Structure and Functional Characteristics of Gelatin Extracted from Grass Carp (Ctenopharyngodon idella) By-Products
Abstract
1. Introduction
2. Materials and Methods
2.1. Fish Gelatin
2.2. Extraction Yield of Gelatin
2.3. Composition of Gelatin
2.4. Electrophoretic Analysis
2.5. Fourier Transform Infrared Spectrum Analysis
2.6. Scanning Electron Microscopy (SEM) Analysis
2.7. Gel Strength Analysis
2.8. Determination of Solubility
2.9. Water-Holding Capacity (WHC) and Oil-Holding Capacity (OHC)
2.10. Emulsifying Characteristics
2.11. Statistical Analysis
3. Results and Discussion
3.1. Extraction Yield and Chemical Composition of Gelatin
3.2. Protein Patterns in Gelatin
3.3. Fourier Transform Infrared Spectra of Gelatin
3.4. Microstructures of Gelatin
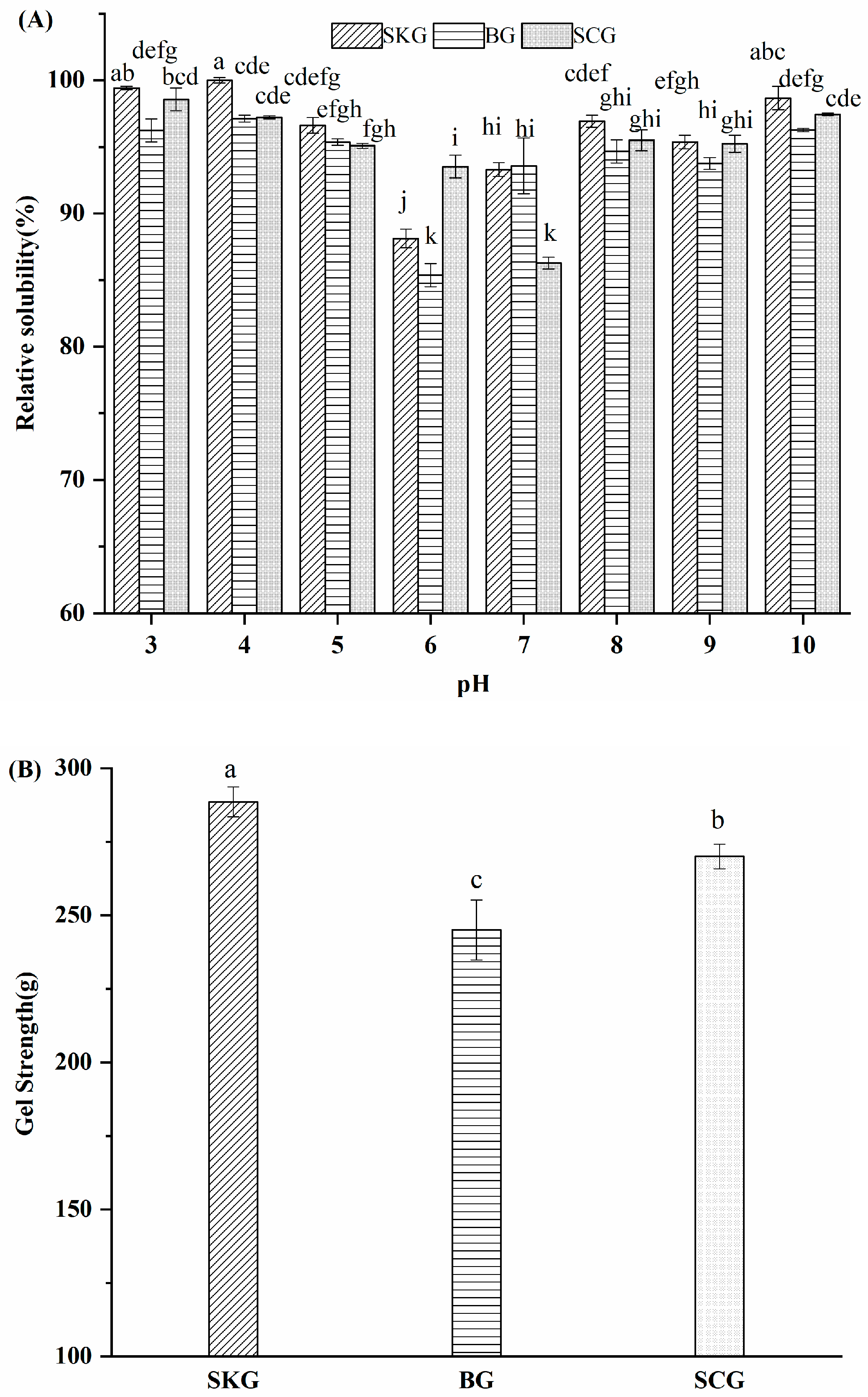
3.5. Solubility and Gel Strength of Gelatin
3.6. Water-Holding Capacity and Oil-Holding Capacity
3.7. Emulsifying Capacity and Stability of Gelatin
4. Conclusions
Author Contributions
Funding
Institutional Review Board Statement
Informed Consent Statement
Data Availability Statement
Conflicts of Interest
References
- Liu, D.; Nikoo, M.; Boran, G.; Zhou, P.; Regenstein, J.M. Collagen and Gelatin. Annu. Rev. Food Sci. Technol. 2015, 6, 527–557. [Google Scholar] [CrossRef]
- Karim, A.A.; Bhat, R. Fish gelatin: Properties, challenges, and prospects as an alternative to mammalian gelatins. Food Hydrocoll. 2009, 23, 563–576. [Google Scholar] [CrossRef]
- Ahammed, S.; Liu, F.; Wu, J.; Khin, M.N.; Yokoyama, W.H.; Zhong, F. Effect of transglutaminase crosslinking on solubility property and mechanical strength of gelatin-zein composite films. Food Hydrocoll. 2021, 116, 106649. [Google Scholar] [CrossRef]
- Sinthusamran, S.; Benjakul, S.; Hemar, Y.; Kishimura, H. Characteristics and properties of gelatin from Seabass (Lates calcarifer) swim bladder: Impact of extraction temperatures. Waste Biomass Valorl. 2016, 9, 315–325. [Google Scholar] [CrossRef]
