Convective Drying of Brown Seaweed (Lessonia spicata): Modeling, Energy Efficiency, and Impact on Bioactive Compounds and Functional Properties
Abstract
1. Introduction
2. Materials and Methods
2.1. Raw Materials
2.2. Nutritional and Physicochemical Characterization
2.3. Convective Drying Procedure
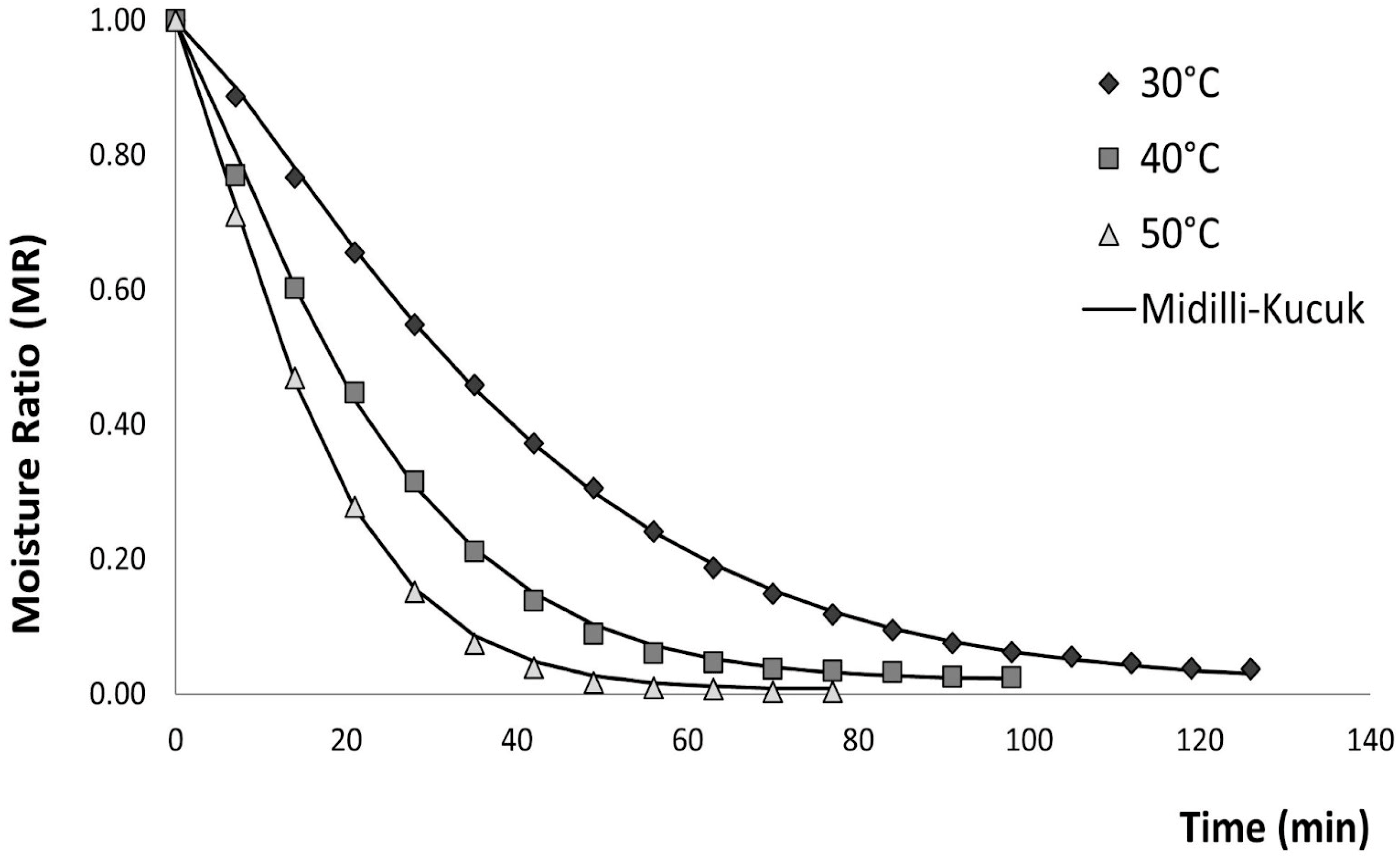
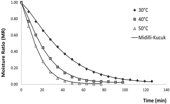
Drying Kinetics, Drying Rate, and Empirical Models
2.4. Estimation of the Effective Diffusion Coefficient (Deff)
2.5. Energy Requirement
2.5.1. Specific Energy Consumption (SEC)
2.5.2. Overall Mass Transfer Coefficient (KG)
2.6. Bioactive Properties
2.6.1. Total Phenolic Content (TPC)
2.6.2. Total Flavonoid Content (TFC)
2.6.3. Carotenoid Total and Fucoxanthin Content
2.6.4. Antioxidant Capacity (AC)
2.6.5. Cell Viability Assay
2.7. Statistical Analysis
3. Results and Discussion
3.1. Nutritional and Physicochemical Composition
3.2. Drying Kinetics, Mathematical Modeling, and Drying Rates
3.3. Diffusional Parameter and Arrhenius Equation
3.4. Energy Requirements and Dynamic Mass Transfer Coefficient (KG)
3.5. Biofunctional Characteristics
3.5.1. Total Phenolic Content
3.5.2. Determination of Carotenoids and Fucoxanthin
3.5.3. Total Flavonoids Content (TFC)
3.5.4. Characterization of Antioxidant Capacity
3.5.5. Cytotoxic Effect on Cell Viability
4. Conclusions
Author Contributions
Funding
Institutional Review Board Statement
Informed Consent Statement
Data Availability Statement
Conflicts of Interest
References
- Malafronte, L.; Yilmaz-Turan, S.; Krona, A.; Martinez-Sanz, M.; Vilaplana, F.; Lopez-Sanchez, P. Macroalgae Suspensions Prepared by Physical Treatments: Effect of Polysaccharide Composition and Microstructure on the Rheological Properties. Food Hydrocoll. 2021, 120, 106989. [Google Scholar] [CrossRef]
- Hughes, M.H.; Fernández Severini, M.; Scodelaro Bilbao, P.G. Editorial: World’s Oceans: Opportunities and Challenges Looking under the Sea. Front. Mar. Sci. 2024, 11, 1416160. [Google Scholar] [CrossRef]
- Polat, S.; Trif, M.; Rusu, A.; Šimat, V.; Čagalj, M.; Alak, G.; Meral, R.; Özogul, Y.; Polat, A.; Özogul, F. Recent Advances in Industrial Applications of Seaweeds. Crit. Rev. Food Sci. Nutr. 2023, 63, 4979–5008. [Google Scholar] [CrossRef] [PubMed]
- Koyande, A.K.; Chew, K.W.; Manickam, S.; Chang, J.S.; Show, P.L. Emerging Algal Nanotechnology for High-Value Compounds: A Direction to Future Food Production. Trends Food Sci. Technol. 2021, 116, 290–302. [Google Scholar] [CrossRef]
- Véliz, K.; Toledo, P.; Araya, M.; Gómez, M.F.; Villalobos, V.; Tala, F. Chemical Composition and Heavy Metal Content of Chilean Seaweeds: Potential Applications of Seaweed Meal as Food and Feed Ingredients. Food Chem. 2022, 398, 133866. [Google Scholar] [CrossRef] [PubMed]
- Chekanov, K.; Litvinov, D.; Fedorenko, T.; Chivkunova, O.; Lobakova, E. Combined Production of Astaxanthin and β-Carotene in a New Strain of the Microalga Bracteacoccus aggregatus BM5/15 (IPPAS C-2045) Cultivated in Photobioreactor. Biology 2021, 10, 643. [Google Scholar] [CrossRef] [PubMed]
- Pereira, L. Macroalgae. Encyclopedia 2021, 1, 177–188. [Google Scholar] [CrossRef]
- Rapoport, A.; Guzhova, I.; Bernetti, L.; Buzzini, P.; Kieliszek, M.; Kot, A.M. Carotenoids and Some Other Pigments from Fungi and Yeasts. Metabolites 2021, 11, 92. [Google Scholar] [CrossRef]
- Prabhu, M.S.; Israel, A.; Palatnik, R.R.; Zilberman, D.; Golberg, A. Integrated Biorefinery Process for Sustainable Fractionation of Ulva Ohnoi (Chlorophyta): Process Optimization and Revenue Analysis. J. Appl. Phycol. 2020, 32, 2271–2282. [Google Scholar] [CrossRef]
- Nardelli, A.E.; Visch, W.; Wright, J.T.; Hurd, C.L. Concise Review of Genus Lessonia bory. J. Appl. Phycol. 2023, 35, 1485–1498. [Google Scholar] [CrossRef]
- Buschmann, A.H.; Carmen Hernández-González, M.; Aroca, G.; Gutierrez, A. Seaweed Farming in Chile: A Review. Global Aquaculture Advocate. Available online: https://www.globalseafood.org/advocate/seaweed-farming-in-chile-a-review/ (accessed on 3 September 2025).
