Skins Comparative Analysis of Collagen Functionality and Peptide Bioactivities from Yak, Cattle, and Donkey Skins
Abstract
1. Introduction
2. Materials and Methods
2.1. Materials and Chemicals
2.2. Pretreatment of Cowhides
2.3. Determination of Conventional Nutrients
2.4. Determination of Amino Acids
2.5. Determination of Fatty Acids
2.6. Extraction of Collagen
2.7. Thermal Stability of Collagen
2.8. Collagen Molecular Weight Determination
2.9. Raman Spectra
2.10. Ultraviolet-Visible Spectrum (UV)
2.11. Scanning Electron Microscope (SEM)
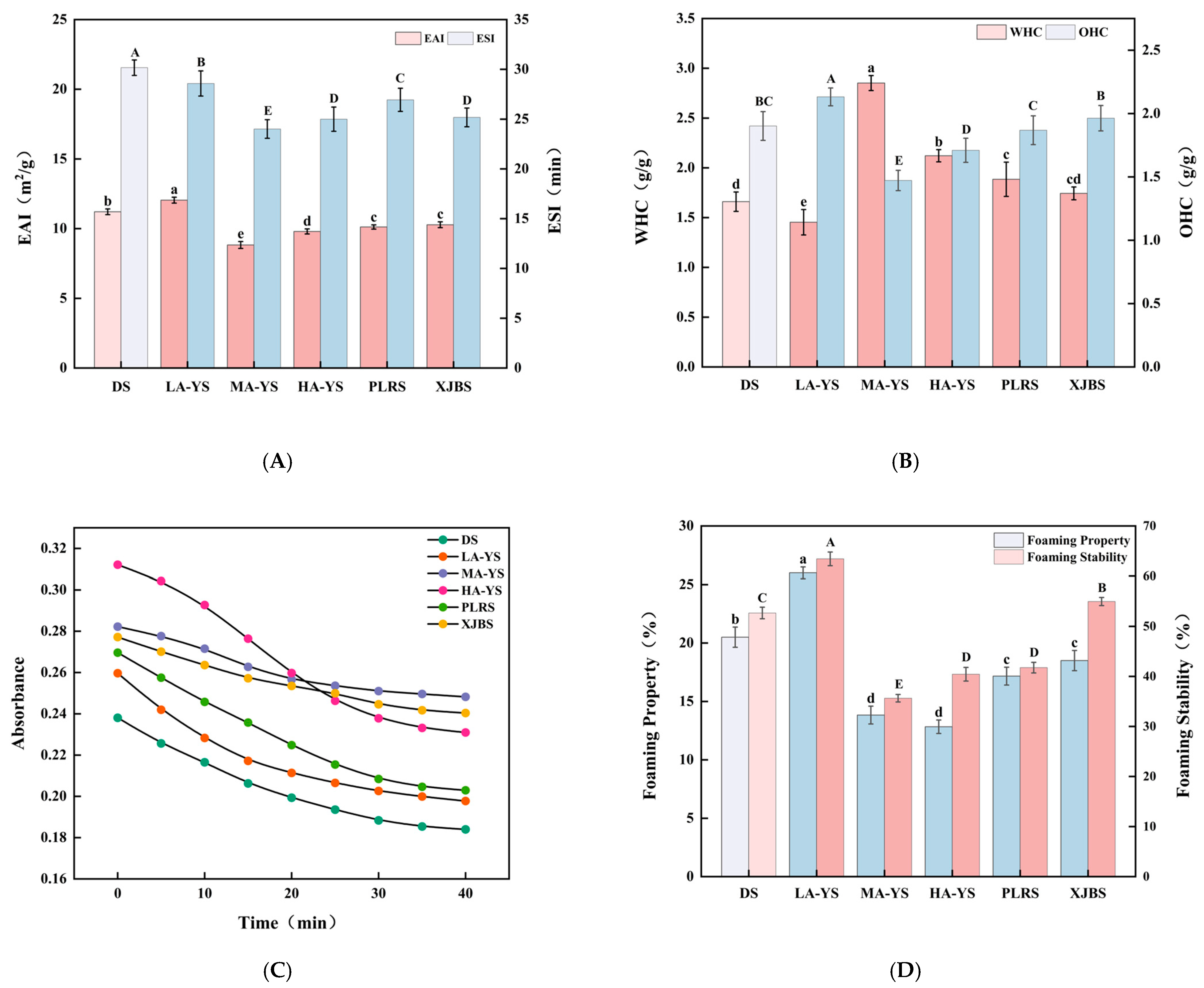
2.12. Emulsification Activity and Emulsion Stability
2.13. Emulsion Microscope
2.14. Water-Holding and Oil-Holding Properties
2.15. Determination of Particle Size and Potential
2.16. Determination of Turbidity
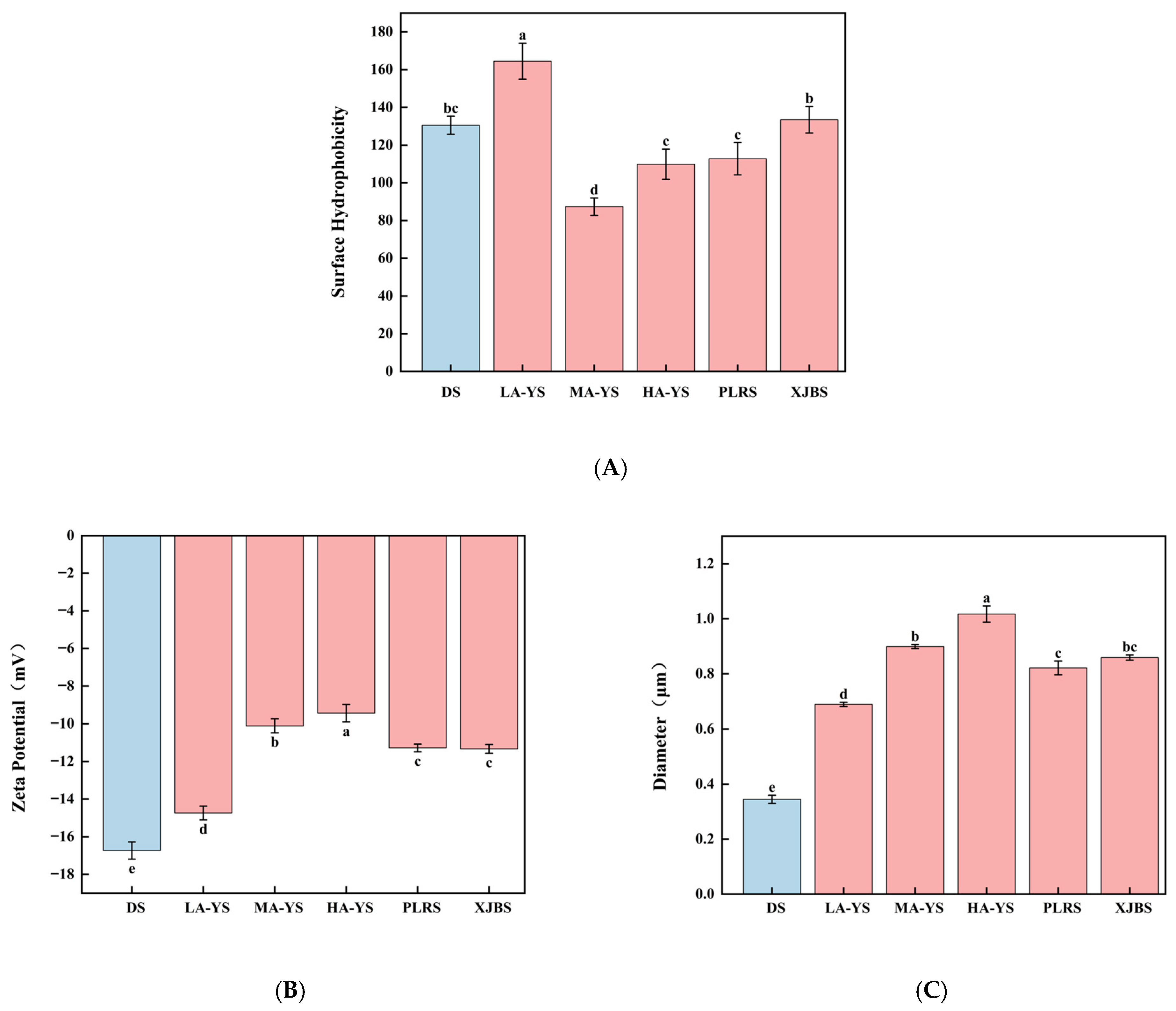
2.17. Determination of Surface Hydrophobicity
2.18. Foaming Property
2.19. Prediction of Collagen Activity
2.20. Statistical Analysis
3. Results
3.1. Nutritional Components
3.2. Amino Acid
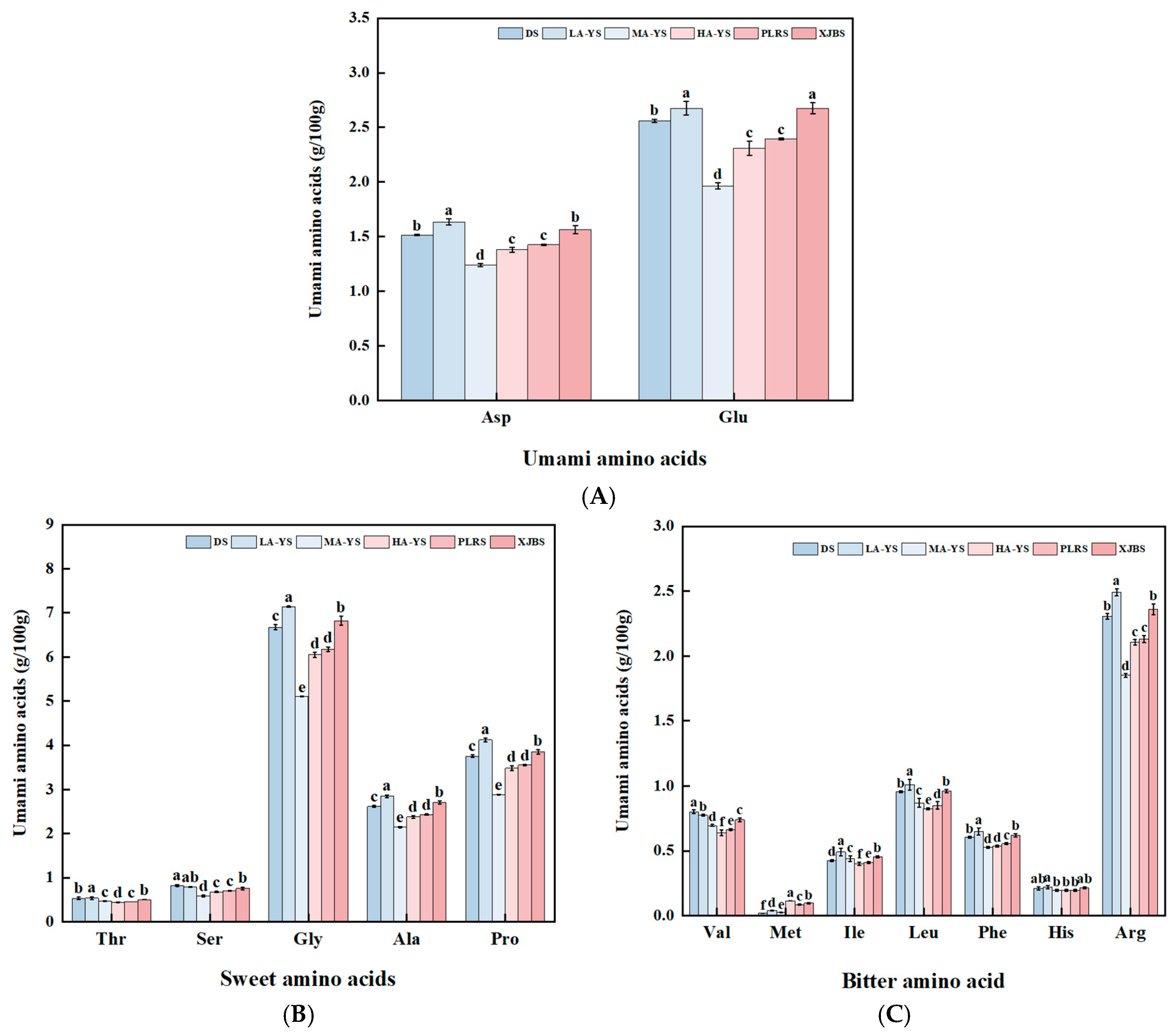
3.2.1. Amino Acid Content
3.2.2. Flavoring Amino Acids
3.2.3. Amino Acid Clustering Heat Map
3.3. Fatty Acid
3.3.1. Fatty Acid Content
3.3.2. Fatty Acid Clustering Heat Map
3.4. SDS-PAGE
3.5. Thermal Stability
3.6. Structural Properties
3.6.1. Raman Spectroscopy
3.6.2. Ultraviolet Scanning Spectrum
3.7. SEM
3.8. Emulsifying Properties
3.9. Electron Microscopes
3.10. Water Holding and Oil Holding Properties
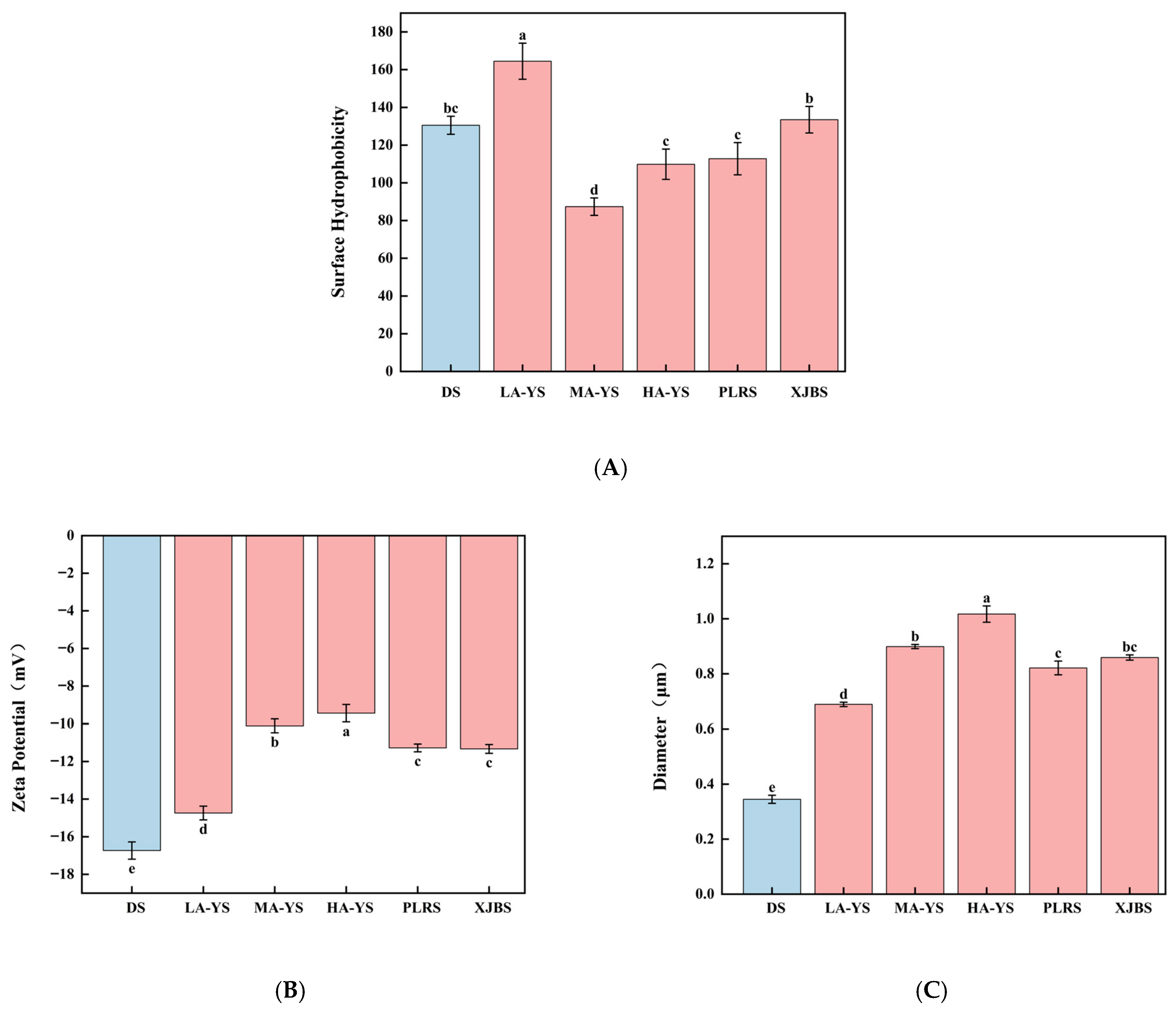
3.11. Surface Hydrophobicity
3.12. Particle Size, Zeta Potential
3.13. Turbidity
3.14. Foaming Properties and Foaming Stability
3.15. Peptides Prediction
4. Conclusions
Author Contributions
Funding
Institutional Review Board Statement
Informed Consent Statement
Data Availability Statement
Acknowledgments
Conflicts of Interest
References
- Jayaprakash, S.; Razeen, Z.M.A.; Kumar, R.N.; He, J.; Milky, M.G.; Renuka, R.; Sanskrithi, M. Enriched characteristics of poultry collagen over other sources of collagen and its extraction methods: A review. Int. J. Biol. Macromol. 2024, 273, 133004. [Google Scholar] [CrossRef]
- Zheng, F.; Ju, M.; Lü, Y.; Hua, Y.; Yao, W.; Wu, H.; Zhao, M.; Han, S.; Wei, Y.; Liu, R. Carp scales derived double cross-linking hydrogels achieve collagen peptides sustained-released for bone regeneration. Int. J. Biol. Macromol. 2024, 255, 128276. [Google Scholar] [CrossRef]
- Ferraro, V.; Anton, M.; Santé-Lhoutellier, V. The “sisters” α-helices of collagen, elastin and keratin recovered from animal by-products: Functionality, bioactivity and trends of application. Trends Food Sci. Technol. 2016, 51, 65–75. [Google Scholar] [CrossRef]
- Wu, S.; Zhou, X.; Xu, K.; Cheng, H. The role of extraction method to collagen substrates in enzymolysis of type I collagenase. Int. J. Biol. Macromol. 2024, 283, 138086. [Google Scholar] [CrossRef]
