Impact of Bottle Type and Gelatin-Based Film Strips with Ethyl Sinapate on Oxidative Status and Antioxidant Properties of Cold-Pressed Rapeseed Oil
Abstract
1. Introduction
2. Materials and Methods
2.1. Chemicals and Oil Samples
2.1.1. Chemicals
2.1.2. Cold-Pressed Rapeseed Oil
2.2. Sample Preparation
2.2.1. Preparation of Active Film
2.2.2. Accelerated Storage Test of Cold-Pressed Rapeseed Oil
2.3. Analysis of the Oxidation Status of Cold-Pressed Rapeseed Oils
2.4. Analysis of Antioxidant Properties of Cold-Pressed Rapeseed Oils
2.4.1. ABTS Assay
2.4.2. DPPH Assay
2.4.3. FRAP Assay
2.4.4. Folin–Ciocalteu Assay
2.5. Fluorescence Study
2.6. Statistical Analysis
3. Results and Discussion
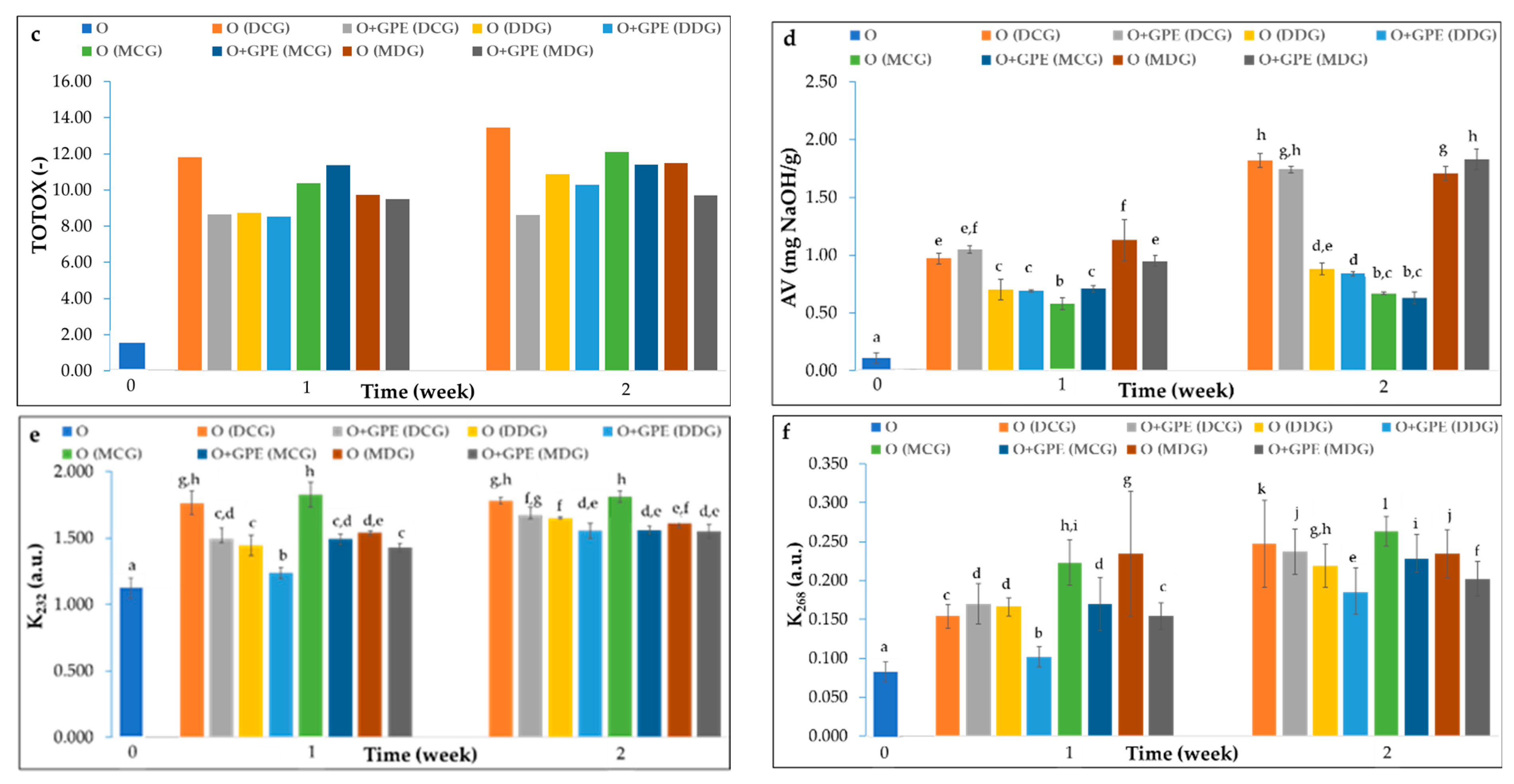
3.1. Changes in Oxidative Status of Cold-Pressed Rapeseed Oils During Accelerated Storage
