constituent profile and origin consideration. LWT 2019, 102, 52–57. [Google Scholar] [CrossRef]
- Chen, G.; Peng, Y.; Xie, M.; Xu, W.; Chen, C.; Zeng, X.; Liu, Z. A critical review of Fuzhuan brick tea: Processing, chemical constituents, health benefits and potential risk. Crit. Rev. Food Sci. Nutr. 2021, 63, 5447–5464. [Google Scholar] [CrossRef]
- Baik, J.H.; Shin, K.S.; Park, Y.; Yu, K.W.; Suh, H.J.; Choi, H.S. Biotransformation of catechin and extraction of active polysaccharide from green tea leaves via simultaneous treatment with tannase and pectinase. J. Sci. Food Agric. 2014, 95, 2337–2344. [Google Scholar] [CrossRef] [PubMed]
- Angayarkanni, J.; Palaniswamy, M.; Murugesan, S.; Swaminathan, K. Improvement of tea leaves fermentation with Aspergillus spp. pectinase. J. Biosci. Bioeng. 2002, 94, 299–303. [Google Scholar] [CrossRef] [PubMed]
- Thakur, J.; Gupta, R. Improvement of tea leaves fermentation through pectinases. Acta Microbiol. Et Immunol. Hung. 2012, 59, 321–334. [Google Scholar] [CrossRef]
- Wang, Q.; Belščak-Cvitanović, A.; Durgo, K.; Chisti, Y.; Gong, J.; Sirisansaneeyakul, S.; Komes, D. Physicochemical properties and biological activities of a high-theabrownins instant Pu-erh tea produced using Aspergillus tubingensis. LWT 2018, 90, 598–605. [Google Scholar] [CrossRef]
- Lin, F.-J.; Wei, X.-L.; Liu, H.-Y.; Li, H.; Xia, Y.; Wu, D.-T.; Zhang, P.-Z.; Gandhi, G.R.; Hua-Bin, L.; Gan, R.-Y. State-of-the-art review of dark tea: From chemistry to health benefits. Trends Food Sci. Technol. 2021, 109, 126–138. [Google Scholar] [CrossRef]
- Li, T.; Du, L.; Wang, C.; Han, P.; Xiao, D.; Li, C.; Xu, Y. The Effect of the Enzyme on the Liquid-State Fermentation of Pu er Tea. In Proceedings of the 2012 International Conference on Applied Biotechnology (ICAB 2012), Tianjin, China, 18–19 October 2012; Springer: Berlin/Heidelberg, Germany, 2013; Volume 1, pp. 477–486. [Google Scholar]
- Wang, S.; Lian, Z.; Wang, L.; Yang, X.; Liu, Y. Preliminary investigations on a polygalacturonase from Aspergillus fumigatus in Chinese Pu er tea fermentation. Bioresour. Bioprocess. 2015, 2, 33. [Google Scholar] [CrossRef]
- Kuhnert, N. Unraveling the structure of the black tea thearubigins. Arch. Biochem. Biophys. 2010, 501, 37–51. [Google Scholar] [CrossRef]
- Li, Q.; Chai, S.; Li, Y.; Huang, J.; Luo, Y.; Xiao, L.; Liu, Z. Biochemical Components Associated With Microbial Community Shift During the Pile-Fermentation of Primary Dark Tea. Front. Microbiol. 2018, 9, 1509. [Google Scholar] [CrossRef]
- Xu, X.; Yan, M.; Zhu, Y. Influence of Fungal Fermentation on the Development of Volatile Compounds in the Puer Tea Manufacturing Process. Eng. Life Sci. 2005, 5, 382–386. [Google Scholar] [CrossRef]
- Chen, W.; Chen, J.; Pan, H.; Ding, L.; Ni, Z.; Wang, Y.; Zhou, J. Dynamical changes of volatile metabolites and identification of core fungi associated with aroma formation in Fu Brick tea during the fungal fermentation. LWT 2024, 202, 116298. [Google Scholar] [CrossRef]
- Li, T.; Wei, Y.; Feng, W.; Lu, M.; Ke, H.; Li, Y.; Shao, A.; Dai, Q.; Ning, J. Exploring the mysterious effect of piling fermentation on Pu-erh tea quality formation: Microbial action and moist-heat action. LWT 2023, 185, 115132. [Google Scholar] [CrossRef]
- Li, Y.; Wang, R.; Xiao, T.; Song, L.; Xiao, Y.; Liu, Z.; Wang, K.; Huang, J.; Zhu, M. Unveiling key odor-active compounds and bacterial communities in Fu Brick tea from seven Chinese regions: A comprehensive sensomics analysis using GC–MS, GC-O, aroma recombination, omission, and high-throughput sequencing. Food Res. Int. 2024, 196, 114978. [Google Scholar] [CrossRef] [PubMed]
- Yan, X.; Tian, Y.; Zhao, F.; Wang, R.; Zhou, H.; Zhang, N.; Wang, Y.; Shan, Z.; Zhang, C. Analysis of the key aroma components of Pu er tea by synergistic fermentation with three beneficial microorganisms. Food Chem. X 2024, 21, 101048. [Google Scholar] [CrossRef] [PubMed]
