Lentinula edodes Stalk Polysaccharide Coating Extends the Shelf-Life of Agaricus bisporus by Modulating Respiration and Energy Metabolism
Abstract
1. Introduction
2. Materials and Methods
2.1. Materials and Chemicals
2.2. Extraction and Isolation of LEP
2.3. Preparation and Processing of LEP Solutions for Edible Coatings
2.4. Determination of Postharvest Storage Quality Characteristics
2.4.1. Weight Loss
2.4.2. Textural Characteristics
2.4.3. Soluble Protein Content (SPC)
2.4.4. Browning Degree (BD)
2.5. Determination of Malondialdehyde (MDA) Content and Electrolyte Leakage Rate
2.6. Determination of Resistance Indicators
2.6.1. Total Phenolic Content (TPC)
2.6.2. H2O2 Content
2.6.3. Peroxidase (POD), Catalase (CAT), Superoxide Dismutase (SOD), Ascorbate Peroxidase (APX), and Phenylalanine Ammonialyase (PAL) Activities
2.7. Determination of the Antioxidant Activity
2.8. Determination of Respiratory Rate and Enzyme Activities Related to Energy Metabolism
2.9. Metabolomics Analysis
2.10. Statistical Analysis
3. Results
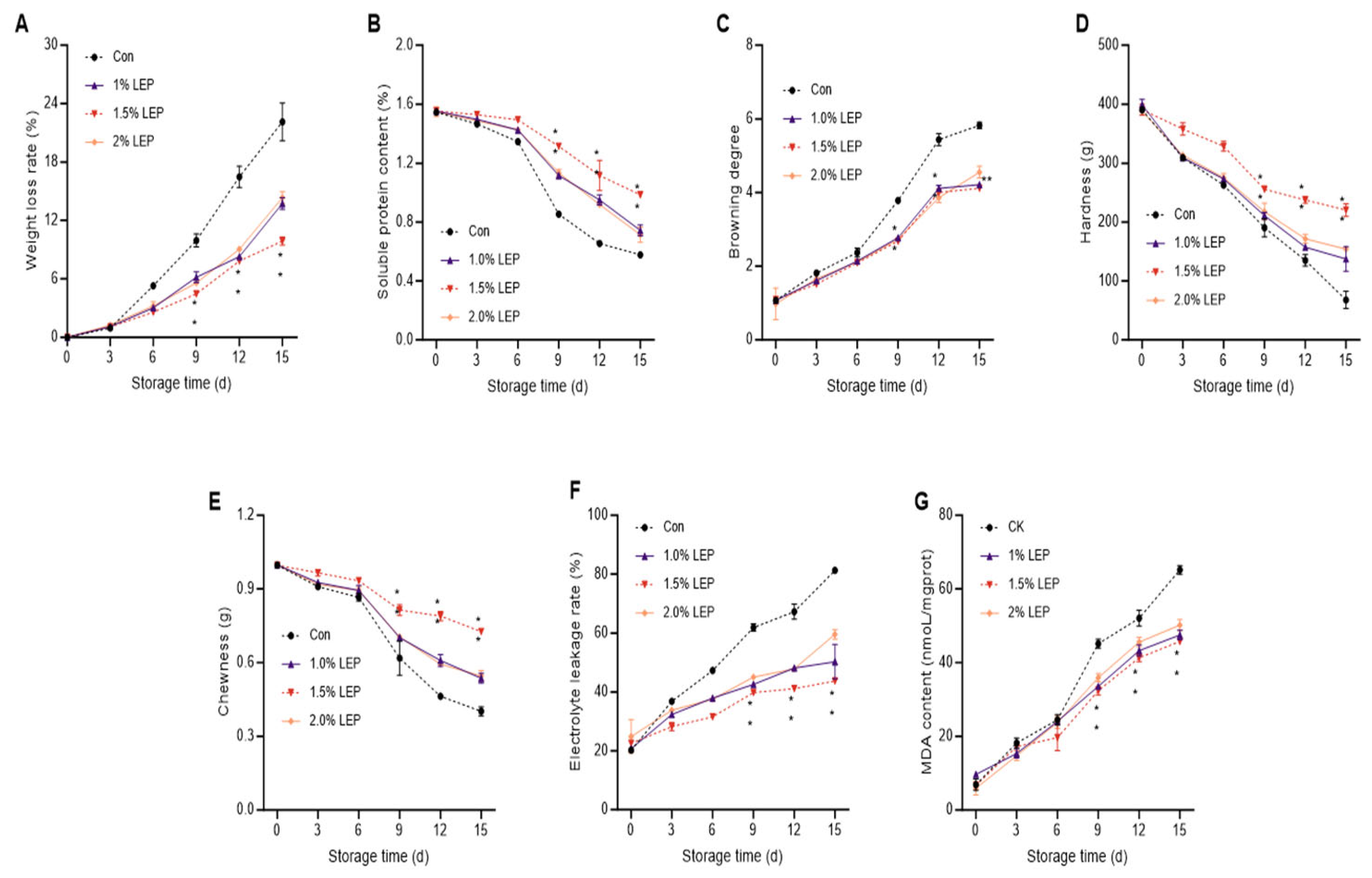
3.1. Quality Characteristics of Agaricus bisporus with the LEP Coating
3.2. Characterization of Cell Membrane Permeability
3.3. Characterization of Antioxidant Activity and Resistance with the LEP Coating
3.4. Changes in the Respiratory Rate and Activity of Enzymes Related to Energy Metabolism
3.5. PLS-DA Analysis
3.6. Differential Metabolite Screening and Metabolic Pathway Analysis
3.7. Correlation Analysis of Differential Metabolites with Quality Attributes, Nutritional Properties, and Energy Metabolism-Related Parameters
4. Discussion
5. Conclusions
Author Contributions
Funding
Institutional Review Board Statement
Informed Consent Statement
Data Availability Statement
Conflicts of Interest
References
- Chen, Y.; Lin, H.; Zhang, S.; Sun, J.; Lin, Y.; Wang, H.; Lin, M.; Shi, J. Phomopsis longanae Chi-induced disease development and pericarp browning of harvested longan fruit in association with energy metabolism. Front. Microbiol. 2018, 9, 1454. [Google Scholar] [CrossRef] [PubMed]
- Cheng, X.Y.; Yang, S.; Fang, Q.; Dai, S.C.; Peng, X.H.; Sun, M.Y.; Lian, Z.; Liu, Y.; Yang, J.; Xu, J.; et al. Biomacromolecule assembly of soy glycinin-potato starch complexes: Focus on structure, function, and applications. Carbohydr. Polym. 2023, 317, 121101. [Google Scholar] [CrossRef]
- Du, H.Y.; Sun, X.L.; Chong, X.A.; Yang, M.Y.; Zhu, Z.; Wen, Y.Q. A review on smart active packaging systems for food preservation: Applications and future trends. Trends Food Sci. Technol. 2023, 141, 104200. [Google Scholar] [CrossRef]
