Impacts of Various Reheating Methods on Crispy Chicken: Physicochemical Properties, Oxidation and Flavor Profiles
Abstract
1. Introduction
2. Materials and Methods
2.1. Materials
2.2. Samples
2.2.1. Preparation of CC
2.2.2. Sample Processing
2.3. pH
2.4. Color
2.5. Texture Profile Analysis
2.6. Lipid Oxidation
2.7. Protein Oxidation
2.7.1. Carbonyl Content
2.7.2. Total Sulfhydryl Content
2.8. E-Tongue Analysis
2.9. Free Amino Acid (FAA) and Taste Activity Value (TAV) Analysis
2.10. E-Nose Analysis
2.11. GC-MS Analysis
2.12. Statistical Analysis
3. Results and Discussion
3.1. pH
3.2. Color
3.3. Texture
3.4. Lipid Oxidation
3.5. Protein Oxidation
3.5.1. Carbonyl Content
3.5.2. Total Sulfhydryl Content
3.6. E-Tongue Analysis
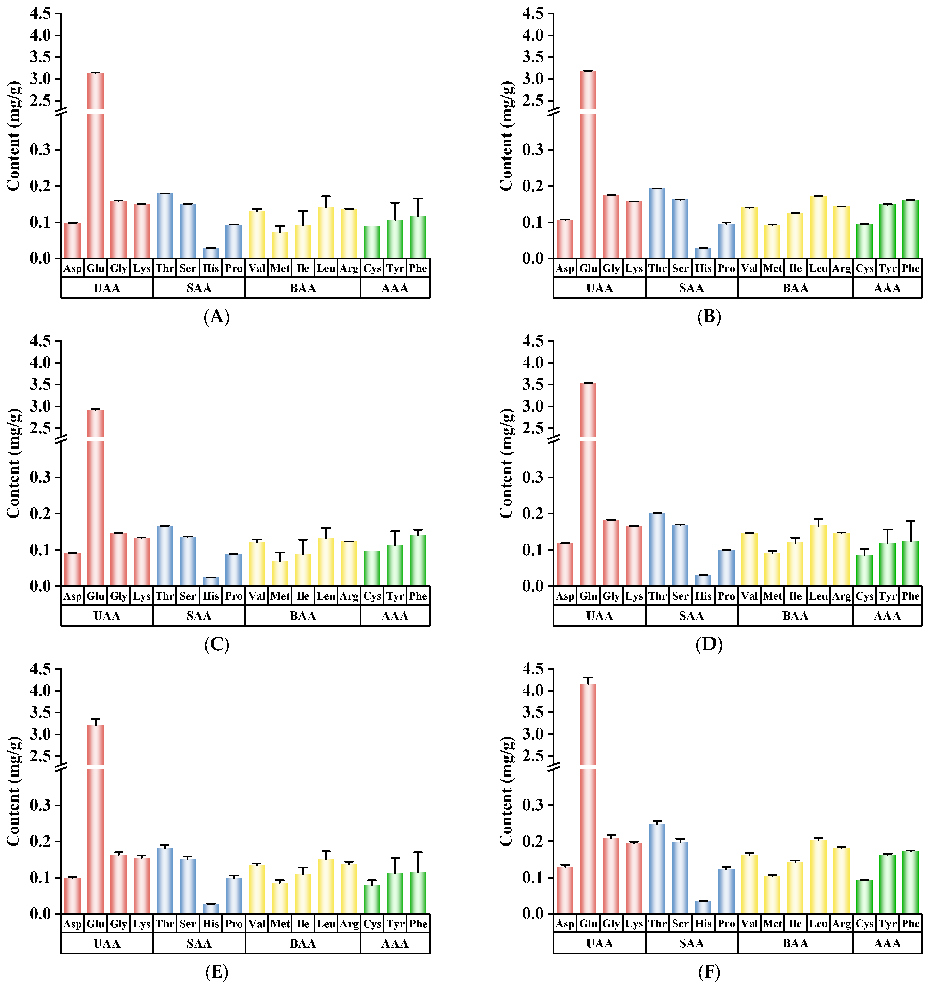
3.7. FAA and TAV Analysis
3.8. E-Nose Analysis
3.9. GC-MS Analysis
4. Conclusions
Supplementary Materials
Author Contributions
Funding
Institutional Review Board Statement
Informed Consent Statement
Data Availability Statement
Conflicts of Interest
References
- Ananey-Obiri, D.; Matthews, L.; Tahergorabi, R. Chicken processing by-product: A source of protein for fat uptake reduction in deep-fried chicken. Food Hydrocoll. 2020, 101, 105500. [Google Scholar] [CrossRef]
- Faloye, O.R.; Sobukola, O.P.; Shittu, T.A.; Bakare, H.A.; Omidiran, A.T.; Akinlade, F.A.; Bamidele, O.P. Effect of assisted drying methods on the microstructure and related quality attributes of fried chicken nuggets. J. Agric. Food Res. 2024, 16, 101196. [Google Scholar] [CrossRef]
- Tang, T.T.; Zhang, M.; Law, C.L.; Mujumdar, A.S. Novel strategies for controlling nitrite content in prepared dishes: Current status, potential benefits, limitations and future challenges. Food Res. Int. 2023, 170, 112984. [Google Scholar] [CrossRef] [PubMed]
- Adegoke, S.C.; Adrah, K.; Nowlin, K.; Tahergorabi, R. Microstructural and physicochemical changes of coated and frozen fried chicken. J. Food Process. Preserv. 2022, 46, e16822. [Google Scholar] [CrossRef]
- Jia, Y.Y.; Hu, L.L.; Liu, R.F.; Yang, W.; Khalifa, I.; Bi, J.C.; Li, Y.B.; Zhen, J.L.; Wang, B.P.; Zhang, Z.; et al. Innovations and challenges in the production of prepared dishes based on central kitchen engineering: A review and future perspectives. Innov. Food Sci. Emerg. Technol. 2023, 91, 103521. [Google Scholar] [CrossRef]
- Nanje, O.S.; Sylvia Ninying, V.T.Z.; Tonfack Djikeng, F.; Azia Morfor, T.; Achidi, A.U. Effect of different reheating processes and conditions on the nutritional, functional, and microbiological properties of cow meat. Food Sci. Nutr. 2024, 12, 4233–4247. [Google Scholar] [CrossRef] [PubMed]
- Li, J.Y.; Han, D.; Huang, F.; Zhang, C.H. Effect of reheating methods on eating quality, oxidation and flavor characteristics of Braised beef with potatoes dish. Int. J. Gastron. Food Sci. 2023, 31, 100659. [Google Scholar] [CrossRef]
- Liu, Y.X.; Liu, C.; Huang, X.S.; Li, M.Y.; Zhao, G.M.; Sun, L.X.; Yu, J.H.; Deng, W. Exploring the role of Maillard reaction and lipid oxidation in the advanced glycation end products of batter-coated meat products during frying. Food Res. Int. 2024, 178, 113901. [Google Scholar] [CrossRef]
