Effect of Lipid Oxidation Products on Histamine Formation in Fermented Sausages
Abstract
1. Introduction
2. Materials and Methods
2.1. Preparation of Pork Backfat with Different Degrees of Oxidation
2.2. Determination of Oxidation Index
2.2.1. POV
2.2.2. TBARS
2.3. Production of Fermented Sausage Production
2.4. Determination of Histamine Content and Selection of Groups with Significant Differences
2.5. Determination of Lipid Oxidation Product Categories
2.6. Statistical Analysis
3. Results and Discussion
3.1. POV and TBARS
3.2. Histamine Content
3.3. Analysis of Lipid Oxidation Product Differences in Fermented Sausages
3.3.1. Lipid Oxidation Products
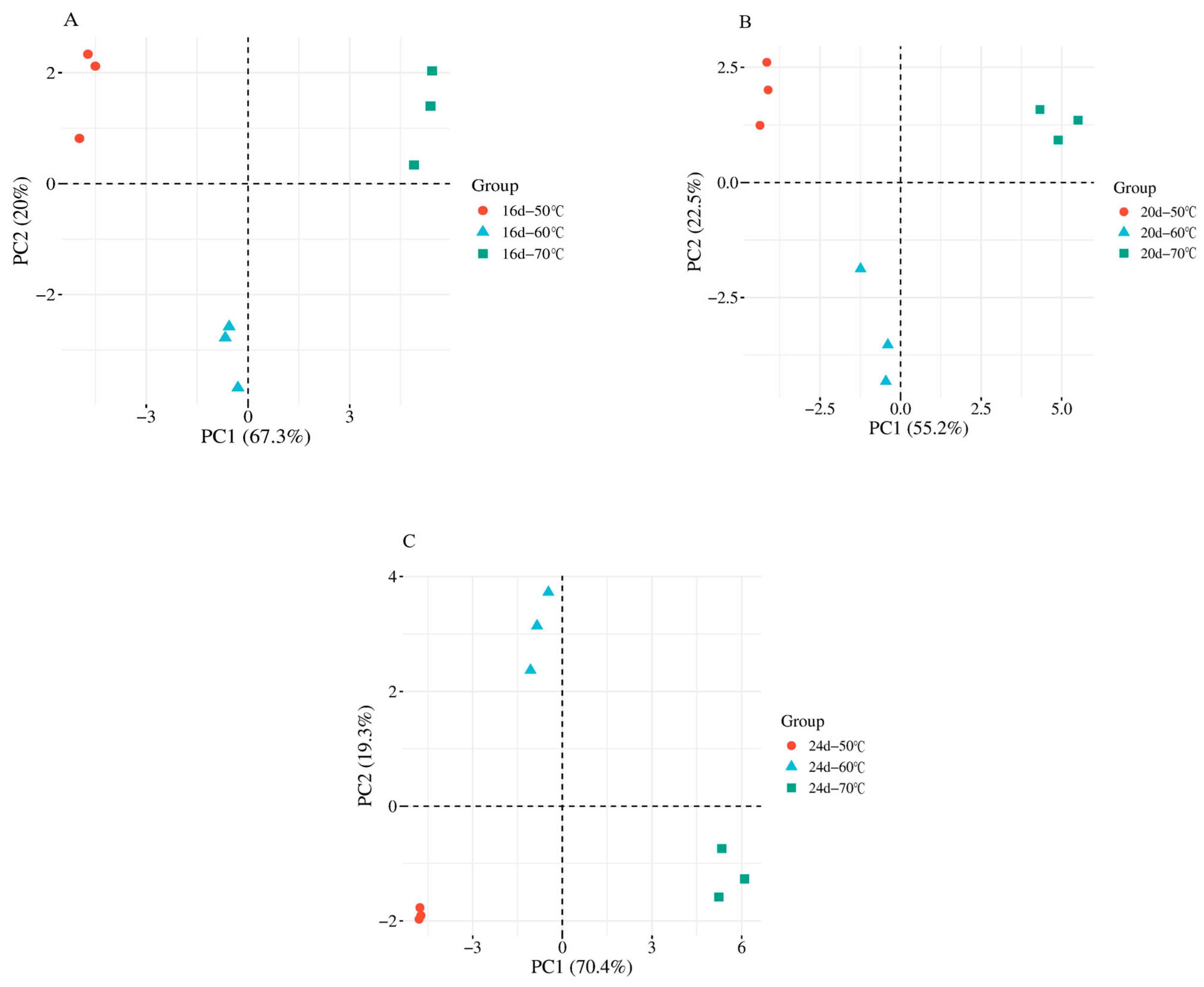
3.3.2. Principal Component Analysis (PCA)
3.3.3. Orthogonal Partial Least Squares-Discriminant Analysis (OPLS-DA)
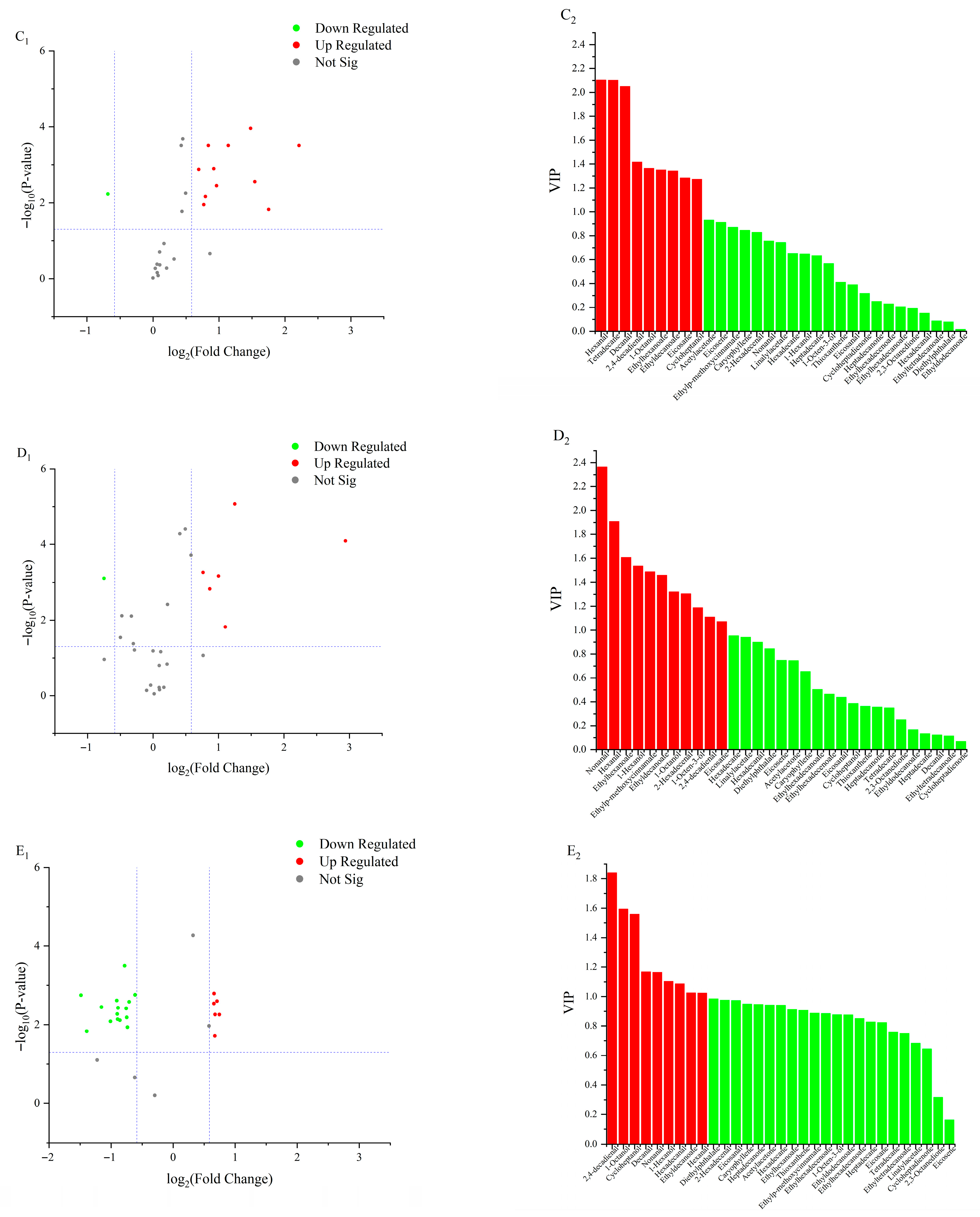
3.3.4. Screening of Differential Lipid Oxidation Products
3.4. Correlation Analysis Between Differential Lipid Oxidation Products and Histamine Content
4. Conclusions
Supplementary Materials
Author Contributions
Funding
Institutional Review Board Statement
Informed Consent Statement
Data Availability Statement
Acknowledgments
Conflicts of Interest
References
- Luan, X.; Feng, M.; Sun, J. Effect of Lactobacillus plantarum on antioxidant activity in fermented sausage. Food Res. Int. 2021, 144, 110351. [Google Scholar] [CrossRef]
- Wang, Q.; Liu, K.Y.; Zhang, J.H.; An, J.S.; Zhang, C.; Chen, T. Research progress of biogenic amines in fermented sausages: A review. Int. Food Res. J. 2022, 29, 223–235. [Google Scholar] [CrossRef]
- Domínguez, R.; Pateiro, M.; Gagaoua, M.; Barba, F.J.; Zhang, W.; Lorenzo, J.M. A comprehensive review on lipid oxidation in meat and meat products. Antioxidants 2019, 8, 429. [Google Scholar] [CrossRef]
- Zamora, R.; Delgado, R.M.; Hidalgo, F.J. Formation of β-phenylethylamine as a consequence of lipid oxidation. Food Res. Int. 2012, 46, 321–325. [Google Scholar] [CrossRef]
- Hidalgo, F.J.; Navarro, J.L.; Delgado, R.M.; Zamora, R. Histamine formation by lipid oxidation products. Food Res. Int. 2013, 52, 206–213. [Google Scholar] [CrossRef]