- Tagliapietra, B.L.; Clerici, M.T.P.S. Brown Algae and Their Multiple Applications as Functional Ingredient in Food Production. Food Res. Int. 2023, 167, 112655. [Google Scholar] [CrossRef] [PubMed]
- Ghallab, D.S.; Ibrahim, R.S.; Mohyeldin, M.M.; Shawky, E. Marine Algae: A Treasure Trove of Bioactive Anti-Inflammatory Compounds. Mar. Pollut. Bull. 2024, 199, 116023. [Google Scholar] [CrossRef] [PubMed]
- Rajendra Prasad, A.; Shankar, R.; Patil, C.K.; Karthick, A.; Kumar, A.; Rahim, R. Performance Enhancement of Solar Photovoltaic System for Roof Top Garden. Environ. Sci. Pollut. Res. 2021, 28, 50017–50027. [Google Scholar] [CrossRef] [PubMed]
- Priya, A.; Anusha, G.; Thanigaivel, S.; Karthick, A.; Mohanavel, V.; Velmurugan, P.; Balasubramanian, B.; Ravichandran, M.; Kamyab, H.; Kirpichnikova, I.M.; et al. Removing Microplastics from Wastewater Using Leading-Edge Treatment Technologies: A Solution to Microplastic Pollution—A Review. Bioprocess. Biosyst. Eng. 2023, 46, 309–321. [Google Scholar] [CrossRef]
- Remya, R.R.; Samrot, A.V.; Kumar, S.S.; Mohanavel, V.; Karthick, A.; Chinnaiyan, V.K.; Umapathy, D.; Muhibbullah, M. Bioactive Potential of Brown algae. Adsorpt. Sci. Technol. 2022, 2022, 9104835. [Google Scholar] [CrossRef]
- Aminina, N.M.; Karaulova, E.P.; Vishnevskaya, T.I.; Yakush, E.V.; Kim, Y.K.; Nam, K.H.; Son, K.T. Characteristics of Polyphenolic Content in Brown Algae of the Pacific Coast of Russia. Molecules 2020, 25, 3909. [Google Scholar] [CrossRef]
- Galasso, C.; Gentile, A.; Orefice, I.; Ianora, A.; Bruno, A.; Noonan, D.M.; Sansone, C.; Albini, A.; Brunet, C. Microalgal Derivatives as Potential Nutraceutical and Food Supplements for Human Health: A Focus on Cancer Prevention and Interception. Nutrients 2019, 11, 1226. [Google Scholar] [CrossRef] [PubMed]
- Djaeni, M.; Utari, F.D.; Sasongko, S.B.; Kumoro, A.C. Evaluation of Food Drying with Air Dehumidification System: A Short Review. IOP Conf. Ser. Earth Environ. Sci. 2018, 102, 012069. [Google Scholar] [CrossRef]
- Santos, S.d.J.L.; Canto, H.K.F.; da Silva, L.H.M.; Rodrigues, A.M.d.C. Characterization and Properties of Purple yam (Dioscorea Trifida) Powder Obtained by Refractance Window Drying. Dry. Technol. 2022, 40, 1103–1113. [Google Scholar] [CrossRef]
- Mayol, A.P.; Cruz, A.L.; Calapatia, A.; Pancho, J.A.; Peckson, N.; Sanchez, L.; Villoria, P.; Culaba, A. Investigation of the Drying Characteristics of Seaweed Using Offshore Dryer. In Proceedings of the IEEE 11th International Conference on Humanoid, Nanotechnology, Information Technology, Communication and Control, Environment, and Management (HNICEM), Laoag, Philippines, 29 November 2019–1 December 2019; pp. 1–5. [Google Scholar] [CrossRef]
- Charles, A.L.; Sridhar, K.; Alamsjah, M.A. Effect of Drying Techniques on Color and Bioactive Potential of Two Commercial Edible Indonesian Seaweed Cultivars. J. Appl. Phycol. 2020, 32, 563–572. [Google Scholar] [CrossRef]
- Mello, R.E.; Fontana, A.; Mulet, A.; Corrêa, J.L.G.; Cárcel, J.A. PEF as Pretreatment to Ultrasound-Assisted Convective Drying: Influence on Quality Parameters of Orange Peel. Innov. Food Sci. Emerg. Technol. 2021, 72, 102753. [Google Scholar] [CrossRef]
- Prakash, O.; Kumar, A. Solar Drying Technology: Concept, Design, Testing, Modeling, Economics, and Environment, 1st ed.; Prakash, O., Kumar, A., Eds.; Springer: Singapore, 2017; ISBN 978-981-10-9979-3. [Google Scholar]
- Baldán, Y.; Fernandez, A.; Urrutia, A.R.; Fabani, M.P.; Rodriguez, R.; Mazza, G. Non-Isothermal Drying of Bio-Wastes: Kinetic Analysis and Determination of Effective Moisture Diffusivity. J. Environ. Manag. 2020, 262, 110348. [Google Scholar] [CrossRef]
- Uribe, E.; Vega-Gálvez, A.; Vásquez, V.; Lemus-Mondaca, R.; Callejas, L.; Pastén, A. Hot-Air Drying Characteristics and Energetic Requirement of the Edible Brown seaweed Durvillaea Antarctica. J. Food Process Preserv. 2017, 41, e13313. [Google Scholar] [CrossRef]
- EL-Mesery, H.S. Improving the Thermal Efficiency and Energy Consumption of Convective Dryer Using Various Energy Sources for Tomato Drying. Alex. Eng. J. 2022, 61, 10245–10261. [Google Scholar] [CrossRef]
- Santhoshkumar, P.; Yoha, K.S.; Moses, J.A. Drying of Seaweed: Approaches, Challenges and Research Needs. Trends Food Sci. Technol. 2023, 138, 153–163. [Google Scholar] [CrossRef]
- Kamble, M.G.; Singh, A.; Kumar, N.; Dhenge, R.V.; Rinaldi, M.; Chinchkar, A.V. Semi-Empirical Mathematical Modeling, Energy and Exergy Analysis, and Textural Characteristics of Convectively Dried Plantain banana Slices. Foods 2022, 11, 2825. [Google Scholar] [CrossRef]
- Le Loeuff, J.; Boy, V.; Morançais, P.; Hardouin, K.; Bourgougnon, N.; Lanoisellé, J.L. Air Drying of Brown Algae Sargassum: Modelling and Recovery of Valuable Compounds. J. Appl. Phycol. 2023, 35, 1879–1892. [Google Scholar] [CrossRef]
