Research on Quality Evaluation of the Seeds of Cichorium glandulosum Boiss. et Huet.
Abstract
1. Introduction
2. Materials and Methods
2.1. Reagents and Medicinal Materials
2.2. Instruments
2.3. Experimental Methods
2.3.1. Sample Preparation
2.3.2. The Condition of UPLC-MS/MS
2.3.3. The Condition of HPLC
2.3.4. Mid-Infrared Spectrometer
2.3.5. Algorithms
2.3.6. Modeling Information
3. Results
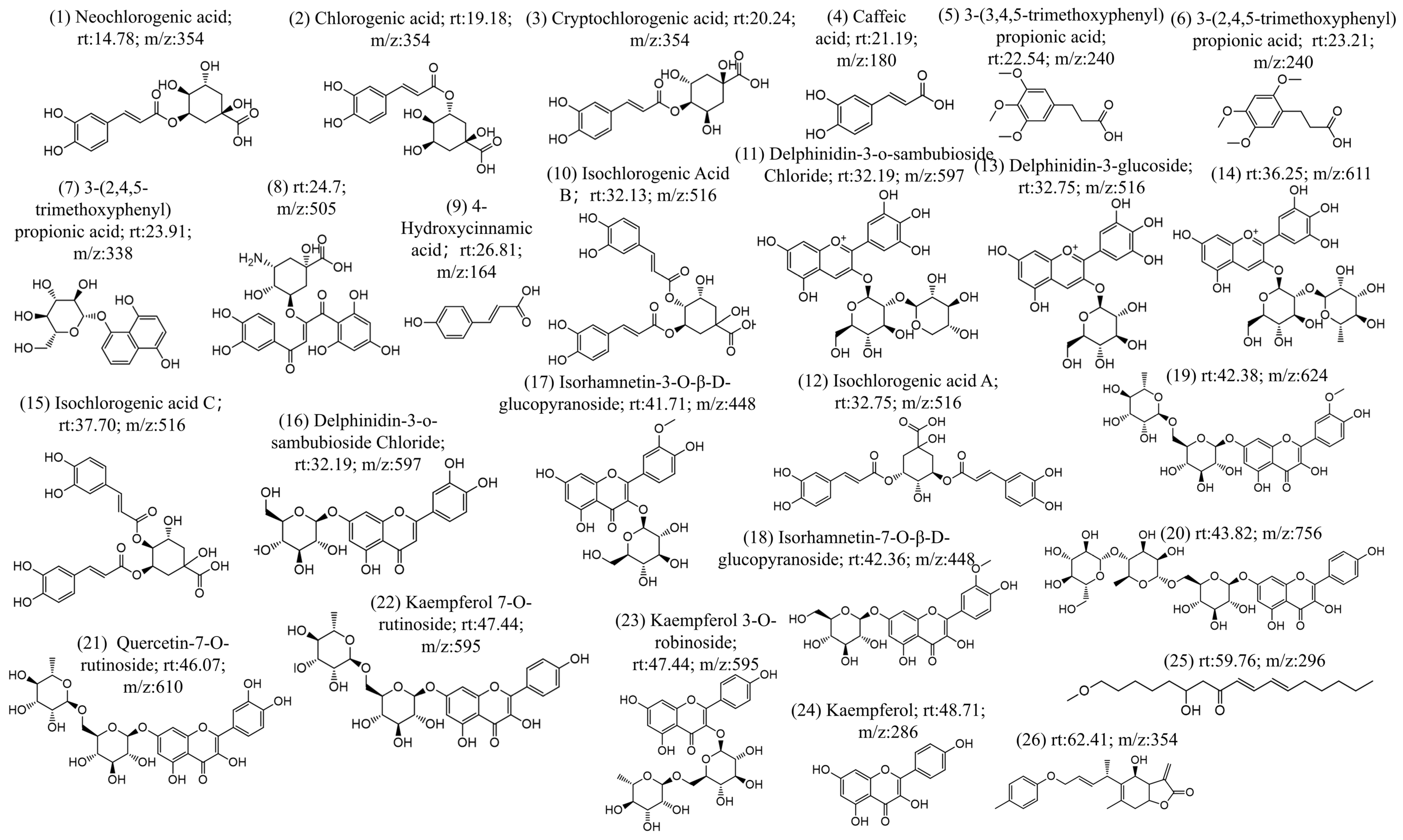
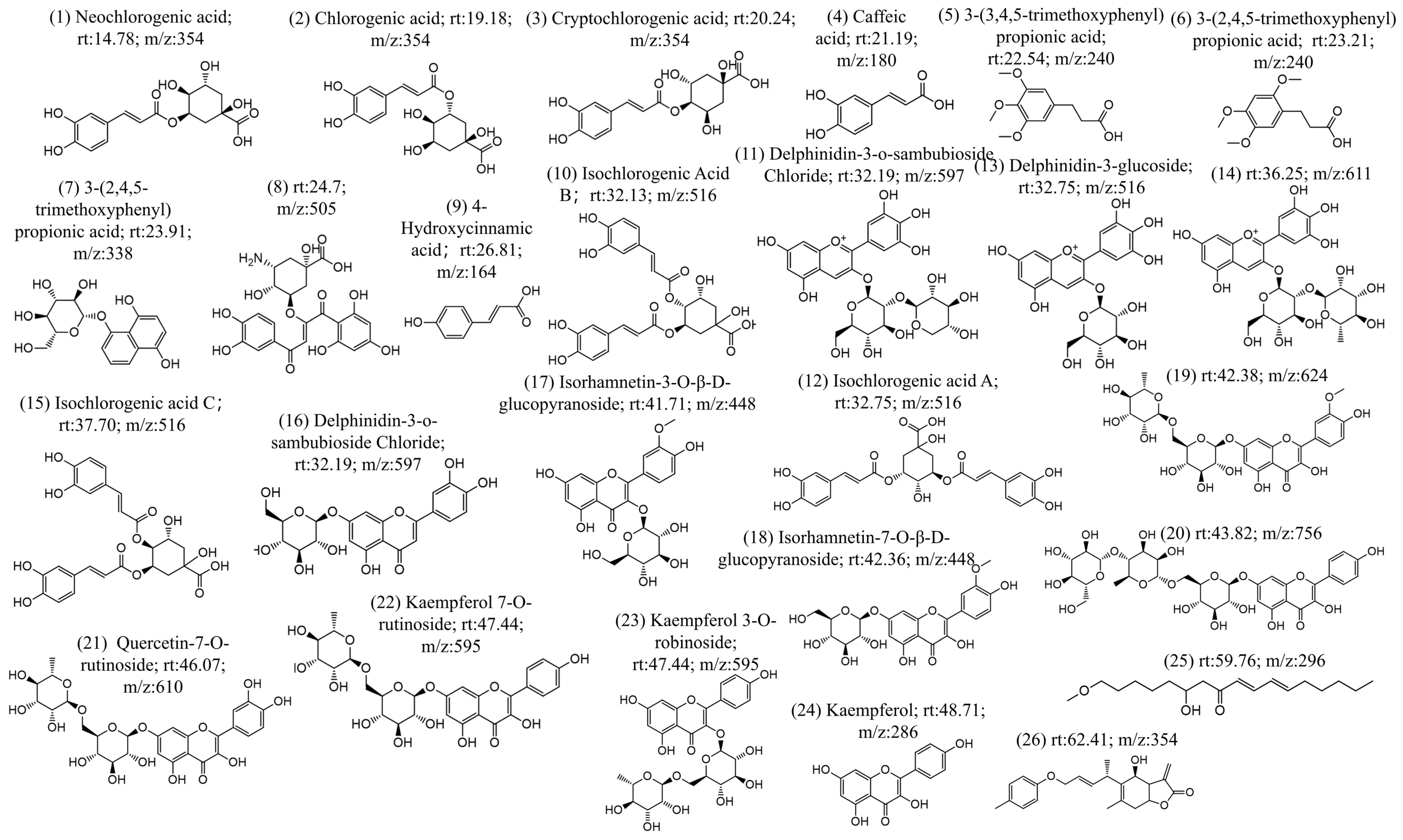
3.1. UPLC-MS/MS
3.2. HPLC for Compound Identification
3.3. Infrared Spectroscopy
3.3.1. Mid-Infrared Spectroscopy
3.3.2. Infrared Models for Chemical Components in CS
- Chlorogenic Acid
- Aesculin
- 1,4-Dicaffeoylquinic Acid
- Isochlorogenic Acid A
- 1,5-Dicaffeoylquinic acid
4. Conclusions
Supplementary Materials
Author Contributions
Funding
Data Availability Statement
Acknowledgments
Conflicts of Interest
References
- Altuncevahir, İ.Ö.; Erdoğan, E.; Yücesoy, S. Evaluation nutrients of Turkish Snack Bars Based on Labeling and Web Page Information: A Qualitative Research. J. Food Qual. Hazards Control 2024, 11. [Google Scholar] [CrossRef]
- Zhang, Q.; Jia, Y.; Zhang, Y.; Wang, Y.; Li, X.; Tian, X.; Han, S. The effects of medicinal and food homologous substances on blood lipid and blood glucose levels and liver function in patients with nonalcoholic fatty liver disease: A systematic review of randomized controlled trials. Lipids Health Dis. 2023, 22, 137. [Google Scholar] [CrossRef]
- Archana; Kumar, R.B.; Singh, V.J. Prebiotics in the Treatment and Management of Irritable Bowel Disease. Int. Pharm. Sci. 2021, 15, 126. [Google Scholar] [CrossRef]
- Atta, A.H.; Elkoly, T.A.; Mouneir, S.M.; Kamel, G.; Alwabel, N.A.; Zaher, S. Hepatoprotective Effect of Methanol Extracts of Zingiber officinale and Cichorium intybus. Indian J. Pharm. Sci. 2011, 72, 564–570. [Google Scholar] [CrossRef]
- Fatima, S.; Ahmed, J.; Kabir, H.; Khan, A.J. Clinical evaluation of some Unani drugs on sailan-ur-reham iltahabi (inflammatory vaginal discharge). Hamdard Med. 2000, 43, 13–21. [Google Scholar]
- Nishimura, M.; Ohkawara, T.; Kanayama, T.; Kitagawa, K.; Nishimura, H.; Nishihira, J. Effects of the extract from roasted chicory (Cichorium intybus L.) root containing inulin-type fructans on blood glucose, lipid metabolism, and fecal properties. J. Tradit. Complement. Med. 2015, 5, 161–167. [Google Scholar] [CrossRef] [PubMed]
