Shelf Life and Sensory Profile of Potentially Probiotic Mead Obtained by Co-Fermentation of Water Kefir and Saccharomyces boulardii
Abstract
1. Introduction
2. Materials and Methods
2.1. Obtaining and Maintaining Microorganisms
2.2. Mead Production
2.3. Shelf Life Analysis
2.3.1. Physical-Chemical Analyses
2.3.2. Phenolic Compounds and Antioxidants
2.3.3. Viable Yeast Cell Count
2.3.4. Counting Viable Lactic Acid Bacteria (LAB) Cells
2.3.5. Total Coliform, Escherichia coli, and Salmonella spp. Analyses
2.4. Sensory Analysis
2.4.1. Acceptance and Purchase Intention Test
2.4.2. Check-All-That-Apply (CATA) Test
2.5. Statistical Analysis
3. Results and Discussion
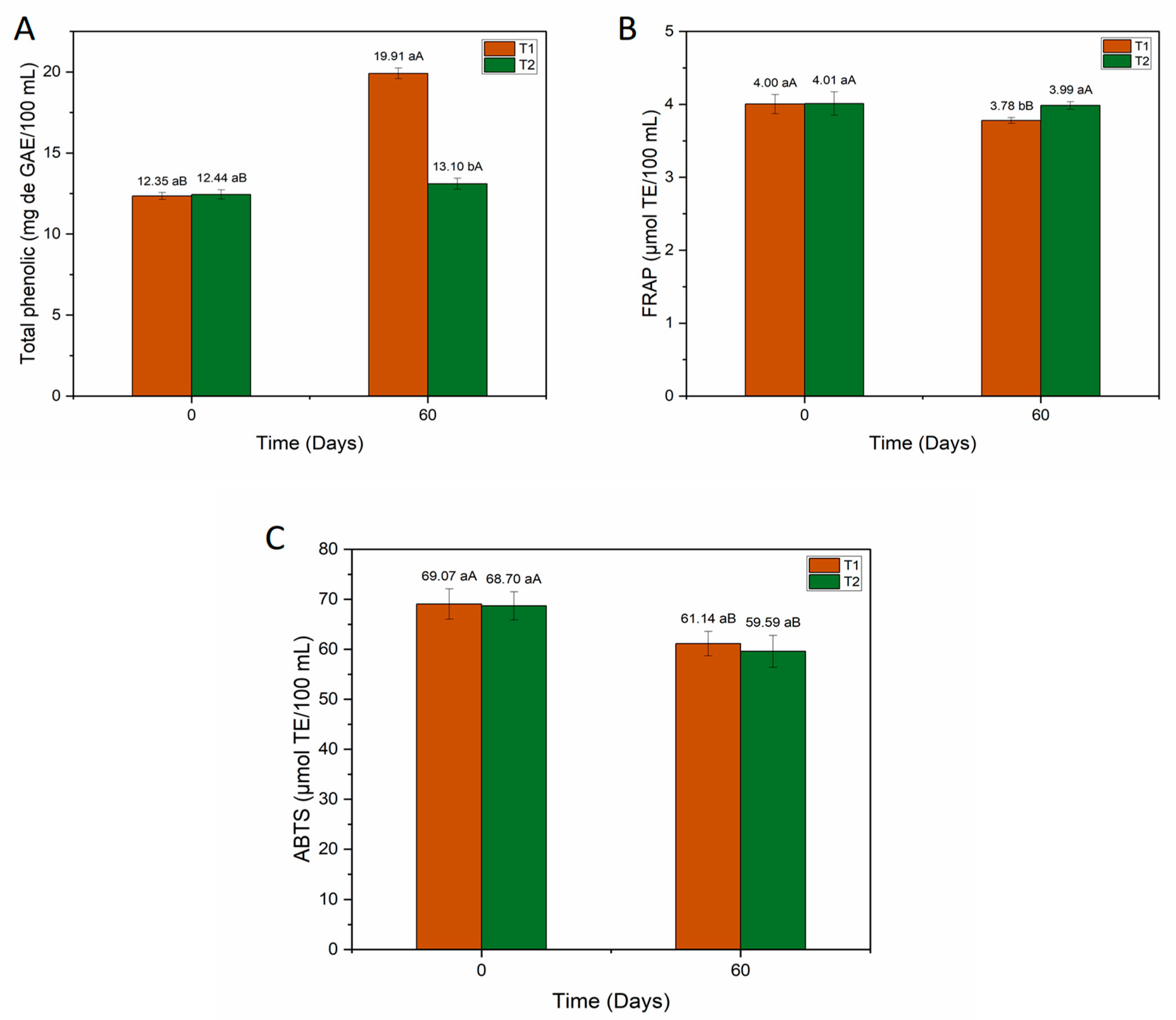
3.1. Shelf Life Results
3.2. Sensory Analysis Results
3.2.1. Screening of Tasters
3.2.2. Product Acceptance and Purchase Intention
3.2.3. Check-All-That-Apply (CATA) Test Results
4. Conclusions
Author Contributions
Funding
Institutional Review Board Statement
Informed Consent Statement
Data Availability Statement
Acknowledgments
Conflicts of Interest
References
- Kawa-Rygielska, J.; Adamenko, K.; Kucharska, A.Z.; Szatkowska, K. Fruit and Herbal Meads—Chemical Composition and Antioxidant Properties. Food Chem. 2019, 283, 19–27. [Google Scholar] [CrossRef] [PubMed]
- Česlová, L.; Pravcová, K.; Juričová, M.; Fischer, J. Rapid HPLC/MS/MS Analysis of Phenolic Content and Profile for Mead Quality Assessment. Food Control 2022, 134, 108737. [Google Scholar] [CrossRef]
- Fortes, J.P.; Franco, F.W.; Baranzelli, J.; Ugalde, G.A.; Ballus, C.A.; Rodrigues, E.; Mazutti, M.A.; Somacal, S.; Sautter, C.K. Enhancement of the Functional Properties of Mead Aged with Oak (Quercus) Chips at Different Toasting Levels. Molecules 2023, 28, 56. [Google Scholar] [CrossRef] [PubMed]
- Fu, Y.; Shi, X.; Li, F.; Yan, X.; Li, B.; Luo, Y.; Jiang, G.; Liu, X.; Wang, L. Fermentation of Mead Using Saccharomyces Cerevisiae and Lactobacillus Paracasei: Strain Growth, Aroma Components and Antioxidant Capacity. Food Biosci. 2023, 52, 102402. [Google Scholar] [CrossRef]
- de Souza, H.F.; Bessa, M.S.; Gonçalves, V.D.D.P.; dos Santos, J.V.; Pinheiro, C.; das Chagas, E.G.L.; de Carvalho, M.V.; Brandi, I.V.; Kamimura, E.S. Growing Conditions of Saccharomyces Boulardii for the Development of Potentially Probiotic Mead: Fermentation Kinetics, Viable Cell Counts and Bioactive Compounds. Food Sci. Technol. Int. 2024, 30, 603–613. [Google Scholar] [CrossRef]
- de Souza, H.F.; Bogáz, L.T.; Monteiro, G.F.; Freire, E.N.S.; Pereira, K.N.; de Carvalho, M.V.; da Silva Rocha, R.; da Cruz, A.G.; Brandi, I.V.; Kamimura, E.S. Water Kefir in Co-Fermentation with Saccharomyces Boulardii for the Development of a New Probiotic Mead. Food Sci. Biotechnol. 2024, 33, 3299–3311. [Google Scholar] [CrossRef]
