Effect of Industrial Processing on the Volatile Organic Compound Fingerprint of Dry-Cured Tuna
Abstract
1. Introduction
2. Materials and Methods
2.1. Sampling
2.2. Mojama Production
2.3. Chemicals and Reagents
2.4. HS-SPME-GC/MS Analysis of VOCs
2.4.1. Sample Preparation and HS-SPME-GC/MS Analysis
2.4.2. Data Processing and Identification of VOCs
2.5. Data Analysis and Chemometrics
3. Results and Discussion
3.1. Volatile Organic Compounds Fingerprint
3.1.1. Aldehydes
3.1.2. Alcohols
3.1.3. Ketones
3.1.4. Furans
3.1.5. Acids
3.1.6. Aliphatic Hydrocarbons
3.1.7. Aromatic Hydrocarbons
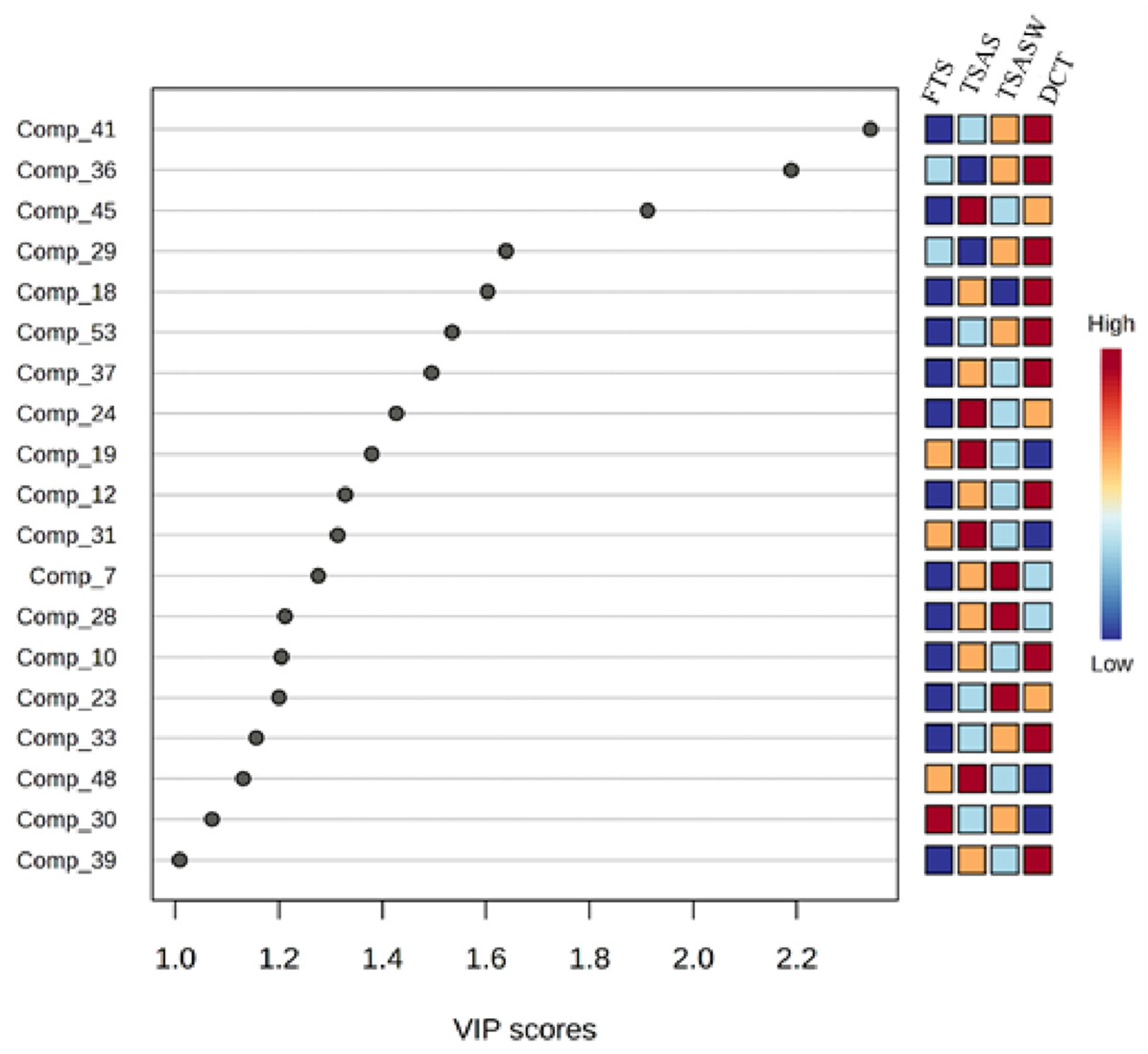
3.2. Multivariate Statistical Analysis
4. Conclusions
Supplementary Materials
Author Contributions
Funding
Institutional Review Board Statement
Informed Consent Statement
Data Availability Statement
Acknowledgments
Conflicts of Interest
References
- Nguyen, K.Q.; Phan, H.T.; Tran, P.D.; Van Nguyen, B.; Van Do, T.; Nguyen, L.T.; Van To, P.; Vu, N.K. Length-Length, Length–Weight, and Weight-Weight Relationships of Yellowfin (Thunnus albacares) and Bigeye (Thunnus obesus) Tuna Collected from the Commercial Handlines Fisheries in the South China Sea. Thalassas 2022, 38, 911–917. [Google Scholar] [CrossRef]
- Liu, H.; Fu, Z.; Zhou, S.; Hu, J.; Yang, R.; Yu, G.; Ma, Z. The Complete Mitochondrial Genome of Pennella sp. Parasitizing Thunnus albacares. Front. Cell. Infect. Microbiol. 2022, 12, 945152. [Google Scholar] [CrossRef] [PubMed]
- Mahmud, N.; Al-Fuad, S.; Satya, S.I.; Al Mamun, A.; Ahmed, S.; Karim, A.; Islam, M.; Ferdaus, J.; Islam, S.; Sakib, N.; et al. Development and Biochemical Composition Assessment of Fish Powders from Bangladeshi Indigenous Fish Species and Shelf-Life Characteristics Evaluation During 90 Days of Room Temperature (27–30 °C) Storage. Food Nutr. Sci. 2019, 10, 963–984. [Google Scholar] [CrossRef]
- Prabhakar, P.K.; Vatsa, S.; Srivastav, P.P.; Pathak, S.S. A Comprehensive Review on Freshness of Fish and Assessment: Analytical Methods and Recent Innovations. Food Res. Int. 2020, 133, 109157. [Google Scholar] [CrossRef] [PubMed]
- Pongsetkul, J.; Benjakul, S. Impact of Sous Vide Cooking on Quality and Shelf-Life of Dried Sour-Salted Fish. J. Food Process. Preserv. 2022, 46, e16142. [Google Scholar] [CrossRef]
- Banerjee, R.; Maheswarappa, N.B. Superchilling of Muscle Foods: Potential Alternative for Chilling and Freezing. Crit. Rev. Food Sci. Nutr. 2019, 59, 1256–1263. [Google Scholar] [CrossRef]
- Pittia, P.; Paparella, A. Safety by Control of Water Activity: Drying, Smoking, and Salt or Sugar Addition. In Regulating Safety of Traditional and Ethnic Foods; Elsevier Inc.: Amsterdam, The Netherlands, 2016; pp. 7–28. ISBN 9780128006207. [Google Scholar]
- Liu, J.; Mai, R.; Liu, P.; Guo, S.; Yang, J.; Bai, W. Flavor Formation in Dry-Cured Fish: Regulation by Microbial Communities and Endogenous Enzymes. Foods 2023, 12, 3020. [Google Scholar] [CrossRef]
- Sánchez-Parra, M.; Lopez, A.; Ordóñez-Díaz, J.L.; Rodríguez-Solana, R.; Montenegro-Gómez, J.C.; Pérez-Aparicio, J.; Moreno-Rojas, J.M. Evaluation of Biogenic Amine and Free Fatty Acid Profiles During the Manufacturing Process of Traditional Dry-Cured Tuna. Food Bioprocess Technol. 2023, 17, 452–463. [Google Scholar] [CrossRef]
- EU. Commission Implementing Regulation (EU) 2016/199 of 9 February 2016 Entering a Name in the Register of Protected Designations of Origin and Protected Geographical Indications [Mojama de Isla Cristina (PGI)]. Off. J. Eur. Union 2016, L39, 4. [Google Scholar]
- EU. Commission Implementing Regulation (EU) 2020/1326 of 15 September 2020 approving a non-minor amendment to the terms and conditions of a name entered in the Register of Protected Designations of Origin and Indications Protected Geography [Mojama de Isla Cristina (PGI)]. Off. J. Eur. Union 2020, L312, 1–2. [Google Scholar]