- Gong, P.; Wang, X.J.; Liu, M.; Wang, M.R.; Wang, S.Y.; Guo, Y.X.; Chang, X.; Yang, W.; Chen, X.; Chen, F. Hypoglycemic effect of a novel polysaccharide from Lentinus edodes on STZ-induced diabetic mice via metabolomics study and Nrf2/HO-1 pathway. Food Funct. 2022, 13, 3036–3049. [Google Scholar] [CrossRef]
- Guo, Y.X.; Chen, X.F.; Gong, P.; Guo, J.; Deng, D.; He, G.L.; Ji, C.; Wang, R.; Long, H.; Wang, J.; et al. Effect of shiitake mushrooms polysaccharide and chitosan coating on softening and browning of shiitake mushrooms (Lentinus edodes) during postharvest storage. Int. J. Biol. Macromol. 2022, 218, 816–827. [Google Scholar] [CrossRef]
- Guo, Y.X.; Chen, X.F.; Gong, P.; Long, H.; Wang, J.T.; Deng, Z.F.; Wang, R.; Han, A.; Qi, Z.; Yao, W.; et al. Characterization of an active film prepared with Lentinus edodes (shiitake) polysaccharide and its effect on post-harvest quality and storage of shiitake. Int. J. Biol. Macromol. 2023, 238, 123973. [Google Scholar] [CrossRef]
- Guo, Y.X.; Chen, X.F.; Gong, P.; Wang, R.T.; Qi, Z.Y.; Deng, Z.F.; Han, A.; Long, H.; Wang, J.; Yao, W.; et al. Advances in Postharvest Storage and Preservation Strategies for Pleurotus eryngii. Foods 2023, 12, 1046. [Google Scholar] [CrossRef]
- Hou, F.Y.; Yi, F.X.; Song, L.S.; Zhan, S.Q.; Zhang, R.F.; Han, X.B.; Sun, X.; Liu, Z.L. Bacterial community dynamics and metabolic functions prediction in white button mushroom (Agaricus bisporus) during storage. Food Res. Int. 2023, 171, 113077. [Google Scholar] [CrossRef] [PubMed]
- Hu, S.Q.; Hou, Y.Y.; Zhao, L.Y.; Zheng, Y.H.; Jin, P. Exogenous 24-epibrassinolide alleviates chilling injury in peach fruit through modulating PpGATA12-mediated sucrose and energy metabolisms. Food Chem. 2023, 400, 133996. [Google Scholar] [CrossRef] [PubMed]
- Kamali, M.; Shabanpour, B.; Pourashouri, P.; Kordjazi, M. Effect of chitosan-coated Ulva intestinalis sulfated polysaccharide nanoliposome on melanosis and quality of Pacific white shrimp during ice storage. Int. J. Biol. Macromol. 2023, 230, 123275. [Google Scholar] [CrossRef] [PubMed]
- Kong, Q.; Mu, H.L.; Han, Y.C.; Wu, W.J.; Tong, C.; Fang, X.J.; Liu, R.; Chen, H.; Gao, H. Biodegradable phase change materials with high latent heat: Preparation and application on Lentinus edodes storage. Food Chem. 2021, 364, 130391. [Google Scholar] [CrossRef]
- Li, C.-y.; Cheng, Y.; Hou, J.-b.; Zhu, J.; Sun, L.; Ge, Y.-h. Application of methyl jasmonate postharvest maintains the quality of Nanguo pears by regulating mitochondrial energy metabolism. J. Integr. Agric. 2021, 20, 3075–3083. [Google Scholar] [CrossRef]
