Effects of Spartina alterniflora Extract on Growth Performance and Flavor Quality in Mud Crab (Scylla paramamosain)
Abstract
1. Introduction
2. Materials and Methods
2.1. Diet Formulation
2.2. Spartina Alterniflora (SA) Extract
2.3. Animals and Feeding Trial
2.4. Sample Collection
2.5. Electronic Tongue
2.6. Free Amino Acids
2.7. Flavor Nucleotides
2.8. Fatty Acids
2.9. Electronic Nose
2.10. Volatile Compounds
2.11. Statistics, Calculations, and Visualization Analysis
3. Results and Discussion
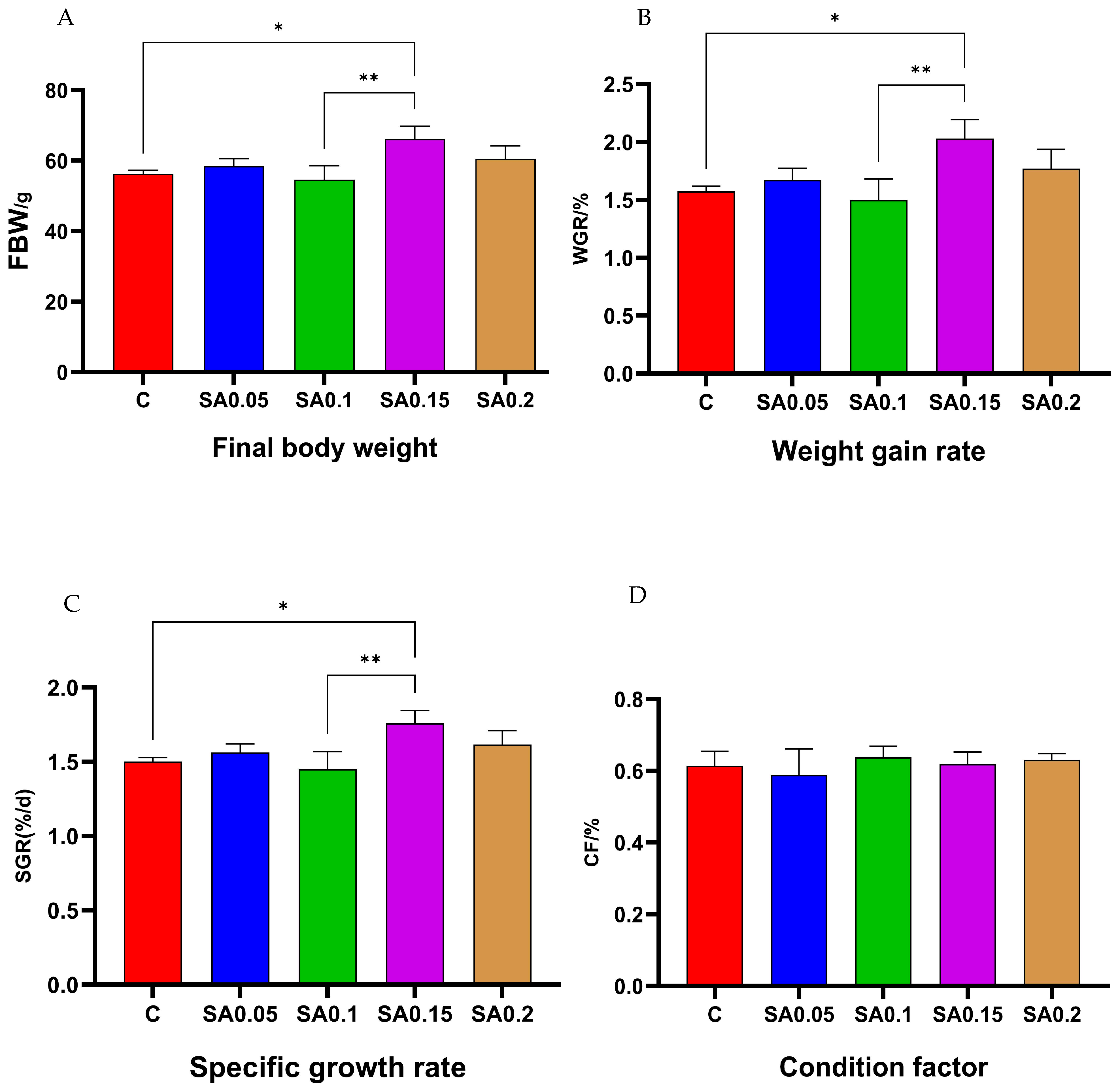
3.1. Effects of Different Concentrations of SA Extract on Growth Performance of Mud Crab
3.2. Effects of Different Concentrations of SA Extract on Electronic Tongue Parameters of Mud Crab
3.3. Effects of Different Concentrations of SA Extract on Free Amino Acids of Mud Crab
3.4. Effects of Different Concentrations of SA Extract on Flavor Nucleotides of Mud Crab
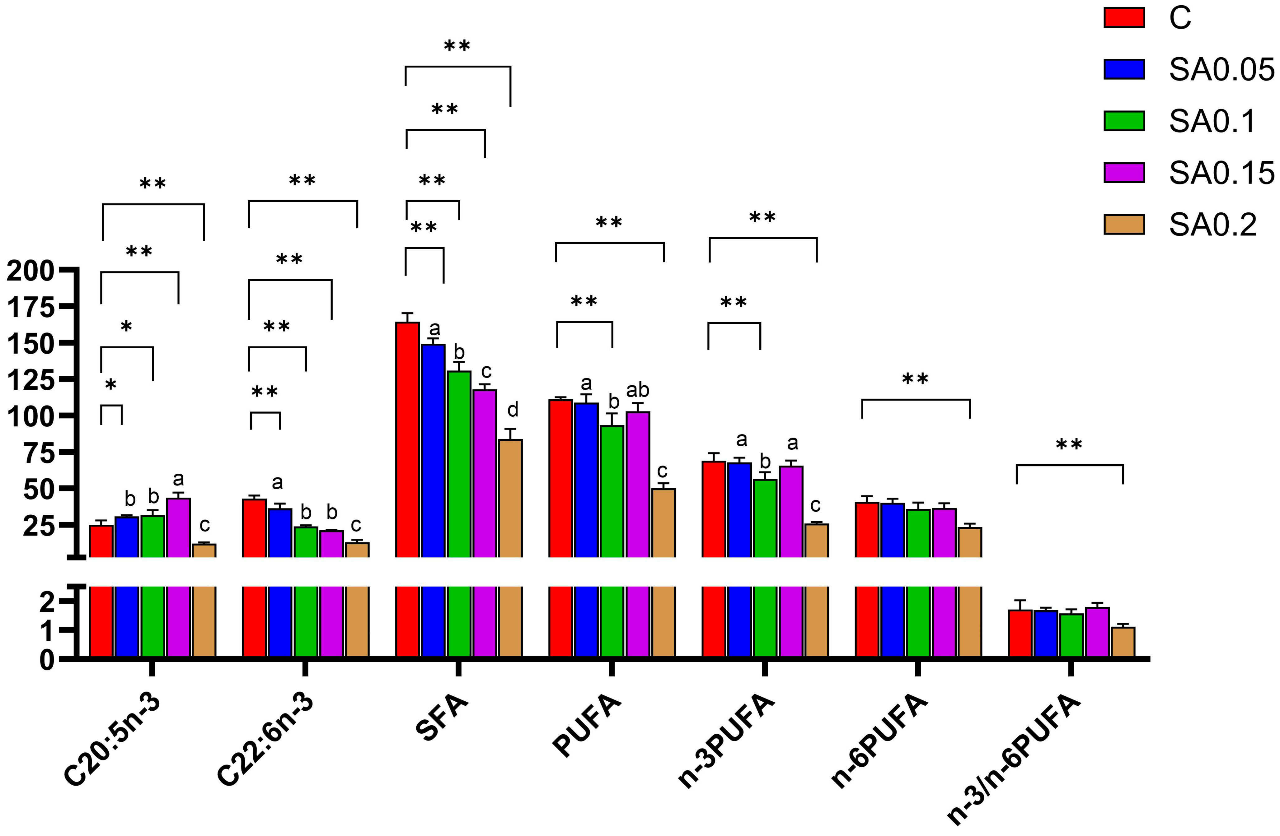
3.5. Effects of Different Concentrations of SA Extract on Fatty Acid Composition of Mud Crab
3.6. Effects of Different Concentrations of SA Extract on Electronic Nose Analysis Results of Mud Crab
3.7. Effects of Different Concentrations of SA Extract on Volatile Compound of Mud Crab
3.8. Correlation Analysis of Volatile Compounds, Amino Acids, and Fatty Acids in the Muscle of Mud Crabs Treated with Different Concentrations of SA Extracts
4. Conclusions
Supplementary Materials
Author Contributions
Funding
Institutional Review Board Statement
Informed Consent Statement
Data Availability Statement
Acknowledgments
Conflicts of Interest
References
- Damsgård, B.; Bjørklund, F.; Johnsen, H.K.; Toften, H. Short-and long-term effects of fish density and specific water flow on the welfare of Atlantic cod. Gadus Morhua Aquac. 2011, 322, 184–190. [Google Scholar] [CrossRef]
- Sun, H.-M.; Wang, J.-Z.; Zhang, C.-H.; Li, X.; Xu, X.; Dong, X.-B.; Hu, L.; Li, C.-H. Changes of Flavor Compounds of Hydrolyzed Chicken Bone Extracts During Maillard Reaction. J. Food Sci. 2014, 79, C2415–C2426. [Google Scholar] [CrossRef]
- Wu, N.; Wang, X.-C. Comparison of Gender Differences in Nutritional Value and Key Odor Profile of Hepatopancreas of Chinese Mitten Crab (Eriocheir sinensis). J. Food Sci. 2017, 82, 536–544. [Google Scholar] [CrossRef]
- Phat, C.; Moon, B.; Lee, C. Evaluation of umami taste in mushroom extracts by chemical analysis, sensory evaluation, and an electronic tongue system. Food Chem. 2016, 192, 1068–1077. [Google Scholar] [CrossRef] [PubMed]
- Guo, Y.-R.; Gu, S.-Q.; Wang, X.-C.; Zhuang, K.-J.; Wang, S.; Shi, J. Nutrients and Non-volatile Taste Compounds in Chinese Mitten Crab By-products. Fish. Sci. 2015, 81, 193–203. [Google Scholar] [CrossRef]
- Wu, J.; Huang, H.; Li, L.-H.; Yang, X.-Q.; Hao, S.-X.; Wei, Y.; Chen, S.-J.; Wu, Y.-Y.; Lin, W.-L. Effects of garlic aqueous extracts on fishy odor of tilapia fillets analyzed by HS-SPME-GC-MS. Food Ferment. Ind. 2019, 45, 133–142. [Google Scholar]
- Tang, J.-F.; Wu, Z.-H.; Jian, J.-C.; Lu, Y.-S.; Tang, Y.-P. Effects of Compound Chinese Herbal Medicine on the Growth and Muscle Composition of Tilapia. Feed Ind. 2009, 30, 19–21. [Google Scholar]