- Gupta, S.; Cox, S.; Abu-Ghannam, N. Effect of Different Drying Temperatures on the Moisture and Phytochemical Constituents of Edible Irish Brown Seaweed. LWT 2011, 44, 1266–1272. [Google Scholar] [CrossRef]
- Abbaspour-Gilandeh, Y.; Jahanbakhshi, A.; Kaveh, M. Prediction Kinetic, Energy and Exergy of Quince under Hot Air Dryer Using ANNs and ANFIS. Food Sci. Nutr. 2020, 8, 594–611. [Google Scholar] [CrossRef] [PubMed]
- Hernández, A.; González-Moya, M.; Márquez, A.; Acevedo, L. Review Microalgae Drying: A Comprehensive Exploration from Conventional Air Drying to Microwave Drying Methods. Future Foods 2024, 10, 100420. [Google Scholar] [CrossRef]
- El-Mesery, H.S.; Farag, H.A.; Kamel, R.M.; Alshaer, W.G. Convective Hot Air Drying of Grapes: Drying Kinetics, Mathematical Modeling, Energy, Thermal Analysis. J. Therm. Anal. Calorim. 2023, 148, 6893–6908. [Google Scholar] [CrossRef]
- Zhu, X.; Healy, L.; Zhang, Z.; Maguire, J.; Sun, D.W.; Tiwari, B.K. Novel Postharvest Processing Strategies for Value-Added Applications of Marine Algae. J. Sci. Food Agric. 2021, 101, 4444–4455. [Google Scholar] [CrossRef] [PubMed]
- Moran, A.E.; Farrell, M.; Cazabon, D.; Sahoo, S.K.; Mugrditchian, D.; Pidugu, A.; Chivardi, C.; Walbaum, M.; Alemayehu, S.; Isaranuwatchai, W.; et al. Building the Health-Economic Case for Scaling up the WHO-HEARTS Hypertension Control Package in Low- and Middle-Income Countries. Rev. Panam. De. Salud Publica/Pan Am. J. Public Health 2022, 46, e140. [Google Scholar] [CrossRef]
- Xu, B.; Zhang, M.; Bhandari, B. Temperature and Quality Characteristics of Infrared Radiation-Dried Kelp at Different Peak Wavelengths. Dry. Technol. 2014, 32, 437–446. [Google Scholar] [CrossRef]
- Ijarotimi, S.O.; Keshinro, O.O. Determination of Nutrient Composition and Protein Quality of Potential Complementary Foods Formulated from the Combination of Fermented Popcorn, African locust and Bambara groundnut Seed Flour. Pol. J. Food Nutr. Sci. 2013, 63, 155–166. [Google Scholar] [CrossRef]
- Dubois, M.; Gilles, K.A.; Hamilton, J.K.; Rebers, P.A.; Smith, F. Colorimetric Method for Determination of Sugars and Related Substances. Anal. Chem. 1956, 28, 350–356. [Google Scholar] [CrossRef]
- Angell, A.R.; Mata, L.; de Nys, R.; Paul, N.A. The Protein Content of Seaweeds: A Universal Nitrogen-to-Protein Conversion Factor of Five. J. Appl. Phycol. 2016, 28, 511–524. [Google Scholar] [CrossRef]
- Asp, N.-G. Dietary Fibre-Definition, Chemistry and Analytical Determination. Mol. Asp. Med. 1987, 9, 17–29. [Google Scholar] [CrossRef]
- Chirapart, A.; Praiboon, J.; Puangsombat, P.; Pattanapon, C.; Nunraksa, N. Chemical Composition and Ethanol Production Potential of Thai seaweed Species. J. Appl. Phycol. 2014, 26, 979–986. [Google Scholar] [CrossRef]
- Vega-Gálvez, A.; Uribe, E.; Gómez-Pérez, L.S.; García, V.; Mejias, N.; Pastén, A. Drying Kinetic Modeling and Assessment of Mineral Content, Antimicrobial Activity, and Potential α-Glucosidase Activity Inhibition of a Green Seaweed (Ulva spp.) Subjected to Different Drying Methods. ACS Omega 2022, 7, 34230–34238. [Google Scholar] [CrossRef]
- Ren, Q.; Fang, J.; Zhao, Y. Prediction Method of Tangerine Peel Drying Moisture Ratio Based on KAN-BiLSTM and Multimodal Feature Fusion. Appl. Sci. 2025, 15, 6130. [Google Scholar] [CrossRef]
- Simpson, R.; Ramírez, C.; Nuñez, H.; Jaques, A.; Almonacid, S. Understanding the Success of Page’s Model and Related Empirical Equations in Fitting Experimental Data of Diffusion Phenomena in Food Matrices. Trends Food Sci. Technol. 2017, 62, 194–201. [Google Scholar] [CrossRef]
- Issis, Q.F.; Antonio, V.G.; Elsa, U.; Valeria, V.; Nicole, C.; Jacqueline, P. Vacuum Drying Application to Maqui (Aristotelia chilensis [Mol] Stuntz) Berry: Weibull Distribution for Process Modelling and Quality Parameters. J. Food Sci. Technol. 2019, 56, 1899–1908. [Google Scholar] [CrossRef] [PubMed]
- Inyang, U.E.; Oboh, I.O.; Etuk, B.R. Kinetic Models for Drying Techniques—Food Materials. Adv. Chem. Eng. Sci. 2018, 08, 27–48. [Google Scholar] [CrossRef]
- Midilli, A.; Kucuk, H. Mathematical Modeling of Thin Layer Drying of Pistachio by Using Solar Energy. Energy Convers. Manag. 2003, 44, 1111–1112. [Google Scholar] [CrossRef]
- Afolabi, T.J.; Tunde-Akintunde, T.Y.; Adeyanju, J.A. Mathematical Modeling of Drying Kinetics of Untreated and Pretreated Cocoyam Slices. J. Food Sci. Technol. 2015, 52, 2731–2740. [Google Scholar] [CrossRef]
- Wang, W.; Chen, J.; Jin, N.; Wang, H.; Wang, L.; Wu, J. Thin-Layer Drying Model, Drying Rate, and Effective Water Diffusion Coefficient of Pelleted Feed. Int. J. Chem. Eng. 2024, 2024, 7092556. [Google Scholar] [CrossRef]
- Ebiyeritei, E.W. Determination of Drying Kinetics of Periwinkle Meat (Turritella communis) by Application of Some Thin Layer Models. Agric. Eng. Int. CIGR J. 2023, 25, 196–206. [Google Scholar]