- EU. Commission Implementing Regulation (EU) 2015/2110 of 12 November 2015 Entering a Name in the Register of Protected Designations of Origin and Protected Geographical Indications [Mojama de Barbate (PGI)]. Off. J. Eur. Union 2015, L306, 1–2. [Google Scholar]
- EU. Commission Implementing Regulation (EU) 2020/913 of 25 June 2020 Approving a Non-Minor Amendment to the Terms and Conditions of a Name Entered in the Register of Protected Designations of Origin and Designations of Origin Protected Geography [Mojama de Barbate (PGI)]. Off. J. Eur. Union 2020, L209, 1–24. [Google Scholar]
- Domínguez, R.; Purriños, L.; Pérez-Santaescolástica, C.; Pateiro, M.; Barba, F.J.; Tomasevic, I.; Campagnol, P.C.B.; Lorenzo, J.M. Characterization of Volatile Compounds of Dry-Cured Meat Products Using HS-SPME-GC/MS Technique. Food Anal. Methods 2019, 12, 1263–1284. [Google Scholar] [CrossRef]
- Zhao, B.; Zhou, H.; Zhang, S.; Pan, X.; Li, S.; Zhu, N.; Wu, Q.; Wang, S.; Qiao, X.; Chen, W. Changes of Protein Oxidation, Lipid Oxidation and Lipolysis in Chinese Dry Sausage with Different Sodium Chloride Curing Salt Content. Food Sci. Hum. Wellness 2020, 9, 328–337. [Google Scholar] [CrossRef]
- Jiang, C.; Liu, Y.; Jin, W.; Zhu, K.; Miao, X.; Dong, X.; Jiang, P. Effects of Curing Concentration and Drying Time on Flavor and Microorganisms in Dry Salted Spanish Mackerel. Food Chem. X 2024, 21, 101126. [Google Scholar] [CrossRef]
- Liu, D.; Deng, Y.; Qiu, W.; Wang, S.; Zhou, M.; Xiong, G.; Li, C.; Wang, L.; Shi, L.; Wu, W.; et al. Dynamic Changes of Volatile Compounds and Small Molecule Compounds during Curing and Drying Processes of Megalobrama amblycephala. Int. J. Food Sci. Technol. 2024, 59, 2088–2101. [Google Scholar] [CrossRef]
- Sánchez-Parra, M.; Lopez, A.; Muñoz-Redondo, J.M.; Montenegro-Gómez, J.C.; Pérez-Aparicio, J.; Pereira-Caro, G.; Rodríguez-Solana, R.; Moreno-Rojas, J.M.; Ordóñez-Díaz, J.L. Study of the Influence of the Fishing Season and the Storage Temperature in the Fishing Vessel on the Biogenic Amine and Volatile Profiles in Fresh Yellowfin Tuna (Thunnus albacares) and Dry-Cured Mojama. J. Food Compos. Anal. 2022, 114, 104845. [Google Scholar] [CrossRef]
- Muñoz-Redondo, J.M.; Puertas, B.; Pereira-Caro, G.; Ordóñez-Díaz, J.L.; Ruiz-Moreno, M.J.; Cantos-Villar, E.; Moreno-Rojas, J.M. A Statistical Workflow to Evaluate the Modulation of Wine Metabolome and Its Contribution to the Sensory Attributes. Fermentation 2021, 7, 72. [Google Scholar] [CrossRef]
- Amigo, J.M.; Skov, T.; Bro, R.; Coello, J.; Maspoch, S. Solving GC-MS Problems with PARAFAC2. TrAC-Trends Anal. Chem. 2008, 27, 714–725. [Google Scholar] [CrossRef]
- Jørgensen, P.J.H.; Nielsen, S.F.V.; Hinrich, J.L.; Schmidt, M.N.; Madsen, K.H.; Mørup, M. Probabilistic PARAFAC2. Entropy 2024, 26, 697. [Google Scholar] [CrossRef]
- Johnsen, L.G.; Skou, P.B.; Khakimov, B.; Bro, R. Gas Chromatography—Mass Spectrometry Data Processing Made Easy. J. Chromatogr. A 2017, 1503, 57–64. [Google Scholar] [CrossRef] [PubMed]
- Szymańska, E.; Saccenti, E.; Smilde, A.K.; Westerhuis, J.A. Double-Check: Validation of Diagnostic Statistics for PLS-DA Models in Metabolomics Studies. Metabolomics 2012, 8, 3–16. [Google Scholar] [CrossRef] [PubMed]
- Chong, I.G.; Jun, C.H. Performance of Some Variable Selection Methods When Multicollinearity Is Present. Chemom. Intell. Lab. Syst. 2005, 78, 103–112. [Google Scholar] [CrossRef]
- Wang, Y.; Wu, Y.; Shen, Y.; Li, C.; Zhao, Y.; Qi, B.; Li, L.; Chen, Y. Metabolic Footprint Analysis of Volatile Organic Compounds by Gas Chromatography-Ion Mobility Spectrometry to Discriminate Mandarin Fish (Siniperca chuatsi) at Different Fermentation Stages. Front. Bioeng. Biotechnol. 2021, 9, 805364. [Google Scholar] [CrossRef]
- Leni, G.; Rocchetti, G.; Bertuzzi, T.; Abate, A.; Scansani, A.; Froldi, F.; Prandini, A. Volatile Compounds, Gamma-Glutamyl-Peptides and Free Amino Acids as Biomarkers of Long-Ripened Protected Designation of Origin Coppa Piacentina. Food Chem. 2024, 440, 138225. [Google Scholar] [CrossRef]