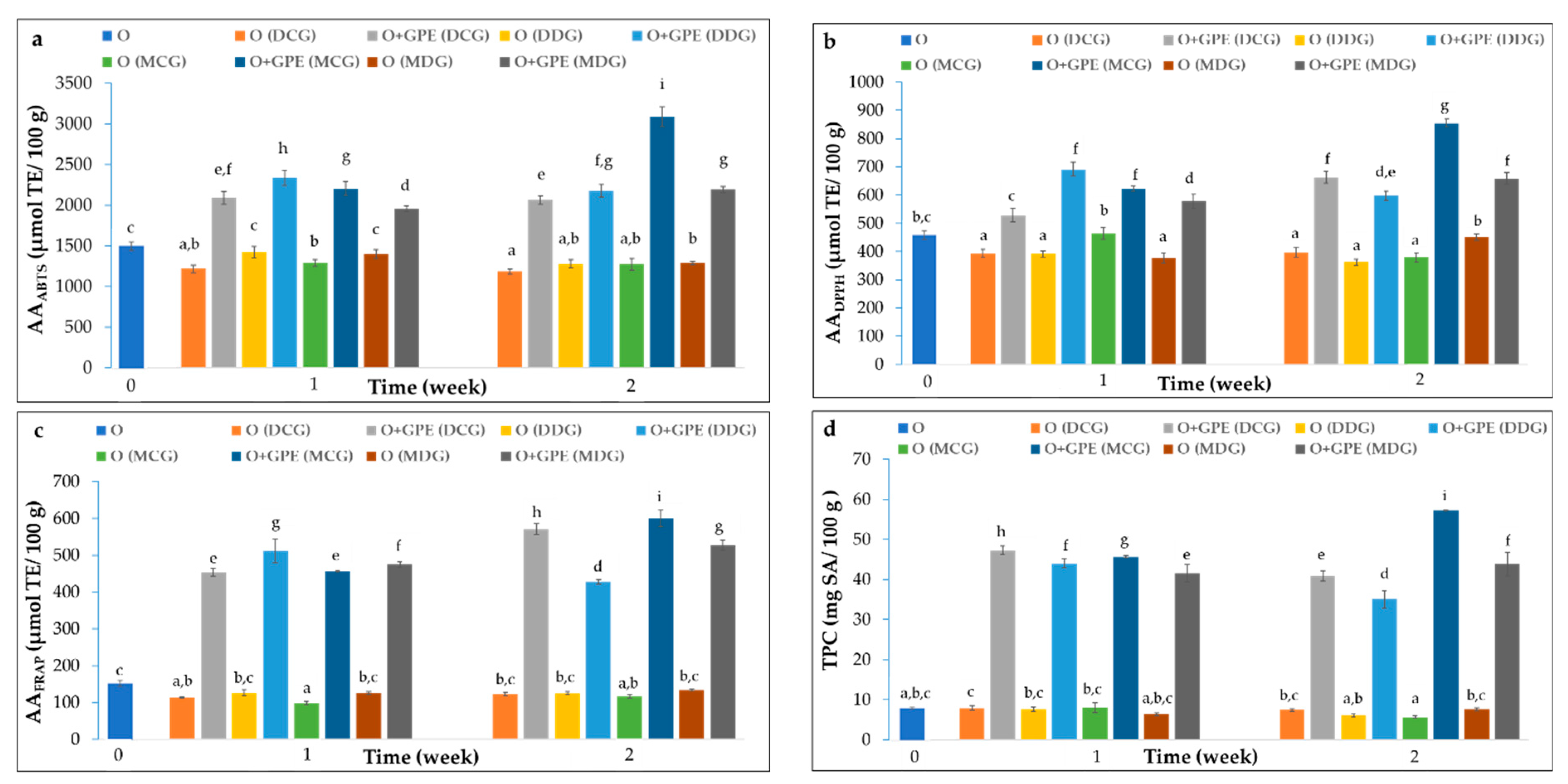
3.2. Changes in Antioxidant Properties of Cold-Pressed Rapeseed Oils During Accelerated Storage
3.3. Synchronous Spectra of Cold-Pressed Rapeseed Oils During Accelerated Storage
3.4. Chemometric Analysis
3.4.1. Principal Component Analysis
3.4.2. Hierarchical Cluster Analysis
3.4.3. Pearson Correlation Analysis
4. Conclusions
Author Contributions
Funding
Institutional Review Board Statement
Informed Consent Statement
Data Availability Statement
Acknowledgments
Conflicts of Interest
References
- United States Department of Agriculture, Foreign Agricultural Service. Oilseeds: World Markets and Trade. Available online: https://www.fas.usda.gov/sites/default/files/2025-09/oilseeds.pdf (accessed on 8 September 2025).