- Chen, H.-Y. Spartina Resources and Their Utilization in the Intertidal Zone of Northern Jiangsu. Resour. Sci. 1990, 6, 56–63. [Google Scholar]
- Zhang, K.-X.; Qin, P.; Qian, H.-M.; Xie, M. Influence of Total Flavonoids from Spartina alterniflora (TFS) on Immune Function in Mice. Mar. Sci. 1992, 5, 51–54. [Google Scholar]
- Zhou, W.-Z.; Song, X.-F.; Wang, J.-Q. Effects of biomineral liquid from Spartina alterniflora on growth and nutrient content of Monopterus albus. Jiangsu Agric. Sci. 2015, 43, 233–235. [Google Scholar]
- Wang, F.-T.; Yang, B.; Lu, Y.-F.; Nie, Y.-T.; Jiang, S.-T.; Lin, L.; Lu, J.-F. Analysis and Comparative Study of Sensory Qualities of Muscle from the Mud Crab Scylla paramamosain Cooked by Different Methods. Meat Res. 2021, 35, 28–36. [Google Scholar] [CrossRef]
- AOAC. Official Methods ofAnalysis of the Association of Official Analytical Chemists; Association of Official Analytical Chemists: Washington, DC, USA, 2005. [Google Scholar]
- Qin, P.; Zhang, H.S.; Qin, F.F. Spartina Alterniflora Ecological Engineering; Chemical Industry Press: Beijing, China, 2019. [Google Scholar]
- Buratti, S.; Casiraghi, A.; Minghetti, P.; Giovanelli, G. The joint use of electronic nose and electronic tongue for the evaluation of the sensorial properties of green and black tea infusions as related to their chemical composition. Food Nutr. Sci. 2013, 4, 605–615. [Google Scholar] [CrossRef]
- Luo, J.-X.; Monroig, Ó.; Zhou, Q.-C.; Tocher, D.R.; Yuan, Y.; Zhu, T.-T.; Lu, J.-J.; Song, D.-Y.; Jiao, L.-F.; Jin, M. Environmental salinity and dietary lipid nutrition strategy: Effects on flesh quality of the marine euryhaline crab Scylla paramamosain. Food Chem. 2021, 361, 130160. [Google Scholar] [CrossRef]
- Yu, K.-J.; Zhu, G.-F.; Shi, C.; Ye, Y.-F.; Li, R.-H.; Mu, C.-K.; Ren, Z.-M.; Wu, Q.-Y.; Wang, C.-L. Overwintering temperature affects the nutrient composition and non-volatile flavor substances of female adult mud crab Scylla paramamosain in recirculating aquaculture systems (RASs). Aquaculture 2024, 578, 740053. [Google Scholar] [CrossRef]
- Wang, M.-H.; Li, G.-L.; Huang, W.-Q.; Zhou, M.; Wang, G.-X.; Huang, Y.-H. Effects of plant extract compound on growth performance, serum biochemical indices, liver and intestinal health of largemouth bass (Micropterus salmoides). J. Fish. China 2022, 46, 10. [Google Scholar]
- Dong, W.-J.; Hu, R.-S.; Long, Y.-Z.; Li, H.-H.; Zhang, Y.-J.; Zhu, K.-X.; Chu, Z. Comparative evaluation of the volatile profiles and taste properties of roasted coffee beans as affected by drying method and detected by electronic nose, electronic tongue, and HS-SPME-GC-MS. Food Chem. 2019, 272, 723–731. [Google Scholar] [CrossRef]
- Xu, S.-L.; Zhang, W.; Yan, X.-J.; Lv, H.-M. Analysis and comparison of nutritional quality of wild and farmed crab. Chin. J. Anim. Nutr. 2009, 21, 659–664. [Google Scholar]