- Cao, C.; Xiao, Z.; Ge, C.; Wu, Y. Animal by-products collagen and derived peptide, as important components of innovative sustainable food systems—A comprehensive review. Crit. Rev. Food Sci. Nutr. 2022, 62, 8703–8727. [Google Scholar] [CrossRef]
- Gao, Y.; Qiu, Y.; Nan, H.; Wang, L.; Yang, D.; Zhang, L.; Yu, Q. Ultra-high pressure-assisted preparation of cowhide gelatin as a promising fat substitute: Improve the nutrition ratio and antioxidant capacity of beef patties. Food Res. Int. 2022, 157, 111260. [Google Scholar] [CrossRef]
- Ma, Y.; Teng, A.; Zhao, K.; Zhang, K.; Zhao, H.; Duan, S.; Li, S.; Guo, Y.; Wang, W. A top-down approach to improve collagen film’s performance: The comparisons of macro, micro and nano sized fibers. Food Chem. 2020, 309, 125624. [Google Scholar] [CrossRef]
- Zhu, M.; Li, S.; Chen, L.; Cheng, C.; Yu, J.; Zheng, X.; Guan, W.; Zhang, D. Insights into microstructure, physicochemical characteristics and functional properties of collagen extracted from various livestock skins. J. Sci. Food Agric. 2025, 105, 7779–7787. [Google Scholar] [CrossRef]
- GB5009.3-2016; National Food Safety Standard—Determination of Moisture Content in Foods. National Health and Family Planning Commission of the People’s Republic of China: Beijing, China, 2016.
- GB5009.5-2016; National Food Safety Standard—Determination of Protein in Foods. National Health and Family Planning Commission of the People’s Republic of China: Beijing, China, 2016.
- GB5009.6-2016; National Food Safety Standard—Determination of Fat in Foods. National Health and Family Planning Commission of the People’s Republic of China: Beijing, China, 2016.
- GB5009.4-2016; National Food Safety Standard—Determination of Ash in Foods. National Health and Family Planning Commission of the People’s Republic of China: Beijing, China, 2016.
- Lin, H.; Yu, X.; Fang, J.; Lu, Y.; Liu, P.; Xing, Y.; Wang, Q.; Che, Z.; He, Q. Flavor compounds in Pixian broad-bean paste: Non-volatile organic acids and amino acids. Molecules 2018, 23, 1299. [Google Scholar] [CrossRef]
- Sims, E.D.; Jennings, W.J.; Empringham, B.; Fleming, A.; Portwine, C.; Johnston, D.L.; Zelcer, S.M.; Rassekh, S.R.; Burrow, S.; Thabane, L. Circulating leptin levels are associated with adiposity in survivors of childhood brain tumors. Sci. Rep. 2020, 10, 4711. [Google Scholar] [CrossRef]
- He, L.; Wang, X.; Wang, Y.; Luo, J.; Zhao, Y.; Han, G.; Han, L.; Yu, Q. Production and identification of dipeptidyl peptidase IV (DPP-IV) inhibitory peptides from discarded cowhide collagen. Food Chem. 2023, 405, 134793. [Google Scholar] [CrossRef] [PubMed]
- Wei, M.; Jeevithan, L.; Li, N.; Liu, L.; Xu, J.; Wu, W.; Elango, J. Stem-cell-regenerative and protective effects of squid (Symplectoteuthis oualaniensis) skin collagen peptides against H2O2-induced fibroblast injury. Mar. Drugs 2024, 22, 255. [Google Scholar] [CrossRef]
- Matinong, A.M.E.; Pickering, K.L.; Waterland, M.R.; Chisti, Y.; Haverkamp, R.G. Gelatin and collagen from sheepskin. Polymers 2024, 16, 1563. [Google Scholar] [CrossRef]
