Impact of Pickling Pretreatment on the Meat Quality of Frozen–Thawed Freshwater Drum (Aplodinotus grunniens)
Abstract
1. Introduction
2. Materials and Methods
2.1. Sample Preparation and Salting
2.2. Determination of Freezing Characteristics
2.3. Quality Characteristics Analysis
2.3.1. Water Content and Salt Content Determination
2.3.2. Water Activity Determination
2.3.3. pH Measurement
2.3.4. Color Detection
2.3.5. Water-Holding Capacity
Thawing Loss Determination
Centrifugation Loss Determination
Cooking Loss Determination
2.3.6. Texture Profile Analysis
2.4. Low-Field Nuclear Magnetic Resonance Analysis
2.5. Muscle Histological Analysis
2.6. Myofibrillar Protein Extraction
2.7. Fluorescence Spectral Analysis
2.8. Statistical Analysis
3. Results and Discussion
3.1. Changes in Freezing Curves
3.2. Changes in Quality Characteristics
3.2.1. Changes in Water Content and Salt Content
3.2.2. Changes in Water Activity
3.2.3. Changes in pH Values
3.2.4. Changes in Color Parameter
3.2.5. Changes in Water-Holding Capacity
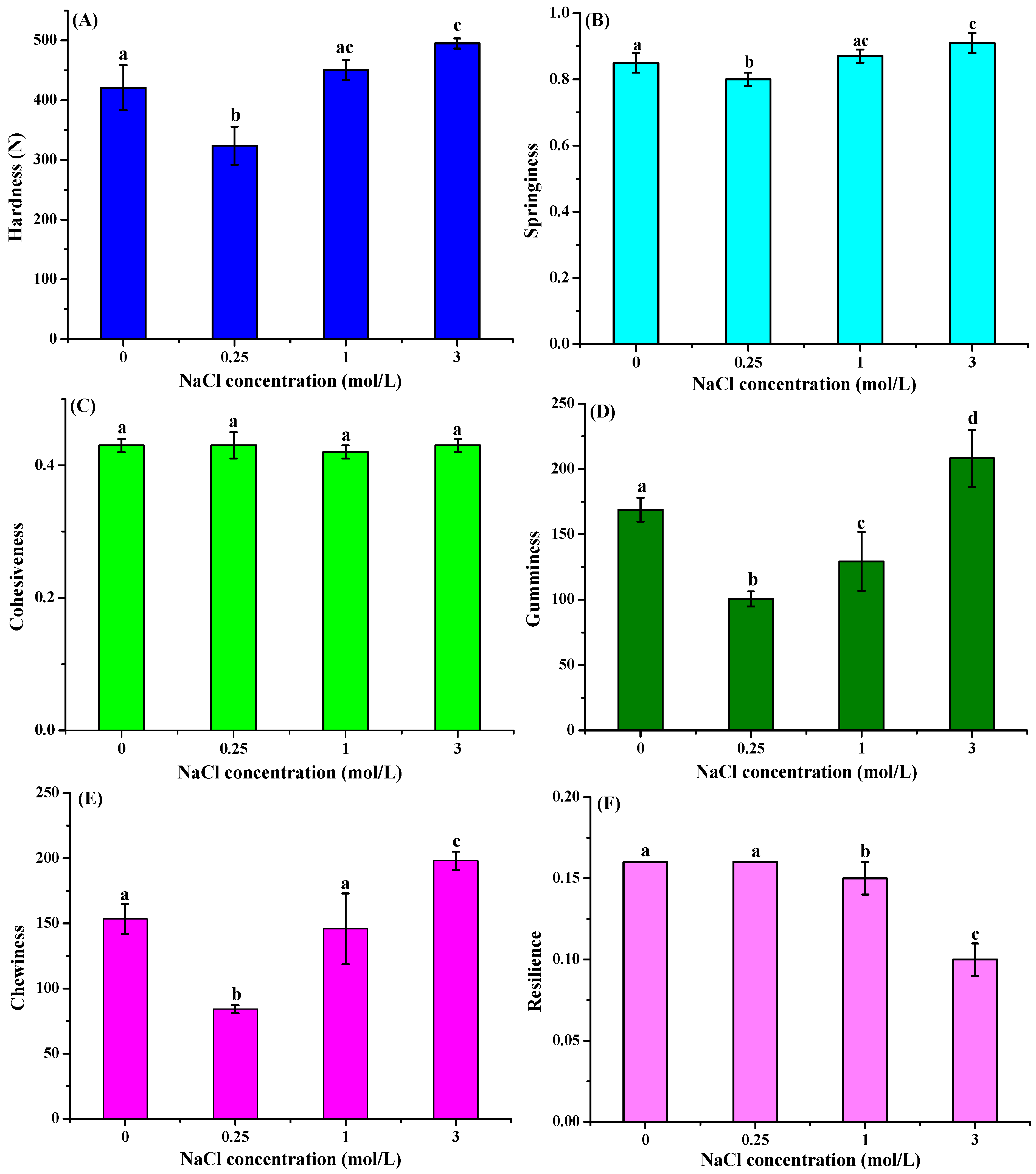
3.2.6. Changes in Texture Profile
3.3. Changes in Moisture Distribution and Proportions
3.4. Changes in Muscle Histology
3.5. Changes in Fluorescence Spectrum
4. Conclusions
Author Contributions
Funding
Institutional Review Board Statement
Informed Consent Statement
Data Availability Statement
Conflicts of Interest
References
- Hernández-Gómez, R.E.; Contreras-Sánchez, W.M.; Hernández-Franyutti, A.; Perera-García, M.A.; Torres-Martínez, A. Testicular structure and development of the male germinal epithelium in the freshwater drum Aplodinotus grunniens (Perciformes: Sciaenidae) from the Usumacinta River, Southern Mexico. Acta Zool. 2022, 103, 414–432. [Google Scholar] [CrossRef]
- Song, C.Y.; Wen, H.B.; Liu, G.X.; Ma, X.Y.; Lv, G.H.; Wu, N.Y.; Chen, J.X.; Xue, M.M.; Li, H.X.; Xu, P. Gut microbes reveal pseudomonas medicates ingestion preference via protein utilization and cellular homeostasis under feed domestication in freshwater drum, Aplodinotus grunniens. Front. Microbiol. 2022, 13, 861705. [Google Scholar] [CrossRef]
