Cheesecake Customized Using Juice and By-Products from Prickly Pears: A Case Study of Recycling and Environmental Impact Evaluation
Abstract
1. Introduction
2. Materials and Methods
2.1. Prickly Pear Processing and By-Product Dehydration
2.2. Cheesecake Production
2.3. Cheesecake Centesimal Composition
2.4. Cheesecake Sensory Evaluation
2.5. By-Product Water Content
2.6. Energy Consumption of the By-Product’s Dehydration Process
2.7. Life Cycle Assessment (LCA) of Cheesecakes
2.7.1. Life Cycle Inventory (LCI)
2.7.2. Life Cycle Impact Assessment (LCIA)
3. Results and Discussion
3.1. Cheesecake Composition and Sensory Acceptability
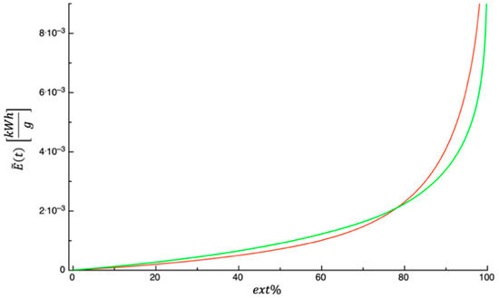
3.2. Energy Consumption of the By-Product Dehydration Process
3.3. Environmental Impact of Cheesecake with and Without Prickly Pears
4. Conclusions
Supplementary Materials
Author Contributions
Funding
Data Availability Statement
Acknowledgments
Conflicts of Interest
References
- Buttriss, J.L. Why food reformulation and innovation are key to a healthier and more sustainable diet. Nutr. Bull. 2020, 45, 244–252. [Google Scholar] [CrossRef]
- McClements, D.J. Future foods: Is it possible to design a healthier and more sustainable food supply? Nutr. Bull. 2020, 45, 341–354. [Google Scholar]
- Walker, C.; Pfister, S.; Hellweg, S. Methodology and optimization tool for a personalized low environmental impact and healthful diet specific to country and season. J. Ind. Ecol. 2021, 25, 1147–1160. [Google Scholar]
- Bianchi, F.; Tolve, R.; Rainero, G.; Bordiga, M.; Brennan, C.S.; Simonato, B. Technological, nutritional and sensory properties of pasta fortified with agroindustrial by-products: A review. Int. J. Food Sci. Technol. 2021, 56, 4356–4366. [Google Scholar]
- Cedola, A.M.; Cardinali, A.; D’Antuono, I.; Conte, A.; Del Nobile, M.A. Cereal foods fortified with by-products from the olive oil industry. Food Biosci. 2020, 33, 100490. [Google Scholar]
- Gaglio, R.; Tesoriere, L.; Maggio, A.; Viola, E.; Attanzio, A.; Frazzitta, A.; Badalamenti, N.; Bruno, M.; Franciosi, E.; Moschetti, G.; et al. Reuse of almond by-products: Functionalization of traditional semolina sourdough bread with almond skin. Int. J. Food Microbiol. 2023, 395, 110194. [Google Scholar] [CrossRef]
- Reguengo, L.M.; Salgaço, M.K.; Sivieri, K.; Marostica Júnior, M.R. Agro-industrial by-products: Valuable sources of bioactive compounds. Food Res. Int. 2022, 152, 110871. [Google Scholar]
- Majerska, J.; Michalska, A.; Figiel, A. A review of new directions in managing fruit and vegetable processing by-products. Trends Food Sci. Technol. 2019, 88, 207–219. [Google Scholar] [CrossRef]
- Rashwan, A.; Bai, H.; Osman, A.I.; Eltohamy, K.M.; Chen, Z.; Younis, H.A.; Al-Fatesh, A.; Rooney, D.W.; Yap, P.S. Recycling food and agriculture by-products to mitigate climate change: A review. Environ. Chem. Lett. 2023, 21, 3351–3375. [Google Scholar]
- Cardador-Martínez, A.; Jimenez Martinez, C.; Sandoval, G. Revalorization of cactus pear (Opuntia spp.) wastes as a source of antioxidants. Food Sci. Technol. 2011, 31, 782–788. [Google Scholar]