- Liang, X.; Zhang, Z.; Ding, B.; Ma, Z.; Yang, J.; Ding, G.; Liu, H. Analysis of mixed ghee by using Raman spectroscopy. LWT 2023, 187, 115279. [Google Scholar] [CrossRef]
- Liu, Y.; Ma, D.; Wang, Y.; Qin, W. A comparative study of the properties and self-aggregation behavior of collagens from the scales and skin of grass carp (Ctenopharyngodon idella). Int. J. Biol. Macromol. 2018, 106, 516–522. [Google Scholar] [CrossRef]
- Duan, Y.; Yang, X.; Deng, D.; Zhang, L.; Ma, X.; He, L.; Zhu, X.; Zhang, X. Effects of ultrasonic waves of different powers on the physicochemical properties, functional characteristics, and ultrastructure of bovine liver peptides. Ultrason. Sonochem. 2024, 110, 107031. [Google Scholar] [CrossRef]
- Yu, E.; Pan, C.; Luo, X.; Ruan, Q.; Chen, W.; Fang, Y.; Wang, K.; Qin, Y.; Lv, M.; Ma, H. Structural characteristics, component interactions and functional properties of gelatins from three fish skins extracted by five methods. Int. J. Biol. Macromol. 2023, 248, 125813. [Google Scholar] [CrossRef]
- Feng, X.; Wu, X.; Gao, T.; Geng, M.; Teng, F.; Li, Y. Revealing the interaction mechanism and emulsion properties of carboxymethyl cellulose on soy protein isolate at different pH. Food Hydrocoll. 2024, 150, 109739. [Google Scholar] [CrossRef]
- Li, X.; Deng, Y.; Qiu, W.; Feng, Y.; Jin, Y.; Deng, S.; Tao, N.; Jin, Y. Alteration of collagen thermal denaturation, structural and the abrogation of allergenicity in eel skin induced by ohmic heating. Food Chem. 2022, 391, 133272. [Google Scholar] [CrossRef]
- Coscueta, E.R.; Fernandes, N.C.; Brassesco, M.E.; Rosa, A.; Almeida, A.; Pintado, M.M. Turning discarded blue shark (Prionace glauca) skin into a valuable nutraceutical resource: An enzymatic collagen hydrolysate. Food Biosci. 2024, 60, 104472. [Google Scholar] [CrossRef]
- Wang, Y.; Li, Y.; Chen, Y.; Huang, X.; Zuo, D.; Tian, X.; Li, Y.; Wang, W. Insight into the self-assembly process, microrheological properties and microstructure of acid-soluble collagen from lamb skin under different environmental conditions. Food Biosci. 2024, 61, 104978. [Google Scholar] [CrossRef]
- Xu, N.; Wang, M.; Wang, P.; Shao, X.; Han, M.; Xu, X. Changes in protein structural characteristics and non-targeted metabolites during stewing based on collagen degradation in chicken skin. Food Biosci. 2025, 63, 105608. [Google Scholar] [CrossRef]
- Zheng, Y.; Li, Y.; Ke, C.; Gao, X.; Liu, Z.; Chen, J. Comparison of structural and physicochemical characteristics of skin collagen from chum salmon (cold-water fish) and Nile tilapia (warm-water fish). Foods 2024, 13, 1213. [Google Scholar] [CrossRef]
- Ryu, B.; Shin, K.-H.; Kim, S.-K. Muscle protein hydrolysates and amino acid composition in fish. Mar. Drugs 2021, 19, 377. [Google Scholar] [CrossRef]