- Akpan, G.E.; Aregbesola, O.A.; Olagunju, T.M. Analysis of Drying Kinetics and Energy Consumption of Brine Pretreated Freshwater Prawn Fillets. J. Food Process Eng. 2024, 47, e14683. [Google Scholar] [CrossRef]
- Ndukwu, M.C.; Dirioha, C.; Abam, F.I.; Ihediwa, V.E. Heat and Mass Transfer Parameters in the Drying of Cocoyam Slice. Case Stud. Therm. Eng. 2017, 9, 62–71. [Google Scholar] [CrossRef]
- Olagunju, T.M.; Taiwo, K.A. Modeling and Optimization of the Grilling Process of Beef Suya. J. Food Process Preserv. 2020, 44, e14423. [Google Scholar] [CrossRef]
- Beigi, M. Energy Efficiency and Moisture Diffusivity of Apple Slices during Convective Drying. Food Sci. Technol. 2016, 36, 145–150. [Google Scholar] [CrossRef]
- Amedor, E.N.; Sarpong, F.; Bordoh, P.K.; Frimpong Boateng, E.; Owusu-Kwarteng, J. Modelling Convectional Oven Drying Characteristics and Energy Consumption of Dehydrated Yam (Dioscorea rotundata) Chips. Heliyon 2024, 10, e34672. [Google Scholar] [CrossRef]
- Ananias, R.A.; Perez, P.; Salinas, C.; Elustondo, D. Drying Schedules for Canelo Wood. Dry. Technol. 2013, 31, 282–285. [Google Scholar] [CrossRef]
- Lerman, P.; Scheepers, G. Determination of a Mass-Transfer Coefficient for Wood Drying by Means of Thermography. Wood Mater. Sci. Eng. 2023, 18, 2104–2111. [Google Scholar] [CrossRef]
- Ganesan, P.; Kumar, C.S.; Bhaskar, N. Antioxidant Properties of Methanol Extract and Its Solvent Fractions Obtained from Selected Indian Red seaweeds. Bioresour. Technol. 2008, 99, 2717–2723. [Google Scholar] [CrossRef]
- Li, B.B.; Smith, B.; Hossain, M.M. Extraction of Phenolics from Citrus Peels: I. Solvent Extraction Method. Sep. Purif. Technol. 2006, 48, 182–188. [Google Scholar] [CrossRef]
- Rafi, M.; Febriany, S.; Wulandari, P.; Suparto, I.H.; Ridwan, T.; Rahayu, S.; Siswoyo, D.M. Total Phenolics, Flavonoids, and Anthocyanin Contents of Six vireya rhododendron from Indonesia and Evaluation of Their Antioxidant Activities. J. Appl. Pharm. Sci. 2018, 8, 49–54. [Google Scholar] [CrossRef]
- Osório, C.; Machado, S.; Peixoto, J.; Bessada, S.; Pimentel, F.B.; Alves, R.C.; Oliveira, M.B.P.P. Pigments Content (Chlorophylls, Fucoxanthin and Phycobiliproteins) of Different Commercial Dried Algae. Separations 2020, 7, 33. [Google Scholar] [CrossRef]
- Alzagameem, A.; Khaldi-Hansen, B.E.; Büchner, D.; Larkins, M.; Kamm, B.; Witzleben, S.; Schulze, M. Lignocellulosic Biomass as Source for Lignin-Based Environmentally Benign Antioxidants. Molecules 2018, 23, 2664. [Google Scholar] [CrossRef] [PubMed]
- Sandoval-Bórquez, A.; Polakovicova, I.; Carrasco-Véliz, N.; Lobos-González, L.; Riquelme, I.; Carrasco-Avino, G.; Bizama, C.; Norero, E.; Owen, G.I.; Roa, J.C.; et al. MicroRNA-335-5p Is a Potential Suppressor of Metastasis and Invasion in Gastric Cancer. Clin. Epigenetics 2017, 9, 114. [Google Scholar] [CrossRef] [PubMed]
- Lin, Q.; Zong, X.; Lin, H.; Huang, X.; Wang, J.; Nie, S. Based on Quality, Energy Consumption Selecting Optimal Drying Methods of Mango Slices and Kinetics Modelling. Food Chem. X 2023, 17, 100600. [Google Scholar] [CrossRef] [PubMed]
- Okonkwo, C.E.; Moses, O.I.; Nwonuma, C.; Abiola, T.; Benjamin, B.O.; Folorunsho, J.O.; Olaniran, A.F.; Pan, Z. Infrared and Microwave as a Dry Blanching Tool for Irish Potato: Product Quality, Cell Integrity, and Artificial Neural Networks (ANNs) Modeling of Enzyme Inactivation Kinetic. Innov. Food Sci. Emerg. Technol. 2022, 78, 103010. [Google Scholar] [CrossRef]
- López, G.G.; Brousse, M.M.; Linares, A.R. Kinetic Modelling of Total Phenolic Compounds from Ilex Paraguariensis (St. Hil.) Leaves: Conventional and Ultrasound Assisted Extraction. Food Bioprod. Process. 2023, 139, 75–88. [Google Scholar] [CrossRef]
- Serafin, J.; Dziejarski, B. Application of Isotherms Models and Error Functions in Activated Carbon CO2 Sorption Processes. Microporous Mesoporous Mater. 2023, 354, 112513. [Google Scholar] [CrossRef]
- Spiess, A.-N.; Neumeyer, N. An Evaluation of R2 as an Inadequate Measure for Nonlinear Models in Pharmacological and Biochemical Research: A Monte Carlo Approach. BMC Pharmacol. 2010, 10, 6. [Google Scholar] [CrossRef]
- Pardilhó, S.; Cotas, J.; Pereira, L.; Oliveira, M.B.; Dias, J.M. Marine Macroalgae in a Circular Economy Context: A Comprehensive Analysis Focused on Residual Biomass. Biotechnol. Adv. 2022, 60, 107987. [Google Scholar] [CrossRef] [PubMed]
- Zhang, Y.; Hawboldt, K.; MacQuarrie, S. Extraction of Bioactive Compounds from Beach-Cast Brown Algae: A Review on Accelerated Solvent Extraction and Subcritical Water Extraction. RSC Sustain. 2024, 2, 2069–2091. [Google Scholar] [CrossRef]
- Saji, S.; Hebden, A.; Goswami, P.; Du, C. A Brief Review on the Development of Alginate Extraction Process and Its Sustainability. Sustainability 2022, 14, 5181. [Google Scholar] [CrossRef]
- Silva, A.; Rodrigues, C.; Garcia-Oliveira, P.; Lourenço-Lopes, C.; Silva, S.A.; Garcia-Perez, P.; Carvalho, A.P.; Domingues, V.F.; Barroso, M.F.; Delerue-Matos, C.; et al. Screening of Bioactive Properties in Brown algae from the Northwest Iberian Peninsula. Foods 2021, 10, 1915. [Google Scholar] [CrossRef]