- Cheng, Y.-M.; Zhao, J.-L.; Ayisi, C.L.; Cao, X.-Y. Effects of salinity and alkalinity on fatty acids, free amino acids and related substance anabolic metabolism of Nile tilapia. Aquacult. Fish. 2022, 7, 389–395. [Google Scholar] [CrossRef]
- Mun, S.; Shin, E.C.; Kim, S.; Park, J.; Jeong, C.; Boo, C.G.; Yu, D.; Sim, J.H.; Ji, C.I.; Nam, T.J.; et al. Comparison of Imitation Crab Sticks with Real Snow Crab (Chionoecetes opilio) Leg Meat Based on Physicochemical and Sensory Characteristics. Foods 2022, 11, 1381. [Google Scholar] [CrossRef]
- Katsube, T.; Yamasaki, M.; Shiwaku, K.; Ishijima, T.; Matsumoto, I.; Abe, K.; Yamasaki, Y. Effect of flavonol glycoside in mulberry (Morus alba L.) leaf on glucose metabolism and oxidative stress in liver in diet-induced obese mice. J. Sci. Food Agric. 2010, 90, 2386–2392. [Google Scholar] [CrossRef]
- Zhou, D.; Liao, S.; Huang, Y.; Li, X.; Liang, Q.; Yang, Q.; Kuang, Z. Effects of Dietary Mulberry (Morus alba L.) Leaf Powder on Growth Performance, Meat Quality and Flavor of Grass Carp (Ctenopharyngodon idella). Guangdong Agric. Sci. 2021, 48, 119–130. [Google Scholar]
- Leng, X.-J.; Meng, X.-L.; Li, J.-L.; Li, X.-Q.; Hua, X.-M. Effect of Du-zhong (Eucommia ulmoides Oliver) leaf on growth, serum non-specific immune index and meat quality of grass carp. J. Fish. China 2008, 32, 434–440. [Google Scholar]
- Ma, H.-J.; Shi, W.-Z.; Song, J.; Diao, Y.-D.; Wang, Z.-H. Effects of Ultra-high Pressure Treatment on Flavor Substances in Grass Carp. Mod. Food Sci. Technol. 2016, 32, 204–212. [Google Scholar]
- Tang, L.; Wang, H.; Wang, C.; Mu, C.; Wei, H.; Yao, H.; Ye, C.; Chen, L.; Shi, C. Temperature potentially induced distinctive flavor of mud crab Scylla paramamosain mediated by gut microbiota. Sci. Rep. 2020, 10, 3720. [Google Scholar] [CrossRef]
- Wang, H.; Shi, W.-Z.; Wu, X.-G.; Wang, X.-C.; Pan, G.-P.; Hou, W.-J. Effects of dietary on taste of different parts of female Juvenile Swimming Crab (Portunus trituberculatus). Food Sci. Technol. 2016, 37, 356–362. [Google Scholar]
- Shi, W.-Z.; Fang, L.; Wu, X.-G.; Pan, G.-P.; Hou, W.-J. Comparison of contents of taste compounds in female Portunus trituberculatus from major coastal areas in China. Food Sci. 2017, 38, 127–133. [Google Scholar]
- Vani, N.D.; Modi, V.K.; Kavitha, S.; Sachindra, N.M.; Mahendrakar, N.S. Degradation of inosine-5′-monophosphate (IMP) in aqueous and in layering chicken muscle fibre systems: Effect of pH and temperature. LWT-Food Sci. Technol. 2006, 39, 627–632. [Google Scholar] [CrossRef]
- Scharbert, S.; Hofmann, T. Molecular definition of black tea taste by means of quantitative studies, taste reconstitution, and omission experiments. J. Agric. Food Chem. 2005, 53, 5377–5384. [Google Scholar] [CrossRef] [PubMed]
- Liu, Y.; Qiu, C. Calculated Taste Activity Values and Umami Equivalences Explain Why Dried Sha-chong (Sipunculus nudus) Is a Valuable Condiment. J. Aquat. Food Prod. Technol. 2016, 25, 177–184. [Google Scholar] [CrossRef]
- Wang, X.; Hu, F.-Y.; Yang, Q.-L.; Peng, S.; Wang, Z.-H.; Zhang, M.-L.; Peng, M.-J. Nutritional Evaluation and Antioxidant Activity Analysis In Vitro of Eucommia Ulmoides Leaves. Food Sci. Technol. 2019, 40, 290–299. [Google Scholar]