- Loizzo, M.R.; Spizzirri, U.G.; Bonesi, M.; Tundis, R.; Picci, N.; Restuccia, D. Influence of packaging conditions on biogenic amines and fatty acids evolution during 15 months storage of a typical spreadable salami (Nduja). Food Chem. 2016, 213, 115–122. [Google Scholar] [CrossRef]
- Liu, Y.; Yang, Y.; Li, B.; Lan, Q.; Zhao, X.; Wang, Y.; Yang, Y. Effects of lipids with different oxidation levels on protein degradation and biogenic amines formation in Sichuan-style sausages. LWT 2022, 161, 113344. [Google Scholar] [CrossRef]
- ISO 3960:2017; Animal and Vegetable Fats and Oils—Determination of Peroxide Value—Iodometric (Visual) Endpoint Determination. International Organization for Standardization: Geneva, Switzerland, 2017.
- Li, F.; Zhong, Q.; Kong, B.; Wang, B.; Pan, N.; Xia, X. Deterioration in quality of quick-frozen pork patties induced by changes in protein structure and lipid and protein oxidation during frozen storage. Food Res. Int. 2020, 133, 109142. [Google Scholar] [CrossRef]
- Sun, X.; Zhou, K.; Gong, Y.; Zhang, N.; Yang, M.; Qing, D.; Yang, Y. Determination of biogenic amines in Sichuan-style spontaneously fermented sausages. Food Anal. Methods 2016, 9, 2299–2307. [Google Scholar] [CrossRef]
- Olivares, A.; Dryahina, K.; Navarro, J.L.; Smith, D.; Spanel, P.; Flores, M. SPME-GC-MS versus selected ion flow tube mass spectrometry (SIFT-MS) analyses for the study of volatile compound generation and oxidation status during dry fermented sausage processing. J. Agric. Food Chem. 2011, 59, 1931–1938. [Google Scholar] [CrossRef] [PubMed]
- Wang, J.; Lu, S.; Wang, Q.; Guo, X.; He, J. Effects of starter cultures on lipid oxidation and accumulation of biogenic amines in traditional Chinese smoked horsemeat sausage. J. Food Process. Preserv. 2020, 44, e14439. [Google Scholar] [CrossRef]
- Chen, Q.; Kong, B.; Han, Q.; Xia, X.; Xu, L. The role of bacterial fermentation in lipolysis and lipid oxidation in Harbin dry sausages and its flavour development. LWT 2017, 77, 389–396. [Google Scholar] [CrossRef]
- Soyer, A.; Özalp, B.; Dalmış, Ü.; Bilgin, V. Effects of freezing temperature and duration of frozen storage on lipid and protein oxidation in chicken meat. Food Chem. 2010, 120, 1025–1030. [Google Scholar] [CrossRef]