- Komolka, K.; Bochert, R.; Franz, G.P.; Kaya, Y.; Pfuhl, R.; Grunow, B. Determination and comparison of physical meat quality parameters of Percidae and Salmonidae in aquaculture. Foods 2020, 9, 388. [Google Scholar] [CrossRef]
- Jiang, Q.Q.; Du, Y.F.; Huang, S.Y.; Gu, J.H.; Shi, W.Z.; Wang, X.C.; Wang, Z.H. Physicochemical and microstructural mechanisms for quality changes in lightly salted tilapia (Oreochromis niloticus) fillets during frozen storage. J. Sci. Food Agric. 2023, 103, 308–316. [Google Scholar] [CrossRef]
- Coombs, C.E.O.; Holman, B.W.B.; Friend, M.A.; Hopkins, D.L. Long-term red meat preservation using chilled and frozen storage combinations: A review. Meat Sci. 2017, 125, 84–94. [Google Scholar] [CrossRef]
- Zhang, Y.M.; Kim, Y.H.B.; Puolanne, E.; Ertbjerg, P. Role of freezing-induced myofibrillar protein denaturation in the generation of thaw loss: A review. Meat Sci. 2022, 190, 108841. [Google Scholar] [CrossRef]
- Zhang, G.P.; Zhu, C.Y.; Walayat, N.; Nawaz, A.; Ding, Y.T.; Liu, J.H. Recent development in evaluation methods, influencing factors and control measures for freeze denaturation of food protein. Crit. Rev. Food Sci. 2023, 63, 5874–5889. [Google Scholar] [CrossRef]
- Liu, Z.L.; Yang, W.E.; Wei, H.M.; Deng, S.G.; Yu, X.X.; Huang, T. The mechanisms and applications of cryoprotectants in aquatic products: An overview. Food Chem. 2023, 408, 135202. [Google Scholar] [CrossRef] [PubMed]
- Wu, H.Y.; Sun, C.B.; Liu, N. Effects of different cryoprotectants on microemulsion freeze-drying. Innov. Food Sci. Emerg. 2019, 54, 28–33. [Google Scholar] [CrossRef]
- Yatmaz, H.A.; Gokoglu, N. Effects of cryoprotectants on the physicochemical properties of Bonito (Sarda sarda) fillets subjected to multiple freeze-thaw cycles. J. Aquat. Food Prod. Technol. 2024, 33, 823–835. [Google Scholar] [CrossRef]
- Li, C.; Shi, J.Y.; Zhou, C.G.; Huang, X.W.; Zhai, X.D.; Yang, Z.K.; Li, Z.H.; Hu, X.T.; Li, Y.X.; Xiao, J.B.; et al. Effects of sodium chloride substitutes on physicochemical properties of salted beef. Food Chem. X 2023, 20, 100885. [Google Scholar] [CrossRef]