- Liang, Z.-C.; Lin, X.-Z.; He, Z.-G.; Su, H.; Li, W.-X.; Guo, Q.-Q. Comparison of microbial communities and amino acid metabolites in different traditional fermentation starters used during the fermentation of Hong Qu glutinous rice wine. Food Res. Int. 2020, 136, 109329. [Google Scholar] [CrossRef]
- Pérez-Navarro, J.; Da Ros, A.; Masuero, D.; Izquierdo-Cañas, P.M.; Hermosín-Gutiérrez, I.; Gómez-Alonso, S.; Mattivi, F.; Vrhovsek, U. LC-MS/MS analysis of free fatty acid composition and other lipids in skins and seeds of Vitis vinifera grape cultivars. Food Res. Int. 2019, 125, 108556. [Google Scholar] [CrossRef]
- Kim, B.-S.; Im, J.-H.; Yoon, Y.-S.; Kim, H.; Cho, J.-Y.; Ham, J.-R.; Heo, Y.-J.; Lee, H.-I. Analysis of Nutritional Composition and Flavor Patterns by Variety (Porphyra dentata and Porphyra yezoensis) in Dried Laver from Jeonnam, Korea. Foods 2025, 14, 335. [Google Scholar] [CrossRef] [PubMed]
- Chen, S.; Hong, Z.; Wen, H.; Hong, B.; Lin, R.; Chen, W.; Xie, Q.; Le, Q.; Yi, R.; Wu, H. Compositional and structural characteristics of pepsin-soluble type I collagen from the scales of red drum fish, Sciaenops ocellatus. Food Hydrocoll. 2022, 123, 107111. [Google Scholar] [CrossRef]
- Chen, Y.; Jin, H.; Yang, F.; Jin, S.; Liu, C.; Zhang, L.; Huang, J.; Wang, S.; Yan, Z.; Cai, X. Physicochemical, antioxidant properties of giant croaker (Nibea japonica) swim bladders collagen and wound healing evaluation. Int. J. Biol. Macromol. 2019, 138, 483–491. [Google Scholar] [CrossRef]
- Xu, M.; Wei, L.; Xiao, Y.; Bi, H.; Yang, H.; Du, Y. Physicochemical and functional properties of gelatin extracted from Yak skin. Int. J. Biol. Macromol. 2017, 95, 1246–1253. [Google Scholar] [CrossRef] [PubMed]
- Pal, G.K.; Suresh, P. Sustainable valorisation of seafood by-products: Recovery of collagen and development of collagen-based novel functional food ingredients. Innov. Food Sci. Emerg. Technol. 2016, 37, 201–215. [Google Scholar] [CrossRef]
- Li, Y.; Yang, L.; Wu, S.; Chen, J.; Lin, H. Structural, functional, rheological, and biological properties of the swim bladder collagen extracted from grass carp (Ctenopharyngodon idella). LWT 2022, 153, 112518. [Google Scholar] [CrossRef]
- Xue, S.; Yu, X.; Li, X.; Zhao, X.; Han, M.; Xu, X.; Zhou, G. Structural changes and emulsion properties of goose liver proteins obtained by isoelectric solubilisation/precipitation processes. LWT 2019, 102, 190–196. [Google Scholar] [CrossRef]
- Chen, X.; Dai, Y.; Huang, Z.; Zhao, L.; Du, J.; Li, W.; Yu, D. Effect of ultrasound on the glycosylation reaction of pea protein isolate–arabinose: Structure and emulsifying properties. Ultrason. Sonochem. 2022, 89, 106157. [Google Scholar] [CrossRef]
- Li, P.-H.; Lu, W.-C.; Chan, Y.-J.; Ko, W.-C.; Jung, C.-C.; Le Huynh, D.T.; Ji, Y.-X. Extraction and characterization of collagen from sea cucumber (Holothuria cinerascens) and its potential application in moisturizing cosmetics. Aquaculture 2020, 515, 734590. [Google Scholar] [CrossRef]