- Melgar, B.; Dias, M.I.; Ciric, A.; Sokovic, M.; Garcia-Castello, E.M.; Rodriguez-Lopez, A.D.; Barros, L.; Ferreira, I. By-product recovery of Opuntia spp. peels: Betalainic and phenolic profiles and bioactive properties. Ind. Crops Prod. 2017, 107, 353–359. [Google Scholar]
- Palmeri, R.; Parafati, L.; Arena, E.; Grassenio, E.; Restuccia, C.; Fallico, B. Antioxidant and antimicrobial properties of semi-processed frozen prickly pear juice as affected by cultivar and harvest time. Foods 2020, 9, 235. [Google Scholar] [CrossRef]
- Karabagias, V.K.; Karabagias, I.K.; Prodromiti, M.; Gatzias, I.; Badeka, A. Bio-functional alcoholic beverage preparation using prickly pear juice and its pulp in combination with sugar and blossom honey. Food Biosci. 2020, 35, 100591. [Google Scholar]
- Chougui, N.; Djerroud, N.; Naraoui, F.; Hadjal, S.; Aliane, K.; Zeroual, B.; Larbat, R. Physicochemical properties and storage stability of margarine containing Opuntia ficus-indica peel extract as antioxidant. Food Chem. 2015, 173, 382–390. [Google Scholar]
- Bouazizi, S.; Montevecchi, G.; Antonelli, A.; Hamdi, M. Effects of prickly pear (Opuntia ficus-indica L.) peel flour as an innovative ingredient in biscuits formulation. LWT-Food Sci. Technol. 2020, 124, 109155. [Google Scholar]
- Parafati, L.; Restuccia, C.; Palmeri, R.; Fallico, B.; Arena, E. Characterization of prickly pear peel flour as a bioactive and functional ingredient in bread preparation. Foods 2020, 9, 794. [Google Scholar] [CrossRef]
- Dilucia, F.; Lacivita, V.; Del Nobile, M.A.; Conte, A. Improving the storability of cod fish-burgers according to the zero-waste approach. Foods 2021, 10, 1972. [Google Scholar] [CrossRef]
- Socas-Rodríguez, B.; Alvarez-Rivera, G.; Valdes, A.; Ibanez, E.; Cifuente, A. Food by-products and food wastes: Are they safe enough for their valorization? Trends Food Sci. Technol. 2021, 114, 133–147. [Google Scholar]
- European Commission. Directive 2008/98/EC of the European Parliament and of the Council of 19 November 2008 on waste and repealing certain Directives. Off. J. Eur. Union 2008, 312, 3–30. [Google Scholar]
- Pubule, J.; Blumberga, A.; Romagnoli, F.; Blumberga, D. Finding an optimal solution for biowaste management in the Baltic States. J. Clean. Prod. 2015, 88, 214–223. [Google Scholar]
- European Commission. Towards a Circular Economy: A Zero-Waste Programme for Europe; European Commission: Brussels, Belgium, 2014. [Google Scholar]
- Bonato, S.V.; Pacheco, D.; ten Caten, C.; Caro, D. The missing link of circularity in small breweries value chains: Unveiling strategies for waste management and biomass valorization. J. Clean. Prod. 2022, 336, 130275. [Google Scholar]
- Herrero, M.; Laca, A.; Laca, A.; Díaz, M. Application of life cycle assessment to food industry wastes. In Food Industry Wastes; Academic Press: Cambridge, MA, USA, 2020; pp. 331–353. [Google Scholar]
- Le Pera, A.; Sellaro, M.; Bencivenni, E. Composting food waste or digestate? Characteristics, statistical and life cycle assessment study based on an Italian composting plant. J. Clean. Prod. 2022, 350, 131552. [Google Scholar]