- Panth, N.; Abbott, K.A.; Dias, C.B.; Wynne, K.; Garg, M.L. Differential effects of medium- and long-chain saturated fatty acids on blood lipid profile: A systematic review and meta-analysis. Am. J. Clin. Nutr. 2018, 108, 675–687. [Google Scholar] [CrossRef]
- Song, Y.-M.; Li, M.-Z.; Ma, L.-L. Research advances in the association between arachidonic acid metabolites and tumorigenesis. J. Clin. Urol. 2017, 32, 236–240. [Google Scholar]
- Diao, X.-Q.; Sun, W.-T.; Xu, X.-J.; Liu, D.-Y.; Guan, H.-N. Research progress on analysis of flavor compounds in meat products and their changes during processing. J. Food Saf. Qual. 2021, 12, 2991–2999. [Google Scholar]
- Coetzee, G.J.M.; Hoffman, L.C. Effects of various dietary n-3/n-6 fatty acid ratios on the performance and body composition of broilers. S. Afr. J. Anim. Sci. 2002, 32, 175–184. [Google Scholar] [CrossRef]
- WHO; FAO. Fats and oils in human nutrition. Nutr. Rev. 1995, 53, 202–205. [Google Scholar] [CrossRef]
- Li, H.-D. Effects of Yellow Mealworm (Tenebrio molitor) Replacement of Dietary Soybean Meal and Supplement with Selenium on Growth Performance and Flesh Quality of Grass Carp (Ctenopharyngodon idellus) and Its Mechanism. Ph.D. Thesis, Northwest A&F University, Yangling, China, 2023. [Google Scholar]
- Yuan, Y.; Wang, X.; Jin, M.; Jiao, L.; Sun, P.; Betancor, M.B.; Tocher, D.R.; Zhou, Q. Modification of nutritional values and flavor qualities of muscle of swimming crab (Portunus trituberculatus): Application of a dietary lipid nutrition strategy. Food Chem. 2020, 308, 125607. [Google Scholar] [CrossRef] [PubMed]
- Zhuang, K.; Wu, N.; Wang, X.; Wu, X.; Wang, S.; Long, X.; Wei, X. Effects of 3 Feeding Modes on the Volatile and Nonvolatile Compounds in the Edible Tissues of Female Chinese Mitten Crab (Eriocheir sinensis). J. Food Sci. 2016, 81, S968–S981. [Google Scholar] [CrossRef] [PubMed]
- Ding, H.-C.; Li, D.-F.; Zhang, Y.-P.; Dai, Z.-Y.; Xu, S.-Z.; Xu, G. Comparison of volatile flavor compounds among peeled antarctic krill and four species of peeled marine shrimps. Food Sci. Technol. 2013, 39, 57–62. [Google Scholar]
- Song, J.; Wang, H.; Wu, X.; Wang, X.; Shi, W. The flavor of gonad and meat of female Portunus Trituberculatus cultured in indoor and outdoor. J. Food Biochem. 2019, 43, e12743. [Google Scholar] [CrossRef]
- Ran, Z.; Zhang, S.; Zhu, Y.; Ke, A.; Xu, J.; Li, Y.; Liao, K.; Li, S.; Ran, Y.; Yan, X. Effect of salinity on volatiles in the razor clam investigated by head space-solid phase microextraction/gas chromatography-mass spectrometry. Fish. Sci. 2019, 85, 137–146. [Google Scholar] [CrossRef]
- Yu, H.-Z.; Chen, S.-S. Identification of characteristic aroma-active compounds in steamed mangrove crab (Scylla serrata). Food Res. Int. 2010, 43, 2081–2086. [Google Scholar] [CrossRef]
- Dai, Y.-J. Effects of Dietary Linoleic Acid on Growth Performance, Lipoxygenase Metabolism and Flavor Quality of Chinese Mitten Crab (Eriocheir sinensis). Ph.D. Thesis, Nanjing Agricultural University, Nanjing, China, 2022. [Google Scholar]