- Moretti, V.M.; Vasconi, M.; Caprino, F.; Bellagamba, F. Fatty Acid Profiles and Volatile Compounds Formation During Processing and Ripening of a Traditional Salted Dry Fish Product. J. Food Process. Preserv. 2017, 41, e13133. [Google Scholar] [CrossRef]
- Wu, S.; Yang, J.; Dong, H.; Liu, Q.; Li, X.; Zeng, X.; Bai, W. Key Aroma Compounds of Chinese Dry-Cured Spanish Mackerel (Scomberomorus niphonius) and Their Potential Metabolic Mechanisms. Food Chem. 2021, 342, 128381. [Google Scholar] [CrossRef]
- Sottero, B.; Leonarduzzi, G.; Testa, G.; Gargiulo, S.; Poli, G. Lipid oxidation derived aldehydes and oxysterols between health and disease. Eur. J. Lipid Sci. Technol. 2019, 121, 1700047. [Google Scholar] [CrossRef]
- Josephson, D.B.; Lindsay, R.C.; Stuiber, D.A. Influence of Processing on the Volatile Compounds Characterizing the Flavor of Pickled Fish. J. Food Sci. 1987, 52, 10–14. [Google Scholar] [CrossRef]
- Det-udom, R.; Settachaimongkon, S.; Chancharoonpong, C.; Suphamityotin, P.; Suriya, A.; Prakitchaiwattana, C. Factors Affecting Bacterial Community Dynamics and Volatile Metabolite Profiles of Thai Traditional Salt Fermented Fish. Food Sci. Technol. Int. 2023, 29, 266–274. [Google Scholar] [CrossRef]
- Duflos, G.; Coin, V.M.; Cornu, M.; Antinelli, J.-F.; Malle, P. Determination of Volatile Compounds to Characterize Fish Spoilage Using Headspace/Mass Spectrometry and Solid-Phase Microextraction/Gas Chromatography/Mass Spectrometry. J. Sci. Food Agric. 2006, 86, 600–611. [Google Scholar] [CrossRef]
- Iglesias, J.; Medina, I.; Bianchi, F.; Careri, M.; Mangia, A.; Musci, M. Study of the Volatile Compounds Useful for the Characterisation of Fresh and Frozen-Thawed Cultured Gilthead Sea Bream Fish by Solid-Phase Microextraction Gas Chromatography-Mass Spectrometry. Food Chem. 2009, 115, 1473–1478. [Google Scholar] [CrossRef]
- Lopez, A.; Vasconi, M.; Bellagamba, F.; Mentasti, T.; Pazzaglia, M.; Moretti, V.M. Volatile Organic Compounds Profile in White Sturgeon (Acipenser transmontanus) Caviar at Different Stages of Ripening by Multiple Headspace Solid Phase Microextraction. Molecules 2020, 25, 1074. [Google Scholar] [CrossRef] [PubMed]
- Parlapani, F.F.; Mallouchos, A.; Haroutounian, S.A.; Boziaris, I.S. Volatile Organic Compounds of Microbial and Non-Microbial Origin Produced on Model Fish Substrate Un-Inoculated and Inoculated with Gilt-Head Sea Bream Spoilage Bacteria. LWT-Food Sci. Technol. 2017, 78, 54–62. [Google Scholar] [CrossRef]
- Xu, Y.; Bi, S.; Niu, X.; Chen, Y.; Liu, Y.; Zhou, Q. Comparison of Aroma Active Compounds in Cold- and Hot-Pressed Walnut Oil by Comprehensive Two-Dimensional Gas Chromatography-Olfactory-Mass Spectrometry and Headspace-Gas Chromatography-Ion Mobility Spectrometry. Food Res. Int. 2023, 163, 112208. [Google Scholar] [CrossRef]
- Wang, X.; Shan, J.; Han, S.; Zhao, J.; Zhang, Y. Optimization of Fish Quality by Evaluation of Total Volatile Basic Nitrogen (TVB-N) and Texture Profile Analysis (TPA) by Near-Infrared (NIR) Hyperspectral Imaging. Anal. Lett. 2019, 52, 1845–1859. [Google Scholar] [CrossRef]
- Zhang, Q.; Ding, Y.; Gu, S.; Zhu, S.; Zhou, X.; Ding, Y. Identification of Changes in Volatile Compounds in Dry-Cured Fish during Storage Using HS-GC-IMS. Food Res. Int. 2020, 137, 109339. [Google Scholar] [CrossRef]
- Prost, C.; Hallier, A.; Cardinal, M.; Serot, T.; Courcoux, P. Effect of Storage Time on Raw Sardine (Sardina pilchardus) Flavor and Aroma Quality. J. Food Sci. 2004, 69, S198–S204. [Google Scholar] [CrossRef]
- Zhang, J.; Cao, J.; Pei, Z.; Wei, P.; Xiang, D.; Cao, X.; Shen, X.; Li, C. Volatile Flavour Components and the Mechanisms Underlying Their Production in Golden Pompano (Trachinotus blochii) Fillets Subjected to Different Drying Methods: A Comparative Study Using an Electronic Nose, an Electronic Tongue and SDE-GC-MS. Food Res. Int. 2019, 123, 217–225. [Google Scholar] [CrossRef]