- Chuaychan, S.; Benjakul, S.; Kishimura, H. Characteristics and gelling property of gelatin from scale of spotted golden goatfish (Parupeneus heptacanthus). J. Food Process. Preserv. 2017, 41, 814–820. [Google Scholar] [CrossRef]
- Zhang, T.; Sun, R.; Ding, M.; Tao, L.; Liu, L.; Tao, N.; Wang, X.; Zhong, J. Effect of extraction methods on the structural characteristics, functional properties, and emulsion stabilization ability of Tilapia skin gelatins. Food Chem. 2020, 328, 127114. [Google Scholar] [CrossRef]
- Yang, M.; Zhang, J.; Guo, X.; Deng, X.; Kang, S.; Zhu, X.; Guo, X. Effect of phosphorylation on the structure and emulsification properties of different fish scale gelatins. Foods 2022, 11, 804. [Google Scholar] [CrossRef]
- Toniciolli Rigueto, C.V.; Rosseto, M.; Alessandretti, I.; Oliveira, R.D.; Wohlmuth, D.A.R.; Ferreira Menezes, J.; Loss, R.A.; Dettmer, A.; Pizzutti, I.R. Gelatin films from wastes: A review of production, characterization, and application trends in food preservation and agriculture. Food Res. Int. 2022, 162, 112114. [Google Scholar] [CrossRef] [PubMed]
- Zhang, T.; Sun, R.; Ding, M.; Li, L.; Tao, N.; Wang, X.; Zhong, J. Commercial cold-water fish skin gelatin and bovine bone gelatin: Structural, functional, and emulsion stability differences. LWT-Food Sci. Technol. 2020, 125, 109207. [Google Scholar] [CrossRef]
- Alfaro, A.D.T.; Balbinot, E.; Weber, C.I.; Tonial, I.B.; Machado-Lunkes, A. Fish gelatin: Characteristics, functional properties, applications and future potentials. Food Eng. Rev. 2014, 7, 33–44. [Google Scholar] [CrossRef]
- Benjakul, S.; Oungbho, K.; Visessanguan, W.; Thiansilakul, Y.; Roytrakul, S. Characteristics of gelatin from the skins of bigeye snapper, Priacanthus tayenus and Priacanthus macracanthus. Food Chem. 2009, 116, 445–451. [Google Scholar] [CrossRef]
- China Fisheries Yearbook in 2023; China Agricultural Press: Bejing, China, 2024.