- Street, R.A.; Sidana, J.; Prinsloo, G. Cichorium intybus: Traditional Uses, Phytochemistry, Pharmacology, and Toxicology. Evid.-Based Complement. Altern. Med. 2013, 2013, 579319. [Google Scholar] [CrossRef]
- Mulabagal, V.; Wang, H.; Ngouajio, M.; Nair, M.G. Characterization and quantification of health beneficial anthocyanins in leaf chicory (Cichorium intybus) varieties. Eur. Food Res. Technol. 2009, 230, 47–53. [Google Scholar] [CrossRef]
- Duda, Ł.; Kłosiński, K.K.; Budryn, G.; Jaśkiewicz, A.; Kołat, D.; Kałuzińska-Kołat, Ż.; Pasieka, Z.W. Medicinal Use of Chicory (Cichorium intybus L.). Sci. Pharm. 2024, 92, 31. [Google Scholar] [CrossRef]
- Yan, M.; Huang, Y.; Diao, J.; Zhong, L.; Leng, Y.; Kang, A.; Yan, H. Study on the Identification methods of seed of Cichorium inrybus L. Lishizhen Med. Mater. Res. 2006, 12, 2447–2448. [Google Scholar]
- Li, Y.; Xie, Y.; He, Y.; Hou, W.; Liao, M.; Liu, C. Quality Markers of Traditional Chinese Medicine: Concept, Progress, and Perspective. Engineering 2019, 5, 888–894. [Google Scholar] [CrossRef]
- Wang, Y.-L.; Cui, T.; Li, Y.-Z.; Liao, M.-L.; Zhang, H.-B.; Hou, W.-B.; Zhang, T.-J.; Liu, L.; Huang, H.; Liu, C.-X. Prediction of quality markers of traditional Chinese medicines based on network pharmacology. Chin. Herb. Med. 2019, 11, 349–356. [Google Scholar] [CrossRef]
- Zhang, T.; Bai, G.; Han, Y.; Xu, J.; Gong, S.; Li, Y.; Zhang, H.; Liu, C. The method of quality marker research and quality evaluation of traditional Chinese medicine based on drug properties and effect characteristics. Phytomedicine 2018, 44, 204–211. [Google Scholar] [CrossRef]
- Li, Y.; Ju, S.; Lin, Z.; Wu, H.; Wang, Y.; Jin, H.; Ma, S.; Zhang, B. Bioactive-Chemical Quality Markers Revealed: An Integrated Strategy for Quality Control of Chicory. Front. Nutr. 2022, 9, 934176. [Google Scholar] [CrossRef] [PubMed]
- Liu, T.; Zhuang, X.X.; Zheng, W.J.; Gao, J.R. Integrative multi-omics and network pharmacology reveal the mechanisms of Fangji Huangqi Decoction in treating IgA nephropathy. J. Ethnopharmacol. 2025, 337, 118996. [Google Scholar] [CrossRef]