- Miller, A.; Scanlan, R.A.; Lee, J.S.; Libbey, L.M. Volatile Compounds Produced in Sterile Fish Muscle (Sebastes melanops) by Pseudomonas putrefaciens, Pseudomonas fluorescens, and an Achromobacters Species. Appl. Microbiol. 1973, 26, 18–21. [Google Scholar] [CrossRef]
- Josephson, D.B.; Lindsay, R.C.; Stuiber, D.A. Variations in the Occurrences of Enzymically Derived Volatile Aroma Compounds in Salt- and Freshwater Fish. J. Agric. Food Chem. 1984, 32, 1344–1347. [Google Scholar] [CrossRef]
- Giri, A.; Osako, K.; Ohshima, T. Identification and Characterisation of Headspace Volatiles of Fish Miso, a Japanese Fish Meat Based Fermented Paste, with Special Emphasis on Effect of Fish Species and Meat Washing. Food Chem. 2010, 120, 621–631. [Google Scholar] [CrossRef]
- Wang, H.; Zhu, Y.; Zhang, J.; Wang, X.; Shi, W. Characteristic Volatile Compounds in Different Parts of Grass Carp by Comprehensive Two- Dimensional Gas Chromatography/Time-of-Flight Mass Spectrometry. Int. J. Food Prop. 2020, 23, 777–796. [Google Scholar] [CrossRef]
- Cha, Y.J.; Cadwallader, K.R. Aroma-Active Compounds in Skipjack Tuna Sauce. J. Agric. Food Chem. 1998, 46, 1123–1128. [Google Scholar] [CrossRef]
- Balagiannis, D.P.; Elmore, J.S. 23 Aroma. In Handbook of Seafood and Seafood Products Analysis; CRC Press: Boca Raton, FL, USA, 2024; p. 447. [Google Scholar]
- Sánchez-Parra, M.; Ordóñez-Díaz, J.L.; Pérez-Aparicio, J.; Moreno-Rojas, J.M. Physicochemical and Microbiological Changes Associated with Processing in Dry-Cured Tuna. Appl. Sci. 2023, 13, 5900. [Google Scholar] [CrossRef]
- Kuuliala, L.; Al Hage, Y.; Ioannidis, A.-G.; Sader, M.; Kerckhof, F.-M.; Vanderroost, M.; Boon, N.; De Baets, B.; De Meulenaer, B.; Ragaert, P.; et al. Microbiological, chemical and sensory spoilage analysis of raw Atlantic cod (Gadus morhua) stored under modified atmospheres. Food Microbiol. 2017, 70, 232–244. [Google Scholar] [CrossRef]
- Cho, I.H.; Namgung, H.; Choi, H.; Kim, Y. Volatiles and Key Odorants in the Pileus and Stipe of Pine-Mushroom (Tricholoma matsutake Sin.). Food Chem. 2008, 106, 71–76. [Google Scholar] [CrossRef]
- Fur, L.; Guessan, A.N.; Malle, P.; Duflos, G. Differentiation of Fresh and Frozen/Thawed Fish, European Sea Bass (Dicentrarchus labrax), Gilthead Seabream (Sparus aurata), Cod (Gadus morhua) and Salmon (Salmo salar), Using Volatile Compounds by SPME/GC/MS. J. Sci. Food Agric. 2012, 92, 2560–2568. [Google Scholar] [CrossRef]
- Moreira, N.; Valente, L.M.P.; Castro-cunha, M.; Cunha, L.M.; Pinho, P.G. De Effect of Storage Time and Heat Processing on the Volatile Profile of Senegalese Sole (Solea senegalensis Kaup, 1858) Muscle. Food Chem. 2013, 138, 2365–2373. [Google Scholar] [CrossRef]
- Selli, S.; Cayhan, G.G. Analysis of Volatile Compounds of Wild Gilthead Sea Bream (Sparus aurata) by Simultaneous Distillation-Extraction (SDE) and GC-MS. Microchem. J. 2009, 93, 232–235. [Google Scholar] [CrossRef]
- López-Pedrouso, M.; Lorenzo, J.M.; Zapata, C.; Franco, D. Proteins and Amino Acids; Elsevier Inc.: Amsterdam, The Netherlands, 2019; ISBN 9780128141748. [Google Scholar]
- Sha, K.; Lang, Y.M.; Sun, B.Z.; Su, H.W.; Li, H.P.; Zhang, L.; Lei, Y.H.; Li, H.B.; Zhang, Y. Changes in Lipid Oxidation, Fatty Acid Profile and Volatile Compounds of Traditional Kazakh Dry-Cured Beef during Processing and Storage. J. Food Process. Preserv. 2017, 41, e13059. [Google Scholar] [CrossRef]
- Domínguez, R.; Pateiro, M.; Gagaoua, M.; Barba, F.J.; Zhang, W.; Lorenzo, J.M. A Comprehensive Review on Lipid Oxidation in Meat and Meat Products. Antioxidants 2019, 8, 429. [Google Scholar] [CrossRef] [PubMed]
- Olafsdottir, G.; Luten, J.; Dalgaard, P.; Careche, M. Methods to evaluate fish freshness in research and industry. Trends Food Sci. Technol. 1998, 8, 258–265. [Google Scholar] [CrossRef]
