Nutritional Enhancement of Rice Noodles with Watermeal (Wolffia globosa)
Abstract
1. Introduction
2. Materials and Methods
2.1. Materials
2.2. Preparation of Noodle Samples
2.3. Analysis of Physical Properties
2.3.1. Color
2.3.2. Water Activity
2.3.3. Textural Properties
2.4. Determination of Cooking Parameters
2.4.1. Cooking Time
2.4.2. Cooking Loss
2.4.3. Cooking Yield
2.4.4. Water Absorption Capacity (WAC)
2.5. Scanning Electron Microscopy
2.6. Analysis of Proximate Composition
2.7. Determination of Chlorophyll Content
2.8. Antioxidant Activity Analysis
2.8.1. Extraction Procedure for Phenolic-Antioxidant Compounds
2.8.2. Total Phenolic Content
2.8.3. Total Flavonoid Content
2.8.4. 1,1-Diphenyl-2-Picrylhydrazyl (DPPH) Radical Scavenging Activity
2.8.5. Ferric Reducing Antioxidant Power (FRAP)
2.9. HPLC Analysis of Phenolic Acid and Flavonoid Compositions
2.10. Analysis of In Vitro Protein Digestibility
2.11. Measurement of Total Sulfhydryl Content
2.12. Analysis of In Vitro Starch Digestibility
2.13. Fourier Transform Infrared (FTIR) Measurement
2.14. Evaluation of Sensory Attributes
2.15. Statistical Analysis
3. Results and Discussion
3.1. Physical Properties and Chlorophyll Content
3.2. Cooking Parameters
3.3. Microstructure
3.4. Proximate Composition
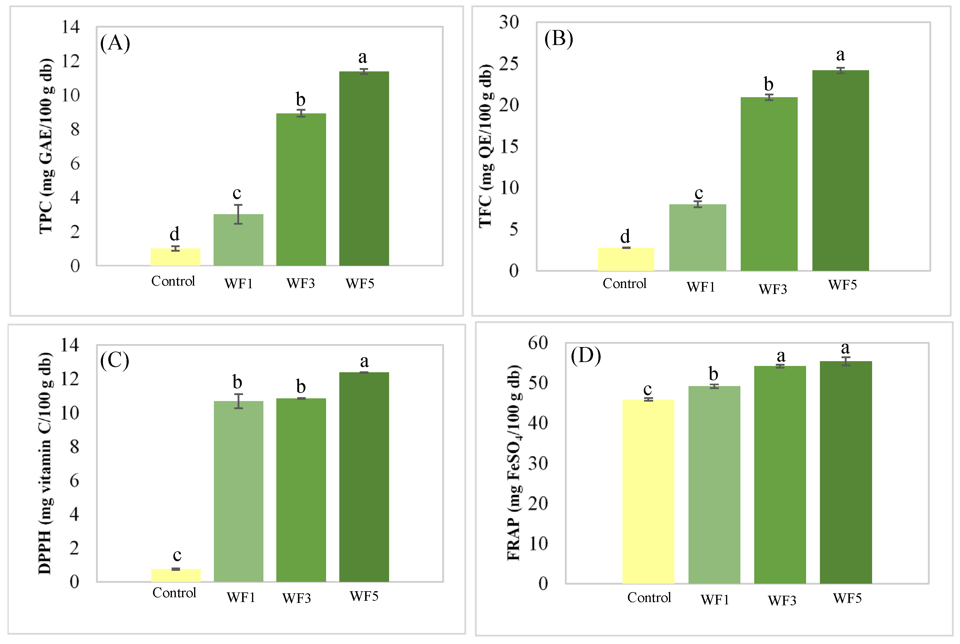
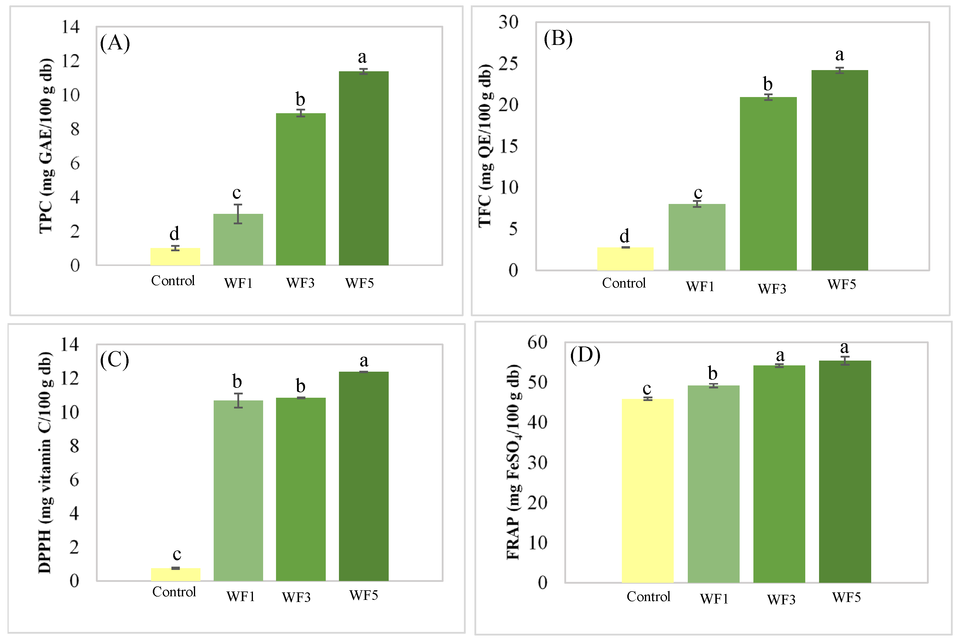
3.5. Antioxidant Properties
3.6. Compositions of Phenolic Acids and Flavonoids
3.7. In Vitro Protein Digestibility
3.8. Total Sulfhydryl Content
3.9. In Vitro Starch Digestibility
3.10. Fourier-Transformation Infrared Spectra
3.11. The Sensory Evaluation
4. Conclusions
Author Contributions
Funding
Institutional Review Board Statement
Informed Consent Statement
Data Availability Statement
Acknowledgments
Conflicts of Interest
References
- Boonarsa, P.; Bunyatratchata, A.; Chumroenphat, T.; Thammapat, P.; Chaikwang, T.; Siripan, T.; Li, H.; Siriamornpun, S. Nutritional Quality, Functional Properties, and Biological Characterization of Watermeal (Wolffia Globosa). Horticulturae 2024, 10, 1171. [Google Scholar] [CrossRef]
- Said, D.S.; Chrismadha, T.; Mayasari, N.; Febrianti, D.; Suri, A.R.M. Nutrition Value and Growth Ability of Aquatic Weed Wolffia Globosa as Alternative Feed Sources for Aquaculture System. IOP Conf. Ser. Earth Environ. Sci. 2022, 950, 012044. [Google Scholar]
- Kawamata, Y.; Shibui, Y.; Takumi, A.; Seki, T.; Shimada, T.; Hashimoto, M.; Inoue, N.; Kobayashi, H.; Narita, T. Genotoxicity and Repeated-Dose Toxicity Evaluation of Dried Wolffia Globosa Mankai. Toxicol. Rep. 2020, 7, 1233–1241. [Google Scholar] [CrossRef] [PubMed]