- Webster, C.E.; Barker, D.; Deed, R.C.; Pilkington, L.I. Mead Production and Quality: A Review of Chemical and Sensory Mead Quality Evaluation with a Focus on Analytical Methods. Food Res. Int. 2025, 202, 115655. [Google Scholar] [CrossRef]
- Webster, C.E.; Barker, D.; Deed, R.C.; Pilkington, L.I. Quantification of Methyl Glyoxal in New Zealand Mānuka Honey and Honey Meads. Food Chem. 2025, 478, 143697. [Google Scholar] [CrossRef]
- Starowicz, M.; Granvogl, M. Trends in Food Science & Technology an Overview of Mead Production and the Physicochemical, Toxicological, and Sensory Characteristics of Mead with a Special Emphasis on Flavor. Trends Food Sci. Technol. 2020, 106, 402–416. [Google Scholar] [CrossRef]
- de Souza, H.F.; Freire, E.N.S.; Monteiro, G.F.; Bogáz, L.T.; Teixeira, R.D.; Junior, F.V.S.; Teixeira, F.D.; Santos, J.V.d.; Carvalho, M.V.d.; Rocha, R.d.S.; et al. Development of Potentially Probiotic Mead from Co-Fermentation by Saccharomyces Cerevisiae Var. Boulardii and Kombucha Microorganisms. Fermentation 2024, 10, 482. [Google Scholar] [CrossRef]
- Simão, L.; Wanderley, B.R.D.S.M.; Tavares Vieira, M.P.; da Silva Haas, I.C.; Amboni, R.D.D.M.C.; Fritzen-Freire, C.B. How Do Different Ingredients and Additives Affect the Production Steps and the Bioactive Potential of Mead? Food Technol. Biotechnol. 2023, 61, 179–190. [Google Scholar] [CrossRef]
- de Souza, H.F.; Monteiro, G.F.; Di Próspero Gonçalves, V.D.; dos Santos, J.V.; de Oliveira, A.C.D.; Pereira, K.N.; Carosia, M.F.; de Carvalho, M.V.; Brandi, I.V.; Kamimura, E.S. Evaluation of Sensory Acceptance, Purchase Intention and Color Parameters of Potentially Probiotic Mead with Saccharomyces Boulardii. Food Sci. Biotechnol. 2024, 33, 1651–1659. [Google Scholar] [CrossRef]
- Pereira, K.N.; de Souza, H.F.; de Oliveira, A.C.D.; Deziderio, M.A.; de Carvalho, M.V.; Rocha, R.S.; Cruz, A.G.; de Oliveira, C.A.F.; Kamimura, E.S. Technological Aspects of Saccharomyces Cerevisiae Var. Boulardii Applications in Fermented Alcoholic Beverages: A Review. Qual. Assur. Saf. Crops Foods 2025, 17, 186–201. [Google Scholar] [CrossRef]
- Nascimento Pereira, K.; de Souza, H.F.; de Oliveira, A.C.D.; Deziderio, M.A.; Di Próspero Gonçalves, V.D.; de Carvalho, M.V.; Kamimura, E.S. Production of “Melomel” from Cupuaçu (Theobroma Grandiflorum) Using the Probiotic Yeast Saccharomyces Cerevisiae Var. Boulardii. Fermentation 2025, 11, 253. [Google Scholar] [CrossRef]