- Jónsdóttir, R.; Ólafsdóttir, G.; Chanie, E.; Haugen, J.E. Volatile Compounds Suitable for Rapid Detection as Quality Indicators of Cold Smoked Salmon (Salmo salar). Food Chem. 2008, 109, 184–195. [Google Scholar] [CrossRef]
- Peinado, I.; Koutsidis, G.; Ames, J. Production of Seafood Flavour Formulations from Enzymatic Hydrolysates of Fish By-Products. LWT 2016, 66, 444–452. [Google Scholar] [CrossRef]
- Medina, I.; Aubourg, S.P.; Martín, R.P. Composition of Phospholipids of White Muscle of Six Tuna Species. Lipids 1995, 30, 1127–1135. [Google Scholar] [CrossRef]
- Ramírez, R.; Cava, R. Volatile Profiles of Dry-Cured Meat Products from Three Different Iberian x Duroc Genotypes. J. Agric. Food Chem. 2007, 55, 1923–1931. [Google Scholar] [CrossRef]
- García-González, D.L.; Tena, N.; Aparicio-Ruiz, R.; Morales, M.T. Relationship between Sensory Attributes and Volatile Compounds Qualifying Dry-Cured Hams. Meat Sci. 2008, 80, 315–325. [Google Scholar] [CrossRef]
- Lorenzo, J.M.; Gómez, M.; Fonseca, S. Effect of Commercial Starter Cultures on Physicochemical Characteristics, Microbial Counts and Free Fatty Acid Composition of Dry-Cured Foal Sausage. Food Control 2014, 46, 382–389. [Google Scholar] [CrossRef]
- Rodriguez-Campos, J.; Escalona-Buendía, H.B.; Orozco-Avila, I.; Lugo-Cervantes, E.; Jaramillo-Flores, M.E. Dynamics of Volatile and Non-Volatile Compounds in Cocoa (Theobroma cacao L.) during Fermentation and Drying Processes Using Principal Components Analysis. Food Res. Int. 2011, 44, 250–258. [Google Scholar] [CrossRef]
- Song, S.; Jin, D.; Huang, Y.; Xie, L.; Muhoza, B.; Sun, M.; Feng, T.; Qiang, W.; Huang, X.; Liu, Q. Unraveling Chemical Changes Associated with the Sensory Quality of Chinese Steamed Bread as Altered by Wheat Flour Type. Food Res. Int. 2024, 190, 114661. [Google Scholar] [CrossRef] [PubMed]
- Domínguez, R.; Agregán, R.; Lorenzo, J.M. Role of Commercial Starter Cultures on Microbiological, Physicochemical Characteristics, Volatile Compounds and Sensory Properties of Dry-Cured Foal Sausage. Asian Pac. J. Trop. Dis. 2016, 6, 396–403. [Google Scholar] [CrossRef]
- Pérez-Santaescolástica, C.; Carballo, J.; Fulladosa, E.; Garcia-Perez, J.V.; Benedito, J.; Lorenzo, J.M. Effect of Proteolysis Index Level on Instrumental Adhesiveness, Free Amino Acids Content and Volatile Compounds Profile of Dry-Cured Ham. Food Res. Int. 2018, 107, 559–566. [Google Scholar] [CrossRef] [PubMed]
- Henning, C.; Glomb, M.A. Pathways of the Maillard Reaction under Physiological Conditions. Glycoconj. J. 2016, 33, 499–512. [Google Scholar] [CrossRef] [PubMed]
- Shakeel, T.; Fatma, Z.; Fatma, T.; Yazdani, S.S. Heterogeneity of Alkane Chain Length in Freshwater and Marine Cyanobacteria. Front. Bioeng. Biotechnol. 2015, 3, 34. [Google Scholar] [CrossRef]
- Vidal, N.P.; Manzanos, M.J.; Goicoechea, E.; Guillén, M.D. Farmed and Wild Sea Bass (Dicentrarchus labrax) Volatile Metabolites: A Comparative Study by SPME-GC/MS. J. Sci. Food Agric. 2016, 96, 1181–1193. [Google Scholar] [CrossRef]
- Ólafsdóttir, G.; Jónsdóttir, R. Volatile Aroma Compounds in Fish. In Handbookk of Seafood and Seafood Products Analysis; Taylor and Francis Group, Ed.; CRC Press: Boca Raton, FL, USA, 2009; p. 928. [Google Scholar]
- Zhou, X.; Chong, Y.; Ding, Y.; Gu, S.; Liu, L. Determination of the Effects of Different Washing Processes on Aroma Characteristics in Silver Carp Mince by MMSE–GC–MS, e-Nose and Sensory Evaluation. Food Chem. 2016, 207, 205–213. [Google Scholar] [CrossRef]
- Chung, H.Y.; Yung, I.K.S.; Ma, W.C.J.; Kim, J.S. Analysis of Volatile Components in Frozen and Dried Scallops (Patinopecten yessoensis) by Gas Chromatography/Mass Spectrometry. Food Res. Int. 2002, 35, 43–53. [Google Scholar] [CrossRef]
- Grigorakis, K.; Taylor, K.D.A.; Alexis, M.N. Organoleptic and Volatile Aroma Compounds Comparison of Wild and Cultured Gilthead Sea Bream (Sparus aurata): Sensory Differences and Possible Chemical Basis. Aquaculture 2003, 225, 109–119. [Google Scholar] [CrossRef]