- Duangjarus, N.; Chaiworapuek, W.; Rachtanapun, C.; Ritthiruangdej, P.; Charoensiddhi, S. Antimicrobial and Functional Properties of Duckweed (Wolffia Globosa) Protein and Peptide Extracts Prepared by Ultrasound-Assisted Extraction. Foods 2022, 11, 2348. [Google Scholar] [CrossRef]
- Yahya, H.N.; Yahaya, N.; Baihagi, K.H.; Ariffin, N.; Yahya, H. Pectin from Duckweed (Lemnaceae) as Potential Commercial Pectin and Its Gelling Function in Food Production: A Review. Malays. J. Sci. Health Technol. 2022, 8, 63–70. [Google Scholar]
- Dhamaratana, S.; Methacanon, P.; Charoensiddhi, S. Chemical Composition and in Vitro Digestibility of Duckweed (Wolffia Globosa) and Its Polysaccharide and Protein Fractions. Food Chem. Adv. 2025, 6, 100867. [Google Scholar] [CrossRef]
- Li, C.; Shao, Z.; Wang, J.; Hua, H.; Li, G.; Zhang, Y.; Wang, S. The In-Vitro Digestibility of Instant Noodles: Interplay of Texture, Microstructure and Starch Structure. Food Res. Int. 2025, 201, 115664. [Google Scholar] [CrossRef]
- Meenu, M.; Padhan, B.; Zhou, J.; Ramaswamy, H.S.; Pandey, J.K.; Patel, R.; Yu, Y. A Detailed Review on Quality Parameters of Functional Noodles. Food Rev. Int. 2023, 39, 6162–6198. [Google Scholar] [CrossRef]
- Cui, C.; Wang, Y.; Ying, J.; Zhou, W.; Li, D.; Wang, L. Low Glycemic Index Noodle and Pasta: Cereal Type, Ingredient, and Processing. Food Chem. 2024, 431, 137188. [Google Scholar]
- Bangar, S.P.; Ali, N.A.; Olagunju, A.I.; Pastor, K.; Ashogbon, A.O.; Dash, K.K.; Lorenzo, J.M.; Ozogul, F. Starch-based Noodles: Current Technologies, Properties, and Challenges. J. Texture Stud. 2023, 54, 21–53. [Google Scholar] [CrossRef]
- On-Nom, N.; Promdang, P.; Inthachat, W.; Kanoongon, P.; Sahasakul, Y.; Chupeerach, C.; Suttisansanee, U.; Temviriyanukul, P. Wolffia Globosa-Based Nutritious Snack Formulation with High Protein and Dietary Fiber Contents. Foods 2023, 12, 2647. [Google Scholar] [CrossRef] [PubMed]
- Saha, D.; Pradhan, A.; Sarkar, A.; Tripathy, P.P. Recent Trends in Pseudocereal-Based Foods. In Pseudocereals; CRC Press: Boca Raton, FL, USA, 2024; ISBN 978-1-00-332527-7. [Google Scholar]
- Quintieri, L.; Nitride, C.; De Angelis, E.; Lamonaca, A.; Pilolli, R.; Russo, F.; Monaci, L. Alternative Protein Sources and Novel Foods: Benefits, Food Applications and Safety Issues. Nutrients 2023, 15, 1509. [Google Scholar] [CrossRef] [PubMed]
- Thongkaew, C.; Singthong, J. The Physicochemical and Thermal Properties of Unripe Glutinous Rice Flour Andapplication in Gluten-Free Noodle. Food Res. 2023, 7, 158–166. [Google Scholar] [CrossRef]