- Hu, M.; Zhang, H.; Han, L.; Zhang, W.; Xing, X.; Wang, Y.; Ou, S.; Liu, Y.; Li, X.; Xue, Z. Integrated Microbiome–Metabolome Analysis and Functional Strain Validation Reveal Key Biochemical Transformations During Pu-erh Tea Pile Fermentation. Microorganisms 2025, 13, 1857. [Google Scholar] [CrossRef]
- Xu, H.; Ou, X.; Ouyang, J.; Xiao, H.; Liu, Z.; Huang, J. Research Progress on Aroma and Taste Components and Evaluation Methods of Liupao Tea. Mod. Food Technol. 2025, 41, 381–392. (In Chinese) [Google Scholar] [CrossRef]
- Zheng, X.Q.; Li, Q.S.; Xiang, L.P.; Liang, Y.R. Recent Advances in Volatiles of Teas. Molecules 2016, 21, 338. [Google Scholar] [CrossRef]
- Du, L.; Li, J.; Li, W.; Li, Y.; Li, T.; Xiao, D. Characterization of volatile compounds of pu-erh tea using solid-phase microextraction and simultaneous distillation–extraction coupled with gas chromatography–mass spectrometry. Food Res. Int. 2014, 57, 61–70. [Google Scholar] [CrossRef]
- Piao, M.; Zhang, Y.; Chen, T. Effects of different de-enzyming methods on microbial composition and volatile compounds of raw Pu er tea based on microbiome and metabolomics. Food Biosci. 2022, 48, 101817. [Google Scholar] [CrossRef]
- Joshi, R.; Gulati, A. Fractionation and identification of minor and aroma-active constituents in Kangra orthodox black tea. Food Chem. 2015, 167, 290–298. [Google Scholar] [CrossRef]
- Zheng, W.-J.; Wan, X.-C.; Bao, G.-H. Brick dark tea: A review of the manufacture, chemical constituents and bioconversion of the major chemical components during fermentation. Phytochem. Rev. 2015, 14, 499–523. [Google Scholar] [CrossRef]
- Li, Q.; Li, Y.; Luo, Y.; Xiao, L.; Wang, K.; Huang, J.; Liu, Z. Characterization of the key aroma compounds and microorganisms during the manufacturing process of Fu brick tea. LWT 2020, 127, 109355. [Google Scholar] [CrossRef]
- Kelebek, H. LC-DAD–ESI-MS/MS characterization of phenolic constituents in Turkish black tea: Effect of infusion time and temperature. Food Chem. 2016, 204, 227–238. [Google Scholar] [CrossRef] [PubMed]
- Li, Q.; Jin, Y.; Jiang, R.; Xu, Y.; Zhang, Y.; Luo, Y.; Huang, J.; Wang, K.; Liu, Z. Dynamic changes in the metabolite profile and taste characteristics of Fu brick tea during the manufacturing process. Food Chem. 2021, 344, 128576. [Google Scholar] [CrossRef]







Disclaimer/Publisher’s Note: The statements, opinions and data contained in all publications are solely those of the individual author(s) and contributor(s) and not of MDPI and/or the editor(s). MDPI and/or the editor(s) disclaim responsibility for any injury to people or property resulting from any ideas, methods, instructions or products referred to in the content. |
© 2026 by the authors. Licensee MDPI, Basel, Switzerland. This article is an open access article distributed under the terms and conditions of the Creative Commons Attribution (CC BY) license.
Share and Cite
Wu, D.; He, Y.; Wen, J.; Zheng, H.; Zhao, X.; Yu, P.; Zhong, N.; Niu, L.; Li, S.; Lin, Y.; et al. Multidimensional Analysis Reveals the Flavor Quality Formation Mechanism During the Primary Pile Fermentation of Dark Tea. Foods 2026, 15, 212. https://doi.org/10.3390/foods15020212
Wu D, He Y, Wen J, Zheng H, Zhao X, Yu P, Zhong N, Niu L, Li S, Lin Y, et al. Multidimensional Analysis Reveals the Flavor Quality Formation Mechanism During the Primary Pile Fermentation of Dark Tea. Foods. 2026; 15(2):212. https://doi.org/10.3390/foods15020212
Chicago/Turabian StyleWu, Dunchao, Yufei He, Juanshu Wen, Hongfa Zheng, Xi Zhao, Penghui Yu, Ni Zhong, Li Niu, Shi Li, Yong Lin, and et al. 2026. "Multidimensional Analysis Reveals the Flavor Quality Formation Mechanism During the Primary Pile Fermentation of Dark Tea" Foods 15, no. 2: 212. https://doi.org/10.3390/foods15020212
APA StyleWu, D., He, Y., Wen, J., Zheng, H., Zhao, X., Yu, P., Zhong, N., Niu, L., Li, S., Lin, Y., Huang, H., & Liu, Z. (2026). Multidimensional Analysis Reveals the Flavor Quality Formation Mechanism During the Primary Pile Fermentation of Dark Tea. Foods, 15(2), 212. https://doi.org/10.3390/foods15020212