- Pezeshk, S.; Rezaei, M.; Abdollahi, M. Impact of ultrasound on extractability of native collagen from tuna by-product and its ultrastructure and physicochemical attributes. Ultrason. Sonochem. 2022, 89, 106129. [Google Scholar] [CrossRef] [PubMed]
- Ruan, Q.; Chen, W.; Lv, M.; Zhang, R.; Luo, X.; Yu, E.; Pan, C.; Ma, H. Influences of trypsin pretreatment on the structures, composition, and functional characteristics of skin gelatin of Tilapia, grass carp, and sea perch. Mar. Drugs 2023, 21, 423. [Google Scholar] [CrossRef] [PubMed]
- Zhao, G.M.; Zhang, G.Y.; Bai, X.Y.; Yin, F.; Ru, A.; Yu, X.L.; Zhao, L.J.; Zhu, C.Z. Effects of NaCl-assisted regulation on the emulsifying properties of heat-induced type I collagen. Food Res. Int. 2022, 159, 111599. [Google Scholar] [CrossRef]
- Li, K.; Li, Y.; Liu, C.L.; Fu, L.; Zhao, Y.Y.; Zhang, Y.Y.; Wang, Y.T.; Bai, Y.H. Improving interfacial properties, structure and oxidative stability by ultrasound application to sodium caseinate prepared pre-emulsified soybean oil. LWT 2020, 131, 109755. [Google Scholar] [CrossRef]
- Anvari, M.; Joyner, H.S. Effect of formulation on structure-function relationships of concentrated emulsions: Rheological, tribological, and microstructural characterization. Food Hydrocoll. 2017, 72, 11–26. [Google Scholar] [CrossRef]
- Wang, T.; Wang, N.; Li, N.; Ji, X.; Zhang, H.; Yu, D.; Wang, L. Effect of high-intensity ultrasound on the physicochemical properties, microstructure, and stability of soy protein isolate-pectin emulsion. Ultrason. Sonochem. 2022, 82, 105871. [Google Scholar] [CrossRef]
- Celik, M.; Güzel, M.; Yildirim, M. Effect of pH on protein extraction from sour cherry kernels and functional properties of resulting protein concentrate. J. Food Sci. Technol. 2019, 56, 3023–3032. [Google Scholar] [CrossRef]
- Dhakal, D.; Koomsap, P.; Lamichhane, A.; Sadiq, M.B.; Anal, A.K. Optimization of collagen extraction from chicken feet by papain hydrolysis and synthesis of chicken feet collagen based biopolymeric fibres. Food Biosci. 2018, 23, 23–30. [Google Scholar] [CrossRef]
- Chen, Y.; Han, X.; Chen, D.-L.; Ren, Y.-P.; Yang, S.-Y.; Huang, Y.-X.; Yang, J.; Zhang, L. Dry Ball-Milled Quinoa Starch as a Pickering Emulsifier: Preparation, Microstructures, Hydrophobic Properties and Emulsifying Properties. Foods 2024, 13, 431. [Google Scholar] [CrossRef]
- Zou, Y.; Wang, L.; Cai, P.P.; Li, P.P.; Zhang, M.; Sun, Z.L.; Sun, C.; Xu, W.M.; Wang, D.Y. Effect of ultrasound assisted extraction on the physicochemical and functional properties of collagen from soft-shelled turtle calipash. Int. J. Biol. Macromol. 2017, 105, 1602–1610. [Google Scholar] [CrossRef] [PubMed]
- Yan, C.J.; Zhou, Z. Solubility and emulsifying properties of phosphorylated walnut protein isolate extracted by sodium trimetaphosphate. LWT 2021, 143, 111117. [Google Scholar] [CrossRef]