- Li, S.E.; Jiang, H.; Wang, Y.; Lyu, L.; Prusky, D.; Ji, Y.; Zheng, X.; Bi, Y. Effect of benzothiadiazole treatment on improving the mitochondrial energy metabolism involved in induced resistance of apple fruit during postharvest storage. Food Chem. 2020, 302, 125288. [Google Scholar] [CrossRef] [PubMed]
- Li, Y.; Wang, F.; Xu, J.R.; Wang, T.; Zhan, J.L.; Ma, R.R.; Tian, Y.Q. Improvement in the optical properties of starch coatings via chemical-physical combination strategy for fruits preservation. Food Hydrocoll. 2023, 137, 108405. [Google Scholar] [CrossRef]
- Lin, X.H.; Sun, D.W. Research advances in browning of button mushroom (Agaricus bisporus): Affecting factors and controlling methods. Trends Food Sci. Technol. 2019, 90, 63–75. [Google Scholar] [CrossRef]
- Lin, Y.X.; Lin, H.T.; Chen, Y.H.; Wang, H.; Lin, M.S.; Ritenour, M.A.; Lin, Y.F. The role of ROS-induced change of respiratory metabolism in pulp breakdown development of longan fruit during storage. Food Chem. 2020, 305, 125439. [Google Scholar] [CrossRef]
- Lin, Y.X.; Lin, H.T.; Lin, M.S.; Chen, Y.H.; Wang, H.; Fan, Z.Q.; Ritenour, M.A.; Lin, Y. Hydrogen peroxide reduced ATPase activity and the levels of ATP, ADP, and energy charge and its association with pulp breakdown occurrence of longan fruit during storage. Food Chem. 2020, 311, 126008. [Google Scholar] [CrossRef]
- Liu, Q.Q.; Xie, H.L.; Chen, Y.H.; Lin, M.S.; Hung, Y.C.; Wang, H.; Fan, Z.; Lin, Y.; Lin, H.T. Acidic electrolyzed oxidizing water delayed the breakdown occurrence in pulp of fresh longan by regulating the metabolisms of respiratory and energy. Postharvest Biol. Technol. 2023, 205, 112531. [Google Scholar] [CrossRef]
- Nassarava, S.S.; Bao, N.A.; Zhang, X.T.; Ru, Q.M.; Luo, Z.S. Evaluation of light irradiation on anthocyanins and energy metabolism of grape (Vitis vinifera L.) during storage. Food Chem. 2024, 431, 137141. [Google Scholar] [CrossRef]
- Oktay, C.; Kahyaoglu, L.N.; Moradi, M. Food freshness monitoring using poly(vinyl alcohol) and anthocyanins doped zeolitic imidazolate framework-8 multilayer films with bacterial nanocellulose beneath as support. Carbohydr. Polym. 2023, 319, 121184. [Google Scholar] [CrossRef]
- Pei, F.; Han, P.; Zhou, Z.C.; Fang, D.L.; Mariga, A.M.; Yang, W.J.; Ma, N.; Hu, Q.H. The characteristics of the film assembled by caffeic acid-grafted-chitosan/ polylactic acid and its effect on the postharvest quality of Agaricus bisporus. Food Packag. Shelf Life 2022, 32, 100828. [Google Scholar] [CrossRef]