- Cheng, C.; Xu, C.; Zhou, W.; Xue, L.; Wang, S.; Zhai, Q.; Dai, R. Integrated network pharmacology and serum metabonomics analysis to explore the potential mechanism of Anemarrhena asphodeloides Bunge-Phellodendron chinense Schneid herb pair in the treatment of benign prostatic hyperplasia. J. Pharm. Biomed. Anal. 2024, 248, 116264. [Google Scholar] [CrossRef]
- Bertol, G.; Cobre, A.F.; Pontarolo, R. Differentiation of Mikania glomerata and Mikania laevigata Species Through Mid-infrared Spectroscopy and Chemometrics Guided by HPLC-DAD Analyses. Rev. Bras. De Farmacogn.-Braz. J. Pharmacogn. 2021, 31, 442–452. [Google Scholar] [CrossRef]
- Guo, Y.Z.; Wang, J.J.; Lu, L.L.; Sun, S.Q.; Liu, Y.; Xiao, Y.; Qin, Y.W.; Xiao, L.J.; Wen, H.R.; Qu, L. Application of mid-infrared spectroscopy in analyzing different segmented production of Angelica by AB-8 macroporous resin. J. Mol. Struct. 2016, 1103, 61–69. [Google Scholar] [CrossRef]
- Craig, A.P.; Botelho, B.G.; Oliveira, L.S.; Franca, A.S. Mid infrared spectroscopy and chemometrics as tools for the classification of roasted coffees by cup quality. Food Chem. 2018, 245, 1052–1061. [Google Scholar] [CrossRef]
- Bureau, S.; Scibisz, I.; Le Bourvellec, C.; Renard, C. Effect of Sample Preparation on the Measurement of Sugars, Organic Acids, and Polyphenols in Apple Fruit by Mid-infrared Spectroscopy. J. Agric. Food Chem. 2012, 60, 3551–3563. [Google Scholar] [CrossRef]
- Ning, Y.; Yan, Y.L.; Deng, L.Y.; Wu, W.B.; Liu, Y.D.; Wen, Y.Q.; Xie, M.M.; Liu, R.; Wang, N.; Wang, Y.F.; et al. Multimodal analysis tools for the molecular, cellular and genetic characterisation of TCM decoction pieces with sweet and salty flavor during moldy process. Ind. Crops Prod. 2024, 222, 119758. [Google Scholar] [CrossRef]
- Tao, L.Y.; Via, B.; Wu, Y.J.; Xiao, W.; Liu, X.S. NIR and MIR spectral data fusion for rapid detection of Lonicera japonica and Artemisia annua by liquid extraction process. Vib. Spectrosc. 2019, 102, 31–38. [Google Scholar] [CrossRef]
- Liu, Y.C.; Sun, G.X.; Luan, J.Y.; Ling, J.H.; Zhang, J.; Yang, F.L. A comprehensive strategy to monitor quality consistency of Weibizhi tablets based on integrated MIR and UV spectroscopic fingerprints, a systematically quantified fingerprint method, antioxidant activities and UPLC-Q-TOF-MS chemical profiling. RSC Adv. 2016, 6, 366–375. [Google Scholar] [CrossRef]