- Hong, N.C.; Liu, S.N.; Zhu, Y.D.; Li, M.Y.; Zhao, L.J.; Liang, D.; Ma, Y.Y.; Zhao, G.M. Improving emulsion stability: The role of flaxseed gum in stabilizing bovine bone protein hydrolysates emulsions. Int. J. Biol. Macromol. 2024, 283, 137640. [Google Scholar] [CrossRef]
- Xu, J.W.; Yan, S.Z.; Xu, J.; Qi, B.K. Ultrasound-assisted modification of soybean protein isolate with L-histidine: Relationship between structure and function. Ultrason. Sonochem. 2024, 107, 106934. [Google Scholar] [CrossRef] [PubMed]
- Ma, Y.; Xu, M.F.; Wang, W.T.; Li, X.Y.; Ding, X.Z. Ultrasound assisted complexation of soybean peptide aggregates and soluble soybean polysaccharide: pH optimization, structure characterization, and emulsifying behavior. Food Res. Int. 2025, 201, 115546. [Google Scholar] [CrossRef] [PubMed]
- Yang, X.; Ke, C.; Li, L. Physicochemical, rheological and digestive characteristics of soy protein isolate gel induced by lactic acid bacteria. J. Food Eng. 2021, 292, 110243. [Google Scholar] [CrossRef]
- Li, X.; Murray, B.S.; Yang, Y.J.; Sarkar, A. Egg white protein microgels as aqueous Pickering foam stabilizers: Bubble stability and interfacial properties. Food Hydrocoll. 2020, 98, 105292. [Google Scholar] [CrossRef]
- Xu, M.; Wei, L.; Xiao, Y.; Bi, H.; Yang, H.; Du, Y. Molecular structural properties of extracted gelatin from Yak skin as analysed based on molecular weight. Int. J. Food Prop. 2017, 20, S543–S555. [Google Scholar] [CrossRef]
- Chen, M.; Sala, G.; Meinders, M.B.J.; van Valenberg, H.J.F.; van der Linden, E.; Sagis, L.M.C. Interfacial properties, thin film stability and foam stability of casein micelle dispersions. Colloids Surf. B-Biointerfaces 2017, 149, 56–63. [Google Scholar] [CrossRef] [PubMed]










| Content (g/100 g) | Variety | |||||
|---|---|---|---|---|---|---|
| DS | LA-YS | MA-YS | HA-YS | PLRS | XJBS | |
| Moisture | 61.68 ± 0.34 a | 61.62 ± 0.06 a | 62.74 ± 0.02 a | 63.11 ± 0.12 a | 62.98 ± 0.10 a | 61.78 ± 0.06 a |
| Protein | 35.28 ± 0.48 a | 35.58 ± 0.65 a | 33.98 ± 0.44 b | 34.15 ± 0.67 b | 34.38 ± 1.84 b | 35.43 ± 1.13 a |
| Fat | 1.92 ± 0.14 a | 1.83 ± 0.07 b | 1.80 ± 0.03 b | 1.78 ± 0.11 c | 1.76 ± 0.06 c | 1.73 ± 0.16 d |
| Ash | 0.27 ± 0.002 a | 0.24 ± 0.005 c | 0.24 ± 0.019 c | 0.24 ± 0.003 c | 0.26 ± 0.008 ab | 0.25 ± 0.003 bc |
| Amino Acids (g/100 g) | Variety | |||||
|---|---|---|---|---|---|---|
| DS | LA-YS | MA-YS | HA-YS | PLRS | XJBS | |
| Thr | 0.510 ± 0.000 b | 0.560 ± 0.000 a | 0.460 ± 0.000 d | 0.445 ± 0.007 c | 0.460 ± 0.000 c | 0.505 ± 0.007 b |
| Val | 0.800 ± 0.014 a | 0.775 ± 0.007 b | 0.695 ± 0.007 d | 0.640 ± 0.000 f | 0.665 ± 0.007 e | 0.740 ± 0.014 c |
| Met | 0.018 ± 0.001 f | 0.039 ± 0.007 d | 0.026 ± 0.001 e | 0.115 ± 0.001 a | 0.086 ± 0.003 c | 0.096 ± 0.004 b |
| Leu | 0.955 ± 0.007 b | 1.010 ± 0.000 a | 0.870 ± 0.000 c | 0.825 ± 0.007 e | 0.850 ± 0.000 d | 0.960 ± 0.014 b |
| IIe | 0.425 ± 0.007 d | 0.490 ± 0.000 a | 0.440 ± 0.000 c | 0.400 ± 0.000 f | 0.410 ± 0.000 e | 0.455 ± 0.007 b |