- Zhao, J.; Guo, X.-N.; Zhu, K.-X. Effect of Phytic Acid on the Appearance of Yellow Alkaline Noodles: Color and Dark Spots. J. Cereal Sci. 2024, 116, 103853. [Google Scholar] [CrossRef]
- AACC. Approved Methods of Analysis, 11th ed.; Cereals & Grains Association: Eagan, MN, USA, 2000. [Google Scholar]
- AACC. Approved Methods of the American; Association of Cereal Chemists: St. Paul, MN, USA, 2000; Volumes 1–2. [Google Scholar]
- Yalcin, S.; Basman, A. Effects of Gelatinisation Level, Gum and Transglutaminase on the Quality Characteristics of Rice Noodle. Int. J. Food Sci. Technol. 2008, 43, 1637–1644. [Google Scholar] [CrossRef]
- Tang, Z.; Fan, J.; Zhang, Z.; Zhang, W.; Yang, J.; Liu, L.; Yang, Z.; Zeng, X. Insights into the Structural Characteristics and in Vitro Starch Digestibility on Steamed Rice Bread as Affected by the Addition of Okara. Food Hydrocoll. 2021, 113, 106533. [Google Scholar] [CrossRef]
- AOAC. Official Methods of Analysis of AOAC International, 18th ed.; Association of Official Analytical Chemists: Washington, DC, USA, 2005. [Google Scholar]
- Zou, X.; Li, P.; Huang, Q.; Zhang, H. The Different Response Mechanisms of Wolffia Globosa: Light-Induced Silver Nanoparticle Toxicity. Aquat. Toxicol. 2016, 176, 97–105. [Google Scholar] [CrossRef]
- Arnon, D.I. Copper enzymes in isolated chloroplasts. Polyphenoloxidase in Beta vulgaris. Plant Physiol. 1949, 24, 1–15. [Google Scholar] [CrossRef]
- Jelled, A.; Fernandes, Â.; Barros, L.; Chahdoura, H.; Achour, L.; Ferreira, I.C.F.R.; Cheikh, H.B. Chemical and Antioxidant Parameters of Dried Forms of Ginger Rhizomes. Ind. Crops Prod. 2015, 77, 30–35. [Google Scholar] [CrossRef]
- Ratseewo, J.; Warren, F.J.; Siriamornpun, S. The Influence of Starch Structure and Anthocyanin Content on the Digestibility of Thai Pigmented Rice. Food Chem. 2019, 298, 124949. [Google Scholar] [CrossRef]
- Siriamornpun, S.; Kaewseejan, N. Quality, Bioactive Compounds and Antioxidant Capacity of Selected Climacteric Fruits with Relation to Their Maturity. Sci. Hortic. 2017, 221, 33–42. [Google Scholar] [CrossRef]
- Siriamornpun, S.; Tangkhawanit, E.; Kaewseejan, N. Reducing Retrogradation and Lipid Oxidation of Normal and Glutinous Rice Flours by Adding Mango Peel Powder. Food Chem. 2016, 201, 160–167. [Google Scholar] [CrossRef]
- Chumroenphat, T.; Somboonwatthanakul, I.; Saensouk, S.; Siriamornpun, S. Changes in Curcuminoids and Chemical Components of Turmeric (Curcuma Longa L.) under Freeze-Drying and Low-Temperature Drying Methods. Food Chem. 2021, 339, 128121. [Google Scholar] [CrossRef] [PubMed]