- Del Pulgar, J.S.; Gázquez, A.; Ruiz-Carrascal, J. Physico-chemical, textural and structural characteristics of sous-vide cooked pork cheeks as affected by vacuum, cooking temperature, and cooking time. Meat Sci. 2012, 90, 828–835. [Google Scholar] [CrossRef]
- Ashaolu, T.J.; Khalifa, I.; Mesak, M.A.; Lorenzo, J.M.; Farag, M.A. A comprehensive review of the role of microorganisms on texture change, flavor and biogenic amines formation in fermented meat with their action mechanisms and safety. Crit. Rev. Food Sci. Nutr. 2023, 63, 3538–3555. [Google Scholar] [CrossRef] [PubMed]
- Stadnik, J.; Dolatowski, Z.J. Biogenic amines in meat and fermented meat products. ACTA Sci. Pol. Technol. Aliment. 2010, 9, 251–263. [Google Scholar] [CrossRef]
- Zhou, Q.; Mo, M.; Wang, A.; Tang, B.; He, Q. Changes in N-nitrosamines, residual nitrites, lipid oxidation, biogenic amines, and microbiota in chinese sausages following treatment with tea polyphenols and their palmitic acid-modified derivatives. J. Food Prot. 2023, 86, 100072. [Google Scholar] [CrossRef]
- Xia, C.; Wen, P.; Yuan, Y.; Yu, X.; Chen, Y.; Xu, H.; Wang, J. Effect of roasting temperature on lipid and protein oxidation and amino acid residue side chain modification of beef patties. RSC Adv. 2021, 11, 21629–21641. [Google Scholar] [CrossRef]
- Xiong, Q.; Zhang, M.; Wang, T.; Wang, D.; Sun, C.; Bian, H.; Xu, W. Lipid oxidation induced by heating in chicken meat and the relationship with oxidants and antioxidant enzymes activities. Poult. Sci. 2020, 99, 1761–1767. [Google Scholar] [CrossRef]
- Zhang, Q.; Qin, W.; Lin, D.; Shen, Q.; Saleh, A.S. The changes in the volatile aldehydes formed during the deep-fat frying process. J. Food Sci. Technol. 2015, 52, 7683–7696. [Google Scholar] [CrossRef]
- Shen, Y.; Wu, Y.; Wang, Y.; Li, L.; Li, C.; Zhao, Y.; Yang, S. Contribution of autochthonous microbiota succession to flavor formation during Chinese fermented mandarin fish (Siniperca chuatsi). Food Chem. 2021, 348, 129107. [Google Scholar] [CrossRef] [PubMed]
- Zhou, H.; Cui, W.; Gao, Y.; Li, P.; Pu, X.; Wang, Y.; Xu, B. Analysis of the volatile compounds in Fuliji roast chicken during processing and storage based on GC-IMS. Curr. Res. Food Sci. 2022, 5, 1484–1493. [Google Scholar] [CrossRef] [PubMed]