| Free amino Acid Content (mg/g) | Taste | C | SA0.05 | SA0.1 | SA0.15 | SA0.2 |
|---|---|---|---|---|---|---|
| Asp | Umami (+) | 1 ± 0.04 b | 0.81 ± 0.18 b | 1.46 ± 0.15 a | 1.68 ± 0.05 a | 1.52 ± 0.11 a |
| Glu | Umami (+) | 0.74 ± 0.03 c | 0.63 ± 0.1 c | 1.09 ± 0.18 b | 1.2 ± 0.04 b | 1.66 ± 0.11 a |
| Ser | Sweet (+) | 5.89 ± 1.63 a | 4.28 ± 1.06 a | 5.94 ± 0.6 a | 4.61 ± 1.39 a | 1.21 ± 0.87 b |
| Gly | Sweet (+) | 5.56 ± 0.57 ab | 4.34 ± 0.46 b | 5.58 ± 0.83 ab | 6.65 ± 1.38 a | 0.85 ± 0.05 c |
| His | Bitter (−) | 1.64 ± 0.15 b | 1.63 ± 0.24 b | 1.74 ± 0.24 b | 1.73 ± 0.09 b | 1.08 ± 0.04 a |
| Arg | Bitter/Sweet (+) | 7.19 ± 0.52 a | 5.43 ± 0.57 b | 5.16 ± 0.22 b | 7.14 ± 0.46 a | 2.67 ± 0.44 c |
| Thr | Sweet (+) | 1.27 ± 0.11 a | 1.75 ± 0.31 a | 1.54 ± 0.21 a | 1.62 ± 0.41 a | 1.35 ± 0.09 a |
| Ala | Sweet (+) | 3.89 ± 0.24 b | 3.98 ± 0.34 b | 4.85 ± 0.68 a | 5.05 ± 0.44 a | 2.01 ± 0.07 c |
| Pro | Sweet/Bitter (+) | 4.97 ± 0.23 b | 4.68 ± 0.27 b | 6.12 ± 0.85 a | 4.7 ± 0.53 b | 2.31 ± 0.09 c |
| Tyr | Bitter (−) | 1.63 ± 0.01 a | 1.4 ± 0.29 ab | 1.59 ± 0.25 a | 1.69 ± 0.25 a | 1.11 ± 0.1 b |
| Val | Bitter/Sweet (−) | 1.63 ± 0.12 bc | 1.61 ± 0.28 bc | 1.93 ± 0.22 b | 2.41 ± 0.18 a | 1.33 ± 0.09 c |
| Met | Bitter/Sulfur (−) | 1.36 ± 0.09 ab | 1.27 ± 0.27 b | 1.4 ± 0.23 ab | 1.68 ± 0.08 a | 1.7 ± 0.12 a |
| Cys | Bitter/Sulfur (−) | 1.04 ± 0.08 a | 1.31 ± 0.29 a | 1.11 ± 0.16 a | 1.19 ± 0.27 a | 1.37 ± 0.09 a |
| Ile | Bitter (−) | 1.9 ± 0.21 b | 2.68 ± 0.28 a | 1.6 ± 0.4 b | 1.85 ± 0.62 b | 1.49 ± 0.1 b |
| Leu | Bitter (−) | 3.02 ± 0.4 abc | 2.75 ± 0.31 bc | 3.38 ± 0.47 ab | 3.7 ± 0.21 a | 1.51 ± 0.1 d |
| Phe | Bitter (−) | 0.64 ± 0.13 b | 0.83 ± 0.14 b | 1.24 ± 0.17 a | 1.36 ± 0.16 a | 0.73 ± 0.16 b |
| Lys | Sweet/Bitter (−) | 2.36 ± 0.24 b | 2.64 ± 0.44 b | 2.79 ± 0.32 b | 3.62 ± 0.38 a | 1.66 ± 0.11 c |
| TAA | - | 45.91 ± 3.04 bc | 42.08 ± 3.86 bc | 48.58 ± 3.54 ab | 51.92 ± 3.35 a | 25.61 ± 0.84 d |
| EAA | - | 12.2 ± 0.99 b | 13.55 ± 1.77 b | 13.91 ± 1.54 ab | 16.25 ± 1.25 a | 9.78 ± 0.5 d |
| UAA | - | 1.74 ± 0.07 c | 1.44 ± 0.19 c | 2.55 ± 0.22 b | 2.88 ± 0.02 a | 3.17 ± 0.23 a |
| SAA | - | 16.61 ± 2.48 a | 14.36 ± 1.6 a | 17.93 ± 1.94 a | 17.94 ± 2.08 a | 5.44 ± 0.31 b |
| BAA | - | 12.85 ± 0.94 b | 13.56 ± 1.72 b | 14.3 ± 1.61 ab | 16.37 ± 1.09 a | 8.94 ± 0.4 c |
| Flavor Nucleotides (mg/100 g) | C | SA0.05 | SA0.1 | SA0.15 | SA0.2 |
|---|---|---|---|---|---|
| AMP | 27.42 ± 1.05 cd | 51.03 ± 7.42 b | 23.62 ± 0.91 d | 64.64 ± 9.05 a | 36.21 ± 2.8 c |
| GMP | 8.53 ± 1.58 a | 5.86 ± 0.62 b | 7.83 ± 1.03 ab | 7.27 ± 0.82 ab | 7.59 ± 1.63 ab |
| IMP | 62.79 ± 6.19 d | 53.85 ± 4.68 d | 143 ± 10.75 b | 181.35 ± 4.64 a | 98.34 ± 4.94 c |
| Fatty Acid (mg/100 g) | C | SA0.05 | SA0.1 | SA0.15 | SA0.2 |
|---|---|---|---|---|---|
| C4:0 | 1.25 ± 0.19 a | 1.41 ± 0.4 a | 1.22 ± 0.05 ab | 1.32 ± 0.33 ab | 0.88 ± 0.1 b |
| C6:0 | 1.89 ± 0.3 c | 3.24 ± 0.2 a | 1.26 ± 0.1 d | 1.36 ± 0.1 d | 2.56 ± 0.35 b |
| C8:0 | 0.35 ± 0.021 b | 0.45 ± 0.1 b | 0.31 ± 0.14 b | 0.54 ± 0.1 a | 0.75 ± 0.21 a |