- Kubola, J.; Siriamornpun, S.; Meeso, N. Phytochemicals, Vitamin C and Sugar Content of Thai Wild Fruits. Food Chem. 2011, 126, 972–981. [Google Scholar] [CrossRef]
- Brodkorb, A.; Egger, L.; Alminger, M.; Alvito, P.; Assunção, R.; Ballance, S.; Bohn, T.; Bourlieu-Lacanal, C.; Boutrou, R.; Carrière, F. INFOGEST Static in Vitro Simulation of Gastrointestinal Food Digestion. Nat. Protoc. 2019, 14, 991–1014. [Google Scholar]
- Ellman, G.L. Tissue Sulfhydryl Groups. Arch. Biochem. Biophys. 1959, 82, 70–77. [Google Scholar] [CrossRef]
- Englyst, H.N.; Kingman, S.M.; Cummings, J.H. Classification and Measurement of Nutritionally Important Starch Fractions. Eur. J. Clin. Nutr. 1992, 46, S33–S50. [Google Scholar]
- Liu, T.; Wang, K.; Xue, W.; Wang, L.; Zhang, C.; Zhang, X.; Chen, Z. In Vitro Starch Digestibility, Edible Quality and Microstructure of Instant Rice Noodles Enriched with Rice Bran Insoluble Dietary Fiber. LWT 2021, 142, 111008. [Google Scholar]
- Kang, T.W.; Choi, R.-Y.; Kim, I.-W.; Lee, E.J.; Kim, H.W.; Park, H.J. Evaluation of Feasibility of Tenebrio Molitor Larval Fractions as a Meat Analog Using 3D Printing. Innov. Food Sci. Emerg. Technol. 2023, 89, 103446. [Google Scholar] [CrossRef]
- Zhang, J.; Liu, Y.; Wang, P.; Zhao, Y.; Zhu, Y.; Xiao, X. The Effect of Protein–Starch Interaction on the Structure and Properties of Starch, and Its Application in Flour Products. Foods 2025, 14, 778. [Google Scholar] [CrossRef]
- Yao, M.; Li, M.; Dhital, S.; Tian, Y.; Guo, B. Texture and Digestion of Noodles with Varied Gluten Contents and Cooking Time: The View from Protein Matrix and Inner Structure. Food Chem. 2020, 315, 126230. [Google Scholar] [CrossRef] [PubMed]
- Sun, D.; Jia, Y.; He, X.; Qin, Y.; Li, M.; Liu, X.; Xu, T.; Xiong, L.; Guo, M.; Ji, N. Effects of Debranched Starch on Physicochemical Properties and in Vitro Digestibility of Flat Rice Noodles. Int. J. Biol. Macromol. 2024, 276, 133913. [Google Scholar] [CrossRef] [PubMed]
- Geng, D.-H.; Tang, N.; Zhang, X.; Zhao, M.; Jia, X.; Cheng, Y. Insights into the Textural Properties and Starch Digestibility on Rice Noodles as Affected by the Addition of Maize Starch and Rice Starch. LWT 2023, 173, 114265. [Google Scholar]
- Chichti, E.; George, M.; Delenne, J.-Y.; Lullien-Pellerin, V. Changes in the Starch-Protein Interface Depending on Common Wheat Grain Hardness Revealed Using Atomic Force Microscopy. Plant Sci. 2015, 239, 1–8. [Google Scholar] [CrossRef]
- Hongsprabhas, P.; Israkarn, K. New Insights on the Characteristics of Starch Network. Food Res. Int. 2008, 41, 998–1006. [Google Scholar] [CrossRef]