- Araya, M.N. A review of effective waste management from an EU, national, and local perspective and its influence: The management of biowaste and anaerobic digestion of municipal solid waste. J. Environ. Prot. 2018, 9, 652–670. [Google Scholar]
- Rosemarin, A.; Macura, B.; Carolus, J.; Barquet, K.; Ek, F.; Järnberg, L.; Lorick, D.; Johannesdottir, S.; Pedersen, S.M.; Koskiaho, J.; et al. Circular nutrient solutions for agriculture and wastewater—A review of technologies and practices. Curr. Opin. Environ. Sustain. 2020, 45, 78–91. [Google Scholar]
- Saer, A.; Lansing, S.; Davitt, N.H.; Graves, R.E. Life cycle assessment of a food waste composting system: Environmental impact hotspots. J. Clean. Prod. 2013, 52, 234–244. [Google Scholar]
- Yasin, N.M.N.; Shalaby, S.M. Physiochemical and sensory properties of functional low-fat cheesecake manufactured using cottage cheese. Ann. Agric. Sci. 2013, 58, 61–67. [Google Scholar]
- Ozer, E.D.; Esen, M.K.; Içigen, M.; Ozer, C.O. Investigation of usage possibilities of Kalaba Yoghurt (local cream yoghurt) in cheesecake production. Int. J. Gastron. Food Sci. 2021, 25, 100376. [Google Scholar]
- Devereux, H.M.; Jones, G.P.; McCormack, L.; Hunter, W.C. Consumer acceptability of low fat foods containing inulin and oligofructose. J. Food Sci. 2003, 68, 1850–1854. [Google Scholar]
- Park, Y.E.; Kim, J.; Kim, H.W.; Chun, J. Rheological, textural, and functional characteristics of 3D-printed cheesecake containing guava leaf, green tea, and barley sprout powders. Food Biosci. 2022, 47, 101634. [Google Scholar]
- Abdel-Salam, A.M.; Ahmed, S.M. Preparation and evaluation of formulated functional cheesecake for diabetics. J. Food Agric. Environ. 2007, 5, 8–11. [Google Scholar]
- Gutierrez, M.M.; Meleddu, M.; Piga, A. Food losses, shelf life extension and environmental impact of a packaged cheesecake: A life cycle assessment. Food Res. Int. 2017, 91, 124–132. [Google Scholar] [CrossRef] [PubMed]
- Panza, O.; Lacivita, V.; Conte, A.; Del Nobile, M.A. Quality preservation of Ready-to-eat prickly pears by peels recycling. Foods 2022, 11, 2016. [Google Scholar] [CrossRef]
- Baldini, M.; Fabietti, F.; Giammaroli, S.; Onori, R.; Orefice, L.; Stacchini, A. Methods of analysis for the chemical control of foods. In ISTISAN 96/34; Istituto Superiore di Sanità: Rome, Italy, 1996; Met. A; p. 41. [Google Scholar]
- AOAC 985.29-1986 (2003); Total dietary fiber in foods. Enzymatic-gravimetric method. AOAC International: Rockville, MA, USA, 2003.
- ISO 1871:2009; Food and Feed Products—General Guidelines for the Determination of Nitrogen by the Kjeldahl Method. ISO: Geneva, Switzerland, 2009.
- Baldini, M.; Fabietti, F.; Giammaroli, S.; Onori, R.; Orefice, L.; Stacchini, A. Methods of analysis for the chemical control of foods. In ISTISAN 96/34; Istituto Superiore di Sanità: Rome, Italy, 1996; Met. B; p. 7. [Google Scholar]
- UNI EN ISO 2171:2023; Cereals, Pulses and by-Products—Determination of Ash Yield by Incineration. ISO: Geneva, Switzerland, 2023.