- Grosshagauer, S.; Steinschaden, R.; Pignitter, M. Strategies to Increase the Oxidative Stability of Cold Pressed Oils. LWT 2019, 106, 72–77. [Google Scholar] [CrossRef]
- Wroniak, M.; Rękas, A. Nutritional Value of Cold-Pressed Rapeseed Oil during Long Term Storage as Influenced by the Type of Packaging Material, Exposure to Light & Oxygen and Storage Temperature. J. Food Sci. Technol. 2016, 53, 1338–1347. [Google Scholar] [CrossRef]
- Marcinkowski, D.; Bochniak, M.; Wereńska, M.; Czwartkowski, K. The Influence of Storage Conditions of Cold-Pressed Rapeseed Oil on Its Quality Parameters. Appl. Sci. 2023, 13, 11746. [Google Scholar] [CrossRef]
- U.S. Department of Agriculture, Agricultural Research Service. Oil, Canola. Available online: https://fdc.nal.usda.gov/food-details/172336/nutrients (accessed on 8 September 2025).
- Arslan, D.; Tontul, İ.; Polak, T.; Ulrih, N.P. Use of Sinapic Acid Alkyl Esters as Antioxidants in Microencapsulated Flaxseed Oil. Food Bioprocess Technol. 2025, 18, 449–459. [Google Scholar] [CrossRef]
- Rabiej-Kozioł, D.; Tymczewska, A.; Szydłowska-Czerniak, A. Changes in Quality of Cold-Pressed Rapeseed Oil with Sinapic Acid Ester-Gelatin Films during Storage. Foods 2022, 11, 3341. [Google Scholar] [CrossRef]
- Arslan, D.; Polak, T.; Poklar Ulrih, N. Antioxidative Effects of Alkyl Esters of Sinapic Acid on Flaxseed Oil and Its Fatty Acid Methyl Esters. J. Am. Oil Chem. Soc. 2024, 101, 675–687. [Google Scholar] [CrossRef]
- Noda, M.; Matsumoto, M. Sinapic Acid and Methyl Sinapate in Rapeseed Lipids. Biochim. Biophys. Acta BBA—Lipids Lipid Metab. 1971, 231, 131–133. [Google Scholar] [CrossRef] [PubMed]
- Chiang, Y.; Lo, C.; Chen, Y.; Wang, S.; Yang, N.; Kuo, Y.; Shyur, L. Ethyl Caffeate Suppresses NF-κ B Activation and Its Downstream Inflammatory Mediators, iNOS, COX-2, and PGE2 in Vitro or in Mouse Skin. Br. J. Pharmacol. 2005, 146, 352–363. [Google Scholar] [CrossRef]
- Kaikini, A.A.; Muke, S.; Peshattiwar, V.; Bagle, S.; Dighe, V.; Sathaye, S. Ethyl Ferulate, a Lipophilic Phenylpropanoid, Prevents Diabetes-associated Renal Injury in Rats by Amelioration of Hyperglycemia-induced Oxidative Stress via Activation of Nuclear Factor Erythroid 2-related Factor 2. J. Food Biochem. 2021, 45, e13607. [Google Scholar] [CrossRef] [PubMed]
- Sanches-Silva, A.; Costa, D.; Albuquerque, T.G.; Buonocore, G.G.; Ramos, F.; Castilho, M.C.; Machado, A.V.; Costa, H.S. Trends in the Use of Natural Antioxidants in Active Food Packaging: A Review. Food Addit. Contam. Part A 2014, 31, 374–395. [Google Scholar] [CrossRef]
- European Parliament and Council of the European Union. Regulation (EC) No 1935/2004 of 27 October 2004 on Materials and Articles Intended to Come into Contact with Food and Repealing Directives 80/590/EEC and 89/109/EEC. Available online: http://data.europa.eu/eli/reg/2004/1935/oj (accessed on 8 September 2025).