- Perugini, M.; Visciano, P.; Giammarino, A.; Manera, M.; Di Nardo, W.; Amorena, M. Polycyclic aromatic hydrocarbons in marine organisms from the Adriatic Sea, Italy. Chemosphere 2007, 66, 1904–1910. [Google Scholar] [CrossRef]
- Lytou, A.E.; Panagou, E.Z.; Nychas, G.J.E. Volatilomics for Food Quality and Authentication. Curr. Opin. Food Sci. 2019, 28, 88–95. [Google Scholar] [CrossRef]
- Van Berkel, J.J.B.N.; Dallinga, J.W.; Möller, G.M.; Godschalk, R.W.L.; Moonen, E.; Wouters, E.F.M.; Van Schooten, F.J. Development of Accurate Classification Method Based on the Analysis of Volatile Organic Compounds from Human Exhaled Air. J. Chromatogr. B Anal. Technol. Biomed. Life Sci. 2008, 861, 101–107. [Google Scholar] [CrossRef] [PubMed]
- Mi, S.; Wang, Y.; Zhang, X.; Sang, Y.; Wang, X. Authentication of the Geographical Origin of Sesame Seeds Based on Proximate Composition, Multi-Element and Volatile Fingerprinting Combined with Chemometrics. Food Chem. 2022, 397, 133779. [Google Scholar] [CrossRef] [PubMed]
- Ramadan, Z.; Jacobs, D.; Grigorov, M.; Kochhar, S. Metabolic Profiling Using Principal Component Analysis, Discriminant Partial Least Squares, and Genetic Algorithms. Talanta 2006, 68, 1683–1691. [Google Scholar] [CrossRef]
- Westerhuis, J.A.; Hoefsloot, H.C.J.; Smit, S.; Vis, D.J.; Smilde, A.K.; Velzen, E.J.J.; Duijnhoven, J.P.M.; Dorsten, F.A. Assessment of PLSDA Cross Validation. Metabolomics 2008, 4, 81–89. [Google Scholar] [CrossRef]
- Camacho, J.; Saccenti, E. Group-Wise Partial Least Square Regression. J. Chemom. 2018, 32, e2964. [Google Scholar] [CrossRef]
- Colombani, C.; Croiseau, P.; Fritz, S.; Guillaume, F.; Legarra, A.; Ducrocq, V.; Robert-Granié, C. A Comparison of Partial Least Squares (PLS) and Sparse PLS Regressions in Genomic Selection in French Dairy Cattle. J. Dairy Sci. 2012, 95, 2120–2131. [Google Scholar] [CrossRef]
- Mohit; Tomar, M.S.; Araniti, F.; Pateriya, A.; Singh Kushwaha, R.A.; Singh, B.P.; Jurel, S.K.; Singh, R.D.; Shrivastava, A.; Chand, P. Identification of Metabolic Fingerprints in Severe Obstructive Sleep Apnea Using Gas Chromatography–Mass Spectrometry. Front. Mol. Biosci. 2022, 9, 1026848. [Google Scholar] [CrossRef]







| No | Identification a | RT b | LRIexp | LRIlit | Steps | |||||
|---|---|---|---|---|---|---|---|---|---|---|
| FTS | TSAF | TSASW | DCT | p-Value | ||||||
| Aldehydes | ||||||||||
| 1 | hexanal | MS,STD,LRI | 9.37 | 1102 | 1106 | 46.98 ± 27.22 c | 113.96 ± 55.00 a | 62.02 ± 34.19 bc | 92.04 ± 77.03 ab | *** |
| 2 | heptanal | MS,STD,LRI | 11.92 | 1203 | 1208 | 22.19 ± 14.00 b | 56.98 ± 29.20 a | 55.03 ± 47.03 a | 35.07 ± 27.48 ab | *** |
| 3 | (Z)-4-heptenal | MS,STD,LRI | 13.47 | 1267 | 1255 | 3.81 ± 1.85 b | 10.10 ± 2.33 a | 8.83 ± 5.67 a | 9.49 ± 4.90 a | *** |
| 4 | octanal | MS,STD,LRI | 14.47 | 1308 | 1314 | 8.96 ± 7.00 b | 34.46 ± 22.53 a | 36.12 ± 24.86 a | 20.12 ± 11.70 ab | ** |
| 5 | nonanal | MS,STD,LRI | 16.95 | 1415 | 1406 | 91.56 ± 42.98 b | 210.67 ± 106.24 a | 218.27 ± 117.64 a | 132.78 ± 74.61 ab | ** |
| 6 | (E)-2-octenal | MS,STD,LRI | 17.89 | 1458 | 1436 | 0.02 ± 0.00 b | 0.03 ± 0.01 a | 0.03 ± 0.01 a | 0.03 ± 0.01 a | * |
| 7 | 3-(methylthio)-propanal 1 | MS,LRI | 18.86 | 1490 | 1480 | 163 ± 26.90 d | 1882 ± 419.23 a | 1521 ± 522.78 b | 1511 ± 323.12 c | *** |
| 8 | (E,E)-2,4-heptadienal | MS,STD,LRI | 19.40 | 1528 | 1512 | 182.53 ± 64.36 | 228.66 ± 106.38 | 227.21 ± 115.59 | 175.90 ± 92.74 | ns |
| 9 | (E)-2-nonenal | MS,STD,LRI | 20.15 | 1564 | 1542 | 57 ± 15.02 b | 88 ± 35.74 a | 59 ± 19.42 b | 85 ± 37.43 a | *** |
| 10 | benzaldehyde | MS,STD,LRI | 20.19 | 1566 | 1556 | 0.12 ± 0.07 b | 0.27 ± 0.08 a | 0.24 ± 0.07 a | 0.26 ± 0.09 a | ** |
| 11 | (E,Z)-2,6-nonadienal | MS,STD,LRI | 21.27 | 1618 | 1629 | 0.84 ± 0.81 | 1.05 ± 0.86 | 1.56 ± 1.0 | 0.96 ± 0.68 | ns |
| 12 | Benzeneacetaldehyde | MS,STD,LRI | 22.61 | 1685 | 1678 | 364 ± 90.90 b | 546 ± 186.40 a | 437 ± 187.00 b | 629 ± 184.09 a | *** |