- Xia, Z.Y.; Sun, Y.M.; Cai, C.Y.; He, Y.; Nie, P.C. Rapid Determination of Chlorogenic Acid, Luteoloside and 3,5-O-dicaffeoylquinic Acid in Chrysanthemum Using Near-Infrared Spectroscopy. Sensors 2019, 19, 1981. [Google Scholar] [CrossRef] [PubMed]
- Yang, W.; Xiong, Y.; Wang, H.; Wu, T.; Du, Y. Interval interaction moving window partial least squares for wavelength interval selection in near infrared spectroscopy. Chemom. Intell. Lab. Syst. 2023, 241, 104976. [Google Scholar] [CrossRef]
- Jiang, W.; Lu, C.; Zhang, Y.; Ju, W.; Wang, J.; Hong, F.; Wang, T.; Ou, C. Moving-Window-Improved Monte Carlo Uninformative Variable Elimination Combining Successive Projections Algorithm for Near-Infrared Spectroscopy (NIRS). J. Spectrosc. 2020, 2020, 3590301. [Google Scholar] [CrossRef]
- Song, X.; Huang, Y.; Yan, H.; Xiong, Y.; Min, S. A novel algorithm for spectral interval combination optimization. Anal. Chim. Acta 2016, 948, 19–29. [Google Scholar] [CrossRef]
- Schmid, M.; Rath, D.; Diebold, U. Why and How Savitzky–Golay Filters Should Be Replaced. ACS Meas. Sci. Au 2022, 2, 185–196. [Google Scholar] [CrossRef]
- Li, T.; Wu, Y.; Wu, F.; Mohammed, S.; Wong, R.K.; Ong, K.-L. Sleep pattern inference using IoT sonar monitoring and machine learning with Kennard-stone balance algorithm. Comput. Electr. Eng. 2021, 93, 107181. [Google Scholar] [CrossRef]
- Fearn, T. Assessing Calibrations: SEP, RPD, RER and R2. NIR News 2002, 13, 12–13. [Google Scholar] [CrossRef]
- Teixeira dos Santos, C.A.; Páscoa, R.N.M.J.; Porto, P.A.L.S.; Cerdeira, A.L.; González-Sáiz, J.M.; Pizarro, C.; Lopes, J.A. Raman spectroscopy for wine analyses: A comparison with near and mid infrared spectroscopy. Talanta 2018, 186, 306–314. [Google Scholar] [CrossRef] [PubMed]
- Near-Infrared Technology in the Agricultural and Food Industries, 2nd ed.; American Association of Cereal Chemists Inc.: St Paul, MN, USA, 2001.









| Number | Name | Retention Time (min) | m/z | Ion Mode | Number | Name | Retention Time (min) | m/z | Ion Mode |
|---|---|---|---|---|---|---|---|---|---|
| 1 | Isoguanosine | 7.76 | 284.1 | M+H | 26 | Trifolin | 38.01 | 447.09 | M-H |
| 2 | Neochlorogenic acid | 14.78 | 355.31 | M+H | 27 | Luteolin-4′-O-glucoside | 39.91 | 449.11 | M+H |