| Phe | 0.605 ± 0.007 b | 0.650 ± 0.000 a | 0.525 ± 0.007 d | 0.535 ± 0.007 d | 0.555 ± 0.007 c | 0.620 ± 0.014 b |
| Lys | 1.120 ± 0.000 a | 1.130 ± 0.014 a | 0.945 ± 0.007 c | 0.935 ± 0.021 c | 0.945 ± 0.007 c | 1.050 ± 0.014 b |
| TEAA | 4.433 ± 0.020 b | 4.655 ± 0.021 a | 3.961 ± 0.005 c | 3.895 ± 0.043 c | 3.97 ± 0.004 c | 4.426 ± 0.075 b |
| Asp | 1.515 ± 0.007 b | 1.635 ± 0.021 a | 1.240 ± 0.028 d | 1.380 ± 0.014 c | 1.425 ± 0.007 c | 1.565 ± 0.035 b |
| Ser | 0.810 ± 0.000 a | 0.790 ± 0.014 b | 0.585 ± 0.021 e | 0.670 ± 0.000 f | 0.705 ± 0.007 d | 0.760 ± 0.028 c |
| Glu | 2.560 ± 0.000 b | 2.675 ± 0.064 a | 1.965 ± 0.063 d | 2.310 ± 0.028 c | 2.395 ± 0.007 c | 2.675 ± 0.049 a |
| Gly | 6.670 ± 0.057 c | 7.140 ± 0.014 a | 5.105 ± 0.007 e | 6.050 ± 0.057 d | 6.175 ± 0.049 d | 6.820 ± 0.099 b |
| Ala | 2.615 ± 0.021 c | 2.820 ± 0.000 a | 2.150 ± 0.014 e | 2.380 ± 0.028 d | 2.430 ± 0.014 d | 2.705 ± 0.035 b |
| Cys | 0.027 ± 0.002 b | 0.035 ± 0.004 a | 0.042 ± 0.004 a | 0.022 ± 0.001 bc | 0.018 ± 0.001 c | 0.015 ± 0.001 c |
| Tyr | 0.205 ± 0.007 b | 0.220 ± 0.000 a | 0.220 ± 0.000 a | 0.185 ± 0.007 c | 0.195 ± 0.007 bc | 0.205 ± 0.007 b |
| His | 0.210 ± 0.000 ab | 0.220 ± 0.014 a | 0.195 ± 0.007 b | 0.195 ± 0.007 b | 0.195 ± 0.007 b | 0.215 ± 0.007 ab |
| Arg | 2.305 ± 0.021 b | 2.490 ± 0.000 a | 1.850 ± 0.014 d | 2.105 ± 0.021 c | 2.13 ± 0.028 c | 2.360 ± 0.042 b |
| Pro | 3.750 ± 0.028 c | 4.120 ± 0.042 a | 2.885 ± 0.007 e | 3.475 ± 0.049 d | 3.55 ± 0.014 d | 3.845 ± 0.049 b |
| NEAA | 20.667 ± 0.092 c | 22.145 ± 0.117 a | 16.2365 ± 0.062 e | 18.7715 ± 0.151 d | 19.218 ± 0.091 d | 21.165 ± 0.239 b |
| HEAA | 9.168 ± 0.069 c | 9.905 ± 0.05 a | 7.591 ± 0.008 f | 8.367 ± 0.093 e | 8.546 ± 0.025 d | 9.421 ± 0.139 b |
| TAA | 25.100 ± 0.149 b | 26.800 ± 0.187 a | 20.198 ± 0.093 d | 22.666 ± 0.256 c | 23.189 ± 0.133 c | 25.591 ± 0.413 b |
| Variety | Umami Amino Acids | Sweet Amino Acids | Bitter Amino Acid | |||
|---|---|---|---|---|---|---|
| Content (g/100 g) | Total Amino Acid Ratio (%) | Content (g/100 g) | Total Amino Acid Ratio (%) | Content (g/100 g) | Total Amino Acid Ratio (%) | |
| DS | 4.01 ± 0.74 b | 16.24% | 14.36 ± 2.50 c | 57.19% | 4.89 ± 0.68 c | 21.09% |
| LA-YS | 4.31 ± 0.74 a | 16.08% | 15.43 ± 2.70 a | 57.58% | 5.67 ± 0.81 a | 21.17% |
| MA-YS | 3.21 ± 0.51 d | 15.87% | 11.19 ± 1.91 e | 55.38% | 5.32 ± 0.75 b | 21.19% |
| HA-YS | 3.69 ± 0.66 c | 16.28% | 13.02 ± 2.30 d | 57.44% | 4.60 ± 0.60 d | 22.78% |
| PLRS | 3.82 ± 0.69 c | 16.47% | 14.36 ± 2.34 c | 57.44% | 4.81 ± 0.67 c | 21.24% |
| XJBS | 4.24 ± 0.56 a | 16.57% | 14.64 ± 2.58 b | 57.19% | 5.45 ± 0.76 b | 21.28% |
| Fatty Acids (g/100 g) | Variety | |||||
|---|---|---|---|---|---|---|
| DS | LA-YS | MA-YS | HA-YS | PLRS | XJBS | |
| C16:0 | 0.07 ± 0.012 a | 0.05 ± 0.044 b | 0.04 ± 0.005 b | 0.05 ± 0.001 b | 0.04 ± 0.010 b | 0.02 ± 0.001 b |
| C18:0 | 0.03 ± 0.005 b | 0.04 ± 0.009 a | 0.04 ± 0.005 a | 0.03 ± 0.001 b | 0.02 ± 0.006 c | 0.02 ± 0.001 c |