- Aljabri, H.; Cherif, M.; Siddiqui, S.A.; Bounnit, T.; Saadaoui, I. Evidence of the Drying Technique’s Impact on the Biomass Quality of Tetraselmis subcordiformis (Chlorophyceae). Biotechnol. Biofuels Bioprod. 2023, 16, 85. [Google Scholar] [CrossRef] [PubMed]
- Fontana, A.J. D: Minimum Water Activity Limits for Growth of Microorganisms. In Water Activity in Foods: Fundamentals and Applications; John Wiley & Sons: Hoboken, NJ, USA, 2020; pp. 571–572. [Google Scholar] [CrossRef]
- Makkar, H.P.S.; Tran, G.; Heuzé, V.; Giger-Reverdin, S.; Lessire, M.; Lebas, F.; Ankers, P. Seaweeds for Livestock Diets: A Review. Anim. Feed. Sci. Technol. 2016, 212, 1–17. [Google Scholar] [CrossRef]
- Dhandwal, A.; Bashir, O.; Malik, T.; Salve, R.V.; Dash, K.K.; Amin, T.; Shams, R.; Wani, A.W.; Shah, Y.A. Sustainable Microalgal Biomass as a Potential Functional Food and Its Applications in Food Industry: A Comprehensive Review. Environ. Sci. Pollut. Res. 2025, 32, 19110–19128. [Google Scholar] [CrossRef]
- Peñalver, R.; Lorenzo, J.M.; Ros, G.; Amarowicz, R.; Pateiro, M.; Nieto, G. Seaweeds as a Functional Ingredient for a Healthy Diet. Mar. Drugs 2020, 18, 301. [Google Scholar] [CrossRef] [PubMed]
- Kasimala, M.; Tsighe, N.; Kasimala, M.B.; Mebrahtu, L.; Mehari, A. Proximate Composition of Three Abundant Species of Seaweeds from Red Sea Coast in Massawa, Eritrea. J. Algal Biomass Util. 2017, 8, 44–49. [Google Scholar]
- Martínez–Hernández, G.B.; Castillejo, N.; Carrión–Monteagudo, M.d.M.; Artés, F.; Artés-Hernández, F. Nutritional and Bioactive Compounds of Commercialized Algae Powders Used as Food Supplements. Food Sci. Technol. Int. 2018, 24, 172–182. [Google Scholar] [CrossRef]
- Henchion, M.; Hayes, M.; Mullen, A.M.; Fenelon, M.; Tiwari, B. Future Protein Supply and Demand: Strategies and Factors Influencing a Sustainable Equilibrium. Foods 2017, 6, 53. [Google Scholar] [CrossRef]
- Olsson, J.; Toth, G.B.; Albers, E. Biochemical Composition of Red, Green and Brown Seaweeds on the Swedish West Coast. J. Appl. Phycol. 2020, 32, 3305–3317. [Google Scholar] [CrossRef]
- Neto, R.T.; Marçal, C.; Queirós, A.S.; Abreu, H.; Silva, A.M.S.; Cardoso, S.M. Screening of Ulva rigida, Gracilaria sp., Fucus Vesiculosus and Saccharina latissima as Functional Ingredients. Int. J. Mol. Sci. 2018, 19, 2987. [Google Scholar] [CrossRef]
- Sappati, P.K.; Nayak, B.; VanWalsum, G.P.; Mulrey, O.T. Combined Effects of Seasonal Variation and Drying Methods on the Physicochemical Properties and Antioxidant Activity of Sugar Kelp (Saccharina latissima). J. Appl. Phycol. 2019, 31, 1311–1332. [Google Scholar] [CrossRef]
- Elhassaneen, Y.; ELBassouny, G.; Emam, O.; Alsobky, F.A. Brown Algae Is a Natural Source Rich in Nutrients and Bioactive Compounds: Application in Balady Bread. Am. J. Food Sci. Technol. 2024, 12, 120–132. [Google Scholar] [CrossRef]
- Nakhate, P.; van der Meer, Y. A Systematic Review on Seaweed Functionality: A Sustainable Bio-Based Material. Sustainability 2021, 13, 6174. [Google Scholar] [CrossRef]
- Akter, A.; Sobuj, M.K.A.; Islam, M.S.; Chakroborty, K.; Tasnim, N.; Ayon, M.H.; Hossain, M.F.; Rafiquzzaman, S.M. Seaweed Polysaccharides: Sources, Structure and Biomedical Applications with Special Emphasis on Antiviral Potentials. Future Foods 2024, 10, 100440. [Google Scholar] [CrossRef]
- Olanipekun, B.F.; Tunde-Akintunde, T.Y.; Oyelade, O.J.; Adebisi, M.G.; Adenaya, T.A. Mathematical Modeling of Thin-Layer Pineapple Drying. J. Food Process Preserv. 2015, 39, 1431–1441. [Google Scholar] [CrossRef]
- Le Loeuff, J.; Boy, V.; Morançais, P.; Colinart, T.; Bourgougnon, N.; Lanoisellé, J.L. Mathematical Modeling of Air Impingement Drying of the Brown Algae Sargassum muticum (Fucales). Chem. Eng. Technol. 2021, 44, 2073–2081. [Google Scholar] [CrossRef]
- Lemus-Mondaca, R.; Vega-Gálvez, A.; Moraga, N.O.; Astudillo, S. Dehydration of Stevia rebaudiana Bertoni Leaves: Kinetics, Modeling and Energy Features. J. Food Process Preserv. 2015, 39, 508–520. [Google Scholar] [CrossRef]
- Kadam, S.U.; Tiwari, B.K.; O’Donnell, C.P. Effect of Ultrasound Pre-Treatment on the Drying Kinetics of Brown Seaweed Ascophyllum nodosum. Ultrason. Sonochem. 2015, 23, 302–307. [Google Scholar] [CrossRef]
- Sørensen, J.S.; Rugh van Reeuwijk, S.; Bartle, R.S.; Hansen, L.T. Inactivation of Salmonella typhimurium During Low Heat Convection Drying of Winged Kelp (Alaria Esculenta). LWT 2023, 182, 114822. [Google Scholar] [CrossRef]
- Xiao, H.W.; Pang, C.L.; Wang, L.H.; Bai, J.W.; Yang, W.X.; Gao, Z.J. Drying Kinetics and Quality of Monukka Seedless Grapes Dried in an Air-Impingement Jet Dryer. Biosyst. Eng. 2010, 105, 233–240. [Google Scholar] [CrossRef]