- Zhang, S.; Zhu, S.; Saqib, M.N.; Yu, M.; Du, C.; Huang, D.; Li, Y. Extensive Inhibition of Starch Digestion by Exogenous Proteins and Inhibition Mechanisms: A Comprehensive Review. Trends Food Sci. Technol. 2024, 143, 104303. [Google Scholar] [CrossRef]
- Tian, X.-Y.; Liu, J.-F.; Qiao, C.-C.; Cheng, Z.; Wu, N.-N.; Tan, B. Functional Properties and Structure of Soluble Dietary Fiber Obtained from Rice Bran with Steam Explosion Treatment. J. Cereal Sci. 2024, 118, 103938. [Google Scholar] [CrossRef]
- Burana-osot, J.; Arunsingkharat, L.; Naksuk, M.; Naungnamjai, S.; Saetun, T. Validation of a HPLC Method for the Determination of Benzoic Acid and Sorbic Acid in Noodles. Chiang Mai J. Sci. 2014, 41, 370–382. [Google Scholar]
- Prosridee, K.; Oonsivilai, R.; Tira-aumphon, A.; Singthong, J.; Oonmetta-aree, J.; Oonsivilai, A. Optimum Aquaculture and Drying Conditions for Wolffia Arrhiza (L.) Wimn. Heliyon 2023, 9, e19730. [Google Scholar] [CrossRef]
- Kaplan, A.; Zelicha, H.; Tsaban, G.; Meir, A.Y.; Rinott, E.; Kovsan, J.; Novack, L.; Thiery, J.; Ceglarek, U.; Burkhardt, R. Protein Bioavailability of Wolffia Globosa Duckweed, a Novel Aquatic Plant–a Randomized Controlled Trial. Clin. Nutr. 2019, 38, 2576–2582. [Google Scholar]
- Duijsens, D.; Verkempinck, S.H.E.; De Coster, A.; Pälchen, K.; Hendrickx, M.; Grauwet, T. How Cooking Time Affects In Vitro Starch and Protein Digestibility of Whole Cooked Lentil Seeds versus Isolated Cotyledon Cells. Foods 2023, 12, 525. [Google Scholar] [CrossRef] [PubMed]
- Hertzler, S.R.; Lieblein-Boff, J.C.; Weiler, M.; Allgeier, C. Plant Proteins: Assessing Their Nutritional Quality and Effects on Health and Physical Function. Nutrients 2020, 12, 3704. [Google Scholar] [CrossRef]
- Nikbakht Nasrabadi, M.; Sedaghat Doost, A.; Mezzenga, R. Modification Approaches of Plant-Based Proteins to Improve Their Techno-Functionality and Use in Food Products. Food Hydrocoll. 2021, 118, 106789. [Google Scholar] [CrossRef]
- Li, H.; Wang, J.; Pan, L.; Lu, Q. Effect of Amino and Thiol Groups of Wheat Gluten on the Quality Characteristics of Chinese Noodles. J. Food Sci. Technol. 2019, 56, 2825–2835. [Google Scholar] [CrossRef]
- Zhang, S.; Zhu, S.; Zhong, F.; Huang, D.; Chen, X.; Li, Y. Study on the Mechanism of Various Exogenous Proteins with Different Inhibitions on Wheat Starch Digestion: From the Distribution Behaviors of Protein in the Starch Matrix. Int. J. Biol. Macromol. 2023, 242, 124909. [Google Scholar] [CrossRef] [PubMed]
- Rathod, R.P.; Annapure, U.S. Physicochemical Properties, Protein and Starch Digestibility of Lentil Based Noodle Prepared by Using Extrusion Processing. LWT 2017, 80, 121–130. [Google Scholar] [CrossRef]