- Commission of the European Communities. Commission Regulation (EC) No 450/2009 of 29 May 2009 on Active and Intelligent Materials and Articles Intended to Come into Contact with Food. Off. J. Eur. Union 2009, L 135, 3–11. Available online: https://eur-lex.europa.eu/legal-content/EN/TXT/?uri=CELEX:32009R0450 (accessed on 8 September 2025).
- Yildirim, S.; Röcker, B.; Pettersen, M.K.; Nilsen-Nygaard, J.; Ayhan, Z.; Rutkaite, R.; Radusin, T.; Suminska, P.; Marcos, B.; Coma, V. Active Packaging Applications for Food. Compr. Rev. Food Sci. Food Saf. 2018, 17, 165–199. [Google Scholar] [CrossRef]
- Kaczmarek-Szczepańska, B.; Grabska-Zielińska, S.; Michalska-Sionkowska, M. The Application of Phenolic Acids in The Obtainment of Packaging Materials Based on Polymers—A Review. Foods 2023, 12, 1343. [Google Scholar] [CrossRef] [PubMed]
- Gómez-Estaca, J.; López-de-Dicastillo, C.; Hernández-Muñoz, P.; Catalá, R.; Gavara, R. Advances in Antioxidant Active Food Packaging. Trends Food Sci. Technol. 2014, 35, 42–51. [Google Scholar] [CrossRef]
- Rabiej-Kozioł, D.; Roszek, K.; Krzemiński, M.P.; Szydłowska-Czerniak, A. Phenolipids as New Food Additives: From Synthesis to Cell-Based Biological Activities. Food Addit. Contam. Part A 2022, 39, 1365–1379. [Google Scholar] [CrossRef] [PubMed]
- Masilamani, D.; Srinivasan, V.; Ramachandran, R.K.; Gopinath, A.; Madhan, B.; Saravanan, P. Sustainable Packaging Materials from Tannery Trimming Solid Waste: A New Paradigm in Wealth from Waste Approaches. J. Clean. Prod. 2017, 164, 885–891. [Google Scholar] [CrossRef]
- Weng, S.; Marcet, I.; Rendueles, M.; Díaz, M. Edible Films from the Laboratory to Industry: A Review of the Different Production Methods. Food Bioprocess Technol. 2025, 18, 3245–3271. [Google Scholar] [CrossRef]
- Poslon, S.; Kovačević, D.; Brozović, M. Impact of Packaging Shape and Material on Consumer Expectations. J. Graph. Eng. Des. 2021, 12, 39–44. [Google Scholar] [CrossRef]
- Cecchi, T.; Passamonti, P.; Cecchi, P. Study of the Quality of Extra Virgin Olive Oil Stored in PET Bottles with or without an Oxygen Scavenger. Food Chem. 2010, 120, 730–735. [Google Scholar] [CrossRef]
- Esposto, S.; Taticchi, A.; Servili, M.; Urbani, S.; Sordini, B.; Veneziani, G.; Daidone, L.; Selvaggini, R. Overall Quality Evolution of Extra Virgin Olive Oil Exposed to Light for 10 Months in Different Containers. Food Chem. 2021, 351, 129297. [Google Scholar] [CrossRef]
- Jaime, S.B.M.; Bócoli, P.F.J.; Miguel, K.; Ferreira, E.A.H.; Alves, R.M.V. Light Barrier Properties of Extra Virgin Olive Oil (EVOO) Glass Bottles—Effect of Glass Colour and Decoration. Packag. Technol. Sci. 2018, 31, 473–480. [Google Scholar] [CrossRef]
- ISO 3960:2017; Animal and Vegetable Fats and Oils—Determination of Peroxide Value—Iodometric (Visual) Endpoint Determination. ISO: Geneva, Switzerland, 2017.
- ISO 6885:2016; Animal and Vegetable Fats and Oils—Determination of Anisidine Value. ISO: Geneva, Switzerland, 2016.