- Conte, A.; Lordi, A.; Del Nobile, M.A. Dehydration of tomato peels and seeds as affected by the temperature. Int. J. Food Sci. Technol. 2024, 59, 7325–7333. [Google Scholar]
- Conte, A.; Panza, O.; Del Nobile, M.A. Modeling the dehydration kinetic of grape pomace. LWT-Food Sci. Technol. 2024, 198, 116021. [Google Scholar]
- Klöpffer, W. Life cycle assessment: From the beginning to the current state. Environ. Sci. Pollut. Res. 1997, 4, 223–228. [Google Scholar]
- ISO 14040; Environmental Management—Life Cycle Assessment—Principles and Framework. International Organization for Standardization: Geneva, Switzerland, 2006.
- ISO 14044; Environmental Management—Life Cycle Assessment—Requirements and Guidelines. International Organization for Standardization: Geneva, Switzerland, 2006.
- Negro, V.; Ruggeri, B.; Fino, D.; Tonini, D. Life cycle assessment of orange peel waste management. Res. Conserv. Recycl. 2017, 127, 148–158. [Google Scholar]
- Weidema, B.P.W.H.; Wenzel, H.; Petersen, C.; Hansen, K. The Product, Functional Unit and Reference Flows in LCA. Danish Ministry of the Environment-Environmental Protection Agency. Environmental News. 2004, p. 46. Available online: https://www2.mst.dk/udgiv/publications/2004/87-7614-233-7/pdf/87-7614-234-5.pdf (accessed on 10 January 2025).
- Environdec. Environmental Product Declaration: Pavesi Petit Dried Biscuit. 2020. Available online: https://api.environdec.com/api/v1/EPDLibrary/Files/be18f17e-9a6d-4260-a5f3-ea0920bb8a96/Data (accessed on 10 January 2025).
- Gallo, F.; Manzardo, A.; Camana, D.; Fedele, A.; Scipioni, A. Integration of a circular economy metric with life cycle assessment: Methodological proposal of compared agri-food products. Int. J. Life Cycle Assess. 2024, 29, 1359–1379. [Google Scholar]
- Paull, R.E.; Duarte, O. Tropical Fruits—Crop Production Science in Horticulture; CABI: Wallingford, UK, 2011; Volume 20, ISBN 1845937473/9781845937478. [Google Scholar]
- Meghwal, P.R.; Singh, A. Underutilized fruits research in arid regions: A review. Ann. Arid. Zone 2016, 56, 23–36. [Google Scholar]
- Environdec. Environmental Product Declaration: Cloudy Apple Juice NFC. 2024. Available online: https://api.environdec.com/api/v1/EPDLibrary/Files/d456f870-eb2e-416c-96ff-08dc3c72202b/Data (accessed on 10 January 2025).
- Ecoinvent. Ecoinvent Database Version 3. 2024. Available online: https://ecoinvent.org/database/ (accessed on 10 January 2025).
- Blonk Sustainability. Agri-Footprint: Methodology Report; Blonk Sustainability: Gouda, The Netherlands, 2022. [Google Scholar]
- Houghton, J.T. (Ed.) Climate Change 1995: The Science of Climate Change: Contribution of Working Group I to the Second Assessment Report of the Intergovernmental Panel on Climate Change; Cambridge University Press: Cambridge, UK, 1996; Volume 2. [Google Scholar]
- Lee, U.; Han, J.; Wang, M. Evaluation of landfill gas emissions from municipal solid waste landfills for the life-cycle analysis of waste-to-energy pathways. J. Clean. Prod. 2017, 166, 335–342. [Google Scholar] [CrossRef]
- Güereca, L.P.; Gassó, S.; Baldasano, J.M.; Jiménez-Guerrero, P. Life cycle assessment of two biowaste management systems for Barcelona, Spain. Res. Conserv. Recycl. 2006, 49, 32–48. [Google Scholar]