| C10:0 | 0.93 ± 0.04 ab | 0.65 ± 0.08 b | 0.7 ± 0.11 b | 0.77 ± 0.15 ab | 1.02 ± 0.27 a |
| C11:0 | 11.14 ± 0.98 a | 8.17 ± 1.61 b | 8.28 ± 1.83 b | 7.79 ± 0.7 b | 6.25 ± 0.82 b |
| C12:0 | 0.73 ± 0.06 a | 0.34 ± 0.02 bc | 0.2 ± 0.04 c | 0.25 ± 0.15 c | 0.45 ± 0.11 b |
| C13:0 | 0.8 ± 0.02 a | 0.73 ± 0.13 a | 0.53 ± 0.07 b | 0.64 ± 0.05 ab | 0.71 ± 0.11 a |
| C14:0 | 4.42 ± 1.09 a | 3.91 ± 0.8 ab | 2.78 ± 0.67 bc | 2.68 ± 0.32 bc | 1.57 ± 0.29 c |
| C14:1 | 0.27 ± 0.11 b | 0.51 ± 0.05 a | 0.24 ± 0.01 b | 0.23 ± 0.05 b | 0.39 ± 0.17 ab |
| C:15:0 | 0.46 ± 0.1 a | 0.58 ± 0.08 b | 0.47 ± 0.13 b | 0.6 ± 0.08 b | 0.32 ± 0.13 b |
| C15:1 | 0.5 ± 0.18 ab | 0.26 ± 0.06 b | 0.27 ± 0.16 b | 0.33 ± 0.09 ab | 0.54 ± 0.08 a |
| C16:0 | 44.9 ± 1.91 a | 37.54 ± 1.07 b | 37.57 ± 1.12 b | 32.64 ± 2.26 c | 24.19 ± 1.4 d |
| C16:1 | 1.44 ± 0.03 a | 1.01 ± 0.15 b | 0.94 ± 0.12 b | 0.84 ± 0.11 b | 0.47 ± 0.14 c |
| C17:0 | 0.56 ± 0.07 a | 0.67 ± 0.06 a | 0.53. ± 0.16 a | 0.69 ± 0.08 a | 0.59 ± 0.08 a |
| C17:1 | 18.48 ± 2.04 ab | 16.35 ± 0.69 b | 19.48 ± 1.86 a | 16.38 ± 0.78 b | 13.6 ± 1.09 c |
| C18:0 | 4.99 ± 1.19 a | 5.59 ± 0.74 a | 5.02 ± 0.37 a | 4.57 ± 0.52 a | 3.21 ± 0.54 b |
| C18:1n9t | 15.93 ± 4.27 b | 19.57 ± 1.01 b | 24.47 ± 2.74 a | 19.3 ± 1.47 b | 11.38 ± 1.12 c |
| C18:1n9c | 0.52 ± 0.01 a | 0.67 ± 0.06 a | 0.49 ± 0.17 a | 0.69 ± 0.14 a | 0.5 ± 0.2 a |
| C18:2n6t | 35.82 ± 2.9 a | 34.57 ± 1.3 a | 28.91 ± 3.57 b | 30.73 ± 3.34 ab | 19.47 ± 2.09 c |
| C18:2n6c | 0.42 ± 0.08 a | 0.34 ± 0.06 a | 0.39 ± 0.05 a | 0.39 ± 0.03 a | 0.31 ± 0.04 a |
| C20:0 | 0.96 ± 0.05 b | 1.65 ± 0.05 a | 1.61 ± 0.25 a | 1.6 ± 0.07 a | 1.17 ± 0.16 b |
| C18:3n6 | 1.21 ± 0.35 a | 1.42 ± 0.07 a | 1.18 ± 0.13 a | 0.8 ± 0.03 b | 0.46 ± 0.14 c |
| C20:1 | 2.77 ± 0.65 a | 1.75 ± 0.2 bc | 2.07 ± 0.26 b | 1.37 ± 0.21 cd | 0.74 ± 0.19 d |
| C18:3n3 | 0.4 ± 0.14 a | 0.45 ± 0.11 a | 0.46 ± 0.15 a | 0.41 ± 0.09 a | 0.44 ± 0.06 a |
| C21:0 | 3.08 ± 0.85 a | 2.7 ± 0.22 ab | 2.52 ± 0.38 ab | 2.13 ± 0.19 bc | 1.43 ± 0.22 c |
| C20:2 | 0.41 ± 0.66 a | 0.2 ± 0.06 b | 0.32 ± 0.13 ab | 0.39 ± 0.08 a | 0.21 ± 0.09 b |
| C22:0 | 0.26 ± 0.07 a | 0.21 ± 0.06 a | 0.32 ± 0.06 a | 0.26 ± 0.08 a | 0.28 ± 0.03 a |
| C20:3n6 | 0.51 ± 0.65 b | 0.47 ± 0.07 bc | 0.28 ± 0.13 cd | 0.74 ± 0.17 a | 0.21 ± 0.09 d |
| C22:1n9 | 0.5 ± 0.06 a | 0.29 ± 0.11 bc | 0.17 ± 0.03 c | 0.33 ± 0.09 b | 0.25 ± 0.06 bc |
| C20:3n3 | 0.29 ± 0.04 a | 0.36 ± 0.03 b | 0.36 ± 0.1 b | 0.39 ± 0.12 b | 0.37 ± 0.07 b |
| C20:4n6 | 2.76 ± 0.93 b | 3.37 ± 1.32 b | 5.22 ± 0.47 a | 3.84 ± 0.28 ab | 3.01 ± 0.94 b |
| C23:0 | 0.77 ± 0.18 a | 0.54 ± 0.15 ab | 0.57 ± 0.13 ab | 0.46 ± 0.06 b | 0.37 ± 0.08 b |
| C22:2 | 0.08 ± 0.01 a | 0.06 ± 0.01 b | 0.06 ± 0.01 b | 0.06 ± 0.01 b | 0.05 ± 0.02 b |
| C24:0 | 84.72 ± 5.3 a | 80 ± 2.89 a | 67.28 ± 3.21 b | 60.14 ± 1.97 b | 37.03 ± 5.68 c |
| C20:5n3(EPA) | 24.96 ± 3.2 c | 30.86 ± 0.7 b | 31.69 ± 3.49 b | 43.56 ± 3.74 a | 12.22 ± 0.9 d |
| C24:1 | 0.23 ± 0.04 a | 0.17 ± 0.02 ab | 0.13 ± 0.01 b | 0.18 ± 0.01 ab | 0.13 ± 0.02 b |