- ISO 660:2020; Animal and Vegetable Fats and Oils—Determination of Acid Value and Acidity. ISO: Geneva, Switzerland, 2020.
- ISO 3656:2011; Animal and Vegetable Fats and Oils—Determination of Ultraviolet Absorbance Expressed as Specific UV Extinction. ISO: Geneva, Switzerland, 2011.
- Szydłowska-Czerniak, A.; Łaszewska, A. Effect of Refining Process on Antioxidant Capacity, Total Phenolics and Prooxidants Contents in Rapeseed Oils. LWT—Food Sci. Technol. 2015, 64, 853–859. [Google Scholar] [CrossRef]
- Codex Alimentarius. Codex Standard for Named Vegetable Oils; CODEX-STAN 210-1999. Available online: https://tinyurl.com/46s68uzu (accessed on 14 September 2025).
- Rabiej, D.; Szydłowska-Czerniak, A. Fluorescence and UV-VIS Spectroscopy to Determine the Quality Changes of Rapeseed Oil Fortified with New Antioxidant After Storage Under Various Conditions. Food Anal. Methods 2020, 13, 1973–1982. [Google Scholar] [CrossRef]
- Szydłowska-Czerniak, A.; Rabiej, D. Octyl Sinapate as a New Antioxidant to Improve Oxidative Stability and Antioxidant Activity of Rapeseed Oil during Accelerated Storage. Eur. Food Res. Technol. 2018, 244, 1397–1406. [Google Scholar] [CrossRef]
- Del Nobile, M.A.; Bove, S.; La Notte, E.; Sacchi, R. Influence of Packaging Geometry and Material Properties on the Oxidation Kinetic of Bottled Virgin Olive Oil. J. Food Eng. 2003, 57, 189–197. [Google Scholar] [CrossRef]
- Bundesministerium für Ernährung und Landwirtschaft (BMEL). Leitsätze für Speisefette und Speiseöle; 3 July 2020. BAnz AT 18.08.2020 B3; GMBl 2020, 530. Available online: https://www.bmel.de/SharedDocs/Downloads/DE/_Ernaehrung/LebensmittelKennzeichnung/LeitsaetzeSpeisefette.pdf (accessed on 3 February 2025).
- Zareie, M.; Abbasi, A.; Faghih, S. Influence of Storage Conditions on the Stability of Vitamin D3 and Kinetic Study of the Vitamin Degradation in Fortified Canola Oil during the Storage. J. Food Qual. 2021, 2021, 5599140. [Google Scholar] [CrossRef]
- Guil-Guerrero, J.L. Quality of Extra Virgin Olive Oil Affected by Several Packaging Variables. Grasas Aceites 2009, 60, 125–133. [Google Scholar] [CrossRef]
- Kishimoto, N. Influence of Exposure to Sunlight on the Oxidative Deterioration of Extra Virgin Olive Oil during Storage in Glass Bottles. Food Sci. Technol. Res. 2019, 25, 539–544. [Google Scholar] [CrossRef]
- Talón, E.; Vargas, M.; Chiralt, A.; González-Martínez, C. Antioxidant Starch-Based Films with Encapsulated Eugenol. Application to Sunflower Oil Preservation. LWT 2019, 113, 108290. [Google Scholar] [CrossRef]
- Ganesan, A.R.; Shanmugam, M.; Ilansuriyan, P.; Anandhakumar, R.; Balasubramanian, B. Composite Film for Edible Oil Packaging from Carrageenan Derivative and Konjac Glucomannan: Application and Quality Evaluation. Polym. Test. 2019, 78, 105936. [Google Scholar] [CrossRef]
- Stoll, L.; Rech, R.; Flôres, S.H.; Nachtigall, S.M.B.; De Oliveira Rios, A. Poly(Acid Lactic) Films with Carotenoids Extracts: Release Study and Effect on Sunflower Oil Preservation. Food Chem. 2019, 281, 213–221. [Google Scholar] [CrossRef]
- Almasi, H.; Ghanbarzadeh, B.; Dehghannya, J.; Entezami, A.A.; Khosrowshahi Asl, A. Development of a Novel Controlled-Release Nanocomposite Based on Poly(Lactic Acid) to Increase the Oxidative Stability of Soybean Oil. Food Addit. Contam. Part A 2014, 31, 1586–1597. [Google Scholar] [CrossRef]
