Preliminary Characterization of Bulgarian Forest Honeys: Oak Honeydew and Coniferous Varieties
Abstract
1. Introduction
2. Materials and Methods
2.1. Samples
2.2. Determination of Physicochemical Parameters
2.3. Determination of Chemical Elements
2.3.1. Sample Preparation Procedure
2.3.2. Apparatus
2.4. Statistical Analysis
3. Results and Discussion
3.1. Physicochemical Characterization
3.1.1. Color
3.1.2. Water Content
3.1.3. Electrical Conductivity
3.1.4. Specific Optical Rotation
3.1.5. Total Acidity and pH
3.1.6. Enzyme Activity (Diastase and Invertase)
3.1.7. Proline Content and Ripeness
3.1.8. Hydroxymethylfurfural (HMF) and Freshness
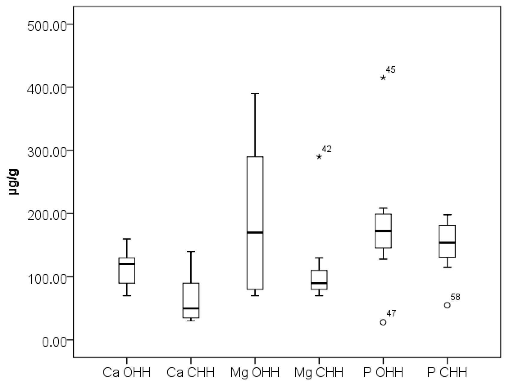
3.2. Elemental Composition
3.3. Correlations
4. Conclusions
Supplementary Materials
Author Contributions
Funding
Institutional Review Board Statement
Informed Consent Statement
Data Availability Statement
Acknowledgments
Conflicts of Interest
Abbreviations
| OHH | Oak honeydew honey |
| CHH | Coniferous honeydew honey |
| HMF | Hydroxymethylfurfural |
| FAAS | Flame Atomic Absorption Spectrometry |
| FAES | Flame Atomic Emission Spectrometry |
| ETAAS | Electrothermal Atomic Absorption Spectrometry |
| ICP-OES | Inductively Coupled Plasma Optical Emission Spectrometry |
References
- Nayaka, N.M.D.M.W.; Fidrianny, I.; Hartati, R.; Singgih, M. Antioxidant and Antibacterial Activities of Multiflora Honey Extracts from the Indonesian Apis cerana Bee. J. Taibah Univ. Med. Sci. 2020, 15, 211–217. [Google Scholar] [CrossRef]
- Eteraf-Oskouei, T.; Najafi, M. Traditional and Modern Uses of Natural Honey in Human Diseases: A Review. Iran. J. Basic Med. Sci. 2013, 16, 731–742. [Google Scholar] [PubMed]
- Cornara, L.; Biagi, M.; Xiao, L.; Burlando, B. Therapeutic Properties of Bioactive Compounds from Different Honeybee Products. Front. Pharmacol. 2017, 8, 412. [Google Scholar] [CrossRef] [PubMed]
- Mohammad, S.M.; Mahmud-Ab-Rashid, N.-K.; Zawawi, N. Stingless Bee-Collected Pollen (Bee Bread): Chemical and Microbiology Properties and Health Benefits. Molecules 2021, 26, 957. [Google Scholar] [CrossRef]
- Martinotti, S.; Calabrese, G.; Ranzato, E. Honeydew Honey: Biological Effects on Skin Cells. Mol. Cell. Biochem. 2017, 435, 185–192. [Google Scholar] [CrossRef]
- Sanz, M.L.; Gonzalez, M.; de Lorenzo, C.; Sanz, J.; Martinez-Castro, I. A Contribution to the Differentiation Between Nectar Honey and Honeydew Honey. Food Chem. 2005, 91, 313–317. [Google Scholar] [CrossRef]
- Ülgentürk, S.; Özdemir, I.; Kozar, F.; Kaydan, M.B.; Dostbil, Ö.; Saribaşak, H.; Civelek, H.S. Honeydew Producing Insect Species in Forest Areas in Western Turkey. Turk. Bull. Entomol. 2013, 3, 125–133. [Google Scholar]
- Ünal, S.; Ayan, S.; Karadeniz, M.; Yer, E.N. Some Forest Trees for Honeydew Honey Production in Turkey. Сибирский леснoй журнал 2017, 4, 101–110. [Google Scholar] [CrossRef]
- Kowalczuk, I.; Stangierska, D.; Widera, K.; Fornal-Pieniak, B.; Latocha, P. Determinants of Honey Consumption with Special Reference to the Influence of Nutritional Knowledge and Health Status on Consumption Habits. Appl. Sci. 2023, 13, 979. [Google Scholar] [CrossRef]