- Pereira de Paula, B.; de Souza Lago, H.; Firmino, L.; Fernandes Lemos Júnior, W.J.; Ferreira Dutra Corrêa, M.; Fioravante Guerra, A.; Signori Pereira, K.; Zarur Coelho, M.A. Technological Features of Saccharomyces Cerevisiae Var. Boulardii for Potential Probiotic Wheat Beer Development. LWT 2021, 135, 110233. [Google Scholar] [CrossRef]
- Nikolaou, A.; Nelios, G.; Kanellaki, M.; Kourkoutas, Y. Freeze-Dried Immobilized Kefir Culture in Cider-Making. J. Sci. Food Agric. 2020, 100, 3319–3327. [Google Scholar] [CrossRef] [PubMed]
- Nikolaou, A.; Kourkoutas, Y. High-Temperature Semi-Dry and Sweet Low Alcohol Wine-Making Using Immobilized Kefir Culture. Fermentation 2021, 7, 45. [Google Scholar] [CrossRef]
- Everette, J.D.; Bryant, Q.M.; Green, A.M.; Abbey, Y.A.; Wangila, G.W.; Walker, R.B. Thorough Study of Reactivity of Various Compound Classes toward the Folin-Ciocalteu Reagent. J. Agric. Food Chem. 2010, 58, 8139–8144. [Google Scholar] [CrossRef] [PubMed]
- Benzie, I.F.F.; Strain, J.J. The Ferric Reducing Ability of Plasma (FRAP) as a measure of “antioxidant power”: The FRAP assay. Anal. Biochem. 1996, 239, 70–76. [Google Scholar] [CrossRef]
- Re, R.; Pellegrini, N.; Proteggente, A.; Pannala, A.; Yang, M.; Rice-Evans, C. Antioxidant activity applying an improved ABTS radical cation decolorization assay. Free Radic. Biol. Med. 1999, 26, 1231–1237. [Google Scholar] [CrossRef]
- Senn, K.; Cantu, A.; Heymann, H. Characterizing the Chemical and Sensory Profiles of Traditional American Meads. J. Food Sci. 2021, 86, 1048–1057. [Google Scholar] [CrossRef]
- Gorman, M.; Stright, A.; Baxter, L.; Moss, R.; McSweeney, M.B. An Analysis of Consumer Perception, Emotional Responses, and Beliefs about Mead. Int. J. Food Sci. Technol. 2024, 59, 7426–7435. [Google Scholar] [CrossRef]
- Moretti, A.F.; Moure, M.C.; Quiñoy, F.; Esposito, F.; Simonelli, N.; Medrano, M.; León-Peláez, Á. Water Kefir, a Fermented Beverage Containing Probiotic Microorganisms: From Ancient and Artisanal Manufacture to Industrialized and Regulated Commercialization. Future Foods 2022, 5, 100123. [Google Scholar] [CrossRef]
- Paredes, J.L.; Escudero-Gilete, M.L.; Vicario, I.M. A New Functional Kefir Fermented Beverage Obtained from Fruit and Vegetable Juice: Development and Characterization. LWT 2022, 154, 112728. [Google Scholar] [CrossRef]
- Moreira Terhaag, M.; Sakai, O.A.; Ruiz, F.; Garcia, S.; Bertusso, F.R.; Prudêncio, S.H. The Probiotication of a Lychee Beverage with Saccharomyces Boulardii: An Alternative to Dairy-Based Probiotic Products. Foods 2025, 14, 156. [Google Scholar] [CrossRef] [PubMed]
- de Paula, B.P.; Chávez, D.W.H.; Lemos Junior, W.J.F.; Guerra, A.F.; Corrêa, M.F.D.; Pereira, K.S.; Coelho, M.A.Z. Growth Parameters and Survivability of Saccharomyces Boulardii for Probiotic Alcoholic Beverages Development. Front. Microbiol. 2019, 10, 2092. [Google Scholar] [CrossRef] [PubMed]