- Giuliangeli, V.C.; Ströher, G.R.; Shirai, M.A. Comparison of energy consumption, color, ascorbic acid and carotenoid degradation in guava (Psidium guajava) pulp during conventional and ohmic heating. J. Food Sci. Technol. 2023, 60, 222–232. [Google Scholar] [CrossRef]
- Luo, X.Y.; Xiao, S.T.; Ruan, Q.F.; Gao, Q.; An, Y.Q.; Hu, Y.; Xiong, S.B. Differences in flavor characteristics of frozen surimi products reheated by microwave, water boiling, steaming, and frying. Food Chem. 2022, 372, 131260. [Google Scholar] [CrossRef]
- Taşkıran, M.; Olum, E.; Candoğan, K. Changes in chicken meat proteins during microwave and electric oven cooking. J. Food Process. Preserv. 2020, 44, e14324. [Google Scholar] [CrossRef]
- Zaghi, A.N.; Barbalho, S.M.; Guiguer, E.L.; Otoboni, A.M. Frying process: From conventional to air frying technology. Food Rev. Int. 2019, 35, 763–777. [Google Scholar]
- Coria-Hernández, J.; Arjona-Román, J.L.; Meléndez-Pérez, R. Comparative study of conventional frying and air frying on the quality of potatoes (Solanum tuberosum L.). Food Sci. Nutr. 2023, 11, 6676–6685. [Google Scholar] [PubMed]
- Touffet, M.; Trystram, G.; Vitrac, O. Revisiting the mechanisms of oil uptake during deep-frying. Food Bioprod. Process. 2020, 123, 14–30. [Google Scholar] [CrossRef]
- Teruel, M.D.R.; Gordon, M.; Linares, M.B.; Garrido, M.D.; Ahromrit, A.; Niranjan, K. A comparative study of the characteristics of French fries produced by deep fat frying and air frying. J. Food Sci. 2015, 80, 349–358. [Google Scholar]
- Jo, K.; Lee, S.; Jeong, H.G.; Lee, D.H.; Kim, H.B.; Seol, K.H.; Kang, S.; Jung, S. Prediction of cooking loss of pork belly using quality properties of pork loin. Meat Sci. 2022, 194, 108957. [Google Scholar] [CrossRef]
- Li, F.F.; Zhong, Q.; Kong, B.H.; Wang, B.; Pan, N.; Xia, X.F. Deterioration in quality of quick-frozen pork patties induced by changes in protein structure and lipid and protein oxidation during frozen storage. Food Res. Int. 2020, 133, 109142. [Google Scholar] [CrossRef]
- Wang, B.; Li, F.F.; Pan, N.; Kong, B.H.; Xia, X.F. Effect of ice structuring protein on the quality of quick-frozen patties subjected to multiple freeze-thaw cycles. Meat Sci. 2021, 172, 108335. [Google Scholar] [CrossRef]
- Jiang, S.A.; Zhao, D.; Nian, Y.Q.; Wu, J.Q.; Zhang, M.; Li, Q.; Li, C.B. Ultrasonic treatment increased functional properties and in vitro digestion of actomyosin complex during meat storage. Food Chem. 2021, 352, 129398. [Google Scholar]
- Chen, Q.; Kong, B.H.; Sun, Q.X.; Dong, F.J.; Liu, Q. Antioxidant potential of a unique LAB culture isolated from Harbin dry sausage: In vitro and in a sausage model. Meat Sci. 2015, 110, 180–188. [Google Scholar] [CrossRef]
- Zhang, C.; Li, Y.X.; Xia, X.F.; Sun, Q.X.; Sun, F.D.; Kong, B.H. Changes in protein oxidation, structure, and thermal stability of chicken breast subjected to ultrasound-assisted immersion freezing during frozen storage. Food Chem. 2023, 398, 133874. [Google Scholar] [CrossRef] [PubMed]