- Riseh, R.S.; Vatankhah, M.; Hassanisaadi, M.; Kennedy, J.F. Chitosan-based nanocomposites as coatings and packaging materials for the postharvest improvement of agricultural product: A review. Carbohydr. Polym. 2023, 309, 120666. [Google Scholar] [CrossRef]
- Shan, Y.X.; Li, F.J.; Lian, Q.Q.; Xie, L.H.; Zhu, H.; Li, T.T.; Zhang, J.; Duan, X.; Jiang, Y.M. Role of apyrase-mediated eATP signal in chilling injury of postharvest banana fruit during storage. Postharvest Biol. Technol. 2022, 187, 111874. [Google Scholar] [CrossRef]
- Shan, Y.X.; Zhang, D.D.; Luo, Z.S.; Li, T.T.; Qu, H.X.; Duan, X.W.; Jiang, Y.M. Advances in chilling injury of postharvest fruit and vegetable: Extracellular ATP aspects. Compr. Rev. Food Sci. Food Saf. 2022, 21, 4251–4273. [Google Scholar] [CrossRef]
- Shan, Y.X.; Zhang, S.T.; Li, Y.; Zhang, J.; Farag, M.A.; He, J.X.; Xiao, J.; Qu, H.; Duan, X.; Jiang, Y.M. The roles of exogenous ATP in postharvest fruit and vegetable: A systematic meta-analysis. Postharvest Biol. Technol. 2023, 199, 112305. [Google Scholar] [CrossRef]
- Shu, C.; Cao, J.; Jiang, W. Postharvest vibration-induced apple quality deterioration is associated with the energy dissipation system. Food Chem. 2022, 386, 132767. [Google Scholar] [CrossRef] [PubMed]
- Tan, X.-L.; Fan, Z.-Q.; Zeng, Z.-X.; Shan, W.; Kuang, J.-F.; Lu, W.-J.; Su, X.-G.; Tao, N.-G.; Lakshmanan, P.; Chen, J.-Y.; et al. Exogenous melatonin maintains leaf quality of postharvest Chinese flowering cabbage by modulating respiratory metabolism and energy status. Postharvest Biol. Technol. 2021, 177, 111524. [Google Scholar] [CrossRef]
- Wang, F.; Yang, Q.; Zhao, Q.; Zhang, X. Roles of antioxidant capacity and energy metabolism in the maturity-dependent chilling tolerance of postharvest kiwifruit. Postharvest Biol. Technol. 2020, 168, 111281. [Google Scholar] [CrossRef]
- Yang, W.; Shi, C.; Hu, Q.; Wu, Y.; Fang, D.; Pei, F.; Mariga, A.M. Nanocomposite packaging regulate respiration and energy metabolism in Flammulina velutipes. Postharvest Biol. Technol. 2019, 151, 119–126. [Google Scholar] [CrossRef]
- Yuan, L.B.; Liu, R.Q.; Zhou, Y.F.; Zhang, R.Y.; Chen, S.; Yang, Q.; Gu, Y.; Han, L.; Yan, B. Janus biopolymer nanocomposite coating with excellent antibacterial and water/oxygen barrier performance for fruit preservation. Food Hydrocoll. 2024, 150, 109528. [Google Scholar] [CrossRef]
- Zhang, J.; Wang, C.; Chen, C.; Zhang, S.; Zhao, X.; Wu, C.; Kou, X.; Xue, Z. Glycine betaine inhibits postharvest softening and quality decline of winter jujube fruit by regulating energy and antioxidant metabolism. Food Chem. 2023, 410, 135445. [Google Scholar] [CrossRef]