- Tan, C.; Karim, A.; Uthumporn, U.; Ghazali, F. Effect of extraction of temperature on the emulsifying properties of gelatin from the skin of Black Tilapia (Oreochromis mossambicus). Food Hydrocoll. 2020, 108, 106024. [Google Scholar] [CrossRef]
- Noman, A.; Jiang, Q.; Xu, Y.; Ali, A.; Albukhaiti, A.; Abed, S.; Xia, W. Influence of degree of hydrolysis on chemical composition, functional properties, and antioxidant activities of Chinese Sturgeon (Acipenser sinensis) hydrlysates obtained by using Alcalase 2.4 L. J. Aquat. Food Prod. Technol. 2019, 28, 583–597. [Google Scholar] [CrossRef]
- Shen, J.; Zhong, B.; Fu, L.; Liu, B.; Xia, W.; Jiang, Q. Antioxidant property and functionality of protein hydrolysate from Chinese softshell turtle (Pelodiscus sinensis). LWT Food Sci. Technol. 2025, 217, 117408. [Google Scholar] [CrossRef]
- Shen, J.; Zhong, B.; Fu, L.; Xia, W.; Xu, Y. Study on collagenolytic mechanism of endogenous matrix metalloproteinase-2 in grass carp (Ctenopharyngodon idella). LWT Food Sci. Technol. 2025, 223, 117733. [Google Scholar] [CrossRef]
- Chen, J.; Liu, L.; Zhang, Y.; Jiao, Y.; Hou, J.; Liu, F.; Liu, W. Characterization, antioxidant and antibacterial activity of neutral polysaccharides from oyster (Crassostrea rivularis). LWT Food Sci. Technol. 2024, 212, 116961. [Google Scholar] [CrossRef]
- Chen, Y.; Su, L.; Liu, H.; Zhang, T.; Li, G.; Sun, L.; Lin, D.; Jin, T.; Zhang, L.; Cao, M. Synergistic effects of matrix metalloproteinases on the degradation of collagen in abalone (Haliotis discus hannai). Food Chem. 2025, 473, 143111. [Google Scholar] [CrossRef] [PubMed]
- Nikoo, M.; Benjakul, S.; Bashari, M.; Alekhorshied, M.; Idrissa Cissouma, A.; Yang, N.; Xu, X. Physicochemical properties of skin gelatin from farmed Amur sturgeon (Acipenser schrenckii) as influenced by acid pretreatment. Food Biosci. 2014, 5, 19–26. [Google Scholar] [CrossRef]
- Alahmad, K.; Noman, A.; Xia, W.; Jiang, Q.; Xu, Y. Influence of the enzymatic hydrolysis using flavourzyme enzyme on functional, secondary structure, and antioxidant characteristics of protein hydrolysates produced from Bighead carp (Hypophthalmichthys nobilis). Molecules 2023, 28, 519. [Google Scholar] [CrossRef]
- Jellouli, K.; Balti, R.; Bougatef, A.; Hmidet, N.; Barkia, A.; Nasri, M. Chemical composition and characteristics of skin gelatin from grey triggerfish (Balistes capriscus). LWT-Food Sci. Technol. 2011, 44, 1965–1970. [Google Scholar] [CrossRef]
- Zheng, X.; Wang, J.; Liu, X.; Sun, Y.; Zheng, Y.; Wang, X.; Liu, Y. Effect of hydrolysis time on the physicochemical and functional properties of corn glutelin by protamex hydrolysis. Food Chem. 2015, 172, 407–415. [Google Scholar] [CrossRef] [PubMed]
- Purslow, P.P. New developments on the role of intramuscular connective tissue in meat toughness. Annu. Rev. Food Sci. Technol. 2014, 5, 133–153. [Google Scholar] [CrossRef]
- Koli, J.M.; Basu, S.; Nayak, B.B.; Patange, S.B.; Pagarkar, A.U.; Gudipati, V. Functional characteristics of gelatin extracted from skin and bone of Tiger-toothed croaker (Otolithes ruber) and Pink perch (Nemipterus japonicus). Food Bioprod. Process. 2012, 90, 555–562. [Google Scholar] [CrossRef]
- Sun, L.; Du, H.; Wen, J.; Zhong, C.; Liu, G.; Miao, S.; Cao, M. Physicochemical properties of acid-soluble collagens from different tissues of large yellow croaker (Larimichthys crocea). Int. J. Food Sci. Technol. 2021, 56, 5371–5381. [Google Scholar] [CrossRef]