- Yao, Y.; Han, R.; Li, F.; Tang, J.M.; Jiao, Y. Mass transfer enhancement of tuna brining with different NaCl concentrations assisted by ultrasound. Ultrason. Sonochem. 2022, 85, 105989. [Google Scholar] [CrossRef] [PubMed]
- Jiang, Q.Q.; Nakazawa, N.; Hu, Y.Q.; Osako, K.; Okazaki, E. Microstructural modification and its effect on the quality attributes of frozen-thawed bigeye tuna (Thunnus obesus) meat during salting. Lwt-Food Sci. Technol. 2019, 100, 213–219. [Google Scholar] [CrossRef]
- Cheng, H.; Jung, E.Y.; Song, S.; Kim, G.D. Effect of freezing raw meat on the physicochemical characteristics of beef jerky. Meat Sci. 2023, 197, 109082. [Google Scholar] [CrossRef] [PubMed]
- Jiang, Q.Q.; Jia, R.; Nakazawa, N.; Hu, Y.Q.; Osako, K.; Okazaki, E. Changes in protein properties and tissue histology of tuna meat as affected by salting and subsequent freezing. Food Chem. 2019, 271, 550–560. [Google Scholar] [CrossRef]
- Gao, S.; Liu, Y.Y.; Fu, Z.X.; Zhang, H.J.; Zhang, L.T.; Li, B.; Tan, Y.Q.; Hong, H.; Luo, Y.K. Uncovering quality changes of salted bighead carp fillets during frozen storage: The potential role of time-dependent protein denaturation and oxidation. Food Chem. 2023, 414, 135714. [Google Scholar] [CrossRef]
- Greiff, K.; Aursand, I.G.; Erikson, U.; Josefsen, K.D.; Rustad, T. Effects of type and concentration of salts on physicochemical properties in fish mince. Lwt-Food Sci. Technol. 2015, 64, 220–226. [Google Scholar] [CrossRef]
- Lin, H.X.; Wang, J.; Chisoro, P.; Wu, G.Y.; Zhao, S.S.; Hu, X.J.; Yang, C.; Liu, Y.H.; Jia, W.; Li, Q.Q.; et al. Changes in freezing parameters and temperature distribution of beef induced by AC electric field: Alleviation on freezing damage and myowater loss. J. Food Eng. 2025, 387, 112343. [Google Scholar] [CrossRef]
- AOAC International. AOAC International Official Method 950.46, Moisture in Meat and Meat Products; AOAC International: Gaithersburg, MD, USA, 2005. [Google Scholar]
- GB 5009.44-2016; National Food Safety Standard—Determination of Sodium Chloride in Food. National Standardization Committee: Beijing, China, 2016.