| C22:6n3(DHA) | 43.01 ± 2.3 a | 36.25 ± 3.48 b | 23.92 ± 0.89 c | 21.15 ± 0.42 c | 12.97 ± 1.92 d |
| SFA | 163.08 ± 5.97 a | 149.25 ± 3.81 b | 131.77 ± 6.09 c | 119.09 ± 3.52 d | 83.8 ± 7.21 e |
| MUFA | 40.67 ± 5.77 b | 40.62 ± 0.65 b | 48.31 ± 4.86 a | 37.68 ± 2.27 b | 28.04 ± 1.54 c |
| PUFA | 111.1 ± 1.47 a | 108.95 ± 5.74 a | 93.41 ± 8.21 b | 102.97 ± 5.77 ab | 50.12 ± 3.42 c |
| n-3 PUFA | 68.98 ± 5.37 a | 67.94 ± 3.26 a | 56.45 ± 4.64 b | 65.52 ± 3.59 a | 26.01 ± 1.04 c |
| n-6 PUFA | 40.75 ± 4.1 a | 40.2 ± 2.78 a | 35.99 ± 4.27 a | 36.52 ± 3.3 a | 23.47 ± 2.5 b |
| n-3/n-6 PUFA | 1.71 ± 0.32 a | 1.69 ± 0.08 a | 1.57 ± 0.14 a | 1.8 ± 0.14 a | 1.11 ± 0.09 b |
| Volatile Compound | C | SA0.05 | SA0.1 | SA0.15 | SA0.2 |
|---|---|---|---|---|---|
| Aldehydes (9) | |||||
| Benzaldehyde | 99.09 ± 3.9 c | 120.72 ± 12.18 b | 131.39 ± 6.86 b | 182.62 ± 12.64 a | 123.8 ± 13.5 b |
| 2-Phenylacetaldehyde | 30.06 ± 1.3 c | 78.9 ± 6.41 a | 60.11 ± 10.45 b | 60.7 ± 9.77 b | 16.65 ± 2.86 d |
| Methional | 17.66 ± 3.92 b | 14.61 ± 2.2 bc | 9.02 ± 2.26 cd | 5.78 ± 1.16 d | 34.43 ± 7.47 a |
| Nonanal | 115.49 ± 10.08 c | 87.07 ± 3.49 d | 219.94 ± 4.81 a | 165.97 ± 7.1 b | 172.06 ± 9.64 b |
| Phenylglyoxal | 2.49 ± 0.18 | NF | NF | 3.22 ± 0.23 | 1.83 ± 0.13 |
| Hexadecanal | NF | 5 ± 1.8 | NF | 8.32 ± 2.89 | 18.16 ± 0.9 |
| Stearaldehyde | 8.95 ± 1.42 | NF | NF | 9.58 ± 1.74 | 8.46 ± 1.32 |
| Icosanal | NF | NF | NF | 25.27 ± 5.9 | 19.96 ± 1.89 |
| 13-Methyltetradecanal | NF | NF | NF | 23.18 ± 6.78 | 11.41 ± 2.29 |
| Total | 273.76 ± 16.93 d | 306.31 ± 1.94 c | 420.47 ± 3.37 b | 484.67 ± 14.53 a | 406.73 ± 1.8 b |
| Alcohols (4) | |||||
| 2-Nonen-1-ol | 4.69 ± 1.24 | NF | NF | 3.07 ± 0.28 | 1.53 ± 0.39 |
| 3-Decanol | NF | 44.22 ± 9.93 | 138.83 ± 13.64 | 127.3 ± 15.64 | 23.04 ± 4.83 |
| 1-Octen-3-ol | 147.4 ± 1.01 a | 121.67 ± 1.52 b | 113.08 ± 0.99 c | 111.54 ± 0.1 c | 86.8 ± 3.81 d |
| Trans-2-Nonen-1-ol | NF | NF | NF | 2.72 ± 0.28 | 1.59 ± 0.2 |
| Total | 152.09 ± 2.24 b | 165.89 ± 11.02 b | 251.91 ± 12.92 a | 244.63 ± 14.16 a | 112.97 ± 1.67 d |
| Ketones (2) | |||||
| 4′-Aminoacetophenone | 1.32 ± 0.16 c | 1.34 ± 0.19 c | 2.58 ± 0.11 a | 2.39 ± 0.15 a | 1.63 ± 0.07 b |
| 3-Decanone | 39.94 ± 7.26 bc | 44.22 ± 9.93 b | 85.83 ± 8.52 a | 77.3 ± 15.64 a | 23.04 ± 4.83 c |
| Total | 41.26 ± 7.24 b | 45.57 ± 10.01 b | 88.08 ± 8.57 a | 79.88 ± 15.53 a | 24.67 ± 4.76 b |
| Esters (4) | |||||
| Butyl isobutyl phthalate | 4.9 ± 2.4 | 7.71 ± 1.07 | NF | NF | 6.79 ± 1.53 |
| Dibutyl phthalate | 16.66 ± 1.31 b | 7.88 ± 1.14 c | 6.9 ± 1.31 c | 23.89 ± 2.26 a | 7.59 ± 2.4 c |
| Trimethylsilyl Hexadecanoate | NF | NF | 26.78 ± 2.74 | NF | 5.2 ± 1.25 |
| Trimethylsilyl myristate | NF | NF | 35.29 ± 8.34 | 13.09 ± 3.35 | NF |
| Total | 21.56 ± 3.56 c | 15.59 ± 2.12 c | 68.98 ± 6.96 a | 36.99 ± 5.62 b | 19.58 ± 1.83 c |
| Hydrocarbons (8) | |||||
| Hexadecane | 17.67 ± 5.02 | 17.84 ± 5.77 | NF | 28.45 ± 3.65 | 14.94 ± 1.71 |
| Pentadecane | 15.35 ± 3.78 b | 32.76 ± 5.39 a | 34.21 ± 6.09 a | 33.86 ± 8.29 a | 15.72 ± 4.72 b |
| Tetradecane | 14.44 ± 4.58 | 16.05 ± 4.55 | 22.82 ± 3.18 | NF | 53.81 ± 2.39 |