- Shin, J.H.; Kang, M.J.; Lee, B.H.; Kang, D. Effect of temperature conditions on the physicochemical quality of aged black garlic. Foods 2024, 13, 3974. [Google Scholar] [CrossRef]
- Yun, J.; Cui, C.; Zhang, S.; Zhu, J.; Peng, C.; Cai, H.; Yang, X.; Hou, R. Use of headspace GC/MS combined with chemometric analysis to identify the geographic origins of black tea. Food Chem. 2021, 360, 130033. [Google Scholar] [CrossRef]
- Wang, J.; Wang, X.; Yang, W.; Wang, L.; Huang, X.H.; Qin, L. Comprehensive insights into the mechanism of flavor formation driven via inoculation with mixed starter cultures in dry-fermented tilapia sausages: Integration of macrogenomics, volatilomics, and lipidomics. Food Chem. 2024, 455, 139950. [Google Scholar] [CrossRef]
- Hematyar, N.; Rustad, T.; Sampels, S.; Kastrup Dalsgaard, T. Relationship between lipid and protein oxidation in fish. Aquac. Res. 2019, 50, 1393–1403. [Google Scholar] [CrossRef]
- Zhang, X.; Huang, W.; Xie, J. Effect of different packaging methods on protein oxidation and degradation of grouper (Epinephelus coioides) during refrigerated storage. Foods 2019, 8, 325. [Google Scholar] [CrossRef]
- Wang, Y.; Pei, H.; Liu, Y.; Huang, X.; Deng, L.; Lan, Q.; Chen, S.; He, L.; Liu, A.; Ao, X.; et al. Inhibitory mechanism of cell-free supernatants of Lactobacillus plantarum on Proteus mirabilis and influence of the expression of histamine synthesis-related genes. Food Control 2021, 125, 107982. [Google Scholar] [CrossRef]
- Guo, Z.; Feng, X.; Han, J.; Zhong, T.; Zheng, Z.; Xiao, Y.; Yu, X. Inhibitory effects of κ-carrageenan oligosaccharides on histamine formation in Atlantic mackerel (Scomber scombrus) during cold storage. Food Biosci. 2025, 64, 105921. [Google Scholar] [CrossRef]
- Zamora, R.; Hidalgo, F.J. The Maillard reaction and lipid oxidation. Lipid Technol. 2011, 23, 59–62. [Google Scholar] [CrossRef]
- Zamora, R.; Leon, M.M.; Hidalgo, F.J. Oxidative versus non-oxidative decarboxylation of amino acids: Conditions for the preferential formation of either strecker aldehydes or amines in amino acid/lipid-derived reactive carbonyl model systems. J. Agric. Food Chem. 2015, 63, 8037–8043. [Google Scholar] [CrossRef] [PubMed]