- Xia, R.R.; Hou, Z.S.; Xu, H.R.; Li, Y.T.; Sun, Y.; Wang, Y.F.; Zhu, J.; Wang, Z.; Pan, S.; Xin, G. Emerging technologies for preservation and quality evaluation of postharvest edible mushrooms: A review. Crit. Rev. Food Sci. Nutr. 2023, 64, 8445–8463. [Google Scholar] [CrossRef] [PubMed]
- Xue, W.H.; Zhu, J.X.; Sun, P.D.; Yang, F.M.; Wu, H.; Li, W.X. Permeability of biodegradable film comprising biopolymers derived from marine origin for food packaging application: A review. Trends Food Sci. Technol. 2023, 136, 295–307. [Google Scholar] [CrossRef]
- Yan, M.; Yuan, B.; Cheng, S.J.; Huang, H.D.; Huang, D.C.; Chen, J.Q.; Cao, C.J. Nanocomposite-based packaging affected the taste components of white Hypsizygus marmoreus by regulating energy status. Food Chem. 2020, 311, 125939. [Google Scholar] [CrossRef] [PubMed]
- Yang, B.Q.; Han, Y.C.; Gao, H.Y.; Liu, R.L.; Liu, R.H.; Xu, F.; Xiao, S.; Li, B.; Chen, H.J. Application of melatonin delays lignification in postharvest water bamboo shoots in association with energy metabolism. Postharvest Biol. Technol. 2023, 196, 112149. [Google Scholar] [CrossRef]
- Zhang, W.; Zhao, H.; Jiang, H.; Xu, Y.; Cao, J.; Jiang, W. Multiple 1-MCP treatment more effectively alleviated postharvest nectarine chilling injury than conventional one-time 1-MCP treatment by regulating ROS and energy metabolism. Food Chem. 2020, 330, 127256. [Google Scholar] [CrossRef]
- Zhang, Y.; Tang, H.; Lei, D.; Zhao, B.; Zhou, X.; Yao, W.; Fan, J.; Lin, Y.; Chen, Q.; Wang, Y.; et al. Exogenous melatonin maintains postharvest quality in kiwiberry fruit by regulating sugar metabolism during cold storage. LWT 2023, 174, 114385. [Google Scholar] [CrossRef]
- Zhou, Y.; Liu, X.C.; Liang, X.Y.; Li, H.M.; Lai, J.H.; Liao, Y.R.; Liu, K.D. Biochemical and metabolomics analyses reveal the mechanisms underlying ascorbic acid and chitosan coating mediated energy homeostasis in postharvest papaya fruit. Food Chem. 2024, 439, 138168. [Google Scholar] [CrossRef]
- Zuo, C.; Hu, Q.; Su, A.; Xu, H.; Li, X.; Mariga, A.M.; Yang, W. Nanocomposite packaging delays lignification of Flammulina velutipes by regulating phenylpropanoid pathway and mitochondrial reactive oxygen species metabolisms. Postharvest Biol. Technol. 2021, 171, 111360. [Google Scholar] [CrossRef]








| Compound | VIP | p-Value |
|---|---|---|
| L-Serine | 1.795358465 | 2.13 × 10−8 |
| Ribonic acid | 1.768454953 | 4.06 × 10−7 |
| 3,4-Dihydroxybenzyl alcohol | 1.748858063 | 8.89 × 10−7 |
| D-Glucose | 1.746762372 | 1.46 × 10−6 |
| 2-Keto-l-gluconic acid | 1.720553155 | 3.08 × 10−6 |
| D-Galactose | 1.718800368 | 5.44 × 10−6 |
| Myo-Inosose-2 | 1.712736451 | 1.07 × 10−5 |