- Cheng, L.J.; Wang, Q.; Li, X.F.; Huang, X.Y.; An, F.P.; Luo, Z.; Wang, J.J.; Zeng, Q.H.; Shang, P.; Liu, Z.D.; et al. Exploring the influence and mechanism of different frying methods on the flavor quality of low-salt sour meat. Food Chem. X 2024, 23, 101591. [Google Scholar] [CrossRef] [PubMed]
- Qi, J.; Zhang, W.W.; Feng, X.C.; Yu, J.H.; Han, M.Y.; Deng, S.L.; Zhou, G.H.; Wang, H.H.; Xu, X.L. Thermal degradation of gelatin enhances its ability to bind aroma compounds: Investigation of underlying mechanisms. Food Hydrocoll. 2018, 83, 497–510. [Google Scholar] [CrossRef]
- Fan, L.C.; Xiao, T.; Xian, C.N.; Ding, W.; Wang, X.C. Effect of short-term frozen storage on taste of gonads of female Eriocheir sinensis and the classification of taste quality combined with sensory evaluation and fuzzy logic model. Food Chem. 2022, 378, 132105. [Google Scholar] [CrossRef] [PubMed]
- Chen, Q.; Hu, Y.Y.; Wen, R.X.; Wang, Y.; Qin, L.G.; Kong, B.H. Characterisation of the flavour profile of dry fermented sausages with different NaCl substitutes using HS-SPME-GC-MS combined with electronic nose and electronic tongue. Meat Sci. 2021, 172, 108338. [Google Scholar] [CrossRef]
- Sun, X.X.; Yu, Y.M.; Wang, Z.Y.; Akhtar, K.H.; Saleh, A.S.; Li, W.H.; Zhang, D.Q. Insights into flavor formation of braised chicken: Based on E-nose, GC-MS, GC-IMS, and UPLC-Q-Exactive-MS/MS. Food Chem. 2024, 448, 138972. [Google Scholar] [CrossRef]
- Zhang, X.J.; Gao, P.; Xia, W.S.; Jiang, Q.X.; Liu, S.Q.; Xu, Y.S. Characterization of key aroma compounds in low-salt fermented sour fish by gas chromatography-mass spectrometry, odor activity values, aroma recombination and omission experiments. Food Chem. 2022, 397, 133773. [Google Scholar] [CrossRef]
- Szabó, R.T.; Kovács-Weber, M.; Zimborán, Á.; Kovács, L.; Erdélyi, M. Effects of short- and medium- chain fatty acids on production, meat quality, and microbial attributes-A review. Molecules 2023, 28, 4956. [Google Scholar] [CrossRef]
- Wang, X.P.; Zhou, P.F.; Cheng, J.R.; Yang, H.G.; Zou, J.H.; Liu, X.M. The role of endogenous enzyme from straw mushroom (Volvariella volvacea) in improving taste and volatile flavor characteristics of Cantonese sausage. LWT Food Sci. Technol. 2022, 154, 112627. [Google Scholar] [CrossRef]
- Zhang, C.Y.; Shi, R.L.; Liu, W.H.; Xu, Z.Y.; Mi, S.; Sang, Y.X.; Yu, W.L.; Wang, X.H. Effect of different thermal processing methods on sensory, nutritional, physicochemical and structural properties of Penaeus vannamei. Food Chem. 2024, 438, 138003. [Google Scholar] [CrossRef]
- Qi, J.; Li, C.B.; Chen, Y.J.; Gao, F.F.; Xu, X.L.; Zhou, G.H. Changes in meat quality of ovine longissimus dorsi muscle in response to repeated freeze and thaw. Meat Sci. 2012, 92, 619–626. [Google Scholar] [CrossRef] [PubMed]
- Andrés, A.; Arguelles, Á.; Castelló, M.L.; Heredia, A. Mass transfer and volume changes in French fries during air frying. Food Bioprocess Technol. 2013, 6, 1917–1924. [Google Scholar] [CrossRef]