- He, Y.K.; Zhao, Z.; Wu, Y.G.; Lu, Z.Y.; Zhao, C.B.; Xiao, J.; Guo, Z.Q. Effects of quality enhancement of frozen tuna fillets using ultrasound-assisted salting: Physicochemical properties, histology, and proteomics. Foods 2024, 13, 525. [Google Scholar] [CrossRef]
- Lu, H.; Wang, H.; Luo, Y.K. Changes in protein oxidation, water-holding capacity, and texture of bighead carp (Aristichthys nobilis) fillets under chilled and partial frozen storage. J. Aquat. Food Prod. Technol. 2017, 26, 566–577. [Google Scholar] [CrossRef]
- Li, R.; Guo, M.Y.; Liao, E.; Wang, Q.; Peng, L.J.; Jin, W.P.; Wang, H.B. Effects of repeated freezing and thawing on myofibrillar protein and quality characteristics of marinated Enshi black pork. Food Chem. 2022, 378, 131994. [Google Scholar] [CrossRef]
- Du, X.D.; Zhang, W.W.; He, J.; Zhao, M.J.; Wang, J.Q.; Dong, X.J.; Fu, Y.Y.; Xie, X.D.; Miao, S.Y. The impact of rearing salinity on flesh texture, taste, and fatty acid composition in largemouth bass Micropterus salmoides. Foods 2022, 11, 3261. [Google Scholar] [CrossRef]
- Jiao, X.D.; Li, X.Y.; Zhang, N.N.; Yan, B.W.; Huang, J.L.; Zhao, J.X.; Zhang, H.; Chen, W.; Fan, D.M. Solubilization of fish myofibrillar proteins in NaCl and KCl solutions: A DIA-based proteomics analysis. Food Chem. 2024, 445, 138662. [Google Scholar] [CrossRef]
- Liu, S.L.; Zeng, X.H.; Zhang, Z.Y.; Long, G.Y.; Lyu, F.; Cai, Y.P.; Liu, J.H.; Ding, Y.T. Effects of immersion freezing on ice crystal formation and the protein properties of snakehead (Channa argus). Foods 2020, 9, 411. [Google Scholar] [CrossRef] [PubMed]
- Zhang, Y.J.; Jin, H.Y.; Rahman, Z.; Xiong, S.B.; Yin, T.; Liu, R.; Huang, Q.L.; You, J. Effect of ice crystal formation on the mechanical and protein properties of grass carp (Ctenopharyngodon idella) flesh: Contributions of salt ions and freezing rate. Food Chem. 2025, 488, 144884. [Google Scholar] [CrossRef]
- Yang, W.X.; Shi, W.Z.; Qu, Y.H.; Wang, Z.H.; Shen, S.Y.; Tu, L.D.; Huang, H.Y.; Wu, H. Research on the quality changes of grass carp during brine salting. Food Sci. Nutr. 2020, 8, 2968–2983. [Google Scholar] [CrossRef] [PubMed]
- Demirhan, B.E.; Demirhan, B. Effects of marination with different salt concentrations on some quality criteria of beef meat. BUA Sci. Vet. Med. Cl. 2021, 78, 26–35. [Google Scholar] [CrossRef]
- Alves Junior, C.A.; Bellucci, E.R.B.; Bertuci, M.L.; dos Santos, J.M.; Barretto, A.C.D.S. Effect of collagen in Italian type salami with NaCl reduction on the physicochemical and technological properties. Int. J. Food Sci. Tech. 2024, 59, 7589–7597. [Google Scholar] [CrossRef]
- Petracci, M.; Rimini, S.; Mulder, R.W.A.W.; Cavani, C. Quality characteristics of frozen broiler breast meat pretreated with increasing concentrations of sodium chloride. J. Poul Sci. 2013, 50, 396–401. [Google Scholar] [CrossRef]