| Heptadecane | 62.65 ± 6.29 a | 31.94 ± 3.53 b | 33.35 ± 6.91 b | 15.28 ± 2.87 c | 64.21 ± 1.88 a |
| Dimethylsilanediol | 13.34 ± 2.05 | 5.86 ± 2.56 | NF | 21.7 ± 1.83 | 1.82 ± 0.54 |
| Cyclomethicone 6 | NF | 5.22 ± 1.97 | 3.76 ± 2.83 | 6.6 ± 0.55 | 2.59 ± 1.04 |
| Pentylcyclopropane | 20.74 ± 2.46 | 7.12 ± 4.41 | NF | 13.54 ± 6.99 | 4.24 ± 2.59 |
| Cetene | 5.15 ± 0.65 | 10.47 ± 1.71 | NF | NF | NF |
| Total | 149.37 ± 18.1 ab | 127.27 ± 13.8 ab | 94.16 ± 9.63 cd | 119.45 ± 17.56 c | 157.35 ± 5.53 a |
| Aromatics (7) | |||||
| Trimethylbenzene | 14.82 ± 3.6 | 10.53 ± 1.56 | NF | NF | NF |
| Isodurene | 13.53 ± 3.21 | 11.79 ± 2.34 | NF | NF | NF |
| 1,3-Xylene | 16.15 ± 2.41 | 21.37 ± 0.62 | 27.65 ± 1.27 | ||
| p-Xylene | 5.17 ± 3.56 c | 8.28 ± 1.92 c | 20.15 ± 4.28 b | 36.51 ± 4.04 a | 7.38 ± 0.72 c |
| 2-Ethyl-p-xylene | 10.06 ± 4.01 | 5.83 ± 1.28 | NF | NF | NF |
| O-Xylene | 5.06 ± 3.84 c | 14.73 ± 4.82 b | 24.29 ± 4.52 a | 14.09 ± 4.34 b | 13.49 ± 5.49 b |
| Ethylbenzene | 7.86 ± 4.36 | NF | 28.36 ± 0.79 | 16.84 ± 3.53 | 2.81 ± 1.13 |
| Total | 72.67 ± 11.74 b | 51.18 ± 2.68 c | 72.81 ± 5.16 b | 88.83 ± 5.77 a | 51.33 ± 5.1 c |
| Other (2) | |||||
| Indole | NF | 44.91 ± 2.32 | NF | 44.41 ± 1.69 | NF |
| 2-Methylpyrazine | NF | 17.2 ± 5.07 | 25.16 ± 1.83 | 13.34 ± 1.04 | NF |
| Total | NF | 62.11 ± 4.11 | 25.16 ± 1.83 | 57.75 ± 2.11 | NF |
Disclaimer/Publisher’s Note: The statements, opinions and data contained in all publications are solely those of the individual author(s) and contributor(s) and not of MDPI and/or the editor(s). MDPI and/or the editor(s) disclaim responsibility for any injury to people or property resulting from any ideas, methods, instructions or products referred to in the content. |
© 2025 by the authors. Licensee MDPI, Basel, Switzerland. This article is an open access article distributed under the terms and conditions of the Creative Commons Attribution (CC BY) license (https://creativecommons.org/licenses/by/4.0/).
Share and Cite
Fu, Y.; Li, A.; Gao, P.; Li, Y.; Liu, L.; Du, X.; Dong, X.; He, C. Effects of Spartina alterniflora Extract on Growth Performance and Flavor Quality in Mud Crab (Scylla paramamosain). Foods 2025, 14, 4176. https://doi.org/10.3390/foods14244176
Fu Y, Li A, Gao P, Li Y, Liu L, Du X, Dong X, He C. Effects of Spartina alterniflora Extract on Growth Performance and Flavor Quality in Mud Crab (Scylla paramamosain). Foods. 2025; 14(24):4176. https://doi.org/10.3390/foods14244176
Chicago/Turabian StyleFu, Yuanyuan, Ao Li, Peng Gao, Yanrong Li, Lei Liu, Xuedi Du, Xiaojing Dong, and Congying He. 2025. "Effects of Spartina alterniflora Extract on Growth Performance and Flavor Quality in Mud Crab (Scylla paramamosain)" Foods 14, no. 24: 4176. https://doi.org/10.3390/foods14244176
APA StyleFu, Y., Li, A., Gao, P., Li, Y., Liu, L., Du, X., Dong, X., & He, C. (2025). Effects of Spartina alterniflora Extract on Growth Performance and Flavor Quality in Mud Crab (Scylla paramamosain). Foods, 14(24), 4176. https://doi.org/10.3390/foods14244176