- Tomczyk, M.; Bocian, A.; Sidor, E.; Miłek, M.; Zaguła, G.; Dzugan, M. The Use of HPTLC and SDS-PAGE Methods for Coniferous Honeydew Honey Fingerprinting Compiled with Mineral Content and Antioxidant Activity. Molecules 2022, 27, 720. [Google Scholar] [CrossRef]
- Silici, S.; Ülgen, N. Bioactive Properties of Blossom and Honeydew Honeys. Mellifera 2019, 19, 41–52. [Google Scholar]
- Pita-Calvo, C.; Vázquez, M. Differences Between Honeydew and Blossom Honeys: A review. Trends Food Sci. Technol. 2017, 59, 79–87. [Google Scholar] [CrossRef]
- Escuredo, O.; Fernández-González, M.; Carmen, S.M. Differentiation of Blossom Honey and Honeydew Honey from Northwest Spain. Agriculture 2012, 2, 25–37. [Google Scholar] [CrossRef]
- Jara-Palacios, M.J.; Ávila, F.J.; Escudero-Gilete, M.L.; Pajuelo, E.G.; Heredia, F.J.; Hernanz, D.; Terrab, A. Physicochemical Properties, Colour, Chemical Composition, and Antioxidant Activity of Spanish Quercus Honeydew Honeys. Eur. Food Res. Technol. 2019, 245, 2017–2026. [Google Scholar] [CrossRef]
- Seijo, M.C.; Escuredo, O.; Rodríguez-Flores, M.S. Physicochemical Properties and Pollen Profile of Oak Honeydew and Evergreen Oak Honeydew Honeys from Spain: A Comparative Study. Foods 2019, 8, 126. [Google Scholar] [CrossRef]
- Georgiev, G.; Tsankov, G.; Mirchev, P.; Petkov, P. Honeydew Producers in Oak Forests of Strandzha Mountain, Bulgaria. Silva 2008, 9, 1. [Google Scholar]
- Atanassova, J.; Lazarova, M.; Yurukova, L. Significant Parameters of Bulgarian Honeydew Honey. J. Cent. Eur. Agric. 2016, 17, 640–651. [Google Scholar] [CrossRef][Green Version]
- Hernanz, D.; Jara-Palacios, M.J.; Santos, J.L.; Pajuelo, A.G.; Heredia, F.J.; Terrab, A. The Profile of Phenolic Compounds by HPLC-MS in Spanish Oak (Quercus) Honeydew Honey and their Relationships with Color and Antioxidant Activity. LWT 2023, 180, 114724. [Google Scholar] [CrossRef]
- Bodó, A.; Radványi, L.; Koszegi, T.; Csepregi, R.; Nagy, D.U.; Farkas, Á.; Kocsis, M. Quality Evaluation of Light- and Dark-Colored Hungarian Honeys, Focusing on Botanical Origin, Antioxidant Capacity and Mineral Content. Molecules 2021, 26, 2825. [Google Scholar] [CrossRef]
- Šedík, P.; Horská, E.; Adam, Š.; Miškeje, M. Mineral Content as an Aspect of Nutrition Marketing: Case Study of Honey Market in Slovakia. J. Food Nutr. Res. 2020, 59, 185–192. [Google Scholar]
- Mara, A.; Mainente, F.; Soursou, V.; Picó, Y.; Perales, I.; Ghorab, A.; Sanna, G.; Borrás-Linares, I.; Zoccatelli, G.; Ciulu, M. New Insights on Quality, Safety, Nutritional, and Nutraceutical Properties of Honeydew Honeys from Italy. Molecules 2025, 30, 410. [Google Scholar] [CrossRef]
- БДС 3050:1980; Bee Honey. Rules for Sampling and Testing Methods. Bulgarian Institute for Standardization: Sofia, Bulgaria, 1980. Available online: https://bds-bg.org/bg/project/show/bds:proj:22905 (accessed on 1 November 2025).