- Ayala, A.; Muñoz, M.F.; Argüelles, S. Lipid peroxidation: Production, metabolism, and signaling mechanisms of malondialdehyde and 4-hydroxy-2-nonenal. Oxid. Med. Cell Longev. 2014, 2014, 360438. [Google Scholar] [CrossRef] [PubMed]
- Dalleau, S.; Baradat, M.; Guéraud, F.; Huc, L. Cell death and diseases related to oxidative stress: 4-hydroxynonenal (HNE) in the balance. Cell Death Differ. 2013, 20, 1615–1630. [Google Scholar] [CrossRef] [PubMed]








| Type | Name | 16 d | 20 d | 24 d | ||||||
|---|---|---|---|---|---|---|---|---|---|---|
| 50 °C | 60 °C | 70 °C | 50 °C | 60 °C | 70 °C | 50 °C | 60 °C | 70 °C | ||
| Aldehydes | Nonanal | 0.43 ± 0.02 d | 1.47 ± 0.14 c | 3.49 ± 0.12 a | 0.14 ± 0.05 d | 0.46 ± 0.07 d | 3.46 ± 0.62 ab | 0.7 ± 0.08 d | 1.15 ± 0.32 c | 3.65 ± 0.23 ab |
| Decanal | 1.42 ± 0.11 f | 3.12 ± 0.07 cd | 4.82 ± 1.04 a | 2.42 ± 0.18 e | 4.82 ± 0.48 ab | 4.92 ± 0.92 a | 0.85 ± 0.02 g | 1.28 ± 0.08 fg | 3.82 ± 0.12 cd | |
| 2,4-decadienal | 0.55 ± 0.01 e | 1.25 ± 0.01 cd | 2.75 ± 0.13 a | 1.55 ± 0.18 c | 2.75 ± 0.33 ab | 1.85 ± 0.04 b | 0.42 ± 0.03 e | 1.75 ± 0.11 bc | 2.25 ± 0.13 a | |
| 2-Hexadecenal | 0.48 ± 0.03 d | 1.18 ± 0.01 c | 2.88 ± 0.62 a | 0.48 ± 0.02 d | 0.88 ± 0.01 cd | 1.98 ± 0.12 b | 0.38 ± 0.01 d | 0.68 ± 0.07 cd | 1.18 ± 0.01 c | |
| Hexanal | 0.45 ± 0.01 e | 1.15 ± 0.12 d | 4.85 ± 0.07 a | 0.65 ± 0.01 e | 2.85 ± 0.22 c | 4.95 ± 0.59 a | 0.68 ± 0.02 e | 1.08 ± 0.06 de | 2.58 ± 0.17 bc | |
| Ketones | Acetylacetone | 1.49 ± 0.04 b | 1.19 ± 0.01 c | 1.79 ± 0.06 a | 1.04 ± 0.04 cd | 1.55 ± 0.01 b | 1.21 ± 0.05 c | 0.43 ± 0.01 g | 0.78 ± 0.03 ef | 1.22 ± 0.08 c |
| Caryophyllene | 1.61 ± 0.1 a | 1.21 ± 0.06 c | 1.33 ± 0.04 bc | 1.14 ± 0.05 cd | 1.55 ± 0.01 ab | 1.24 ± 0.03 c | 0.58 ± 0.03 e | 0.95 ± 0.01 d | 1.45 ± 0.07 bc | |
| Heptadecanone | 1.57 ± 0.13 ab | 1.27 ± 0.06 cde | 1.67 ± 0.02 a | 1.57 ± 0.02 ab | 1.67 ± 0.01 ab | 1.77 ± 0.06 a | 0.52 ± 0.04 g | 0.88 ± 0.01 f | 1.37 ± 0.03 bcde | |
| Esters | Ethylhexanoate | 1.51 ± 0.16 g | 3.21 ± 0.53 de | 4.71 ± 0.09 ab | 2.51 ± 0.12 f | 3.44 ± 0.43 cd | 4.81 ± 0.17 a | 0.44 ± 0.01 h | 0.77 ± 0.08 h | 1.2 ± 0.01 g |