- Barakat, H.; Shams, A.; Denev, P.; Khalifa, I. Incorporation of Quinoa Seeds Accessions in Instant Noodles Improves Their Textural and Quality Characteristics. J. Food Sci. Technol. 2022, 59, 1912–1921. [Google Scholar] [CrossRef]
- Zhang, J.; Cheng, Y.; Tang, N. Rapid Analysis of Protein Content in Rice Noodles Using NIR and FTIR Spectroscopy for Quality Control of River Snail Rice Noodle Products. Food Control 2025, 168, 110906. [Google Scholar] [CrossRef]
- Yang, S.; Zhang, M.-N.; Shan, C.-S.; Chen, Z.-G. Evaluation of Cooking Performance, Structural Properties, Storage Stability and Shelf Life Prediction of High-Moisture Wet Starch Noodles. Food Chem. 2021, 357, 129744. [Google Scholar] [CrossRef]
- Daeialiakbar, M.; Yousefi, S.; Weisany, W. Enhanced Properties of Chitosan-PVA Nanocomposite Films with Lemongrass Oil Microcapsules. Carbohydr. Polym. Technol. Appl. 2025, 9, 100668. [Google Scholar] [CrossRef]
- Zhang, J.; Lu, Z.; Wu, M.; Wu, Q.; Yang, J. Large-Scale Synthesis and Characterization of Magnetic Poly(Acrylic Acid) Nanogels via Miniemulsion Polymerization. RSC Adv. 2015, 5, 58889–58894. [Google Scholar] [CrossRef]




| Ingredient (%) | Control | WF1 | WF3 | WF5 |
|---|---|---|---|---|
| Rice Flour | 16.70 | 16.70 | 16.70 | 16.70 |
| Tapioca Starch | 20.80 | 19.80 | 17.80 | 15.80 |
| Water | 62.50 | 62.50 | 62.50 | 62.50 |
| Watermeal | 0.00 | 1.00 | 3.00 | 5.00 |
| Sample | L* | a* | b* | aw | Chlorophyll (mg/100 g) |
|---|---|---|---|---|---|
| Control | 80.65 ± 1.41 a | −0.19 ± 0.14 a | 7.76 ± 0. 41 d | 0.48 ± 0.00 a | 0.24 ± 0.03 c |
| WF1 | 61.94 ± 2.17 b | −1.88 ± 0.08 b | 12.35 ± 1.26 c | 0.48 ± 0.00 a | 11.18 ± 0.06 b |
| WF3 | 47.55 ± 1.79 c | −3.24 ± 0.38 c | 17.10 ± 0.39 b | 0.48 ± 0.00 a | 31.00 ± 0.33 a |
| WF5 | 43.33 ± 1.91 d | −4.24 ± 0.15 d | 18.73 ± 0.41 a | 0.47 ± 0.00 b | 32.11 ± 0.20 a |
| Sample | Tensile Strength (N) | Hardness (N) | Adhesiveness (N·s) | Springiness (%) ns | Cohesiveness |
|---|---|---|---|---|---|
| Control | 0.78 ± 0.00 a | 56.97 ± 3.83 b | 2.59 ± 0.28 a | 99.95 ± 0.02 | 0.82 ± 0.05 a |
| WF1 | 0.41 ± 0.00 b | 74.67 ± 7.67 a | 2.56 ± 0.13 a | 99.98 ± 0.02 | 0.77 ± 0.01 ab |
| WF3 | 0.33 ± 0.00 c | 78.01 ± 4.83 a | 2.30 ± 0.17 b | 99.98 ± 0.01 | 0.68 ± 0.08 b |
| WF5 | 0.27 ± 0.00 d | 84.12 ± 9.31 a | 1.70 ± 0.20 c | 99.97 ± 0.01 | 0.66 ± 0.07 b |
| Cooking Parameter | Control | WF1 | WF3 | WF5 |
|---|---|---|---|---|
| Cooking time (min) | 9.52 ± 0.12 c | 10.03 ± 0.35 b | 10.56 ± 0.13 b | 11.22 ± 0.02 a |