- Pakula, C.; Stamminger, R. Measuring changes in internal meat colour, colour lightness and colour opacity as predictors of cooking time. Meat Sci. 2012, 90, 721–727. [Google Scholar] [CrossRef]
- Qin, N.; Zhang, L.T.; Zhang, J.B.; Song, S.J.; Wang, Z.Y.; Regenstein, J.M.; Luo, Y.K. Influence of lightly salting and sugaring on the quality and water distribution of grass carp (Ctenopharyngodon idellus) during super-chilled storage. J. Food Eng. 2017, 215, 104–112. [Google Scholar] [CrossRef]
- Latoch, A.; Czarniecka-Skubina, E.; Moczkowska-Wyrwisz, M. Marinades based on natural ingredients as a way to improve the quality and shelf life of meat: A review. Foods 2023, 12, 3638. [Google Scholar] [CrossRef]
- Lan, W.Q.; Liu, J.L.; Hu, X.Y.; Xiao, L.; Sun, X.H.; Xie, J. Evaluation of quality changes in big-eye tuna (Thunnus obesus) based on near-infrared reflectance spectroscopy (NIRS) and low field nuclear magnetic resonance (LF-NMR). J. Food Process Eng. 2021, 44, e13613. [Google Scholar] [CrossRef]
- Shao, J.H.; Deng, Y.M.; Jia, N.; Li, R.R.; Cao, J.X.; Liu, D.Y.; Li, J.R. Low-field NMR determination of water distribution in meat batters with NaCl and polyphosphate addition. Food Chem. 2016, 200, 308–314. [Google Scholar] [CrossRef] [PubMed]
- Diao, Y.D.; Cheng, X.Y.; Wang, L.S.; Xia, W.S. Effects of immersion freezing methods on water holding capacity, ice crystals and water migration in grass carp during frozen storage. Int. J. Refrig. 2021, 131, 581–591. [Google Scholar] [CrossRef]
- Li, F.F.; Wang, B.; Kong, B.H.; Shi, S.; Xia, X.F. Decreased gelling properties of protein in mirror carp (Cyprinus carpio) are due to protein aggregation and structure deterioration when subjected to freeze-thaw cycles. Food Hydrocolloid. 2019, 97, 105223. [Google Scholar] [CrossRef]
- Zhang, M.C.; Li, F.F.; Diao, X.P.; Kong, B.H.; Xia, X.F. Moisture migration, microstructure damage and protein structure changes in porcine longissimus muscle as influenced by multiple freeze-thaw cycles. Meat Sci. 2017, 133, 10–18. [Google Scholar] [CrossRef]
- Li, R.; Xiong, Z.M.; Yang, J.; Yi, R.; Wang, H.B.; Liao, E.; Peng, L.J. Effect of curing treatment on the quality of frozen Enshi black pork. Food Sci. Technol. 2021, 46, 116–123. [Google Scholar] [CrossRef]
- Yu, Q.Y.; Liu, J.; Liu, Y.Y.; Zheng, Y.Y.; Pi, R.B.; Mubango, E.; Tan, Y.Q.; Luo, Y.K.; Hong, H. Inhibitive effect of cryoprotectants on the oxidative and structural changes in myofibrillar proteins of unwashed mince from silver carp during frozen storage. Food Res. Int. 2022, 161, 111880. [Google Scholar] [CrossRef]







| Quality Indicators | Uncured | 0.25 mol/L NaCl | 1.0 mol/L NaCl | 3.0 mol/L NaCl |
|---|---|---|---|---|
| Water content (%) | 71.26 ± 0.22 a | 71.08 ± 0.34 ab | 70.47 ± 0.35 b | 68.64 ± 0.50 c |