| Ethyldecanoate | 1.63 ± 0.01 g | 3.33 ± 0.12 de | 4.63 ± 0.08 ab | 2.63 ± 0.05 f | 3.54 ± 0.18 cd | 4.73 ± 0.11 ab | 0.62 ± 0.01 h | 1.02 ± 0.02 h | 1.52 ± 0.01 g | |
| Alcohols | 1-Hexanol | 0.00 ± 0.00 g | 0.96 ± 0.02 d | 1.38 ± 0.21 c | 0.00 ± 0.00 g | 0.21 ± 0.48 f | 1.48 ± 0.42 b | 0.00 ± 0.00 g | 0.46 ± 0.02 e | 1.65 ± 0.14 a |
| 1-Octen-3-ol | 0.00 ± 0.00 g | 0.23 ± 0.01 d | 0.89 ± 0.06 b | 0.00 ± 0.00 g | 0.16 ± 0.04 e | 0.92 ± 0.03 a | 0.00 ± 0.00 g | 0.29 ± 0.11 c | 0.96 ± 0.18 a | |
| Alkanes | Tetradecane | 1.39 ± 0.14 e | 3.09 ± 0.21 c | 4.82 ± 0.31 a | 2.39 ± 0.19 d | 4.82 ± 0.51 ab | 4.92 ± 0.65 a | 0.22 ± 0.01 f | 0.46 ± 0.01 f | 0.79 ± 0.06 f |
| Hexadecane | 1.72 ± 0.08 f | 3.42 ± 0.91 d | 4.48 ± 1.02 ab | 2.72 ± 0.62 e | 3.01 ± 0.17 de | 3.58 ± 0.46 cd | 0.76 ± 0.05 g | 1.15 ± 0.03 g | 1.65 ± 0.08 fg | |
Disclaimer/Publisher’s Note: The statements, opinions and data contained in all publications are solely those of the individual author(s) and contributor(s) and not of MDPI and/or the editor(s). MDPI and/or the editor(s) disclaim responsibility for any injury to people or property resulting from any ideas, methods, instructions or products referred to in the content. |
© 2025 by the authors. Licensee MDPI, Basel, Switzerland. This article is an open access article distributed under the terms and conditions of the Creative Commons Attribution (CC BY) license (https://creativecommons.org/licenses/by/4.0/).
Share and Cite
Xu, Y.; Zhang, H.; Wang, H.; Zhang, W.; Wang, Y. Effect of Lipid Oxidation Products on Histamine Formation in Fermented Sausages. Foods 2025, 14, 4166. https://doi.org/10.3390/foods14234166
Xu Y, Zhang H, Wang H, Zhang W, Wang Y. Effect of Lipid Oxidation Products on Histamine Formation in Fermented Sausages. Foods. 2025; 14(23):4166. https://doi.org/10.3390/foods14234166
Chicago/Turabian StyleXu, Yuxiang, Huaihui Zhang, Hongzhan Wang, Wei Zhang, and Yilun Wang. 2025. "Effect of Lipid Oxidation Products on Histamine Formation in Fermented Sausages" Foods 14, no. 23: 4166. https://doi.org/10.3390/foods14234166
APA StyleXu, Y., Zhang, H., Wang, H., Zhang, W., & Wang, Y. (2025). Effect of Lipid Oxidation Products on Histamine Formation in Fermented Sausages. Foods, 14(23), 4166. https://doi.org/10.3390/foods14234166