- Erbay, Z.; Icier, F. A Review of Thin Layer Drying of Foods: Theory, Modeling, and Experimental Results. Crit. Rev. Food Sci. Nutr. 2010, 50, 441–464. [Google Scholar] [CrossRef]
- Simioni, T.; Quadri, M.B.; Derner, R.B. Drying of Scenedesmus obliquus: Experimental and Modeling Study. Algal Res. 2019, 39, 101428. [Google Scholar] [CrossRef]
- Doymaz, I.; Özdemir, Ö. Effect of Air Temperature, Slice Thickness and Pretreatment on Drying and Rehydration of Tomato. Int. J. Food Sci. Technol. 2014, 49, 558–564. [Google Scholar] [CrossRef]
- Arufe-Vilas, S.; Sineiro, J.; Chenlo, F.; Moreira, R. Convective Air Drying of Brown Seaweed Bifurcaria bifurcata in Thin Layer Configuration. In Proceedings of the 21st International Drying Symposium, Valencia, Spain, 11–14 September 2018. [Google Scholar] [CrossRef]
- Walker, C.; Cole, A.; Antunes, E.; Sheehan, M. Equilibrium Moisture and Drying Kinetics Modelling of Macroalgae Species Ulva ohnoi and Oedogonium intermedium. Clean. Technol. 2020, 2, 225–239. [Google Scholar] [CrossRef]
- Viswanathan, T.; Mani, S.; Das, K.C.; Chinnasamy, S.; Bhatnagar, A. Drying Characteristics of a Microalgae Consortium Developed for Biofuels Production. Trans. ASABE 2011, 54, 2245–2252. [Google Scholar] [CrossRef]
- Nwakuba, N.R.; Asoegwu, S.N.; Nwaigwe, K.N. Energy Requirements for Drying of Sliced Agricultural Products: A Review. Agric. Eng. Int. CIGR J. 2016, 18, 144–155. [Google Scholar]
- Kaveh, M.; Abbaspour-Gilandeh, Y. Drying Characteristics, Specific Energy Consumption, Qualitative Properties, Total Phenol Compounds, and Antioxidant Activity During Hybrid Hot Air-Microwave-Rotary Drum Drying of Green Pea. Iran. J. Chem. Chem. Eng. 2022, 41, 652–669. [Google Scholar] [CrossRef]
- Pradana, G.B.; Prabowo, K.B.; Hastuti, R.P.; Djaeni, M.; Prasetyaningrum, A. Seaweed Drying Process Using Tray Dryer with Dehumidified Air System to Increase Efficiency of Energy and Quality Product. IOP Conf. Ser. Earth Environ. Sci. 2019, 292, 012070. [Google Scholar] [CrossRef]
- Golpour, I.; Guiné, R.P.F.; Poncet, S.; Golpour, H.; Amiri Chayjan, R.; Amiri Parian, J. Evaluating the Heat and Mass Transfer Effective Coefficients during the Convective Drying Process of Paddy (Oryza sativa L.). J. Food Process Eng. 2021, 44, e13771. [Google Scholar] [CrossRef]
- Jimenez-Lopez, C.; Pereira, A.G.; Lourenço-Lopes, C.; Garcia-Oliveira, P.; Cassani, L.; Fraga-Corral, M.; Prieto, M.A.; Simal-Gandara, J. Main Bioactive Phenolic Compounds in Marine algae and Their Mechanisms of Action Supporting Potential Health Benefits. Food Chem. 2021, 341, 128262. [Google Scholar] [CrossRef]
- Qu, W.; Pan, Z.; Ma, H. Extraction Modeling and Activities of Antioxidants from Pomegranate Marc. J. Food Eng. 2010, 99, 16–23. [Google Scholar] [CrossRef]
- Connan, S.; Delisle, F.; Deslandes, E.; Ar Gall, E. Intra-Thallus Phlorotannin Content and Antioxidant Activity in Phaeophyceae of Temperate Waters. Bot. Mar. 2006, 49, 39–46. [Google Scholar] [CrossRef]
- Lomartire, S.; Cotas, J.; Pacheco, D.; Marques, J.C.; Pereira, L.; Gonçalves, A.M.M. Environmental Impact on Seaweed Phenolic Production and Activity: An Important Step for Compound Exploitation. Mar. Drugs 2021, 19, 245. [Google Scholar] [CrossRef] [PubMed]
- Torres, P.; Osaki, S.; Silveira, E.; dos Santos, D.Y.A.C.; Chow, F. Comprehensive Evaluation of Folin-Ciocalteu Assay for Total Phenolic Quantification in Algae (Chlorophyta, Phaeophyceae, and Rhodophyta). Algal Res. 2024, 80, 103503. [Google Scholar] [CrossRef]
- Dang, T.T.; Van Vuong, Q.; Schreider, M.J.; Bowyer, M.C.; Altena, I.A.V.; Scarlett, C.J. The Effects of Drying on Physico-Chemical Properties and Antioxidant Capacity of the Brown Alga (Hormosira banksii (Turner) decaisne). J. Food Process Preserv. 2017, 41, e13025. [Google Scholar] [CrossRef]
- Sobuj, M.K.A.; Islam, M.A.; Islam, M.S.; Islam, M.M.; Mahmud, Y.; Rafiquzzaman, S.M. Effect of Solvents on Bioactive Compounds and Antioxidant Activity of Padina tetrastromatica and Gracilaria tenuistipitata Seaweeds Collected from Bangladesh. Sci. Rep. 2021, 11, 19082. [Google Scholar] [CrossRef]
- Mekinić, I.G.; Skroza, D.; Šimat, V.; Hamed, I.; Čagalj, M.; Perković, Z.P. Phenolic Content of Brown Algae (Pheophyceae) Species: Extraction, Identification, and Quantification. Biomolecules 2019, 9, 244. [Google Scholar] [CrossRef]
- 112. Kanda, H.; Kamo, Y.; Machmudah, S.; Wahyudiono; Goto, M. Extraction of Fucoxanthin from Raw Macroalgae Excluding Drying and Cell Wall Disruption by Liquefied Dimethyl Ether. Mar. Drugs 2014, 12, 2383–2396. [Google Scholar] [CrossRef]
- Maeda, H.; Fukuda, S.; Izumi, H.; Saga, N. Anti-Oxidant and Fucoxanthin Contents of Brown Alga Ishimozuku (Sphaerotrichia divaricata) from the West Coast of Aomori, Japan. Mar. Drugs 2018, 16, 255. [Google Scholar] [CrossRef]
- Savira, A.D.; Amin, M.N.; Alamsjah, M.A. The Effect of Different Type of Solvents on the Antioxidant Activity of Fucoxanthin Extract from Brown Seaweed Sargassum duplicatum. IOP Conf. Ser. Earth Environ. Sci. 2021, 718, 012010. [Google Scholar] [CrossRef]