| Salt content (%) | 0.31 ± 0.01 a | 0.84 ± 0.06 b | 2.92 ± 0.08 c | 8.46 ± 0.12 d |
| aw | 0.99 ± 0.00 a | 0.98 ± 0.00 a | 0.96 ± 0.00 b | 0.94 ± 0.01 c |
| pH | 7.09 ± 0.10 a | 6.73 ± 0.07 b | 6.80 ± 0.12 b | 6.58 ± 0.07 c |
| L* | 50.04 ± 1.40 a | 55.42 ± 2.60 b | 52.77 ± 1.33 ab | 46.47 ± 1.45 c |
| a* | −2.53 ± 0.12 a | −2.40 ± 0.10 a | −2.25 ± 0.38 a | −2.65 ± 0.17 a |
| b* | −2.64 ± 0.39 a | −2.17 ± 0.30 a | −1.79 ± 0.72 a | −2.47 ± 0.21 a |
| Quality Indicators | Uncured | 0.25 mol/L NaCl | 1.0 mol/L NaCl | 3.0 mol/L NaCl | |
|---|---|---|---|---|---|
| T2/ms | T21 | 3.34 ± 0.35 a | 4.81 ± 1.14 a | 4.56 ± 1.39 a | 4.82 ± 2.77 a |
| T22 | 48.83 ± 1.98 a | 46.62 ± 1.85 a | 50.05 ± 4.10 a | 60.14 ± 2.44 b | |
| T23 | 357.08 ± 0.00 a | 519.05 ± 55.87 b | 517.37 ± 20.97 b | 791.22 ± 132.12 c | |
| P21 | 1.29 ± 0.80 a | 1.66 ± 0.43 a | 1.26 ± 0.24 a | 1.12 ± 0.67 a | |
| P2/% | P22 | 97.47 ± 0.79 a | 97.76 ± 0.42 a | 98.13 ± 0.72 a | 98.50 ± 0.76 a |
| P23 | 1.22 ± 0.21 a | 0.58 ± 0.05 b | 0.59 ± 0.04 b | 0.38 ± 0.11 b | |
Disclaimer/Publisher’s Note: The statements, opinions and data contained in all publications are solely those of the individual author(s) and contributor(s) and not of MDPI and/or the editor(s). MDPI and/or the editor(s) disclaim responsibility for any injury to people or property resulting from any ideas, methods, instructions or products referred to in the content. |
© 2025 by the authors. Licensee MDPI, Basel, Switzerland. This article is an open access article distributed under the terms and conditions of the Creative Commons Attribution (CC BY) license (https://creativecommons.org/licenses/by/4.0/).
Share and Cite
Chen, W.; Miraji, S.M.; Yang, L.; Wu, J.; Ma, X.; Jin, W.; Wang, L.; Wang, Y.; Xu, P.; Cheng, H.; et al. Impact of Pickling Pretreatment on the Meat Quality of Frozen–Thawed Freshwater Drum (Aplodinotus grunniens). Foods 2025, 14, 3845. https://doi.org/10.3390/foods14223845
Chen W, Miraji SM, Yang L, Wu J, Ma X, Jin W, Wang L, Wang Y, Xu P, Cheng H, et al. Impact of Pickling Pretreatment on the Meat Quality of Frozen–Thawed Freshwater Drum (Aplodinotus grunniens). Foods. 2025; 14(22):3845. https://doi.org/10.3390/foods14223845
Chicago/Turabian StyleChen, Wanwen, Sharifa Mohamed Miraji, Lanxian Yang, Jian Wu, Xueyan Ma, Wu Jin, Liufu Wang, Yufeng Wang, Pao Xu, Hao Cheng, and et al. 2025. "Impact of Pickling Pretreatment on the Meat Quality of Frozen–Thawed Freshwater Drum (Aplodinotus grunniens)" Foods 14, no. 22: 3845. https://doi.org/10.3390/foods14223845
APA StyleChen, W., Miraji, S. M., Yang, L., Wu, J., Ma, X., Jin, W., Wang, L., Wang, Y., Xu, P., Cheng, H., & Wen, H. (2025). Impact of Pickling Pretreatment on the Meat Quality of Frozen–Thawed Freshwater Drum (Aplodinotus grunniens). Foods, 14(22), 3845. https://doi.org/10.3390/foods14223845