| Citric acid | 1.695682318 | 2.25 × 10−5 |
| D-Pinitol | 1.5536861 | 0.0006228 |
| Pyroglutamic acid | 1.541290666 | 0.00068597 |
| Pantothenic acid | 1.516676124 | 0.0007956 |
| D-Fructose | 1.504437432 | 0.00092833 |
| Glycerol-3-phosphate | 1.493856349 | 0.00094816 |
| L-Isoleucine | 1.462528497 | 0.0018512 |
| L-Ornithine | 1.462359356 | 0.0018526 |
| Malic acid | 1.42457479 | 0.0025271 |
| L-Proline | 1.389494792 | 0.0035705 |
| D-Sorbitol | 1.108195734 | 0.036345 |
| 2,3,4-Trihydroxybutyric acid | 1.357243758 | 0.0059284 |
| Glycerol monostearate | 1.328366752 | 0.0089983 |
| L-Aspartic acid | 1.323794245 | 0.010176 |
| Stearic acid | 1.300520078 | 0.01095 |
| α-Ketoglutaric acid | 1.240855701 | 0.012567 |
| 1-Monopalmitin | 1.223792567 | 0.015668 |
Disclaimer/Publisher’s Note: The statements, opinions and data contained in all publications are solely those of the individual author(s) and contributor(s) and not of MDPI and/or the editor(s). MDPI and/or the editor(s) disclaim responsibility for any injury to people or property resulting from any ideas, methods, instructions or products referred to in the content. |
© 2025 by the authors. Licensee MDPI, Basel, Switzerland. This article is an open access article distributed under the terms and conditions of the Creative Commons Attribution (CC BY) license (https://creativecommons.org/licenses/by/4.0/).
Share and Cite
Yang, W.; Xia, T.; Miao, R.; Long, H.; Wang, J.; Li, N.; Zhao, Y.; Chen, F.; Guo, Y.; Gong, P. Lentinula edodes Stalk Polysaccharide Coating Extends the Shelf-Life of Agaricus bisporus by Modulating Respiration and Energy Metabolism. Foods 2025, 14, 4172. https://doi.org/10.3390/foods14244172
Yang W, Xia T, Miao R, Long H, Wang J, Li N, Zhao Y, Chen F, Guo Y, Gong P. Lentinula edodes Stalk Polysaccharide Coating Extends the Shelf-Life of Agaricus bisporus by Modulating Respiration and Energy Metabolism. Foods. 2025; 14(24):4172. https://doi.org/10.3390/foods14244172
Chicago/Turabian StyleYang, Wenjuan, Tingting Xia, Ruifeng Miao, Hui Long, Jing Wang, Nan Li, Yanni Zhao, Fuxin Chen, Yuxi Guo, and Pin Gong. 2025. "Lentinula edodes Stalk Polysaccharide Coating Extends the Shelf-Life of Agaricus bisporus by Modulating Respiration and Energy Metabolism" Foods 14, no. 24: 4172. https://doi.org/10.3390/foods14244172
APA StyleYang, W., Xia, T., Miao, R., Long, H., Wang, J., Li, N., Zhao, Y., Chen, F., Guo, Y., & Gong, P. (2025). Lentinula edodes Stalk Polysaccharide Coating Extends the Shelf-Life of Agaricus bisporus by Modulating Respiration and Energy Metabolism. Foods, 14(24), 4172. https://doi.org/10.3390/foods14244172