- Xia, S.; Wang, K.; Wan, L.; Li, A.; Hu, Q.; Zhang, C. Production, Characterization, and Antioxidant Activity of Fucoxanthin from the Marine Diatom Odontella aurita. Mar. Drugs 2013, 11, 2667–2681. [Google Scholar] [CrossRef]
- Nie, J.; Chen, D.; Lu, Y.; Dai, Z. Effects of Various Blanching Methods on Fucoxanthin Degradation Kinetics, Antioxidant Activity, Pigment Composition, and Sensory Quality of Sargassum fusiforme. LWT 2021, 143, 111179. [Google Scholar] [CrossRef]
- Priecina, L.; Karklina, D.; Kince, T. The Impact of Steam-Blanching and Dehydration on Phenolic, Organic Acid Composition, and Total Carotenoids in Celery Roots. Innov. Food Sci. Emerg. Technol. 2018, 49, 192–201. [Google Scholar] [CrossRef]
- Di Valentin, M.; Meneghin, E.; Orian, L.; Polimeno, A.; Büchel, C.; Salvadori, E.; Kay, C.W.M.; Carbonera, D. Triplet-Triplet Energy Transfer in Fucoxanthin-Chlorophyll Protein from Diatom Cyclotella meneghiniana: Insights into the Structure of the Complex. Biochim. Biophys. Acta Bioenerg. 2013, 1827, 1226–1234. [Google Scholar] [CrossRef]
- Wang, J.; Yang, X.H.; Mujumdar, A.S.; Fang, X.M.; Zhang, Q.; Zheng, Z.A.; Gao, Z.J.; Xiao, H.W. Effects of High-Humidity Hot Air Impingement Blanching (HHAIB) Pretreatment on the Change of Antioxidant Capacity, the Degradation Kinetics of Red Pigment, Ascorbic Acid in Dehydrated Red Peppers during Storage. Food Chem. 2018, 259, 65–72. [Google Scholar] [CrossRef]
- Adarshan, S.; Sree, V.S.S.; Muthuramalingam, P.; Nambiar, K.S.; Sevanan, M.; Satish, L.; Venkidasamy, B.; Jeelani, P.G.; Shin, H. Understanding Macroalgae: A Comprehensive Exploration of Nutraceutical, Pharmaceutical, and Omics Dimensions. Plants 2024, 13, 113. [Google Scholar] [CrossRef]
- Dong, J.; Li, S.; Zhang, J.; Liu, A.; Ren, J. Thermal Degradation of Cyanidin-3-O-Glucoside: Mechanism and Toxicity of Products. Food Chem. 2022, 370, 131018. [Google Scholar] [CrossRef] [PubMed]
- Ummat, V.; Sivagnanam, S.P.; Rai, D.K.; O’Donnell, C.; Conway, G.E.; Heffernan, S.M.; Fitzpatrick, S.; Lyons, H.; Curtin, J.; Tiwari, B.K. Conventional Extraction of Fucoidan from Irish Brown Seaweed Fucus vesiculosus Followed by Ultrasound-Assisted Depolymerization. Sci. Rep. 2024, 14, 6214. [Google Scholar] [CrossRef] [PubMed]
- Nunes, A.; Dutra, F.d.S.; Brito, S.d.N.S.; Pereira-Vasques, M.S.; Azevedo, G.Z.; Schneider, A.R.; Oliveira, E.R.; dos Santos, A.A.; Maraschin, M.; Vianello, F.; et al. Effect of Biomass Drying Protocols on Bioactive Compounds and Antioxidant and Enzymatic Activities of Red Macroalga Kappaphycus alvarezii. Methods Protoc. 2024, 7, 88. [Google Scholar] [CrossRef] [PubMed]
- Baek, S.H.; Cao, L.; Jeong, S.J.; Kim, H.R.; Nam, T.J.; Lee, S.G. The Comparison of Total Phenolics, Total Antioxidant, and Anti-Tyrosinase Activities of Korean Sargassum Species. J. Food Qual. 2021, 2021, 6640789. [Google Scholar] [CrossRef]




| Model Name | Mathematical Expression | Reference |
|---|---|---|
| Page | MR = exp (−k tn) | [45] |
| Weibull | MR = exp [−(t/β) α] | [46] |
| Wang and Singh | MR = a t2 + b t + 1 | [47] |
| Henderson and Pabis | MR = n exp (−k t) | [47] |
| Midilli–Kucuk | MR = a exp (−k tn) + b t | [48] |
| Logarithmic | MR = a exp (−k t) + c | [49] |
| Verma | MR = a exp (−k t) + (1−a) exp (−c t) | [50] |
| Verma modified | MR = a exp (−b tn) + (1−a) exp (−c tn) | [50] |
| Parameters (g/100 g Wet Matter) | Fresh * | Temperature (°C) | ||
|---|---|---|---|---|
| 30 °C | 40 °C | 50 °C | ||
| Moisture | 87.5 ± 0.03 a | 14.28 ± 0.13 b | 11.92 ± 0.07 c | 9.1 ± 0.02 d |
| Lipid | 0.19 ± 0.09 a | 1.38 ± 0.05 c | 1.7 ± 0.06 b | 1.31 ± 0.01 c |
| Protein | 1.72 ± 0.25 b | 13.21 ± 0.01 b | 13.16 ± 0.06 b | 14.48 ± 0.67 a |
| Ash | 1.81 ± 0.01 a | 11.16 ± 0.02 c | 11.16 ± 0.02 c | 12.94 ± 0.01 b |
| Total dietary fiber | 8.71 ± 3.65 a | 59.8 ± 0.16 b | 61.32 ± 0.90 b | 62.35 ± 0.48 b |
| Available carbohydrates | 0.23 ± 0.01 c | 0.18 ± 0.10 c | 1.5 ± 0.17 a | 1.02 ± 0.24 b |
| Temperature | Models | Parameters | R2 | SSE | RMSE | χ2 | AICc |
|---|---|---|---|---|---|---|---|
| 30 °C | Page | n = 1.350, k = 0.007 | 0.998 | 0.998 | 0.008 | 1.053 | −62.387 |
| Weibull | α = 1.350, β = 37.696 | 0.998 | 0.998 | 0.008 | 1.053 | −62.379 | |
| Wang-Singh | a = 0.0001, b = −0.019 | 0.998 | 1.029 | 0.027 | 1.086 | −54.089 | |
| Henderson and Pabis | n = 1.0572, k = 0.0257 | 0.995 | 1.077 | 0.053 | 1.137 | −80.657 | |
| Midilli–Kucuk | a = 0.993, k = 0.009, n = 1.264, b = 0.0001 | 0.999 | 0.001 | 0.0005 | 0.00004 | −130.119 | |
| Logarithmic | a = 1.106, k = 0.023, c = −0.054 | 0.999 | 0.008 | 0.022 | 0.0009 | −87.091 | |
| Verma | a = 2.002, k = 0.035, c = 0.055 | 0.999 | 0.001 | 0.006 | 0.00004 | −119.262 | |
| Verma modified | a = 4.240, b = 0.039, c = 0.046, n = 1.000 | 0.999 | 0.001 | 0.007 | 0.00004 | −100.971 | |