- Jacobsen, Á.; Shi, X.; Shao, C.; Eysturskarδ, J.; Mikalsen, S.O.; Zaia, J. Characterization of glycosaminoglycans in gaping and intact connective tissues of farmed Atlantic salmon (Salmo salar) fillets by mass spectrometry. ACS Omega 2019, 4, 15337–15347. [Google Scholar] [CrossRef]
- Geng, H.; Sun, W.; Zhan, S.; Jia, R.; Lou, Q.; Huang, T. Glycosylation with different saccharides on the gelling, rheological and structural properties of fish gelatin. Food Hydrocoll. 2024, 150, 109699. [Google Scholar] [CrossRef]
- Sinthusamran, S.; Benjakul, S.; Kishimura, H. Characteristics and gel properties of gelatin from skin of seabass (Lates calcarifer) as influenced by extraction conditions. Food Chem. 2014, 152, 276–284. [Google Scholar] [CrossRef]
- Sinthusamran, S.; Benjakul, S.; Kishimura, H. Molecular characteristics and properties of gelatin from skin of seabass with different sizes. Int. J. Biol. Macromol. 2015, 73, 146–153. [Google Scholar] [CrossRef] [PubMed]
- Sae-leaw, T.; Benjakul, S.; O’Brien, N.M.; Kishimura, H. Characteristics and functional properties of gelatin from seabass skin as influenced by defatting. Int. J. Food Sci. Technol. 2016, 51, 1204–1211. [Google Scholar] [CrossRef]
- Taheri, A.; Abeian Kenari, A.M.; Gildberg, A.; Behnam, S. Extraction and physicochemical characterization of greater Lizardfish (Saurida tumbil) skin and bone gelatin. J. Food Sci. 2009, 74, E160-5. [Google Scholar] [CrossRef] [PubMed]




| SKG | BG | SCG | ||
|---|---|---|---|---|
| Yield (%) | 18.30 ± 0.24 a | 6.95 ± 0.13 c | 8.39 ± 0.32 b | |
| Chemical composition (%) | Moisture | 9.25 ± 0.13 b | 9.84 ± 0.11 a | 9.42 ± 0.06 ab |
| Protein | 90.12 ± 0.21 a | 84.89 ± 0.30 b | 82.62 ± 0.15 c | |
| Fat | 0.23 ± 0.02 a | 0.02 ± 0.01 c | 0.03 ± 0.01 b | |
| Ash | 1.50 ± 0.08 b | 9.20 ± 0.14 a | 8.94 ± 0.05 a |
| SKG | BG | SCG | |
|---|---|---|---|
| Water-holding capacity | 1.59 ± 0.05 b | 1.53 ± 0.10 b | 2.01 ± 0.11 a |
| Oil-holding capacity | 5.54 ± 0.15 a | 5.21 ± 0.08 a | 4.18 ± 0.10 b |
| EAI (m2/g) | 35.31 ± 1.21 a | 26.87 ± 0.86 b | 31.45 ± 0.58 a |
| ESI (min) | 42.15 ± 0.23 a | 38.24 ± 0.35 b | 40.21 ± 0.36 b |
Disclaimer/Publisher’s Note: The statements, opinions and data contained in all publications are solely those of the individual author(s) and contributor(s) and not of MDPI and/or the editor(s). MDPI and/or the editor(s) disclaim responsibility for any injury to people or property resulting from any ideas, methods, instructions or products referred to in the content. |
© 2025 by the authors. Licensee MDPI, Basel, Switzerland. This article is an open access article distributed under the terms and conditions of the Creative Commons Attribution (CC BY) license (https://creativecommons.org/licenses/by/4.0/).
Share and Cite
Shen, J.; Fu, L.; Zhong, B.; Xia, W.; Xu, Y. Structure and Functional Characteristics of Gelatin Extracted from Grass Carp (Ctenopharyngodon idella) By-Products. Foods 2025, 14, 4086. https://doi.org/10.3390/foods14234086
Shen J, Fu L, Zhong B, Xia W, Xu Y. Structure and Functional Characteristics of Gelatin Extracted from Grass Carp (Ctenopharyngodon idella) By-Products. Foods. 2025; 14(23):4086. https://doi.org/10.3390/foods14234086
Chicago/Turabian StyleShen, Jiandong, Lijun Fu, Bijiang Zhong, Wenshui Xia, and Yanshun Xu. 2025. "Structure and Functional Characteristics of Gelatin Extracted from Grass Carp (Ctenopharyngodon idella) By-Products" Foods 14, no. 23: 4086. https://doi.org/10.3390/foods14234086
APA StyleShen, J., Fu, L., Zhong, B., Xia, W., & Xu, Y. (2025). Structure and Functional Characteristics of Gelatin Extracted from Grass Carp (Ctenopharyngodon idella) By-Products. Foods, 14(23), 4086. https://doi.org/10.3390/foods14234086