| 13 | 4-ethyl-benzaldehyde | MS,STD,LRI | 23.90 | 1752 | 1730 | 253.10 ± 90.81 b | 445.43 ± 186.40 a | 438.79 ± 187.00 a | 310.46 ± 184.10 b | ** |
| 14 | (E)-2-undecenal | MS,STD,LRI | 24.45 | 1781 | 1736 | 0.40 ± 0.17 b | 1.37 ± 0.99 a | 1.33 ± 1.57 a | 0.91 ± 0.56 ab | * |
| 15 | (E)-2-dodecenal | MS,STD,LRI | 24.89 | 1804 | 1835 | 0.80 ± 0.26 c | 1.35 ± 0.95 a | 1.34 ± 0.71 a | 0.98 ± 0.63 b | * |
| 16 | (E,E)-2,4-decadienal | MS,STD,LRI | 25.66 | 1824 | 1824 | 35.61 ± 15.34 | 40.58 ± 12.23 | 39.58 ± 10.83 | 40.52 ± 22.95 | ns |
| Sum of aldehydes c | 1.23 ± 0.385 c | 3.66 ± 1.20 a | 2.10 ± 0.33 b | 3.05 ± 1.04 a | ** | |||||
| Alcohols | ||||||||||
| 17 | 1-penten-3-ol | MS,STD,LRI | 11.27 | 1177 | 1192 | 7.42 ± 3.81 b | 10.10 ± 4.48 ab | 7.10 ± 3.54 b | 12.75 ± 8.15 a | ** |
| 18 | 1-pentanol | MS,STD,LRI | 12.52 | 1228 | 1241 | - | 1.004 ± 0.70 b | - | 2.42 ± 0.52 a | *** |
| 19 | (Z)-2-penten-1-ol | MS,STD,LRI | 15.20 | 1339 | 1325 | 2.02 ± 1.23 ab | 2.10 ± 2.91 ab | 3.12 ± 2.27 a | 0.69 ± 0.55 b | *** |
| 20 | 1-hexanol | MS,STD,LRI | 15.88 | 1573 | 1368 | 0.47 ± 0.20 | 0.48 ± 0.22 | 0.46 ± 0.32 | 0.56 ± 0.42 | ns |
| 21 | (E)-3-hexen-1-ol | MS,STD,LRI | 16.67 | 1403 | 1384 | 0.047 ± 0.004 | 0.053 ± 0.004 | 0.053 ± 0.003 | 0.053 ± 0.005 | ns |
| 22 | 1-octen-3-ol | MS,STD,LRI | 18.03 | 1464 | 1438 | 0.48 ± 0.20 b | 0.88 ± 0.21 a | 0.66 ± 0.18 b | 0.61 ± 0.38 b | * |
| 23 | 1-heptanol | MS,STD,LRI | 18.17 | 1471 | 1468 | - | 40.09 ± 0.46 b | 44.14 ± 0.90 b | 139.11 ± 0.52 a | *** |
| 24 | 2-ethyl-1-hexanol | MS,STD,LRI | 18.90 | 1504 | 1504 | 0.33 ± 0.13 | - | 0.32 ± 0.09 | 0.38 ± 0.24 | ns |
| 25 | 1-octanol | MS,STD,LRI | 20.36 | 1573 | 1572 | 0.21 ± 0.09 | 0.37 ± 0.21 | 0.48 ± 0.35 | 0.32 ± 0.17 | ns |
| 26 | (Z)-2-Octen-1-ol 2 | MS,LRI | 21.60 | 1635 | 1620 | 0.05 ± 0.02 b | 0.16 ± 0.13 a | 0.04 ± 0.02 b | 0.02 ± 0.01 b | *** |
| 27 | 2,7-Octadien-1-ol | MS,STD,LRI | 23.00 | 1705 | 1693 | 0.02 ± 0.01 | 0.02 ± 0.01 | - | - | ns |
| 28 | Benzyl Alcohol 2 | MS,LRI | 26.89 | 1916 | 1902 | - | 1.32 ± 0.06 b | 3.44 ± 0.84 a | 1.24 ± 0.02 b | *** |
| 29 | Phenyl-ethyl Alcohol 2 | M,LRI | 27.5 | 1951 | 1946 | 0.033 ± 0.002 c | 0.033 ± 0.002 c | 0.039 ± 0.01 b | 0.045 ± 0.01 a | *** |
| Sum alcohols | 11.08 ± 5.56 c | 56.61 ± 20.91 b | 59.85 ± 31.30 b | 158.2 ± 26.73 a | *** | |||||
| Ketones | ||||||||||
| 30 | 2,3-pentanedione | MS,STD,LRI | 8.83 | 1080 | 1085 | 14.75 ± 4.02 a | 11.65 ± 3.20 b | 12.43 ± 2.52 ab | 10.15 ± 2.50 b | ** |
| 31 | 2,3-octanedione 3 | MS,LRI | 15.31 | 1344 | 1328 | 115.76 ± 50.41 ab | 147.81 ± 125.23 a | 155.01 ± 143.27 a | 49.57 ± 27.17 b | *** |
| 32 | 2-nonanone | MS,STD,LRI | 16.81 | 1409 | 1405 | 2.32 ± 1.19 b | 5.71 ± 4.35 a | 5.35 ± 4.49 a | 4.75 ± 4.08 b | * |
| 33 | (E,E)-3,5-octadien-2-one 3 | MS,LRI | 19.87 | 1550 | 1569 | 41.72 ± 31.55 b | 68.61 ± 33.27 b | 74.89 ± 37.29 ab | 96.97 ± 70.64 a | * |
| 34 | 2-undecanone | MS,STD,LRI | 21.32 | 1621 | 1601 | 5.18 ± 1.99 b | 12.83 ± 7.05 a | 12.37 ± 11.34 a | 8.43 ± 5.12 ab | * |
| Sum of ketones | 179.71 ± 37.83 b | 246.60 ± 99.26 a | 260.05 ± 104.61 a | 179.87 ± 60.77 b | * | |||||
| Furans | ||||||||||
| 35 | 2-ethylfuran | MS,STD,LRI | 8.13 | 955 | 949 | - | 20.5 ± 5.27 c | 30.43 ± 5.29 b | 50.65 ± 0.68 a | *** |
| 36 | 2-pentylfuran | MS,STD,LRI | 12.95 | 1245 | 1249 | - | 7.47 ± 5.59 b | 7.63 ± 5.01 b | 10.01 ± 1.02 a | *** |
| Sum of furans | - | 27.98 ± 7.09 c | 38.16 ± 11.15 b | 60.66 ± 7.98 a | *** | |||||
| Acids | ||||||||||
| 37 | Acetic acid | MS,STD,LRI | 18.43 | 1482 | 1479 | - | 0.12 ± 0.06 b | 0.11 ± 0.07 b | 0.20 ± 0.13 a | * |
| 38 | 2-methyl-propanoic acid 4 | MS,LRI | 20.79 | 1594 | 1561 | 0.12 ± 0.05 c | 0.10 ± 0.03 c | 0.36 ± 0.05 b | 0.48 ± 0.11 a | ** |
| 39 | Pentanoic acid | MS,STD,LRI | 22.80 | 1695 | 1720 | 0.57 ± 0.10 c | 1.09 ± 0.10 b | 0.63 ± 0.12 c | 1.31 ± 0.11 a | *** |