| 3 | p-Hydroxybenzoic acid | 16.07 | 137.02 | M-H | 28 | Morin | 40.31 | 301.05 | M-H |
| 4 | Esculin | 16.54 | 339.07 | M-H | 29 | Kaempferol-7-O-hexoside | 40.71 | 449.11 | M+H |
| 5 | L-Hyoscyamine | 17.79 | 290.17 | M+H | 30 | Moupinamide | 41.39 | 314.14 | M+H |
| 6 | Caffeoylquinic acid | 19.18 | 355.1 | M+H | 31 | Luteolin 7-Glucoside | 41.52 | 449.1 | M+H |
| 7 | Esculetin | 20.22 | 178.03 | M+H | 32 | Isorhamnetin-3-O-Glucoside | 41.71 | 477.1 | M-H |
| 8 | Cryptochlorogenic acid | 20.24 | 355.31 | M+H | 33 | Kaempferol-3-O-Robinobioside | 41.81 | 595.17 | M+H |
| 9 | Caffeicacid | 21.19 | 181.05 | M+H | 34 | Isorhamnetin7-Glucoside | 42.36 | 479.11 | M+H |
| 10 | 1,3-Dicaffeoylquinic acid | 21.69 | 517.13 | M+H | 35 | Ethylcaffeate | 45.01 | 207.07 | M-H |
| 11 | 3-(3,4,5-Trimethoxyphenyl) propanoic acid | 22.54 | 241.25 | M+H | 36 | 11beta,13-Dihydrolactucopicrin | 46 | 413.4 | M+H |
| 12 | 3-(3,4,5-Trimethoxyphenyl) propanoic acid | 23.21 | 241.25 | M+H | 37 | Quercetin-7-O-rutinoside | 46.07 | 611.15 | M+H |
| 13 | Lactucin | 23.83 | 277.11 | M+H | 38 | Quercetin | 46.31 | 303.05 | M+H |
| 14 | Hydrojuglone glucoside | 23.91 | 163.04 | M-H | 39 | Kaempferol 7-O-Rutinoside | 47.44 | 595.14 | M+H |
| 15 | p-Hydroxy-cinnamicacid | 26.81 | 163.04 | M-H | 40 | Lactupicrin | 48.17 | 411.24 | M+H |
| 16 | Chicoric acid | 28.30 | 473.07 | M-H | 41 | Biorobin | 48.38 | 595.15 | M+H |
| 17 | Isochlorogenicacid B | 32.13 | 517.45 | M+H | 42 | Kaempferol | 48.71 | 285.04 | M-H |
| 18 | Delphinidin3-O-beta-D-sambubioside | 32.19 | 597.15 | M | 43 | D-(-)-salicin | 48.83 | 309.1 | M+Na |
| 19 | IsochlorogenicacidA | 32.75 | 517.45 | M+H | 44 | Isorhamnetin | 49.28 | 315.05 | M-H |
| 20 | 1,5-Dicaffeoylquinic acid | 33.69 | 517.13 | M+H | 45 | 9,12,13-Trihydroxy-10-OctadecenoicAcid | 54.71 | 329.23 | M-H |
| 21 | Delphinidin3-glucoside | 35.63 | 465.11 | M | 46 | Alpha-Linolenicacid | 57.89 | 279.23 | M+H |
| 22 | Quercetin-3-O-glucoside | 35.64 | 465.1 | M+H | 47 | Apigenin | 59.36 | 269.05 | M-H |
| 23 | Quercetin-3-O-galactoside | 35.66 | 463.09 | M-H | 48 | Linolenicacidethylester | 61.68 | 307.26 | M+H |
| 24 | Rutin | 36.22 | 609.15 | M-H | 49 | 2-LinoleoylGlycerol | 62.72 | 355.28 | M+H |