- Bogdanov, S. Harmonised Methods of the International Honey Commission. 2009, pp. 1–63. Available online: https://www.ihc-platform.net/ihcmethods2009.pdf (accessed on 21 November 2025).
- Voyslavov, T.; Mladenova, E.; Balkanska, R. A New Approach for Determination of the Botanical Origin of Monofloral Bee Honey, Combining Mineral Content, Physicochemical Parameters, and Self-Organizing Maps. Molecules 2021, 26, 7219. [Google Scholar] [CrossRef]
- Seraglio, S.K.; Silva, B.; Bergamo, G.; Brugnerotto, P.; Gonzaga, L.V.; Fett, R.; Costa, A.C.O. An Overview of Physicochemical Characteristics and Health-Promoting Properties of Honeydew Honey. Food Res. Int. 2019, 119, 44–66. [Google Scholar] [CrossRef]
- Manzanares, A.B.; Garcia, Z.H.; Galdуn, B.R.; Rodriguez-Rodriguez, E.M.; Diaz, C. Differentiation of Blossom and Honeydew Honeys Using Multivariate Analysis on the Physicochemical Parameters and Sugar Composition. Food Chem. 2011, 126, 664–672. [Google Scholar] [CrossRef]
- Vanhanen, L.P.; Emmertz, A.; Savage, G.P. Mineral Analysis of Monofloral New Zealand Honey. Food Chem. 2011, 128, 236–240. [Google Scholar] [CrossRef] [PubMed]
- Kuś, P.M.; Jerković, I.; Marijanović, Z.; Tuberoso, C.I.G. Screening of Polish Fir Honeydew Honey Using GC/MS, HPLC-DAD, and Physical-Chemical Parameters: Benzene Derivatives and Terpenes as Chemical Markers. Chem. Biodivers. 2017, 14, e1700179. [Google Scholar] [CrossRef] [PubMed]
- Rybak-Chmielewska, H.; Szczesna, T.; Was, E.; Jaskiewicz, K.; Teper, D. Characteristics of Polish Unifloral Honeys IV. Honeydew Honey, mainly (Abies alba L.). J. Apic. Sci. 2013, 57, 51–59. [Google Scholar] [CrossRef]
- Fernandez-Torres, R.; Perez-Bernal, J.L.; Bello-Lopez, M.A.; Callejon-Mochon, M.; Jimenez-Sanchez, J.C.; Guiraum-Perez, A. Mineral Content and Botanical Origin of Spanish Honeys. Talanta 2005, 65, 686–691. [Google Scholar] [CrossRef]
- Council Directive 2001/110/EC of the 20 December 2001 relating to honey. Off. J. Eur. Communities 2002, 10, 47–52. Available online: https://eur-lex.europa.eu/legal-content/EN/TXT/PDF/?uri=CELEX:32001L0110&from=EN (accessed on 3 November 2025).