- Khoo, H.H.; Lim, T.Z.; Tan, R.B. Food waste conversion options in Singapore: Environmental impacts based on an LCA perspective. Sci. Total Environ. 2010, 408, 1367–1373. [Google Scholar] [PubMed]
- Lundie, S.; Peters, G.M. Life cycle assessment of food waste management options. J. Clean. Prod. 2005, 13, 275–286. [Google Scholar] [CrossRef]
- Roy, P.; Nei, D.; Orikasa, T.; Xu, Q.; Okadome, H.; Nakamura, N.; Shiina, T. A review of life cycle assessment (LCA) on some food products. J. Food Eng. 2009, 90, 1–10. [Google Scholar] [CrossRef]
- Romero-Perdomo, F.; González-Curbelo, M.Á. Integrating multi-criteria techniques in life-cycle tools for the circular bioeconomy transition of agri-food waste biomass: A systematic review. Sustainability 2023, 15, 5026. [Google Scholar] [CrossRef]
- Mamun, A.A.; Matin, A.; Badsha, M.R. Proximate composition, sensory evaluation and microbial quality of a dairy product (Special Kheersa) formulated with psyllium husk and malta peel powder. Food Res. 2020, 4, 1871–1877. [Google Scholar]
- Buonocore, G.G.; Del Nobile, M.A.; Di Martino, C.; Gambacorta, G.; La Notte, E.; Nicolais, L. Modeling the water transport properties of casein-based edible coating. J. Food Eng. 2003, 60, 99–106. [Google Scholar] [CrossRef]
- Panza, O.; Del Nobile, M.A.; Conte, A. The optimization of the dehydration temperature of peels from prickly pears. Foods 2025, 14, 811. [Google Scholar] [CrossRef]
- Bernstad, A.; la Cour Jansen, J. Review of comparative LCAs of food waste management systems–current status and potential improvements. Waste Manag. 2012, 32, 2439–2455. [Google Scholar]
- Palaniveloo, K.; Amran, M.A.; Norhashim, N.A.; Mohamad-Fauzi, N.; Peng-Hui, F.; Hui-Wen, L.; Kai-Lin, Y.; Jiale, L.; Chian-Yhee, M.G.; Jing-Yi, L.; et al. Food waste composting and microbial community structure profiling. Processes 2020, 8, 723. [Google Scholar] [CrossRef]
- Zhang, Z.; Han, W.; Chen, X.; Yang, N.; Lu, C.; Wang, Y. The life-cycle environmental impact of recycling of restaurant food waste in Lanzhou, China. Appl. Sci. 2019, 9, 3608. [Google Scholar] [CrossRef]
- Keng, Z.X.; Chong, S.; Ng, C.G.; Ridzuan, N.I.; Hanson, S.; Pan, G.T.; Lau, P.L.; Supramaniam, C.V.; Singh, A.; Chin, C.F.; et al. Community-scale composting for food waste: A life-cycle assessment-supported case study. J. Clean. Prod. 2020, 261, 121220. [Google Scholar]
- Thomsen, M.; Romeo, D.; Seghetta, M.; Cong, R.G. Environmental-economic analysis of integrated organic waste and wastewater management systems: A case study from Aarhus City (Denmark). Sustainability 2018, 10, 3742. [Google Scholar] [CrossRef]
- Yang, N.; Li, F.; Liu, Y.; Dai, T.; Wang, Q.; Zhang, J.; Dai, Z.; Yu, B. Environmental and economic Life-Cycle-Assessment of household management systems: A comparative review of methodology and research progress. Sustainability 2022, 14, 7533. [Google Scholar]
- Bruno, M.; Thomsen, M.; Pulselli, F.M.; Patrizi, N.; Marini, M.; Caro, D. The carbon footprint of Danish diets. Clim. Change 2019, 156, 489–507. [Google Scholar]
- Galli, A.; Antonelli, M.; Wambersie, L.; Bach-Faig, A.; Bartolini, F.; Caro, D.; Iha, K.; Lin, D.; Mancini, M.S.; Sonnino, R.; et al. EU-27 ecological footprint was primarily driven by food consumption and exceeded regional biocapacity from 2004 to 2014. Nat. Food 2023, 4, 810–822. [Google Scholar]