- Symoniuk, E.; Wroniak, M.; Napiórkowska, K.; Brzezińska, R.; Ratusz, K. Oxidative Stability and Antioxidant Activity of Selected Cold-Pressed Oils and Oils Mixtures. Foods 2022, 11, 1597. [Google Scholar] [CrossRef]
- Kut, K.; Cieniek, B.; Stefaniuk, I.; Bartosz, G.; Sadowska-Bartosz, I. A Modification of the ABTS• Decolorization Method and an Insight into Its Mechanism. Processes 2022, 10, 1288. [Google Scholar] [CrossRef]
- Idris, L.; Adli, M.A.; Yaacop, N.N.; Mohd Zohdi, R. Phytochemical Screening and Antioxidant Activities of Geniotrigona Thoracica Propolis Extracts Derived from Different Locations in Malaysia. Malays. J. Fundam. Appl. Sci. 2023, 19, 1023–1032. [Google Scholar] [CrossRef]
- Rover, M.R.; Brown, R.C. Quantification of Total Phenols in Bio-Oil Using the Folin–Ciocalteu Method. J. Anal. Appl. Pyrolysis 2013, 104, 366–371. [Google Scholar] [CrossRef]
- Uncu, O.; Ozen, B. A Comparative Study of Mid-Infrared, UV–Visible and Fluorescence Spectroscopy in Combination with Chemometrics for the Detection of Adulteration of Fresh Olive Oils with Old Olive Oils. Food Control 2019, 105, 209–218. [Google Scholar] [CrossRef]
- Lopes, C.R.B.; Courrol, L.C. Evaluation of Steady-State and Time-Resolved Fluorescence Spectroscopy as a Method for Assessing the Impact of Photo-Oxidation on Refined Soybean Oils. Foods 2023, 12, 1862. [Google Scholar] [CrossRef]
- Sun, Y.-H.; Cai, H.-Z.; Jia, X.-L.; Liu, M.-L. Fluorescence Spectroscopy Characteristics of Rapeseed Oil During Thermal Oxidation. Chin. J. Anal. Chem. Chin. Version 2013, 41, 1373. [Google Scholar] [CrossRef]
- Kaiser, H.F. The Application of Electronic Computers to Factor Analysis. Educ. Psychol. Meas. 1960, 20, 141–151. [Google Scholar] [CrossRef]








Disclaimer/Publisher’s Note: The statements, opinions and data contained in all publications are solely those of the individual author(s) and contributor(s) and not of MDPI and/or the editor(s). MDPI and/or the editor(s) disclaim responsibility for any injury to people or property resulting from any ideas, methods, instructions or products referred to in the content. |
© 2025 by the authors. Licensee MDPI, Basel, Switzerland. This article is an open access article distributed under the terms and conditions of the Creative Commons Attribution (CC BY) license.
Share and Cite
Rabiej-Kozioł, D.; Tymczewska, A.; Szydłowska-Czerniak, A. Impact of Bottle Type and Gelatin-Based Film Strips with Ethyl Sinapate on Oxidative Status and Antioxidant Properties of Cold-Pressed Rapeseed Oil. Foods 2026, 15, 46. https://doi.org/10.3390/foods15010046
Rabiej-Kozioł D, Tymczewska A, Szydłowska-Czerniak A. Impact of Bottle Type and Gelatin-Based Film Strips with Ethyl Sinapate on Oxidative Status and Antioxidant Properties of Cold-Pressed Rapeseed Oil. Foods. 2026; 15(1):46. https://doi.org/10.3390/foods15010046
Chicago/Turabian StyleRabiej-Kozioł, Dobrochna, Alicja Tymczewska, and Aleksandra Szydłowska-Czerniak. 2026. "Impact of Bottle Type and Gelatin-Based Film Strips with Ethyl Sinapate on Oxidative Status and Antioxidant Properties of Cold-Pressed Rapeseed Oil" Foods 15, no. 1: 46. https://doi.org/10.3390/foods15010046
APA StyleRabiej-Kozioł, D., Tymczewska, A., & Szydłowska-Czerniak, A. (2026). Impact of Bottle Type and Gelatin-Based Film Strips with Ethyl Sinapate on Oxidative Status and Antioxidant Properties of Cold-Pressed Rapeseed Oil. Foods, 15(1), 46. https://doi.org/10.3390/foods15010046