- Esmer, O.K.; Irkin, R.; Degirmencioglu, N.; Degirmencioglu, A. The effects of modified atmosphere gas composition on microbiological criteria, color and oxidation values of minced beef meat. Meat Sci. 2011, 88, 221–226. [Google Scholar] [CrossRef] [PubMed]
- Parvin, R.; Zahid, M.A.; Seo, J.K.; Park, J.; Ko, J.; Yang, H.S. Influence of reheating methods and frozen storage on physicochemical characteristics and warmed-over flavor of nutmeg extract-enriched precooked beef meatballs. Antioxidants 2020, 9, 670. [Google Scholar] [CrossRef]
- Feng, M.Q.; Pan, L.H.; Yang, X.; Sun, J.; Xu, X.L.; Zhou, G.H. Thermal gelling properties and mechanism of porcine myofibrillar protein containing flaxseed gum at different NaCl concentrations. LWT Food Sci. Technol. 2018, 87, 361–367. [Google Scholar] [CrossRef]
- Turgut, S.S.; Işıkçı, F.; Soyer, A. Antioxidant activity of pomegranate peel extract on lipid and protein oxidation in beef meatballs during frozen storage. Meat Sci. 2017, 129, 111–119. [Google Scholar] [CrossRef]
- Jiao, Q.Q.; Lin, B.Y.; Mao, Y.X.; Jiang, H.Y.; Guan, X.Y.; Li, R.; Wang, S.J. Effects of combined radio frequency heating with oven baking on product quality of sweet potato. Food Control 2022, 139, 109097. [Google Scholar] [CrossRef]
- Lu, L.X.; Xu, F. Effects of initial oxygen concentration and oxygen-barrier property of film on fat oxidation rate of packed cookies. Eur. Food Res. Technol. 2010, 231, 347–351. [Google Scholar] [CrossRef]
- Bian, C.H.; Yu, H.J.; Yang, K.; Mei, J.; Xie, J. Effects of single-, dual-, and multi-frequency ultrasound-assisted freezing on the muscle quality and myofibrillar protein structure in large yellow croaker (Larimichthys crocea). Food Chem. X 2022, 15, 100362. [Google Scholar] [CrossRef] [PubMed]
- Zhang, M.; Fu, J.J.; Mao, J.L.; Dong, X.P.; Chen, Y.W. Correlations of dynamic changes in lipid and protein of salted large yellow croaker during storage. Food Res. Int. 2024, 186, 114410. [Google Scholar] [CrossRef] [PubMed]
- Wang, Y.; Tian, X.J.; Liu, X.Z.; Zhang, Y.F.; Zhao, K.X.; Zhang, K.; Wang, W.H. Effects of different cooking methods on physicochemical, textural properties of yak meat and its changes with intramuscular connective tissue during in vitro digestion. Food Chem. 2023, 422, 136188. [Google Scholar] [CrossRef] [PubMed]
- Guo, Q.S.; Sun, D.W.; Cheng, J.H.; Han, Z. Microwave processing techniques and their recent applications in the food industry. Trends Food Sci. Technol. 2017, 67, 236–247. [Google Scholar] [CrossRef]
- Wang, X.J.; Muhoza, B.; Wang, X.W.; Feng, T.T.; Xia, S.Q.; Zhang, X.M. Comparison between microwave and traditional water bath cooking on saltiness perception, water distribution and microstructure of grass crap meat. Food Res. Int. 2019, 125, 108521. [Google Scholar] [CrossRef] [PubMed]
- Dong, W.J.; Hu, R.S.; Long, Y.Z.; Li, H.H.; Zhang, Y.J.; Zhu, K.X.; Chu, Z. Comparative evaluation of the volatile profiles and taste properties of roasted coffee beans as affected by drying method and detected by electronic nose, electronic tongue, and HS-SPME-GC-MS. Food Chem. 2018, 272, 723–731. [Google Scholar] [CrossRef] [PubMed]