| Cooking loss (%) | 0.95 ± 0.02 b | 1.69 ± 0.10 ab | 2.07 ± 0.05 a | 2.35 ± 0.16 a |
| Cooking yield (%) | 289.45 ± 3.45 a | 281.84 ± 2.33 b | 276.34 ± 2.36 b | 261.48 ± 0.95 c |
| Water absorption capacity (%) | 189.45 ± 3.45 a | 181.84 ± 2.33 b | 176.34 ± 2.36 b | 161.48 ± 0.95 c |
| Control | WF1 | WF3 | WF5 | |
|---|---|---|---|---|
| Moisture (%) ns | 7.78 ± 0.01 | 7.81 ± 0.32 | 7.34 ± 0.28 | 7.72 ± 0.56 |
| Ash (%) | 1.64 ± 0.05 d | 1.76 ± 0.01 c | 1.84 ± 0.03 b | 1.95 ± 0.01 a |
| Protein (%) | 4.29 ± 0.30 d | 4.87 ± 0.05 c | 6.18 ± 0.49 b | 8.39 ± 0.54 a |
| Fat (%) | 2.06 ± 0.02 c | 2.35 ± 0.04 c | 3.76 ± 0.03 b | 4.75 ± 0.01 a |
| Fiber (%) | 1.42 ± 0.01 d | 1.65 ± 0.00 c | 2.16 ± 0.02 b | 2.74 ± 0.03 a |
| Carbohydrate (%) | 93.06 ± 0.67 a | 89.5 ± 0.17 a | 88.47 ± 0.46 b | 88.15 ± 0.58 b |
| Parameter | Control | WF1 | WF3 | WF5 |
|---|---|---|---|---|
| Phenolic acid content (µg/g db) | ||||
| Gallic acid | ND | ND | 96.00 ± 0.38 b | 100.21 ± 0.83 a |
| Protocatechuic acid | ND | ND | 0.43 ± 0.01 b | 3.28 ± 0.06 a |
| p-Hydroxybenzoic acid | ND | ND | ND | ND |
| Vanillic acid | ND | ND | ND | ND |
| Caffeic acid | ND | ND | ND | ND |
| Syringic acid | ND | ND | ND | ND |
| Vanillin | ND | ND | ND | ND |
| p-Coumaric acid | ND | 0.51 ± 0.02 c | 2.25 ± 0.02 b | 4.28 ± 0.12 a |
| Ferulic acid | 1.25 ± 0.01 d | 7.34 ± 0.02 c | 15.77 ± 0.45 b | 22.08 ± 1.78 a |
| Sinapic acid | 2.74 ± 0.08 c | 1.8 ± 0.03 c | 8.48 ± 0.40 b | 14.24 ± 1.63 a |
| Cinamic acid | ND | 1.99 ± 0.08 c | 6.50 ± 0.14 b | 9.89 ± 0.11 a |
| Genistic acid | ND | ND | ND | ND |
| Total | 3.99 ± 0.09 d | 11.64 ± 0.15 c | 129.43 ± 1.01 b | 153.98 ± 3.64 a |
| Flavonoid content (µg/g db) | ||||
| Rutin | ND | 8.14 ± 0.6 b | 30.93 ± 0.61 a | 33.76 ± 1.23 a |
| Catechin | ND | ND | ND | ND |
| Quercetin | 59.91 ± 2.31 b | 69.04 ± 0.52 ab | 69.57 ± 1.98 ab | 73.51 ± 1.3 a |
| Apigenin | 24.74 ± 1.46 c | 29.74 ± 0.48 c | 85.78 ± 3.16 b | 140.04 ± 7.34 a |
| Karmferal | 20.39 ± 1.34 c | 21.12 ± 0.3 c | 27.33 ± 0.08 b | 33.04 ± 2.36 a |
| Total | 105.21 ± 5.11 d | 128.04 ± 3.50 c | 213.61 ± 5.24 b | 280.35 ± 8.92 a |
| Sample | In Vitro Protein Digestibility (%) | Total Sulfhydryl (μmol/g) |
|---|---|---|
| Control | 66.68 ± 0.36 d | 2.24 ± 0.01 c |
| WF1 | 70.32 ± 0.19 c | 2.25 ± 0.02 c |
| WF3 | 76.66 ± 0.31 b | 2.97 ± 0.07 b |
| WF5 | 81.51 ± 0.68 a | 4.44 ± 0.00 a |
| Sample | Uncooked | Cooked | ||||||
|---|---|---|---|---|---|---|---|---|
| RDS (%) | SDS (%) | RS (%) | eGI | RDS (%) | SDS (%) | RS (%) | eGI | |