- Konstantas, A.; Stamford, L.; Azapagic, A. Evaluating the environmental sustainability of cakes. Sustain. Prod. Consum. 2019, 19, 169–180. [Google Scholar]








| Ingredients | Control Cheesecake [g] | Fortified Cheesecake [g] | |
|---|---|---|---|
| BASE | Biscuits | 115 | 115 |
| Butter | 50 | 50 | |
| FILLING | Philadelphia cheese | 175 | 175 |
| Sugar | 50 | 50 | |
| Plain Yogurt | 100 | 70 | |
| Fresh cream | 100 | 25 | |
| Powdered sugar | 10 | 10 | |
| Isinglass | 4 | 4 | |
| Water | 20 | 0 | |
| Milk | 20 | 0 | |
| Prickly pear peel powder | 0 | 25.77 | |
| Prickly pear pomace powder | 0 | 27.98 | |
| Prickly pear juice | 0 | 95 | |
| TOPPING | Jam | 125 | 40 |
| Water | 15 | 0 | |
| Pectin | 2 | 2 | |
| Prickly pear peel powder | 0 | 7.6 | |
| Prickly pear pomace powder | 0 | 8.3 | |
| Prickly pear juice | 0 | 55 |
| Humidity [%] | Lipids [g/100 g] | Carbohydrates [g/100 g] | Proteins [g/100 g] | Total Fibers [g/100 g] | Sodium [mg/kg] | Sodium Chloride [mg/kg] | Ash [g/100 g] | Energetic Value [kcal/100 g] | |
|---|---|---|---|---|---|---|---|---|---|
| Control cheesecake | 51.36 | 12.94 | 26.26 | 4.56 | 4.2 | 0.14 | 0.35 | 0.68 | 248 |
| Fortified cheesecake | 44.9 | 16.98 | 27.38 | 3.98 | 5.7 | 0.14 | 0.34 | 1.24 | 290 |
| Parameters | Prickly Pear Peels | Prickly Pear Pomace |
|---|---|---|
| 158.4938 | 299.8881 | |
| 1.5326 | 0.6584 | |
| 210.229 | 92.2308 | |
| 0.0171 | 0.016019 | |
| 0.182410614 | 0.244418642 | |
| 6000 | 6000 |
Disclaimer/Publisher’s Note: The statements, opinions and data contained in all publications are solely those of the individual author(s) and contributor(s) and not of MDPI and/or the editor(s). MDPI and/or the editor(s) disclaim responsibility for any injury to people or property resulting from any ideas, methods, instructions or products referred to in the content. |
© 2025 by the authors. Licensee MDPI, Basel, Switzerland. This article is an open access article distributed under the terms and conditions of the Creative Commons Attribution (CC BY) license (https://creativecommons.org/licenses/by/4.0/).
Share and Cite
Le Rose, A.; Panza, O.; Caro, D.; Conte, A.; Del Nobile, M.A. Cheesecake Customized Using Juice and By-Products from Prickly Pears: A Case Study of Recycling and Environmental Impact Evaluation. Foods 2025, 14, 1159. https://doi.org/10.3390/foods14071159
Le Rose A, Panza O, Caro D, Conte A, Del Nobile MA. Cheesecake Customized Using Juice and By-Products from Prickly Pears: A Case Study of Recycling and Environmental Impact Evaluation. Foods. 2025; 14(7):1159. https://doi.org/10.3390/foods14071159
Chicago/Turabian StyleLe Rose, Alessia, Olimpia Panza, Dario Caro, Amalia Conte, and Matteo Alessandro Del Nobile. 2025. "Cheesecake Customized Using Juice and By-Products from Prickly Pears: A Case Study of Recycling and Environmental Impact Evaluation" Foods 14, no. 7: 1159. https://doi.org/10.3390/foods14071159
APA StyleLe Rose, A., Panza, O., Caro, D., Conte, A., & Del Nobile, M. A. (2025). Cheesecake Customized Using Juice and By-Products from Prickly Pears: A Case Study of Recycling and Environmental Impact Evaluation. Foods, 14(7), 1159. https://doi.org/10.3390/foods14071159