- Serrano, S.; Rodríguez, I.; Moreno, R.; Rincón, F. Detection of Key Factors Affecting Specific Optical Rotation Determination in Honey. CyTA-J. Food 2019, 17, 574–580. [Google Scholar] [CrossRef]
- Kesić, A.; Stipe Ćelan, S.; Mehmedinović, N.I.; Šestan, A. Optical Activity, Total Phenolic Content and Color Intensity of Nectarian Honey and Honeydew. Eur. J. Food Sci. Technol. 2020, 8, 12–33. [Google Scholar]
- Dinkov, D. A Scientific Note on the Specific Optical Rotation of Three Honey Types from Bulgaria. Apidologie 2003, 34, 319–320. [Google Scholar] [CrossRef][Green Version]
- Persano Oddo, L.; Piazza, M.G.; Sabatini, A.G.; Accorti, M. Characterization of Unifloral Honey. Apidologie 1995, 26, 453–465. [Google Scholar] [CrossRef]
- Gerginova, D.; Kurteva, V.; Simova, S. Optical Rotation—A Reliable Parameter for Authentication of Honey? Molecules 2022, 27, 8916. [Google Scholar] [CrossRef] [PubMed]
- Primorac, L.; Angelkov, B.; Mandić, M.L.; Kenjerić, D.; Nedeljko, M.; Flanjak, I.; Perl Pirički, A.; Arapceska, M. Comparison of the Croatian and Macedonian honeydew honey. J. Cent. Eur. Agric. 2009, 10, 263–264. [Google Scholar]
- Dzugan, M.; Ciszkowicz, E.; Tomczyk, M.; Miłek, M.; Lecka-Szlachta, K. Coniferous Honeydew Honey: Antibacterial Activity and Anti-Migration Properties against Breast Cancer Cell Line (MCF-7). Appl. Sci. 2024, 14, 710. [Google Scholar] [CrossRef]
- Escuredo, O.; Chouza, M.; Rodríguez-Flores, M.S.; Diéguez-Antón, A.; Míguez, M.; Seijo, M.C. Chemometric support for the botanical discrimination of honey from Northwest Spain: Mineral composition and physicochemical properties. Food Chem. 2025, 491, 145412. [Google Scholar] [CrossRef]
- Kolayli, S.; Can, Z.; Çakir, H.E.; Okan, O.T.; Yildiz, O. An Investigation on Trakya Region Oak (Quercus spp.) Honeys of Turkey: Their Physico-Chemical, Antioxidant and Phenolic Compounds Properties. Turk. J. Biochem. 2018, 43, 362–374. [Google Scholar] [CrossRef]
- Barišić, D.; Vertačnik, A.; Bromenshenk, J.J.; Kezić, N.; Lulić, S.; Hus, M.; Kraljević, P.; Šimpraga, S.M.; Seletković, Z. Radionuclides and Selected Elements in Soil and Honey from Gorski Kotar, Croatia. Apidologie 1999, 30, 277–287. [Google Scholar] [CrossRef]
- Stecka, H.; Gręda, K.; Pohl, P. Zawartość i biodostępność wapnia, miedzi, żelaza, magnezu, manganu i cynku w komercyjnie dostępnych krajowych miodach pszczelich. Bromat. Chem. Toksykol. 2012, XLV, 111–116. [Google Scholar]
- Ćirić, J.; Spirić, D.; Baltić, T.; Lazić, I.B.; Trbović, D.; Parunović, N.; Đorđević, V. Honey Bees and their Products as Indicators of Environmental Element Deposition. Biol. Trace Elem. Res. 2021, 199, 2312–2319. [Google Scholar] [CrossRef] [PubMed]
- Gajek, M.; Wysocki, P.; Mordaka, K.; Iwona, M.; Jóźwik, S. Elemental Composition of Bee Products from Diverse Botanical Sources: Implications for Consumer Safety. J. Food Compos. Anal. 2025, 147, 108059. [Google Scholar] [CrossRef]
- Commission Regulation (EU) 2023/915 of 25 April 2023 on maximum levels for certain contaminants in food and repealing Regulation (EC) No 1881/2006. Off. J. Eur. Union 2023, L119, 103. Available online: https://eur-lex.europa.eu/legal-content/EN/TXT/PDF/?uri=CELEX:32023R0915 (accessed on 3 November 2025).