| SFA | 0.10 ± 0.017 a | 0.10 ± 0.053 a | 0.08 ± 0.010 a | 0.08 ± 0.002 a | 0.06 ± 0.015 b | 0.04 ± 0.002 b |
| C16:1 | 0.01 ± 0.002 a | 0.004 ± 0.012c | 0.01 ± 0.001 a | 0.003 ± 0.0001 c | 0.006 ± 0.002 b | 0.004 ± 0.0003 c |
| C18:1 | 0.09 ± 0.016 a | 0.09 ± 0.0085 a | 0.08 ± 0.008 a | 0.09 ± 0.0001 a | 0.06 ± 0.016 b | 0.04 ± 0.002 b |
| C20:1 | 0.006 ± 0.0002 | ND | ND | ND | ND | ND |
| C22:1 | 0.02 ± 0.003 a | 0.01 ± 0.0007 bc | 0.02 ± 0.002 a | 0.01 ± 0.0004 ab | 0.007 ± 0.002 c | 0.02 ± 0.001 a |
| MUFA | 0.13 ± 0.021 a | 0.11 ± 0.018 ab | 0.11 ± 0.011 ab | 0.10 ± 0.004 b | 0.08 ± 0.020 b | 0.06 ± 0.004 c |
| C18:2 | 0.02 ± 0.004 a | 0.003 ± 0.003 c | 0.006 ± 0.0007 b | 0.005 ± 0.0001 b | 0.006 ± 0.0003 b | 0.007 ± 0.0005 b |
| C20:4 | 0.007 ± 0.001 a | ND | ND | ND | ND | ND |
| PUFA | 0.03 ± 0.005 a | 0.003 ± 0.003 b | 0.006 ± 0.0007 b | 0.005 ± 0.0001 b | 0.006 ± 0.0003 b | 0.007 ± 0.0005 b |
| UFA | 0.16 ± 0.025 a | 0.11 ± 0.001 b | 0.12 ± 0.01 b | 0.11 ± 0.004 b | 0.09 ± 0.020 c | 0.07 ± 0.004 c |
| TFA | 0.26 ± 0.043 a | 0.21 ± 0.003 b | 0.20 ± 0.002 b | 0.19 ± 0.006 b | 0.15 ± 0.035 c | 0.11 ± 0.00 d |
Disclaimer/Publisher’s Note: The statements, opinions and data contained in all publications are solely those of the individual author(s) and contributor(s) and not of MDPI and/or the editor(s). MDPI and/or the editor(s) disclaim responsibility for any injury to people or property resulting from any ideas, methods, instructions or products referred to in the content. |
© 2025 by the authors. Licensee MDPI, Basel, Switzerland. This article is an open access article distributed under the terms and conditions of the Creative Commons Attribution (CC BY) license (https://creativecommons.org/licenses/by/4.0/).
Share and Cite
Kuai, Y.; Duan, Y.; Yang, X.; Shen, R.; Wang, W.; Zhang, L.; He, L.; Chen, C.; Yuan, X.; Yan, X.; et al. Skins Comparative Analysis of Collagen Functionality and Peptide Bioactivities from Yak, Cattle, and Donkey Skins. Foods 2025, 14, 3776. https://doi.org/10.3390/foods14213776
Kuai Y, Duan Y, Yang X, Shen R, Wang W, Zhang L, He L, Chen C, Yuan X, Yan X, et al. Skins Comparative Analysis of Collagen Functionality and Peptide Bioactivities from Yak, Cattle, and Donkey Skins. Foods. 2025; 14(21):3776. https://doi.org/10.3390/foods14213776
Chicago/Turabian StyleKuai, Yaoyuan, Yufeng Duan, Xue Yang, Ruheng Shen, Wen Wang, Li Zhang, Long He, Cheng Chen, Xiaojin Yuan, Xiangmin Yan, and et al. 2025. "Skins Comparative Analysis of Collagen Functionality and Peptide Bioactivities from Yak, Cattle, and Donkey Skins" Foods 14, no. 21: 3776. https://doi.org/10.3390/foods14213776
APA StyleKuai, Y., Duan, Y., Yang, X., Shen, R., Wang, W., Zhang, L., He, L., Chen, C., Yuan, X., Yan, X., & Li, H. (2025). Skins Comparative Analysis of Collagen Functionality and Peptide Bioactivities from Yak, Cattle, and Donkey Skins. Foods, 14(21), 3776. https://doi.org/10.3390/foods14213776