| 40 °C | Page | n = 1.276, k = 0.019 | 0.976 | 0.992 | 0.025 | 1.063 | −56.661 |
| Weibull | α = 1.276, β = 22.149 | 0.976 | 0.992 | 0.025 | 1.063 | −55.063 | |
| Wang-Singh | a = 0.0002, b = −0.0281 | 0.986 | 0.726 | 0.181 | 1.181 | −41.230 | |
| Henderson and Pabis | n = 1.576, k = 0.070 | 0.938 | 0.930 | 0.049 | 0.996 | −6.741 | |
| Midilli–Kucuk | a = 0.989, k = 0.020, n = 1.225, b = 0.0002 | 0.999 | 0.002 | 0.012 | 0.0002 | −81.686 | |
| Logarithmic | a = 1.040, k = 0.041, c = −0.016 | 0.995 | 0.007 | 0.024 | 0.09160 | −64.566 | |
| Verma | a = 2.269, k = 0.059, c = 0.082 | 0.998 | 0.002 | 0.014 | 0.08352 | −80.896 | |
| Verma modified | a = 3.830, b = 0.063, c = 0.075, n = 0.998 | 0.998 | 0.002 | 0.014 | 0.09112 | −76.935 | |
| 50 °C | Page | n = 1.328, k: 0.024 | 0.975 | 0.993 | 0.020 | 1.083 | −66.495 |
| Weibull | α = 1.328, β: 16.588 | 0.975 | 0.993 | 0.020 | 1.083 | −66.554 | |
| Wang-Singh | a = 0.0003, b: −0.0379 | 0.978 | 0.082 | 0.082 | 0.949 | −11.118 | |
| Henderson and Pabis | n = 1.0352, k: 0.0732 | 0.975 | 0.968 | 0.031 | 1.056 | −46.066 | |
| Midilli–Kucuk | a = 0.996, k = 0.027, n = 1.270, b = 0.00001 | 0.999 | 0.001 | 0.007 | 0.00010 | −78.478 | |
| Logarithmic | a = 1.058, k = 0.058, c = −0.032 | 0.995 | 0.006 | 0.026 | 0.11190 | −47.598 | |
| Verma | a = 6.467, k = 0.102, c = 0.115 | 0.999 | 0.001 | 0.008 | 0.12506 | −77.456 | |
| Verma modified | a = 4.378, b = 0.034, c = 0.031, n = 1.083 | 0.998 | 0.002 | 0.016 | 0.12525 | −55.915 |
| Energy Supplied by Heating | Energy Absorbed by Air | Energy Lost in Air Heating | Energy Efficiency Air Heating | Energy for Water Evaporation | Energy for Water Remotion | Energy Lost to Environment | SEC | Total Cost of Energy * | OTE | |
|---|---|---|---|---|---|---|---|---|---|---|
| T (°C) | Qavailable (kWh) | Qair (kWh) | Qlost, a.h (kWh) | (%) | Qwater (kWh) | (%) | Qtotal lost (kWh) | Qspecific (kWh/kg) | USD/kg | (%) |
| 30 | 3.05 | 1.72 | 1.33 | 56.44 | 1.49 | 86.35 | 1.57 | 25.24 | 5.37 | 48.73 |
| 40 | 2.79 | 2.12 | 0.67 | 75.95 | 0.84 | 39.74 | 1.95 | 22.60 | 6.47 | 30.19 |
| 50 | 2.28 | 2.23 | 0.05 | 97.86 | 0.60 | 26.78 | 1.69 | 18.29 | 7.20 | 26.21 |
| Temperatures (°C) | ||||
|---|---|---|---|---|
| Analysis | Fresh | 30 | 40 | 50 |
| TPC (mg EGA/100 g d.m.) | 1245.87 ± 24.21 a | 702.58 ± 8.13 b | 801.73 ± 4.51 b | 729.81 ± 4.76 b |
| TFC (mg EQ/100 g d.m.) | 37.60 ± 3.59 c | 83.14 ± 0.88 b | 109.24 ± 8.32 a | 92.13 ± 7.23 b |
| CT (µg/100 mL d.m.) | 561.82 ± 43.71 a | 45.75 ± 0.03 b | 35.33 ± 0.31 b | 77.58 ± 4.04 b |
| FC (µg/100 mL d.m.) | 0.55 ± 0.02 d | 1.69 ± 0.02 b | 1.53 ± 0.01 c | 2.24 ± 0.05 a |
| AC (% of inhibition) | 76.93 ± 0.50 a | 63.80 ± 4.10 b | 59.11 ± 1.22 b | 73.73 ± 0.86 a |
Disclaimer/Publisher’s Note: The statements, opinions and data contained in all publications are solely those of the individual author(s) and contributor(s) and not of MDPI and/or the editor(s). MDPI and/or the editor(s) disclaim responsibility for any injury to people or property resulting from any ideas, methods, instructions or products referred to in the content. |
© 2025 by the authors. Licensee MDPI, Basel, Switzerland. This article is an open access article distributed under the terms and conditions of the Creative Commons Attribution (CC BY) license (https://creativecommons.org/licenses/by/4.0/).
Share and Cite
Pizarro-Oteíza, S.; Cea, R.; Aranda, M.; López, J.; Macaya, E.; Salazar, F.; Cavieres, O.; Sandoval-Bórquez, A.; Lemus-Mondaca, R.; Abarca, R.L.; et al. Convective Drying of Brown Seaweed (Lessonia spicata): Modeling, Energy Efficiency, and Impact on Bioactive Compounds and Functional Properties. Foods 2025, 14, 4011. https://doi.org/10.3390/foods14234011
Pizarro-Oteíza S, Cea R, Aranda M, López J, Macaya E, Salazar F, Cavieres O, Sandoval-Bórquez A, Lemus-Mondaca R, Abarca RL, et al. Convective Drying of Brown Seaweed (Lessonia spicata): Modeling, Energy Efficiency, and Impact on Bioactive Compounds and Functional Properties. Foods. 2025; 14(23):4011. https://doi.org/10.3390/foods14234011
Chicago/Turabian StylePizarro-Oteíza, Sebastián, Romina Cea, Millaray Aranda, Jéssica López, Erasmo Macaya, Fernando Salazar, Oscar Cavieres, Alejandra Sandoval-Bórquez, Roberto Lemus-Mondaca, Romina L. Abarca, and et al. 2025. "Convective Drying of Brown Seaweed (Lessonia spicata): Modeling, Energy Efficiency, and Impact on Bioactive Compounds and Functional Properties" Foods 14, no. 23: 4011. https://doi.org/10.3390/foods14234011
APA StylePizarro-Oteíza, S., Cea, R., Aranda, M., López, J., Macaya, E., Salazar, F., Cavieres, O., Sandoval-Bórquez, A., Lemus-Mondaca, R., Abarca, R. L., & Silva-Vera, W. (2025). Convective Drying of Brown Seaweed (Lessonia spicata): Modeling, Energy Efficiency, and Impact on Bioactive Compounds and Functional Properties. Foods, 14(23), 4011. https://doi.org/10.3390/foods14234011