| 25 | Isochlorogenic acidC | 37.76 | 517.45 | M+H |
| Components | R2cv | RMSECV | RPD_cv | RER_cv | R2pre | RMSEP | RPD_pre | RER_pre |
|---|---|---|---|---|---|---|---|---|
| Chlorogenic Acid | 0.9548 | 0.0384 | 4.7036 | 18.3359 | 0.9345 | 0.0473 | 3.9073 | 10.6342 |
| Aesculin | 0.7070 | 0.0308 | 1.8474 | 6.6948 | 0.7143 | 0.0244 | 1.8709 | 4.7623 |
| 1,4-Dicaffeoylquinic Acid | 0.9403 | 0.0110 | 4.0927 | 16.5818 | 0.9070 | 0.0122 | 3.2791 | 10.0082 |
| Isochlorogenic Acid A | 0.5203 | 0.0256 | 1.4438 | 6.7422 | 0.5904 | 0.0199 | 1.5625 | 4.5226 |
| 1,5-Dicaffeoylquinic acid | 0.9568 | 0.1433 | 4.8113 | 20.3119 | 0.9667 | 0.1695 | 5.4800 | 14.8136 |
Disclaimer/Publisher’s Note: The statements, opinions and data contained in all publications are solely those of the individual author(s) and contributor(s) and not of MDPI and/or the editor(s). MDPI and/or the editor(s) disclaim responsibility for any injury to people or property resulting from any ideas, methods, instructions or products referred to in the content. |
© 2025 by the authors. Licensee MDPI, Basel, Switzerland. This article is an open access article distributed under the terms and conditions of the Creative Commons Attribution (CC BY) license (https://creativecommons.org/licenses/by/4.0/).
Share and Cite
Chen, X.; Jiang, J.; Li, F.; Lei, W.; Li, J.; Wang, X.; Wenhua, A.; Xia, J.; He, J. Research on Quality Evaluation of the Seeds of Cichorium glandulosum Boiss. et Huet. Foods 2025, 14, 1434. https://doi.org/10.3390/foods14081434
Chen X, Jiang J, Li F, Lei W, Li J, Wang X, Wenhua A, Xia J, He J. Research on Quality Evaluation of the Seeds of Cichorium glandulosum Boiss. et Huet. Foods. 2025; 14(8):1434. https://doi.org/10.3390/foods14081434
Chicago/Turabian StyleChen, Xu, Jianshuang Jiang, Fengling Li, Wen Lei, Juan Li, Xiaoting Wang, Ayiben Wenhua, Jingjing Xia, and Jiang He. 2025. "Research on Quality Evaluation of the Seeds of Cichorium glandulosum Boiss. et Huet." Foods 14, no. 8: 1434. https://doi.org/10.3390/foods14081434
APA StyleChen, X., Jiang, J., Li, F., Lei, W., Li, J., Wang, X., Wenhua, A., Xia, J., & He, J. (2025). Research on Quality Evaluation of the Seeds of Cichorium glandulosum Boiss. et Huet. Foods, 14(8), 1434. https://doi.org/10.3390/foods14081434