- Bertoncelj, J.; Dobersek, U.; Jamnik, M.; Golob, T. Evaluation of the Phenolic Content, Antioxidant Activity and Colour of Slovenian Honey. Food Chem. 2007, 105, 822–828. [Google Scholar] [CrossRef]
- Inaudi, P.; Garzino, M.; Abollino, O.; Malandrino, M.; Giacomino, A. Honey: Inorganic Composition as Possible Marker for Botanical and Geological Assignment. Molecules 2025, 30, 1466. [Google Scholar] [CrossRef]
- Drivelos, S.A.; Danezis, G.P.; Halagarda, M.; Popek, S.; Georgiou, C.A. Geographical Origin and Botanical Type Honey Authentication Through Elemental Metabolomics via Chemometrics. Food Chem. 2021, 338, 127936. [Google Scholar] [CrossRef]





| Pollen | OHH | CHH |
|---|---|---|
| Main pollens | Quercus spp. | Pinaceae |
| Secondary pollens | Asteraceae, Apiaceae, Brassicaceae, Fabaceae, Rosaceae | Poaceae, Tiliceae, Plantaginaceae, Fabaceae, Lamiaceae, Asteraceae |
| Parameter | OHH Mean ± SD (n = 10) | CHH Mean ± SD (n = 7) | Significance |
|---|---|---|---|
| Color [mm Pfund] | 105 ± 16 | 63 ± 18 | p < 0.01 |
| Water content [%] | 16.46 ± 1.13 | 17.51 ± 1.01 | NS |
| Electrical conductivity [mS/cm] | 1.01 ± 0.16 | 0.92 ± 0.17 | NS |
| 12.5 ± 5.5 | −14.32 ± 1.93 | p < 0.001 | |
| pH | 4.26 ± 0.20 | 3.59 ± 0.13 | p < 0.05 |
| Diastase, Gothe units | 22.7 ± 3.3 | 24.88 ± 1.02 | NS |
| Total acidity, meq/kg | 34.0 ± 2.2 | 33.1 ± 5.6 | NS |
| Invertase, U/kg | 121 ± 43 | 100 ± 28 | NS |
| Proline, mg/kg | 287 ± 111 | 468 ± 145 | p < 0.001 |
| HMF, mg/kg | 6.28 ± 2.08 | 2.83 ± 0.87 | p < 0.05 |
| Correlation | Oak Honeydew Honey | Coniferous Honeydew Honey |
|---|---|---|
| color—electrical conductivity | r = 0.794; p < 0.05 | r = 0.811; p < 0.05 |
| Ba–Mg | r = 0.832; p < 0.01 | r = 0.783; p < 0.01 |
| Ba–Mn | r = 0.890; p < 0.01 | r = 0.816; p < 0.01 |
| Mg–Mn | r = 0.954; p < 0.01 | r = 0.987, p < 0.01 |
| Ba–Sr | r = 0.828, p < 0.01 | r = 0.818; p < 0.01 |
Disclaimer/Publisher’s Note: The statements, opinions and data contained in all publications are solely those of the individual author(s) and contributor(s) and not of MDPI and/or the editor(s). MDPI and/or the editor(s) disclaim responsibility for any injury to people or property resulting from any ideas, methods, instructions or products referred to in the content. |
© 2025 by the authors. Licensee MDPI, Basel, Switzerland. This article is an open access article distributed under the terms and conditions of the Creative Commons Attribution (CC BY) license (https://creativecommons.org/licenses/by/4.0/).
Share and Cite
Mladenova, E.; Balkanska, R.; Shumkova, R. Preliminary Characterization of Bulgarian Forest Honeys: Oak Honeydew and Coniferous Varieties. Foods 2025, 14, 4298. https://doi.org/10.3390/foods14244298
Mladenova E, Balkanska R, Shumkova R. Preliminary Characterization of Bulgarian Forest Honeys: Oak Honeydew and Coniferous Varieties. Foods. 2025; 14(24):4298. https://doi.org/10.3390/foods14244298
Chicago/Turabian StyleMladenova, Elisaveta, Ralitsa Balkanska, and Rositsa Shumkova. 2025. "Preliminary Characterization of Bulgarian Forest Honeys: Oak Honeydew and Coniferous Varieties" Foods 14, no. 24: 4298. https://doi.org/10.3390/foods14244298
APA StyleMladenova, E., Balkanska, R., & Shumkova, R. (2025). Preliminary Characterization of Bulgarian Forest Honeys: Oak Honeydew and Coniferous Varieties. Foods, 14(24), 4298. https://doi.org/10.3390/foods14244298