| Control | 41.73 ± 0.16 a | 16.15 ± 0.66 c | 42.12 ± 0.67 b | 60.58 ± 0.19 a | 51.29 ± 0.54 a | 21.58 ±0.39 a | 27.13 ± 0.80 d | 69.69 ± 0.43 a |
| WF1 | 40.77 ± 0.16 b | 16.19 ± 0.08 c | 43.04 ± 0.08 ab | 59.84 ± 0.12 b | 50.59 ± 0.41 b | 19.21 ± 0.34 b | 30.21 ± 0.26 c | 68.23 ± 0.37 b |
| WF3 | 38.76 ± 0.59 c | 17.44 ± 0.51 b | 43.8 ± 0.40 a | 59.00 ± 0.90 c | 46.52 ± 0.40 c | 21.72 ± 0.30 a | 31.76 ± 0.61 b | 67.43 ± 0.29 c |
| WF5 | 37.27 ± 0.56 d | 19.14 ± 0.47 a | 43.59 ± 0.90 a | 58.34 ± 0.23 d | 44.71 ± 0.29 d | 19.96 ± 0.93 b | 35.33 ± 0.66 a | 65.19 ± 0.04 d |
| Sample | Appearance | Color | Odor ns | Taste | Texture | Overall Liking |
|---|---|---|---|---|---|---|
| Control | 7.40 ± 1.16 a | 7.16 ± 1.49 a | 6.70 ± 1.49 | 7.23 ± 1.52 a | 7.26 ± 1.26 a | 6.87 ± 1.25 ab |
| WF1 | 6.56 ± 1.74 b | 6.36 ± 1.21 b | 6.93 ± 0.91 | 6.90 ± 1.54 bc | 7.50 ± 1.20 a | 7.30 ± 0.99 a |
| WF3 | 6.23 ± 1.63 b | 6.00 ± 1.51 b | 6.63 ± 1.10 | 6.27 ± 1.51 c | 5.63 ± 1.71 b | 6.63 ± 1.73 b |
| WF5 | 6.06 ± 1.86 b | 5.97 ± 1.79 b | 6.63 ± 1.25 | 5.40 ± 1.65 d | 5.60 ± 1.81 b | 6.36 ± 1.63 b |
Disclaimer/Publisher’s Note: The statements, opinions and data contained in all publications are solely those of the individual author(s) and contributor(s) and not of MDPI and/or the editor(s). MDPI and/or the editor(s) disclaim responsibility for any injury to people or property resulting from any ideas, methods, instructions or products referred to in the content. |
© 2025 by the authors. Licensee MDPI, Basel, Switzerland. This article is an open access article distributed under the terms and conditions of the Creative Commons Attribution (CC BY) license (https://creativecommons.org/licenses/by/4.0/).
Share and Cite
Seephua, N.; Liu, Y.; Li, H.; Bunyatratchata, A.; Phuseerit, O.; Siriamornpun, S. Nutritional Enhancement of Rice Noodles with Watermeal (Wolffia globosa). Foods 2025, 14, 1096. https://doi.org/10.3390/foods14071096
Seephua N, Liu Y, Li H, Bunyatratchata A, Phuseerit O, Siriamornpun S. Nutritional Enhancement of Rice Noodles with Watermeal (Wolffia globosa). Foods. 2025; 14(7):1096. https://doi.org/10.3390/foods14071096
Chicago/Turabian StyleSeephua, Nidthaya, Yu Liu, Hua Li, Apichaya Bunyatratchata, Onanong Phuseerit, and Sirithon Siriamornpun. 2025. "Nutritional Enhancement of Rice Noodles with Watermeal (Wolffia globosa)" Foods 14, no. 7: 1096. https://doi.org/10.3390/foods14071096
APA StyleSeephua, N., Liu, Y., Li, H., Bunyatratchata, A., Phuseerit, O., & Siriamornpun, S. (2025). Nutritional Enhancement of Rice Noodles with Watermeal (Wolffia globosa). Foods, 14(7), 1096. https://doi.org/10.3390/foods14071096