- de Souza, H.F.; Teixeira, R.D.; da Cruz, A.G.; Brandi, I.V.; Kamimura, E.S. Associating Probiotics and Alcohol for the Production of Fermented Alcoholic Beverages. Curr. Opin. Food Sci. 2025, 66, 101358. [Google Scholar] [CrossRef]
- Capece, A.; Romaniello, R.; Pietrafesa, A.; Siesto, G.; Pietrafesa, R.; Zambuto, M.; Romano, P. Use of Saccharomyces Cerevisiae Var. Boulardii in Co-Fermentations with S. Cerevisiae for the Production of Craft Beers with Potential Healthy Value-Added. Int. J. Food Microbiol. 2018, 284, 22–30. [Google Scholar] [CrossRef] [PubMed]
- Šertović, E.; Sarić, Z.; Barać, M.; Barukčić, I.; Kostić, A.; Božanić, R. Physical, Chemical, Microbiological and Sensory Characteristics of a Probiotic Beverage Produced from Different Mixtures of Cow’s Milk and Soy Beverage by Lactobacillus Acidophilus La5 and Yoghurt Culture. Food Technol. Biotechnol. 2019, 57, 461–471. [Google Scholar] [CrossRef]
- Zendeboodi, F.; Khorshidian, N.; Mortazavian, A.M.; da Cruz, A.G. Probiotic: Conceptualization from a New Approach. Curr. Opin. Food Sci. 2020, 32, 103–123. [Google Scholar] [CrossRef]
- Adamenko, K.; Kawa-Rygielska, J.; Kucharska, A.Z.; Głowacki, A.; Piórecki, N. Changes in the Antioxidative Activity and the Content of Phenolics and Iridoids during Fermentation and Aging of Natural Fruit Meads. Biomolecules 2021, 11, 1113. [Google Scholar] [CrossRef]
- Larsen, P.; Ahmed, M. Evaluation of Antioxidant Potential of Honey Drops and Honey Lozenges. Food Chem. Adv. 2022, 1, 100013. [Google Scholar] [CrossRef]
- Mulero-Cerezo, J.; Briz-Redón, Á.; Serrano-Aroca, Á. Saccharomyces Cerevisiae Var. Boulardii: Valuable Probiotic Starter for Craft Beer Production. Appl. Sci. 2019, 9, 3250. [Google Scholar] [CrossRef]
- Mulero-Cerezo, J.; Tuñón-Molina, A.; Cano-Vicent, A.; Pérez-Colomer, L.; Martí, M.; Serrano-Aroca, Á. Alcoholic and Non-Alcoholic Rosé Wines Made with Saccharomyces Cerevisiae Var. Boulardii Probiotic Yeast. Arch. Microbiol. 2023, 205, 201. [Google Scholar] [CrossRef]
- Grimmer, M.; Miles, M.P. With the Best of Intentions: A Large Sample Test of the Intention-Behaviour Gap in pro-Environmental Consumer Behaviour. Int. J. Consum. Stud. 2017, 41, 2–10. [Google Scholar] [CrossRef]
- Iglesias, A.; Pascoal, A.; Choupina, A.B.; Carvalho, C.A.; Feás, X.; Estevinho, L.M. Developments in the Fermentation Process and Quality Improvement Strategies for Mead Production. Molecules 2014, 19, 12577–12590. [Google Scholar] [CrossRef]
- Alcohol—PAHO/WHO|Pan American Health Organization. Available online: https://www.paho.org/en/topics/alcohol (accessed on 22 November 2025).