| 40 | Hexanoic acid | MS,STD,LRI | 26.10 | 1871 | 1849 | 0.06 ± 0.01 | 0.06 ± 0.01 | 0.06 ± 0.01 | 0.05 ± 0.02 | ns |
| 41 | Heptanoic Acid | MS,STD,LRI | 27.97 | 1978 | 1963 | 0.07 ± 0.003 b | 0.19 ± 0.13 a | 0.08 ± 0.008 b | 0.22 ± 0.12 a | *** |
| Sum of acids | 0.82 ± 0.14 c | 1.56 ± 0.31 b | 1.24 ± 0.21 b | 2.26 ± 0.26 a | *** | |||||
| Aliphatic Hydrocarbons | ||||||||||
| 42 | 2,6,7-trimethyldecane 5 | MS,LRI | 8.62 | 1071 | 1058 | 0.23 ± 0.19 a | 0.08 ± 0.05 b | 0.11 ± 0.07 ab | 0.04 ± 0.03 b | ** |
| 43 | dodecane | MS,STD,LRI | 11.70 | 1194 | 1200 | 30.34 ± 6.00 | 51.15 ± 41.38 | 32.43 ± 10.63 | 39.44 ± 13.82 | ns |
| 44 | D-Limonene | MS,STD,LRI | 12.10 | 1211 | 1197 | 52.21 ± 29.13 | 52.97 ± 25.61 | 41.62 ± 18.70 | 35.66 ± 14.75 | ns |
| 45 | tridecane | MS,STD,LRI | 14.29 | 1300 | 1300 | 4.83 ± 2.81 b | 14.27 ± 7.84 a | 13.96 ± 11.78 a | 7.75 ± 6.23 ab | ** |
| 46 | tetradecane | MS,STD,LRI | 16.48 | 1394 | 1400 | 0.13 ± 0.05 c | 0.51 ± 0.38 a | 0.32 ± 0.22 a | 0.13 ± 0.04 c | *** |
| 47 | pentadecane | MS,STD,LRI | 18.80 | 1499 | 1500 | 10.25 ± 8.30 c | 44.39 ± 35.13 a | 33.57 ± 28.59 ab | 17.96 ± 12.85 bc | ** |
| 48 | 2,6,10,14-tetramethyl-pentadecane 5 | MS,LRI | 22.15 | 1662 | 1655 | 0.22 ± 0.15 b | 0.72 ± 0.45 a | 0.62 ± 0.54 ab | 0.57 ± 0.25 ab | * |
| 49 | Z,Z,Z-4,6,9-nonadecatriene 5 | MS,LRI | 26.69 | 1904 | 1934 | 0.38 ± 0.32 b | 0.48 ± 0.20 b | 0.51 ± 0.32 b | 0.95 ± 0.36 a | *** |
| Sum of aliphatic hydrocarbons | 98.59 ± 39.01 b | 164.58 ± 98.06 a | 123.14 ± 61.74 ab | 102.51 ± 40.68 b | *** | |||||
| Aromatic hydrocarbons | ||||||||||
| 50 | Ethylbenzene | MS,STD,LRI | 10.37 | 1142 | 1128 | - | 9.632 ± 0.95 a | 9.62 ± 1.08 a | 2.60 ± 0.06 b | *** |
| 51 | 1,3-dimethyl-Benzene | MS,STD,LRI | 10.58 | 1150 | 1143 | - | 1.15 ± 0.91 | 1.09 ± 0.85 | 1.14 ± 0.87 | ns |
| 52 | p-Xylene | MS,STD,LRI | 10.82 | 1160 | 1125 | - | 0.75 ± 0.23 | 0.84 ± 0.28 | 0.65 ± 0.18 | ns |
| 53 | Styrene | MS,STD,LRI | 13.9 | 1256 | 1254 | - | 1.77 ± 0.18 b | 2.94 ± 0.12 a | 1.08 ± 0.34 b | *** |
| 54 | Trimethylpyrazine | MS,STD,LRI | 17.3 | 1431 | 1437 | 0.12 ± 0.03 b | 0.12 ± 0.03 b | 0.14 ± 0.05 b | 0.25 ± 0.08 a | *** |
| Sum of aromatic hydrocarbons | 0.12 ± 0.02 c | 13.42 ± 0.95 a | 14.64 ± 1.81 a | 5.72 ± 0.67 b | *** | |||||
Disclaimer/Publisher’s Note: The statements, opinions and data contained in all publications are solely those of the individual author(s) and contributor(s) and not of MDPI and/or the editor(s). MDPI and/or the editor(s) disclaim responsibility for any injury to people or property resulting from any ideas, methods, instructions or products referred to in the content. |
© 2025 by the authors. Licensee MDPI, Basel, Switzerland. This article is an open access article distributed under the terms and conditions of the Creative Commons Attribution (CC BY) license (https://creativecommons.org/licenses/by/4.0/).
Share and Cite
Sánchez-Parra, M.; Lopez, A.; Moretti, V.M.; Ordóñez-Díaz, J.L.; Moreno-Rojas, J.M. Effect of Industrial Processing on the Volatile Organic Compound Fingerprint of Dry-Cured Tuna. Foods 2025, 14, 592. https://doi.org/10.3390/foods14040592
Sánchez-Parra M, Lopez A, Moretti VM, Ordóñez-Díaz JL, Moreno-Rojas JM. Effect of Industrial Processing on the Volatile Organic Compound Fingerprint of Dry-Cured Tuna. Foods. 2025; 14(4):592. https://doi.org/10.3390/foods14040592
Chicago/Turabian StyleSánchez-Parra, Mónica, Annalaura Lopez, Vittorio Maria Moretti, José Luis Ordóñez-Díaz, and José Manuel Moreno-Rojas. 2025. "Effect of Industrial Processing on the Volatile Organic Compound Fingerprint of Dry-Cured Tuna" Foods 14, no. 4: 592. https://doi.org/10.3390/foods14040592
APA StyleSánchez-Parra, M., Lopez, A., Moretti, V. M., Ordóñez-Díaz, J. L., & Moreno-Rojas, J. M. (2025). Effect of Industrial Processing on the Volatile Organic Compound Fingerprint of Dry-Cured Tuna. Foods, 14(4), 592. https://doi.org/10.3390/foods14040592