- Wang, L.; Yang, K.; Liu, L. Comparative flavor analysis of four kinds of sweet fermented grains by sensory analysis combined with GC-MS. Int. J. Food Eng. 2022, 18, 75–85. [Google Scholar] [CrossRef]
- Zhao, C.J.; Schieber, A.; Gänzle, M.G. Formation of taste-active amino acids, amino acid derivatives and peptides in food fermentations-A review. Food Res. Int. 2016, 89, 39–47. [Google Scholar] [CrossRef] [PubMed]
- Wang, Z.M.; He, Z.F.; Emara, A.M.; Gan, X.; Li, H.J. Effects of malondialdehyde as a byproduct of lipid oxidation on protein oxidation in rabbit meat. Food Chem. 2019, 288, 405–412. [Google Scholar] [CrossRef]
- Sheng, M.L.; Lin, S.Y.; Ma, T.T.; Qin, L.; Chang, Y.X.; Chen, D. The improvement effects of Lentinus edodes powder marination on sous vide cooked chicken patties: Physicochemical attributes, oxidative properties and flavor characteristics. Food Chem. 2024, 444, 138689. [Google Scholar] [CrossRef] [PubMed]
- Dinh, T.T.N.; Legako, J.F.; Miller, M.F.; Brooks, J.C. Effects of USDA quality grade and cooking on water-soluble precursors of beef flavor. Meat Sci. 2018, 146, 122–130. [Google Scholar] [CrossRef]
- Li, Y.L.; Wang, X.J.; Xue, Y.; Ruan, S.Y.; Zhou, A.Q.; Huang, S.F.; Ma, H.L. Research on the preparation and identification of characteristic flavour compounds of Maillard reaction products of protein hydrolysate from grass carp (Ctenopharyngodon idella) bone. J. Food Qual. 2021, 2021, 8394152. [Google Scholar] [CrossRef]
- Yang, W.X.; Shi, W.Z.; Zhou, S.N.; Qu, Y.H.; Wang, Z.H. Research on the changes of water-soluble flavor substances in grass carp during steaming. J. Food Biochem. 2019, 43, e12993. [Google Scholar] [CrossRef] [PubMed]
- Pennazza, G.; Fanali, C.; Santonico, M.; Dugo, L.; Cucchiarini, L.; Dachà, M.; D’Amico, A.; Costa, R.; Dugo, P.; Mondello, L. Electronic nose and GC-MS analysis of volatile compounds in Tuber magnatum Pico: Evaluation of different storage conditions. Food Chem. 2013, 136, 668–674. [Google Scholar] [CrossRef] [PubMed]
- Ge, L.Q.; Wu, Y.Q.; Zou, W.H.T.; Mao, X.J.; Wang, Y.X.; Du, J.L.; Zhao, H.B.; Zhu, C.Y. Analysis of the trend of volatile compounds by HS-SPME-GC-MS and the main factors affecting the formation of rancid odor during the oxidation process of infant nutrition package. J. Food Sci. Technol. 2022, 59, 3367–3378. [Google Scholar] [CrossRef] [PubMed]
- Liu, L.; Guan, X.Y.; Jiao, Q.Q.; Xu, J.J.; Li, R.; Erdogdu, F.; Wang, S.J. Developing combined radio frequency with water bath treatments to improve gel properties of minced chicken breast. Food Bioprocess Technol. 2024, 17, 138–153. [Google Scholar] [CrossRef]
- Guyon, C.; Meynier, A.; de Lamballerie, M. Protein and lipid oxidation in meat: A review with emphasis on high-pressure treatments. Trends Food Sci. Technol. 2016, 50, 131–143. [Google Scholar] [CrossRef]
- An, Y.Q.; Qian, Y.L.; Alcazar Magana, A.; Xiong, S.B.; Qian, M.C. Comparative characterization of aroma compounds in silver carp (Hypophthalmichthys molitrix), Pacific whiting (Merluccius productus), and Alaska Pollock (Theragra chalcogramma) surimi by aroma extract dilution analysis, odor activity value, and aroma recombination studies. J. Agric. Food Chem. 2020, 68, 10403–10413. [Google Scholar] [PubMed]