- Kechagia, M.; Basoulis, D.; Konstantopoulou, S.; Dimitriadi, D.; Gyftopoulou, K.; Skarmoutsou, N.; Fakiri, E.M. Health Benefits of Probiotics: A Review. ISRN Nutr. 2013, 2013, 481651. [Google Scholar] [CrossRef]





| Attributes | T1 | T2 | T3 |
|---|---|---|---|
| Overall impression | 7.78 ± 1.15 a | 6.85 ± 1.59 b | 6.27 ± 2.13 c |
| Color | 7.34 ± 1.41 a | 7.11 ± 1.42 a | 6.53 ± 2.11 b |
| Aroma | 7.13 ± 1.58 a | 6.92 ± 1.67 ab | 6.53 ± 1.83 b |
| Flavor | 7.95 ± 1.23 a | 6.40 ± 1.92 b | 6.00 ± 2.31 b |
| Alcohol content | 7.47 ± 1.51 a | 6.78 ± 1.75 b | 6.27 ± 1.92 c |
| Purchase intention | 5.17 ± 1.39 a | 4.07 ± 1.62 b | 3.68 ± 1.86 b |
Disclaimer/Publisher’s Note: The statements, opinions and data contained in all publications are solely those of the individual author(s) and contributor(s) and not of MDPI and/or the editor(s). MDPI and/or the editor(s) disclaim responsibility for any injury to people or property resulting from any ideas, methods, instructions or products referred to in the content. |
© 2025 by the authors. Licensee MDPI, Basel, Switzerland. This article is an open access article distributed under the terms and conditions of the Creative Commons Attribution (CC BY) license.
Share and Cite
Souza, H.F.d.; Teixeira, R.D.; Junior, F.V.S.; Teixeira, F.D.; Pereira, K.N.; Cruz, A.G.d.; Brandi, I.V.; Kamimura, E.S. Shelf Life and Sensory Profile of Potentially Probiotic Mead Obtained by Co-Fermentation of Water Kefir and Saccharomyces boulardii. Foods 2026, 15, 99. https://doi.org/10.3390/foods15010099
Souza HFd, Teixeira RD, Junior FVS, Teixeira FD, Pereira KN, Cruz AGd, Brandi IV, Kamimura ES. Shelf Life and Sensory Profile of Potentially Probiotic Mead Obtained by Co-Fermentation of Water Kefir and Saccharomyces boulardii. Foods. 2026; 15(1):99. https://doi.org/10.3390/foods15010099
Chicago/Turabian StyleSouza, Handray Fernandes de, Ricardo Donizete Teixeira, Fabiano Vaquero Silva Junior, Felipe Donizete Teixeira, Karina Nascimento Pereira, Adriano Gomes da Cruz, Igor Viana Brandi, and Eliana Setsuko Kamimura. 2026. "Shelf Life and Sensory Profile of Potentially Probiotic Mead Obtained by Co-Fermentation of Water Kefir and Saccharomyces boulardii" Foods 15, no. 1: 99. https://doi.org/10.3390/foods15010099
APA StyleSouza, H. F. d., Teixeira, R. D., Junior, F. V. S., Teixeira, F. D., Pereira, K. N., Cruz, A. G. d., Brandi, I. V., & Kamimura, E. S. (2026). Shelf Life and Sensory Profile of Potentially Probiotic Mead Obtained by Co-Fermentation of Water Kefir and Saccharomyces boulardii. Foods, 15(1), 99. https://doi.org/10.3390/foods15010099