- Song, J.H.; Li, X.R.; Jiang, P.F.; Lin, S.Y. Dynamic water migration and flavor analysis of sea cucumber in the process of Sichuan pepper seasoning soak. Food Chem. 2024, 459, 140411. [Google Scholar] [CrossRef] [PubMed]
- Li, C.; Zou, Y.L.; Liao, G.Z.; Zheng, Z.J.; Chen, G.H.; Zhong, Y.R.; Wang, G.Y. Identification of characteristic flavor compounds and small molecule metabolites during the ripening process of Nuodeng ham by GC-IMS, GC-MS combined with metabolomics. Food Chem. 2024, 440, 138188. [Google Scholar] [CrossRef]









| Sensors | Performance Description |
|---|---|
| W1C | Sensitive to aromatic compounds (benzene) |
| W5S | Sensitive to nitrogen oxides |
| W3C | Sensitive to aromatic compounds (ammonia) |
| W6S | Sensitive to hydrides |
| W5C | Sensitive to aromatic compounds (short-chain alkane) |
| W1S | Sensitive to methyl compounds |
| W1W | Sensitive to inorganic sulfides |
| W2S | Sensitive to alcohols |
| W2W | Sensitive to aromatic compounds (organic sulfides) |
| W3S | Sensitive to long-chain alkanes |
| Reheating Methods | L* | a* | b* |
|---|---|---|---|
| CK | 69.02 ± 1.34 ab | 6.75 ± 0.26 c | 26.51 ± 0.72 c |
| WR | 66.31 ± 0.84 c | 7.02 ± 0.12 b | 29.14 ± 1.12 a |
| SR | 70.28 ± 1.08 a | 7.04 ± 0.14 b | 27.28 ± 0.73 bc |
| AR | 68.39 ± 0.92 b | 7.18 ± 0.11 b | 27.52 ± 0.49 bc |
| RR | 64.15 ± 1.05 d | 7.49 ± 0.17 a | 28.01 ± 0.86 b |
| MR | 63.45 ± 1.01 d | 7.23 ± 0.14 b | 27.68 ± 1.02 bc |
Disclaimer/Publisher’s Note: The statements, opinions and data contained in all publications are solely those of the individual author(s) and contributor(s) and not of MDPI and/or the editor(s). MDPI and/or the editor(s) disclaim responsibility for any injury to people or property resulting from any ideas, methods, instructions or products referred to in the content. |
© 2025 by the authors. Licensee MDPI, Basel, Switzerland. This article is an open access article distributed under the terms and conditions of the Creative Commons Attribution (CC BY) license (https://creativecommons.org/licenses/by/4.0/).
Share and Cite
Ren, X.; Wang, C.; Wang, X.; Su, T.; Yu, Y. Impacts of Various Reheating Methods on Crispy Chicken: Physicochemical Properties, Oxidation and Flavor Profiles. Foods 2025, 14, 1574. https://doi.org/10.3390/foods14091574
Ren X, Wang C, Wang X, Su T, Yu Y. Impacts of Various Reheating Methods on Crispy Chicken: Physicochemical Properties, Oxidation and Flavor Profiles. Foods. 2025; 14(9):1574. https://doi.org/10.3390/foods14091574
Chicago/Turabian StyleRen, Xiaona, Chun Wang, Xueqing Wang, Tingting Su, and Yigang Yu. 2025. "Impacts of Various Reheating Methods on Crispy Chicken: Physicochemical Properties, Oxidation and Flavor Profiles" Foods 14, no. 9: 1574. https://doi.org/10.3390/foods14091574
APA StyleRen, X., Wang, C., Wang, X., Su, T., & Yu, Y. (2025). Impacts of Various Reheating Methods on Crispy Chicken: Physicochemical Properties, Oxidation and Flavor Profiles. Foods, 14(9), 1574. https://doi.org/10.3390/foods14091574

